Effects of Composting Yard Waste Temperature on Seed Germination of a Major Tropical Invasive Weed, Leucaena leucocephala
Abstract
1. Introduction
2. Materials and Methods
2.1. Seeds of Leucaena leucocephala and Wood Chips
2.2. Thermal Treatments on Seeds
2.2.1. Constant Temperature Treatment
2.2.2. Composting Temperature Treatment
2.3. Germination Test and Seedling Growth Test
2.3.1. Germination Test
2.3.2. Seedling Growth Test
2.4. Statistical Analysis
3. Results and Discussion
3.1. Effect of Constant Temperature Treatment on Seed Germination of L. leucocephala
3.2. Effect of Composting Temperature Treatment on Seed Germination of L. leucocephala
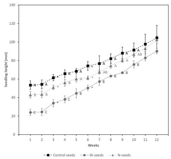
3.3. Effect of Composting Temperature Treatment on Seedling Growth of L. leucocephala
3.4. Practical Implications
4. Conclusions
Author Contributions
Funding
Institutional Review Board Statement
Informed Consent Statement
Data Availability Statement
Acknowledgments
Conflicts of Interest
References
- Law, C.M.; Lee, E.K.; Au, K.L. Hong Kong citizens’ socio-demographic dynamics of urban yard waste facilities siting and legislation preferences. Sustainability 2022, 14, 6555. [Google Scholar] [CrossRef]
- Brown, S. Greenhouse gas accounting for landfill diversion of food scraps and yard waste. Compost Sci. Util. 2015, 24, 11–19. [Google Scholar] [CrossRef]
- Stavi, I. On-site use of plant litter and yard waste as mulch in gardening and landscaping systems. Sustainability 2020, 12, 7521. [Google Scholar] [CrossRef]
- Shi, Y.; Ge, Y.; Chang, J.; Shao, H.; Tang, Y. Garden waste biomass for renewable and sustainable energy production in China: Potential, challenges and development. Renew. Sust. Energ. Rev. 2013, 22, 432–437. [Google Scholar] [CrossRef]
- Hubbe, M.; Nazhad, M.M.; Sánchez, C. Composting as a way to convert cellulosic biomass and organic waste into high-value soil amendments: A review. Bioresources 2010, 5, 2808–2854. [Google Scholar] [CrossRef]
- Reyes-Torres, M.; Oviedo-Ocaña, E.R.; Dominguez, I.; Komilis, D.; Sánchez, A. A systematic review on the composting of green waste: Feedstock quality and optimization strategies. Waste Manag. 2018, 77, 486–499. [Google Scholar] [CrossRef]
- Grundy, A.C.; Green, J.M.; Bond, B.; Burston, S.; Lennartsson, M. The development of methods to determine weed seed contamination in municipal composts. Acta Hortic. 1998, 469, 179–186. [Google Scholar] [CrossRef]
- Thompson, A.J.; Jones, N.E.; Blair, A.M. The effect of temperature on viability of imbibed weed seeds. Ann. Appl. Biol. 1997, 130, 123–134. [Google Scholar] [CrossRef]
- Larney, F.J.; Blackshaw, R.E. Weed seed viability in composted beef cattle feedlot manure. J. Environ. Qual. 2003, 32, 1105–1113. [Google Scholar] [CrossRef]
- Yaacoby, T.; Goldwasser, Y.; Paporish, A.; Rubin, B. Germination of Phelipanche aegyptiaca and Cuscuta campestris seeds in composted farm manure. Crop Prot. 2005, 72, 76–82. [Google Scholar] [CrossRef]
- Lowe, S.; Browne, M.; Boudjelas, S.; De Poorter, M. 100 of the World’s Worst Invasive Alien Species: A Selection from the Global Invasive Species Database; Invasive Species Specialist Group: Auckland, New Zealand, 2000; Volume 12. [Google Scholar]
- Nehdi, I.A.; Sbihi, H.; Tan, C.P.; Al-Resayes, S.I. Leucaena leucocephala (Lam.) de Wit seed oil: Characterization and uses. Ind. Crops Prod. 2014, 52, 582–587. [Google Scholar] [CrossRef]
