Experimental Study on the Preparation of a Highly Active Bacterial Suspension for MICP in the South China Sea
Abstract
:1. Introduction
2. Materials and Methods
3. Results
3.1. Test Results
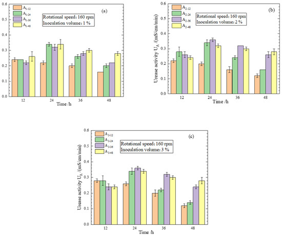
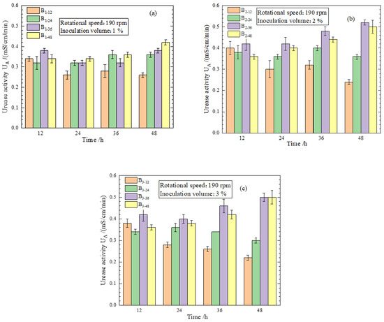
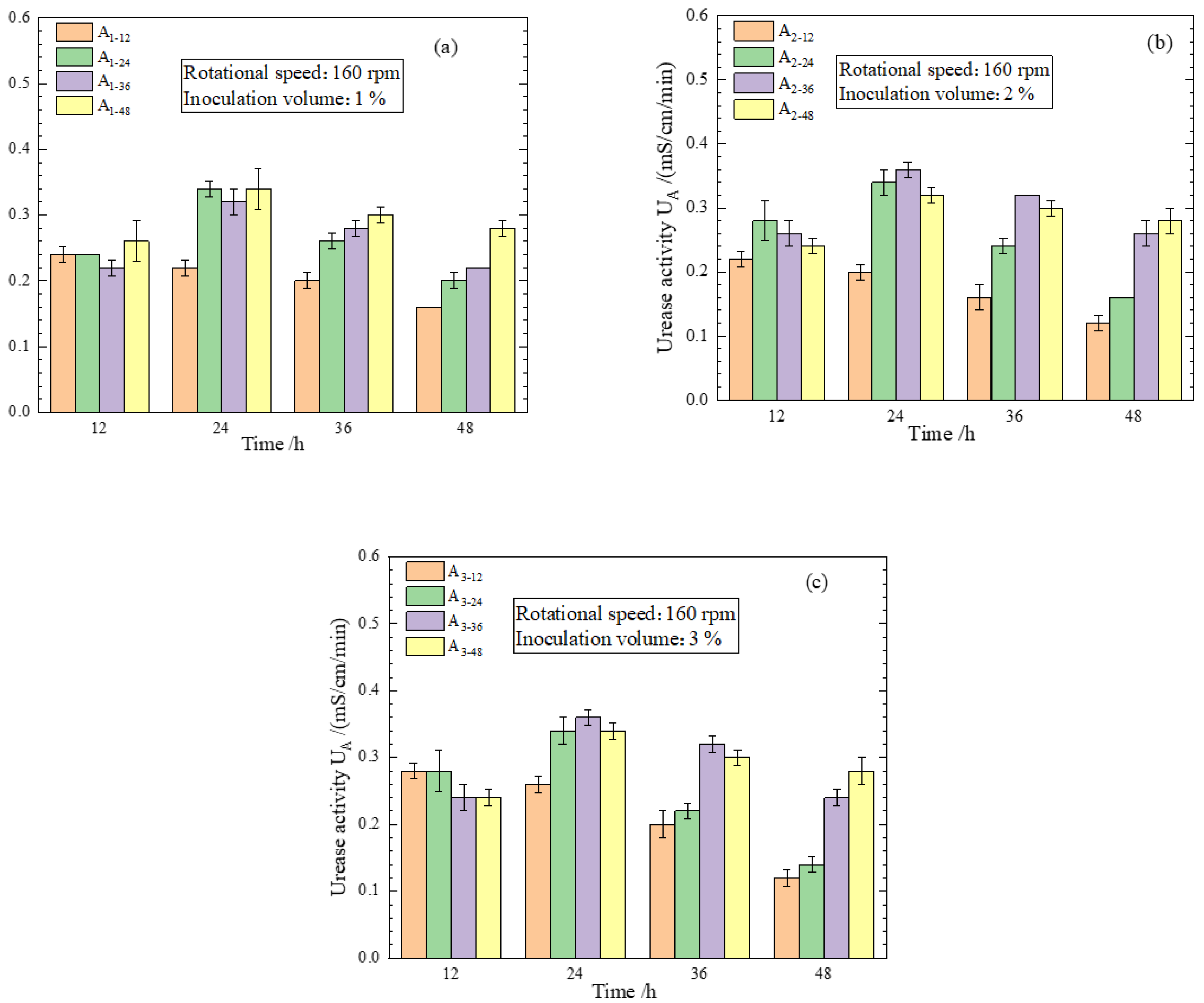
