Exploring Spatiotemporal Dynamics of PM2.5 Emission Based on Nighttime Light in China from 2012 to 2018
Abstract
:1. Introduction
2. Data Sources with Research Area
2.1. Research Area
2.2. Data Source
2.2.1. Nighttime Light Data
2.2.2. Emission Data of PM2.5
2.2.3. Basic Geographic Data
3. Methodology
3.1. Description of Correlation Analysis Method
3.2. Estimation of Emissions of PM2.5
3.3. Analysis Method of PM2.5 Spatiotemporal Variation
4. Results and Discussion
4.1. Results of Correlation Analysis
4.2. Estimated Results and Comparative Analysis
4.3. Spatial and Temporal Dynamics of PM2.5 Emission and Night Light Maps
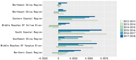
4.3.1. Spatial and Temporal Dynamics of PM2.5 Emission at Different Scales
4.3.2. Spatiotemporal Dynamics of Nighttime Light
4.3.3. Spatial and Temporal Dynamics between PM2.5 Emission and Night Light Maps and Night Light
4.4. Recommendations to Reduce PM2.5 Emission
5. Conclusions
Author Contributions
Funding
Institutional Review Board Statement
Informed Consent Statement
Data Availability Statement
Acknowledgments
Conflicts of Interest
References
- Huang, R.J.; Zhang, Y.; Bozzetti, C.; Ho, K.F.; Cao, J.J.; Han, Y.; Daellenbach, K.R.; Slowik, J.G.; Platt, S.M.; Canonaco, F.; et al. High secondary aerosol contribution to particulate pollution during haze events in China. Nature 2014, 514, 218–222. [Google Scholar] [CrossRef] [PubMed] [Green Version]
- Tian, S.; Pan, Y.; Liu, Z.; Wen, T.; Wang, Y. Size-resolved aerosol chemical analysis of extreme haze pollution events during early 2013 in urban Beijing, China. J. Hazard. Mater. 2014, 279, 452–460. [Google Scholar] [CrossRef] [PubMed]
- Wang, Y.; Yao, L.; Wang, L.; Liu, Z.; Ji, D.; Tang, G.; Zhang, J.; Sun, Y.; Hu, B.; Xin, J. Mechanism for the formation of the January 2013 heavy haze pollution episode over central and eastern China. Sci. China Earth Sci. 2014, 57, 14–25. [Google Scholar] [CrossRef]
- Chi, R.; Li, H.; Wang, Q.; Zhai, Q.; Wang, D.; Wu, M.; Liu, Q.; Wu, S.; Ma, Q.; Deng, F.; et al. Association of emergency room visits for respiratory diseases with sources of ambient PM2.5. J. Environ. Sci. 2019, 86, 154–163. [Google Scholar] [CrossRef] [PubMed]
- Wang, G.; Wang, Y.; Yin, W.; Xu, T.; Hu, C.; Cheng, J.; Hou, J.; He, Z.; Yuan, J. Seasonal exposure to PM2.5-bound polycyclic aromatic hydrocarbons and estimated lifetime risk of cancer: A pilot study. Sci. Total Environ. 2020, 702, 135056. [Google Scholar] [CrossRef]
- Dockery, D.W.; Pope, C.A.; Xu, X.; Spengler, J.D.; Ware, J.H.; Fay, M.E.; Ferris Jr, B.G.; Speizer, F.E. An association between air pollution and mortality in six US cities. N. Engl. J. Med. 1993, 329, 1753–1759. [Google Scholar] [CrossRef] [Green Version]
- Pope Iii, C.A.; Burnett, R.T.; Thun, M.J.; Calle, E.E.; Krewski, D.; Ito, K.; Thurston, G.D. Lung cancer, cardiopulmonary mortality, and long-term exposure to fine particulate air pollution. Jama 2002, 287, 1132–1141. [Google Scholar] [CrossRef] [Green Version]
- WHO (World Health Organization). 2018. Available online: https://www.who.int/en/newsroom/fact-sheets/detail/ambient-(outdoor)-air-quality-and-health (accessed on 3 January 2019).