- Sharma, P.; Kaur, A.; Batish, D.R.; Kaur, S.; Chauhan, B.S. Critical insights into the ecological and invasive attributes of Leucaena leucocephala, a tropical agroforestry species. Front. Agron. 2022, 41, 890992. [Google Scholar] [CrossRef]
- Ahmed, R.; Hoque, A.; Hossain, M. Allelopathic effects of Leucaena leucocephala leaf litter on some forest and agricultural crops grown in nursery. J. For. Res. 2008, 19, 298–302. [Google Scholar] [CrossRef]
- Boaprem, P. Allelopathic effects of leucaena leaves extract (Leucaena leucocephala (Lam.) de Wit) on the growth of rice (Oryza sativa L.), wrinkle duck-beak (Ischaemum rugosum Salisb), and mung bean (Vigna radiata (L.) R. Wilczek). Songklanakarin. J. Sci. Tech. 2019, 41, 619–623. [Google Scholar]
- Kato-Noguchi, H.; Kurniadie, D. Allelopathy and Allelochemicals of Leucaena leucocephala as an Invasive Plant Species. Plants 2022, 11, 1672. [Google Scholar] [CrossRef]
- Sharma, S.; Naithani, R.; Varghese, B.; Sahu, K.; Naithani, S.C. Effect of hot-water treatment on seed germination of some fast growing tropical tree species. J. Trop. For. 2008, 24, 49–53. [Google Scholar]
- Westerman, P.R.; Gerowitt, B. Weed seed survival during anaerobic digestion in biogas plants. Bot. Rev. 2013, 79, 281–316. [Google Scholar] [CrossRef]
- Wan, J.Z.; Wang, C.J. Expansion risk of invasive plants in regions of high plant diversity: A global assessment using 36 species. Ecol. Inform. 2018, 46, 8–18. [Google Scholar] [CrossRef]
- CABI (Centre for Agriculture and Bioscience International). Invasive Species Compendium: Leucaena leucocephala (leucaena). 2021. Available online: Cabi.org/isc/datasheet/31634 (accessed on 28 September 2022).
- McDonald, C.K. Germination response to temperature in tropical and subtropical pasture legumes. 1. Constant temperature. Aust. J. Exp. Agric. 2002, 42, 407–419. [Google Scholar] [CrossRef]
- Tadros, M.; Samarah, N.; Alqudah, A. Effect of different pre-sowing seed treatments on the germination of Leucaena leucocephala (Lam.) and Acacia farnesiana (L.). New For. 2012, 42, 397–407. [Google Scholar] [CrossRef]
- Bichoff, R.S.; Okumura, R.S.; Oliveira, R.S.; Sodre, D.C.; Valente, G.F. Overcoming seed dormancy and evaluation of viability in Leucaena leucocephala. Aust. J. Crop Sci. 2018, 12, 168–172. [Google Scholar] [CrossRef]
- Yousif, M.; Wang, Y.; Dali, C. Seed dormancy overcoming and seed coat structure change in Leucaena leucocephala and Acacia nilotica. For. Sci. Tech. 2019, 16, 18–25. [Google Scholar] [CrossRef]
- Dhanda, S.; Chauhan, B.S. Seed germination ecology of leucaena (Leucaena leucocephala) as influenced by various environmental parameters. Weed Sci. 2022, 70, 335–340. [Google Scholar] [CrossRef]
- Eghball, B.; Lesoing, G.W. Viability of weed seeds following manure windrow composting. Compost Sci. Util. 2000, 8, 46–53. [Google Scholar] [CrossRef]
- Tompkins, D.K.; Chaw, D.; Abiola, A.T. Effect of windrow composting on weed seed germination and viability. Compost Sci. Util 1998, 6, 30–34. [Google Scholar] [CrossRef]
- Zaller, J.G. Seed germination of the weed Rumex obtusifolius after on-farm conventional, biodynamic and vermicomposting of cattle manure. Ann. Appl. Biol. 2007, 151, 245–249. [Google Scholar] [CrossRef]
- Liu, T.; Wang, M.; Awasthi, M.K.; Chen, H.; Awasthi, S.K.; Duan, Y.; Zhang, Z. Measurement of cow manure compost toxicity and maturity based on weed seed germination. J. Clean. Prod. 2020, 245, 118894. [Google Scholar] [CrossRef]
- ISTA. International Rules for Seed Testing. 2018. Available online: https://www.seedtest.org/en/home.html (accessed on 28 September 2022).
