Turbulence Characteristics in the Mixing Layer of a Submerged Cavitating Jet at High Reynolds Numbers
Abstract
1. Introduction
2. Experiment and CFD Method
2.1. Experiment Apparatus and Method
2.2. Governing Equations and LES Approach
2.3. Physical Cavitation Model
2.4. Simulation Setup
3. Results and Discussion
3.1. Validation of CFD Results
3.2. Shear Layer Instability
3.3. Vortexes and Cavitation in the Mixing Layer
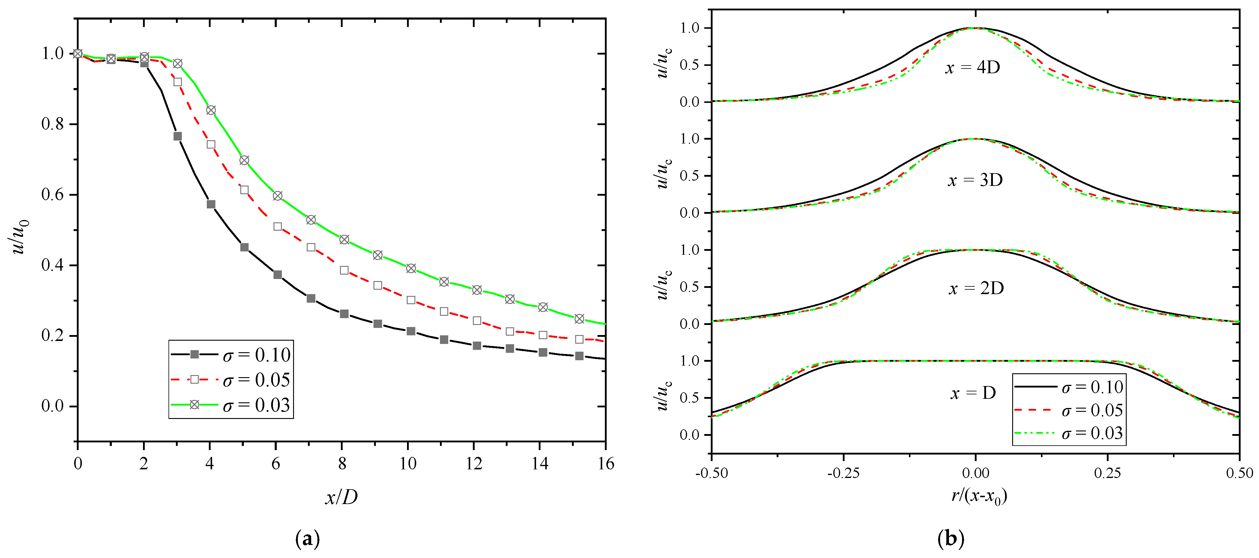
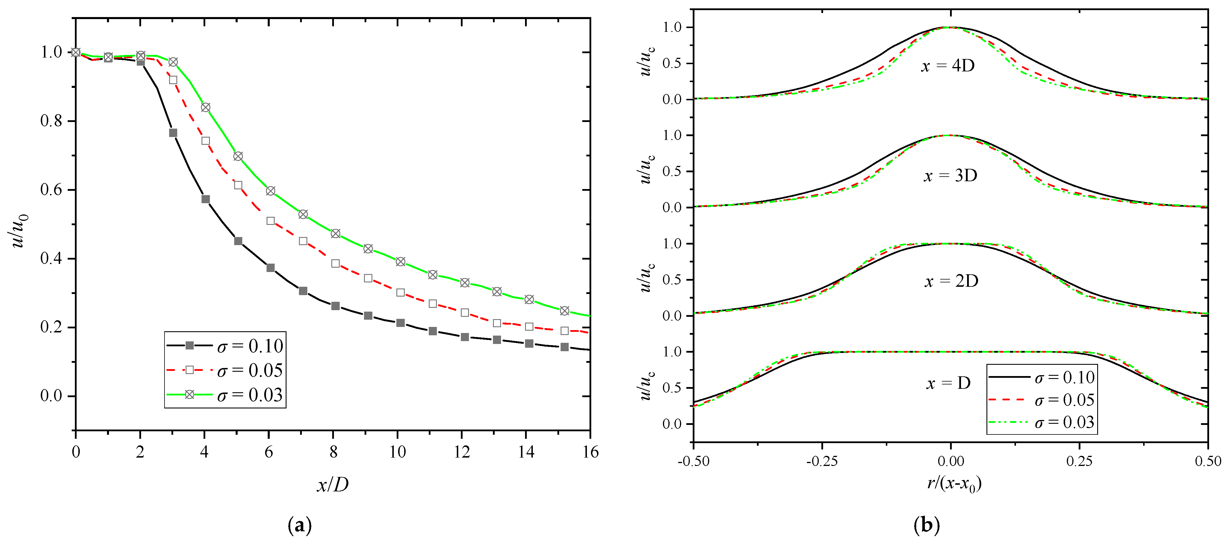
3.4. Time-Averaged Characteristics
4. Conclusions
Author Contributions
Funding
Institutional Review Board Statement
Informed Consent Statement
Data Availability Statement
Conflicts of Interest
References
- Soyama, H. Cavitating Jet: A Review. Appl. Sci. 2020, 10, 7280. [Google Scholar] [CrossRef]
- Vasilakis, E.S.; Kyriazis, N.; Koukouvinis, P.; Farhat, M.; Gavaises, M. Cavitation induction by projectile impacting on a water jet. Int. J. Multiph. Flow 2019, 114, 128–139. [Google Scholar] [CrossRef]
- Ijiri, M.; Shimonishi, D.; Nakagawa, D.; Yoshimura, T. New water jet cavitation technology to increase number and size of cavitation bubbles and its effect on pure Al surface. Int. J. Lightwght Mater. Manuf. 2018, 1, 12–20. [Google Scholar] [CrossRef]
- Soyama, H. Cavitation Peening: A Review. Metals 2020, 10, 270. [Google Scholar] [CrossRef]
- Soyama, H.; Takeo, F. Comparison between cavitation peening and shot peening for extending the fatigue life of a duralumin plate with a hole. J. Mater. Process. Technol. 2016, 227, 80–87. [Google Scholar] [CrossRef]
- Zhang, Y.; Zang, W.; Zheng, J.; Cappietti, L.; Zhang, J.; Zheng, Y.; Fernandez-Rodriguez, E. The influence of waves propagating with the current on the wake of a tidal stream turbine. Appl. Energy 2021, 290, 116729. [Google Scholar] [CrossRef]
- Zhang, Y.; Zhang, J.; Lin, X.; Wang, R.; Zhang, C.; Zhao, J. Experimental investigation into downstream field of a horizontal axis tidal stream turbine supported by a mono pile. Appl. Ocean. Res. 2020, 101, 102257. [Google Scholar] [CrossRef]
- Zhang, Y.; Zhang, Z.; Zheng, J.; Zhang, J.; Zheng, Y.; Zang, W.; Lin, X.; Fernandez-Rodriguez, E. Experimental investigation into effects of boundary proximity and blockage on horizontal-axis tidal turbine wake. Ocean. Eng. 2021, 225, 108829. [Google Scholar] [CrossRef]
- Saito, Y.; Sato, K. Instantaneous Behavior of Cavitation Clouds at Impingement of Cavitating Water-Jet. Prog. Multiph. Flow Res. 2007, 2007, 47–53. [Google Scholar] [CrossRef]
- Sato, K.; Sugimoto, Y.; Ohjimi, S. Pressure-Wave Formation and Collapses of Cavitation Clouds Impinging on Solid Wall in a Submerged Water Jet; University of Michigan: Ann Arbor, MI, USA, 2011. [Google Scholar]