- Fan, G.F.; Ma, H.; Zhang, X.W.; Liu, Y. Impacts of relative humidity and PM2.5 concentration on atmospheric visibility: A comparative study of hourly observations of multiple stations. Acta Meteor. Sin. 2016, 74, 959–973. [Google Scholar]
- Li, Z.; Guo, J.; Ding, A.; Liao, H.; Liu, J.; Sun, Y.; Wang, T.; Xue, H.; Zhang, H.; Zhu, B. Aerosol and boundary-layer interactions and impact on air quality. Natl. Sci. Rev. 2017, 4, 810–833. [Google Scholar] [CrossRef]
- Kuniyal, J.C.; Guleria, R.P. The current state of aerosol-radiation interactions: A mini review. J. Aerosol Sci. 2019, 130, 45–54. [Google Scholar] [CrossRef]
- Li, Y.; Liao, Q.; Zhao, X.G.; Bai, Y.; Tao, Y. Influence of PM2.5 Pollution on Health Burden and Economic Loss in China. Huanjing Kexue 2021, 42, 1688–1695. [Google Scholar]
- Ma, Y.R.; Ji, Q.; Fan, Y. Spatial linkage analysis of the impact of regional economic activities on PM2.5 pollution in China. J. Clean. Prod. 2016, 139, 1157–1167. [Google Scholar] [CrossRef]
- Hao, Y.; Peng, H.; Temulun, T.; Liu, L.Q.; Mao, J.; Lu, Z.N.; Chen, H. How harmful is air pollution to economic development? New evidence from PM2.5 concentrations of Chinese cities. J. Clean. Prod. 2018, 172, 743–757. [Google Scholar] [CrossRef]
- Wu, G.P.; Hu, W.; Teng, E.J. PM2.5 and PM10 pollution level in the four cities in China. China Environ. Sci. 1999, 19, 133–1387. [Google Scholar]
- Yu, H.L.; Wang, C.H.; Liu, M.C.; Kuo, Y.M. Estimation of fine particulate matter in Taipei using landuse regression and Bayesian maximum entropy method. Int. J. Environ. Res. Public Health 2011, 8, 2153–2169. [Google Scholar] [CrossRef] [Green Version]
- Lin, G.; Fu, J.; Jiang, D.; Hu, W.; Dong, D.; Huang, Y.; Zhao, M. Spatio-temporal variation of PM2.5 concentrations and their relationship with geographic and socioeconomic factors in China. Int. J. Environ. Res. Public Health 2014, 11, 173–186. [Google Scholar] [CrossRef] [Green Version]
- Wang, Z.B.; Fang, C.L.; Xu, G.; Pan, Y. Spatial-temporal characteristics of the PM2.5 in China in 2014. Acta Geogr. Sin. 2015, 70, 1720–1734. [Google Scholar]
- Yang, G.; Huang, J.; Li, X. Mining sequential patterns of PM2.5 pollution in three zones in China. J. Clean. Prod. 2018, 170, 388–398. [Google Scholar] [CrossRef]
- Maji, K.J.; Ye, W.F.; Arora, M.; Nagendra, S.S. PM2.5-related health and economic loss assessment for 338 Chinese cities. Environ. Int. 2018, 121, 392–403. [Google Scholar] [CrossRef]
- Li, Y.; Chen, B.; Fang, D.; Zhang, B.; Bai, J.; Liu, G.; Zhang, Y. Drivers of energy-related PM2. 5 emissions in the Jing-Jin-Ji region between 2002 and 2015. Appl. Energy 2021, 288, 116668. [Google Scholar] [CrossRef]
- Brook, R.D.; Rajagopalan, S.; Pope, C.A., III; Brook, J.R.; Bhatnagar, A.; Diez-Roux, A.V.; Holguin, F.; Hong, Y.; Luepker, R.V.; Mittleman, M.A.; et al. Particulate matter air pollution and cardiovascular disease: An update to the scientific statement from the American Heart Association. Circulation 2010, 121, 2331–2378. [Google Scholar] [CrossRef] [Green Version]