- Avnimelech, Y.; Eilat, R.; Porat, Y.; Kottas, P.A. Factors affecting the rate of windrow composting in field studies. Compost Sci. Util. 2004, 12, 114–118. [Google Scholar] [CrossRef]
- OECD. Terrestrial plants, growth test: Seedling emergence and seeding growth Test. In Guideline for Testing of Chemicals 208; OECD: Paris, France, 1984. [Google Scholar]
- ATSM. Standard Guide for Conducting Terrestrial Plant Toxicity Tests; ATSM International: West Conshohocken, PA, USA, 2003; pp. 1534–1554. [Google Scholar]
- Chow, H.Y.; Pan, M. Fertilization value of biosolids on nutrient accumulation and environmental risks to agricultural plants. Water Air Soil Poll. 2020, 231, 578. [Google Scholar] [CrossRef]
- Önen, H.; Farooq, S.; Tad, S.; Özaslan, C.; Gunal, H.; Chauhan, B.S. The influence of environmental factors on germination of Burcucumber (Sicyos angulatus) seeds: Implications for range expansion and management. Weed Sci. 2018, 66, 494–501. [Google Scholar] [CrossRef]
- Heidari, Z.; Kamkar, B.; Masoud Sinaky, J. Influence of temperature on seed germination response of fennel. Adv. Plants Agric. Res. 2014, 1, 00032. [Google Scholar]
- Egley, G.H. High-temperature effects on germination and survival of weed seeds in soil. Weed Sci. 1990, 38, 429–435. [Google Scholar] [CrossRef]
- Urbanova, T.; Leubner-Metzger, G. Gibberellins and seed germination. Ann. Plant Rev. 2016, 49, 253–284. [Google Scholar]
- Guo, C.; Shen, Y.; Shi, F. Effect of temperature, light, and storage time on the seed germination of Pinus bungeana Zucc. ex Endl.: The role of seed-covering layers and abscisic acid changes. Forests 2020, 11, 300. [Google Scholar] [CrossRef]
- Rusdy, M. Enhancement of seedling emergence and early growth of Leucaena leucocephala by hot water, mechanical and acid scarification pre-treatments. Int. J. Appl. Environ. Sci. 2017, 12, 857–863. [Google Scholar]
- Koobonye, M.; Maule, B.V.; Mogotsi, K. Mechanical scarification and hot water treatments enhance germination of Leucaena Leucocephala (Lam.) seeds. Livest. Res. Rural Dev. 2018, 30, 2. [Google Scholar]
- Hwang, C.Y.; Hsu, L.M.; Liou, Y.J.; Wang, C.Y. Distribution, growth, and seed germination ability of lead tree (Leucaena leucocephala) plants in Penghu Islands, Taiwan. Weed Technol. 2010, 24, 574–582. [Google Scholar] [CrossRef]
- Mohamed-Yasseen, Y.; Barringer, S.; Splittstoesser, W.; Costanza, S. The role of seed coats in seed viability. Bot. Rev. 1997, 60, 426–439. [Google Scholar] [CrossRef]
- Rusdy, M. Improvement of seed germination and early seedling growth of Leucaena leucocephala by cold water, mechanical and acid scarification pretreatment. Int. J. Res. Sci. Publ. 2016, 1, 1–6. [Google Scholar]
- Yuan, X.; Wen, B. Seed germination response to high temperature and water stress in three invasive Asteraceae weeds from Xishuangbanna, SW China. PLoS ONE 2018, 13, e0191710. [Google Scholar] [CrossRef]
- White, S.S.; Renner, K.A.; Menalled, F.D.; Landis, D.A. Feeding preferences of weed seed predators and effect on weed emergence. Weed Sci. 2007, 55, 606–612. [Google Scholar] [CrossRef]
- Nishida, T.; Shimizu, N.; Ishida, M.; Onoue, T.; Harashima, N. Effect of cattle digestion and of composting heat on weed seeds. Jpn Agric. Res. Q. 1998, 32, 55–60. [Google Scholar]