- Yang, Y.; Li, W.; Shi, W.; Wang, C.; Zhang, W. Experimental Study on Submerged High-Pressure Jet and Parameter Optimization for Cavitation Peening. Mechanika 2020, 26, 346–353. [Google Scholar] [CrossRef]
- Zhang, W.; Ma, N.; Ma, J.; Li, C.; Ren, J. Experimental Study on the Unsteady Characteristics and the Impact Performance of a High-Pressure Submerged Cavitation Jet. Shock. Vib. 2020, 2020, 8862849. [Google Scholar]
- Nakano, K.; Hayakawa, M.; Fujikawa, S.; Yano, T. Cavitation Bubbles in a Starting Submerged Water Jet. Nihon Kikai Gakkai Ronbunshu B Hen Trans. Jpn. Soc. Mech. Eng. Part B 2001, 69, 5. [Google Scholar] [CrossRef]
- Sawamura, T.; Koshika, N. Velocity Measurement of Cavitation in Cavitating Jet Flow. Proc. JSME Annu. Meet. 2003, 2003, 155–156. [Google Scholar] [CrossRef]
- Gopalan, S.; Katz, J.; Knio, O. Near-field flow structure and cavitation inception in jets. In Proceedings of the 3rd ASME·JSME Joint Fluids Engineering Conference, San Francisco, CA, USA, 18–23 July 1999. [Google Scholar]
- Gopalan, S.; Katz, J.; Knio, O. The flow structure in the near field of jets and its effect on cavitation inception. J. Fluid Mech. 1999, 398, 1–43. [Google Scholar] [CrossRef]
- Mao, N.; Kang, C.; Zhou, M.M. POD Analysis of Submerged Jet Structure and Cavitation Cloud Evolution. J. Eng. Thermophys. 2019, 40, 2036–2042. [Google Scholar]
- Miltner, M.; Jordan, C.; Harasek, M. CFD simulation of straight and slightly swirling turbulent free jets using different RANS-turbulence models. Appl. Therm. Eng. 2015, 89, 1117–1126. [Google Scholar] [CrossRef]
- Yang, Y.; Shi, W.; Tan, L.; Li, W.; Chen, S.; Pan, B. Numerical Research of the Submerged High-Pressure Cavitation Water Jet Based on the RANS-LES Hybrid Model. Shock. Vib. 2021, 2021, 6616718. [Google Scholar] [CrossRef]
- Yang, Y.; Li, W.; Shi, W.; Zhang, W.; El-Emam, M.A. Numerical Investigation of a High-Pressure Submerged Jet Using a Cavitation Model Considering Effects of Shear Stress. Processes 2019, 7, 541. [Google Scholar] [CrossRef]
- Wang, Y.; Yuan, G.; Yoon, Y.-K.; Allen, M.G.; Bidstrup, S.A. Large eddy simulation (LES) for synthetic jet thermal management. Int. J. Heat Mass Transf. 2006, 49, 2173–2179. [Google Scholar] [CrossRef]
- Wang, Y.C.; Tan, L.; Cao, S.L.; Gao, C.C. Numerical study on flow structures of high Reynolds number submerged jet in an axis-symmetric cavity. In Proceedings of the 2014 ISFMFE-6th International Symposium on Fluid Machinery and Fluid Engineering, Wuhan, China, 22 October 2014. [Google Scholar]
- Wang, Y.C.; Gao, C.C.; Tan, L.; Cao, S.L. Hysteresis properties of submerged jet cavitation in axis-symmetrical cavity. J. Vib. Shock. 2015, 34, 118–122. [Google Scholar]