- Rückerl, R.; Schneider, A.; Breitner, S.; Cyrys, J.; Peters, A. Health effects of particulate air pollution: A review of epidemiological evidence. Inhal. Toxicol. 2011, 23, 555–592. [Google Scholar] [CrossRef] [PubMed]
- Samoli, E.; Stafoggia, M.; Rodopoulou, S.; Ostro, B.; Declercq, C.; Alessandrini, E.; Díaz, J.; Karanasiou, A.; Kelessis, A.G.; Le Tertre, A.; et al. Associations between fine and coarse particles and mortality in Mediterranean cities: Results from the MED-PARTICLES project. Environ. Health Perspect. 2013, 121, 932–938. [Google Scholar] [CrossRef] [PubMed] [Green Version]
- Stafoggia, M.; Samoli, E.; Alessandrini, E.; Cadum, E.; Ostro, B.; Berti, G.; Faustini, A.; Jacquemin, B.; Linares, C.; Pascal, M.; et al. Short-term associations between fine and coarse particulate matter and hospitalizations in Southern Europe: Results from the MED-PARTICLES project. Environ. Health Perspect. 2013, 121, 1026–1033. [Google Scholar] [CrossRef] [PubMed]
- Cesaroni, G.; Badaloni, C.; Gariazzo, C.; Stafoggia, M.; Sozzi, R.; Davoli, M.; Forastiere, F. Long-term exposure to urban air pollution and mortality in a cohort of more than a million adults in Rome. Environ. Health Perspect. 2013, 121, 324–331. [Google Scholar] [CrossRef] [Green Version]
- Raaschou-Nielsen, O.; Andersen, Z.J.; Beelen, R.; Samoli, E.; Stafoggia, M.; Weinmayr, G.; Hoffmann, B.; Fischer, P.; Nieuwenhuijsen, M.J.; Brunekreef, B.; et al. Air pollution and lung cancer incidence in 17 European cohorts: Prospective analyses from the European Study of Cohorts for Air Pollution Effects (ESCAPE). Lancet Oncol. 2013, 14, 813–822. [Google Scholar] [CrossRef]
- Atkinson, R.W.; Kang, S.; Anderson, H.R.; Mills, I.C.; Walton, H.A. Epidemiological time series studies of PM2.5 and daily mortality and hospital admissions: A systematic review and meta-analysis. Thorax 2014, 69, 660–665. [Google Scholar] [CrossRef] [Green Version]
- Beelen, R.; Raaschou-Nielsen, O.; Stafoggia, M.; Andersen, Z.J.; Weinmayr, G.; Hoffmann, B.; Wolf, K.; Samoli, E.; Fischer, P.; Nieuwenhuijsen, M.; et al. Effects of long-term exposure to air pollution on natural-cause mortality: An analysis of 22 European cohorts within the multicentre ESCAPE project. Lancet 2014, 383, 785–795. [Google Scholar]
- de Hoogh, K.; Héritier, H.; Stafoggia, M.; Künzli, N.; Kloog, I. Modelling daily PM2.5 concentrations at high spatio-temporal resolution across Switzerlan. Environ. Pollut. 2018, 233, 1147–1154. [Google Scholar] [CrossRef]
- Di, Q.; Kloog, I.; Koutrakis, P.; Lyapustin, A.; Wang, Y.; Schwartz, J. Assessing PM2.5 exposures with high spatiotemporal resolution across the continental United States. Environ. Sci. Technol. 2016, 50, 4712–4721. [Google Scholar]
- Kloog, I.; Nordio, F.; Coull, B.A.; Schwartz, J. Incorporating local land use regression and satellite aerosol optical depth in a hybrid model of spatiotemporal PM2.5 exposures in the Mid-Atlantic states. Environ. Sci. Technol. 2012, 46, 11913–11921. [Google Scholar] [CrossRef] [Green Version]