- Ozores-Hampton, M.; Stoffella, P.J.; Bewick, T.A.; Cantliffe, D.J.; Obreza, T.A. Effect of age of cocomposted MSW and biosolids on weed seed germination. Compost Sci. Util. 1999, 7, 51–57. [Google Scholar] [CrossRef]
- Wiese, A.F.; Sweeten, J.M.; Bean, B.W.; Salisbury, C.D.; Chenault, E.W. High temperature composting of cattle feedlot manure kills weed seed. Appl. Eng. Agric. 1998, 14, 377–380. [Google Scholar] [CrossRef]
- Hills, P.N.; Van Staden, J. Thermoinhibition of seed germination. S. Afr. Bot. 2003, 69, 455–461. [Google Scholar] [CrossRef]
- Chang, R.; Li, Y.; Chen, Q.; Guo, Q.; Jia, J. Comparing the effects of three in situ methods on nitrogen loss control, temperature dynamics and maturity during composting of agricultural wastes with a stage of temperatures over 70 C. J. Environ. Manag. 2019, 230, 119–127. [Google Scholar] [CrossRef]
- Insam, H.; De Bertoldi, M. Microbiology of the composting process. Waste Manag. Ser. 2007, 8, 25–48. [Google Scholar]




| Treatment | Available N (mg/kg) | Available P (mg/kg) | Available K (mg/kg) | Total N (g/kg) | Total P (g/kg) | Total K (g/kg) | pH | Conductivity (mS/cm) | Water Holding Capacity (%) | TOC (%) | ||||||||||
|---|---|---|---|---|---|---|---|---|---|---|---|---|---|---|---|---|---|---|---|---|
| M | SD | M | SD | M | SD | M | SD | M | SD | M | SD | M | SD | M | SD | M | SD | M | SD | |
| Control seeds | 76.1 | 8.0 | 92.9 | 5.0 | 73.7 | 14.7 | 5.5 | 0.2 | 5.1 | 0.3 | 66.0 | 2.6 | 37.0 | 3.4 | 98.6 | 8.5 | 172.5 | 33.2 | 283.4 | 61.4 |
| W-seeds | 77.5 | 11.6 | 89.4 | 10.6 | 77.8 | 15.9 | 5.4 | 0.3 | 4.9 | 0.6 | 63.0 | 4.0 | 36.3 | 2.9 | 137.1 | 25.9 | 255.4 | 51.2 | 280.6 | 21.7 |
| N-seeds | 82.3 | 6.6 | 83.3 | 3.7 | 81.8 | 10.0 | 5.5 | 0.1 | 5.6 | 0.4 | 65.3 | 5.5 | 34.1 | 4.0 | 116.5 | 13.3 | 172.7 | 41.1 | 258.5 | 50.2 |
Publisher’s Note: MDPI stays neutral with regard to jurisdictional claims in published maps and institutional affiliations. |
© 2022 by the authors. Licensee MDPI, Basel, Switzerland. This article is an open access article distributed under the terms and conditions of the Creative Commons Attribution (CC BY) license (https://creativecommons.org/licenses/by/4.0/).
Share and Cite
Pan, M.; Hui, L.C.; Law, C.M.Y.; Auyeung, S.M. Effects of Composting Yard Waste Temperature on Seed Germination of a Major Tropical Invasive Weed, Leucaena leucocephala. Sustainability 2022, 14, 13638. https://doi.org/10.3390/su142013638
Pan M, Hui LC, Law CMY, Auyeung SM. Effects of Composting Yard Waste Temperature on Seed Germination of a Major Tropical Invasive Weed, Leucaena leucocephala. Sustainability. 2022; 14(20):13638. https://doi.org/10.3390/su142013638
Chicago/Turabian StylePan, Min, Ling Chui Hui, Caroline Man Yee Law, and Sen Mei Auyeung. 2022. "Effects of Composting Yard Waste Temperature on Seed Germination of a Major Tropical Invasive Weed, Leucaena leucocephala" Sustainability 14, no. 20: 13638. https://doi.org/10.3390/su142013638
APA StylePan, M., Hui, L. C., Law, C. M. Y., & Auyeung, S. M. (2022). Effects of Composting Yard Waste Temperature on Seed Germination of a Major Tropical Invasive Weed, Leucaena leucocephala. Sustainability, 14(20), 13638. https://doi.org/10.3390/su142013638