- Manninen, M.; Taivassalo, V.; Kallio, S. Mixture Model for Multiphase Flow; U.S. Department of Energy, Office of Scientific and Technical Information (OSTI): Oak Ridge, TN, USA, 1996.
- Nicoud, F.; Ducros, F. Subgrid-Scale Stress Modelling Based on the Square of the Velocity Gradient Tensor. Flow Turbul. Combust. 1999, 62, 183–200. [Google Scholar] [CrossRef]
- Zwart, P.J.; Gerber, A.G.; Belamri, T. A two-phase flow model for predicting cavitation dynamics. In Proceedings of the 5th International Conference on Multiphase Flow, Yokohama, Japan, 30 May–4 June 2004. [Google Scholar]
- Friedlander, S.; Lipton-Lifschitz, A. Chapter 8 Localized Instabilities in Fluids. Handb. Math. Fluid Dyn. 2003, 2, 289–354. [Google Scholar]
- Gohil, T.B.; Saha, A.K.; Muralidhar, K. Large eddy simulation of a free circular jet. J. Fluids Eng. 2014, 136, 051205. [Google Scholar] [CrossRef]
- Gohil, T.B.; Saha, A.K.; Muralidhar, K. Numerical study of instability mechanisms in a circular jet at low Reynolds numbers. Comput. Fluids 2012, 64, 1–18. [Google Scholar] [CrossRef]
- Brown, G.L.; Roshko, A. On density effects and large structure in turbulent mixing layers. J. Fluid Mech. Digit. Arch. 1974, 64, 775–816. [Google Scholar] [CrossRef]













Publisher’s Note: MDPI stays neutral with regard to jurisdictional claims in published maps and institutional affiliations. |
© 2022 by the authors. Licensee MDPI, Basel, Switzerland. This article is an open access article distributed under the terms and conditions of the Creative Commons Attribution (CC BY) license (https://creativecommons.org/licenses/by/4.0/).
Share and Cite
Yang, Y.; Wang, G.; Shi, W.; Li, W.; Ji, L.; Wang, H. Turbulence Characteristics in the Mixing Layer of a Submerged Cavitating Jet at High Reynolds Numbers. Sustainability 2022, 14, 11963. https://doi.org/10.3390/su141911963
Yang Y, Wang G, Shi W, Li W, Ji L, Wang H. Turbulence Characteristics in the Mixing Layer of a Submerged Cavitating Jet at High Reynolds Numbers. Sustainability. 2022; 14(19):11963. https://doi.org/10.3390/su141911963
Chicago/Turabian StyleYang, Yongfei, Gaowei Wang, Weidong Shi, Wei Li, Leilei Ji, and Hongliang Wang. 2022. "Turbulence Characteristics in the Mixing Layer of a Submerged Cavitating Jet at High Reynolds Numbers" Sustainability 14, no. 19: 11963. https://doi.org/10.3390/su141911963
APA StyleYang, Y., Wang, G., Shi, W., Li, W., Ji, L., & Wang, H. (2022). Turbulence Characteristics in the Mixing Layer of a Submerged Cavitating Jet at High Reynolds Numbers. Sustainability, 14(19), 11963. https://doi.org/10.3390/su141911963