- Lee, M.; Kloog, I.; Chudnovsky, A.; Lyapustin, A.; Wang, Y.; Melly, S.; Coull, B.; Koutrakis, P.; Schwartz, J. Spatiotemporal prediction of fine particulate matter using high-resolution satellite images in the Southeastern US 2003–2011. J. Expo. Sci. Environ. Epidemiol. 2016, 26, 377–384. [Google Scholar] [CrossRef] [Green Version]
- Stafoggia, M.; Schwartz, J.; Badaloni, C.; Bellander, T.; Alessandrini, E.; Cattani, G.; De’Donato, F.; Gaeta, A.; Leone, G.; Lyapustin, A.; et al. Estimation of daily PM10 concentrations in Italy (2006–2012) using finely resolved satellite data, land use variables and meteorology. Environ. Int. 2017, 99, 234–244. [Google Scholar] [CrossRef]
- Wu, J.; Wang, Z.; Li, W.; Peng, J. Exploring factors affecting the relationship between light consumption and GDP based on DMSP/OLS nighttime satellite imagery. Remote Sens. Environ. 2013, 134, 111–119. [Google Scholar] [CrossRef]
- Dai, Z.; Hu, Y.; Zhao, G. The suitability of different nighttime light data for GDP estimation at different spatial scales and regional levels. Sustainability 2017, 9, 305. [Google Scholar] [CrossRef] [Green Version]
- Wang, J.; Liu, H.; Liu, H.; Huang, H. Spatiotemporal evolution of multiscale urbanization level in the Beijing-Tianjin-Hebei Region using the integration of DMSP/OLS and NPP/VIIRS night light datasets. Sustainability 2021, 13, 2000. [Google Scholar] [CrossRef]
- Xu, Z.; He, X.; Chen, L.; Hu, X.; Tang, W.; Li, J. How does the urbanization level change in the Yangtze River economic belt, China? A multi-scale evaluation using DMSP/OLS nighttime light data. In IOP Conference Series: Earth and Environmental Science; IOP Publishing: Bristol, UK, 2021; Volume 675, p. 012112. [Google Scholar]
- Qiang, Y.; Huang, Q.; Xu, J. Observing community resilience from space: Using nighttime lights to model economic disturbance and recovery pattern in natural disaster. Sustain. Cities Soc. 2020, 57, 102115. [Google Scholar] [CrossRef]
- Ji, G.; Tian, L.; Zhao, J.; Yue, Y.; Wang, Z. Detecting spatiotemporal dynamics of PM2.5 emission data in China using DMSP-OLS nighttime stable light data. J. Clean. Prod. 2019, 209, 363–370. [Google Scholar] [CrossRef]
- Fu, D.; Xia, X.; Duan, M.; Zhang, X.; Li, X.; Wang, J.; Liu, J. Mapping nighttime PM2.5 from VIIRS DNB using a linear mixed-effect model. Atmos. Environ. 2018, 178, 214–222. [Google Scholar] [CrossRef]
- Li, K.; Liu, C.S.; Jiao, P.L. Estimation of nighttime PM2.5 concentration in Shanghai based on NPP/VIIRS Day_Night Band data. Acta Sci. Circumstantiae 2019, 39, 1913–1922. [Google Scholar]
- Li, R.Y. Study on the Methodology of Using Nighttime Light Data to Retrieve Atmospheric Fine Particle’s Concentration; China University of Geosciences (Beijing): Beijing, China, 2015. [Google Scholar]
- Cao, Z.Y. Estimating the Spatial Distribution of GDP Based on Nighttime Light Image and Analysis of Correlation between It and PM2.5 Concentration; University of Chinese Academy of Sciences: Beijing, China, 2016. [Google Scholar]
- National Bureau of Statistics. Available online: https://data.stats.gov.cn/ (accessed on 10 October 2020).
- Hammer, M.S.; van Donkelaar, A.; Li, C.; Lyapustin, A.; Sayer, A.M.; Hsu, N.C.; Levy, R.C.; Garay, M.J.; Kalashnikova, O.V.; Kahn, R.A.; et al. Global estimates and long-term trends of fine particulate matter concentrations (1998–2018). Environ. Sci. Technol. 2020, 54, 7879–7890. [Google Scholar] [CrossRef]

















| Data | Data Explanation | Year | Source |
|---|---|---|---|
| Nighttime light imagery | Flint beta1 (28,800 × 11,200 pixels) | 2012–2018 | http://satsee.radi.ac.cn/cfimage/nightlight/ (accessed on 8 October 2020) |
| PM2.5 emission data | Atmospheric Composition Analysis Group (V4.CH.03) | 2012–2018 | https://sites.wustl.edu/acag/datasets/surface-pm2-5/ (accessed on 15 October 2022) |
| Geographic coordinates | National basic geographic data | - | https://www.webmap.cn/main.do?method=index (accessed on 9 October 2020) |
| OLS Regression Results | ||||||
|---|---|---|---|---|---|---|
| Dep. Variable: | PM2.5 | R-squared: | 0.619 | |||
| Model: | OLS | Adj. R-squared: | 0.618 | |||
| Method: | Least Squares | F-statistic: | 349.9 | |||
| Date: | Tue, 3 August 2021 | Prob (F-statistic): | 5.47 ∗ 10−47 | |||
| Time: | 20:28:19 | Log-Likelihood: | −2131.5 | |||
| No. Observations: | 217 | AIC: | 4267 | |||
| Df Residuals: | 215 | BIC: | 4274 | |||
| Df Model: | 1 | |||||
| Covariance Type: | nonrobust | |||||
| coef | std err | t | P > |t| | [0.025 0.975] | ||
| Intercept | 643.2097 | 416.592 | 1.544 | 0.124 | −177.918 | 1464.338 |
| Light | 0.0054 | 0.000 | 18.706 | 0.000 | 0.005 | 0.006 |
| Omnibus: | 84.767 | Durbin-Watson: | 1.807 | |||
| Prob (Omnibus): | 0.000 | Jarque-Bera (JB): | 1720.083 | |||
| Skew: | 0.935 | Prob (JB): | 0.00 | |||
| Kurtosis: | 16.665 | Cond. No. | 1.98 ∗ 106 | |||
| Year | p | |
|---|---|---|
| 2012 | 0.808 | 0.000 |
| 2013 | 0.789 | 0.000 |
| 2014 | 0.823 | 0.000 |
| 2015 | 0.814 | 0.000 |
| 2016 | 0.812 | 0.000 |
| 2017 | 0.828 | 0.000 |
| 2018 | 0.827 | 0.000 |
Publisher’s Note: MDPI stays neutral with regard to jurisdictional claims in published maps and institutional affiliations. |
© 2022 by the authors. Licensee MDPI, Basel, Switzerland. This article is an open access article distributed under the terms and conditions of the Creative Commons Attribution (CC BY) license (https://creativecommons.org/licenses/by/4.0/).
Share and Cite
Li, D.; Ding, Z.; Liu, J.; He, Q.; Naeem, H. Exploring Spatiotemporal Dynamics of PM2.5 Emission Based on Nighttime Light in China from 2012 to 2018. Sustainability 2022, 14, 14011. https://doi.org/10.3390/su142114011
Li D, Ding Z, Liu J, He Q, Naeem H. Exploring Spatiotemporal Dynamics of PM2.5 Emission Based on Nighttime Light in China from 2012 to 2018. Sustainability. 2022; 14(21):14011. https://doi.org/10.3390/su142114011
Chicago/Turabian StyleLi, Deguang, Zhicheng Ding, Jianghuan Liu, Qiurui He, and Hamad Naeem. 2022. "Exploring Spatiotemporal Dynamics of PM2.5 Emission Based on Nighttime Light in China from 2012 to 2018" Sustainability 14, no. 21: 14011. https://doi.org/10.3390/su142114011
APA StyleLi, D., Ding, Z., Liu, J., He, Q., & Naeem, H. (2022). Exploring Spatiotemporal Dynamics of PM2.5 Emission Based on Nighttime Light in China from 2012 to 2018. Sustainability, 14(21), 14011. https://doi.org/10.3390/su142114011