3.1.1. Effect of Inoculum Volume on Urease Activity
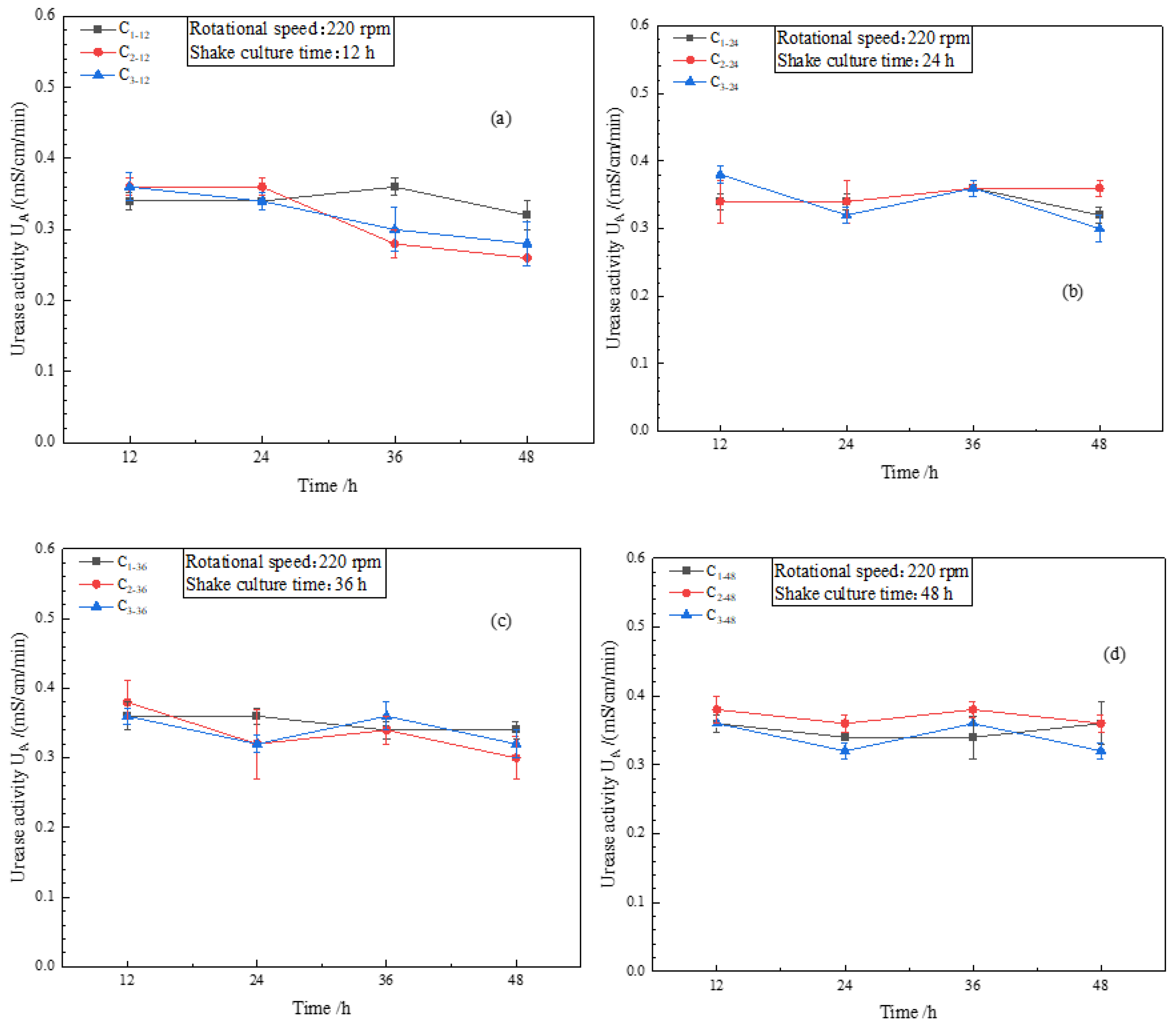
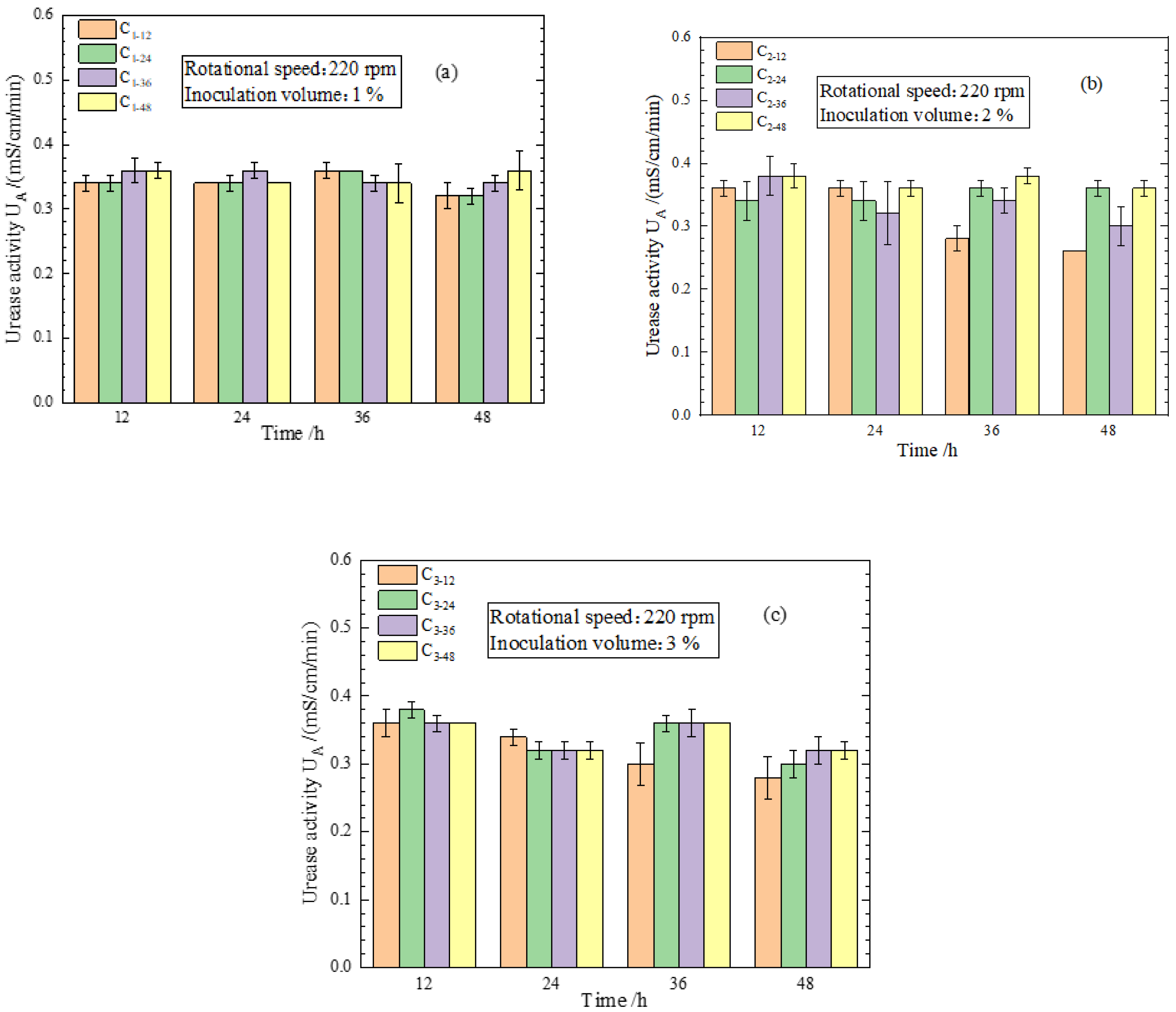
3.1.2. Effect of Rotational Speed on Urease Activity
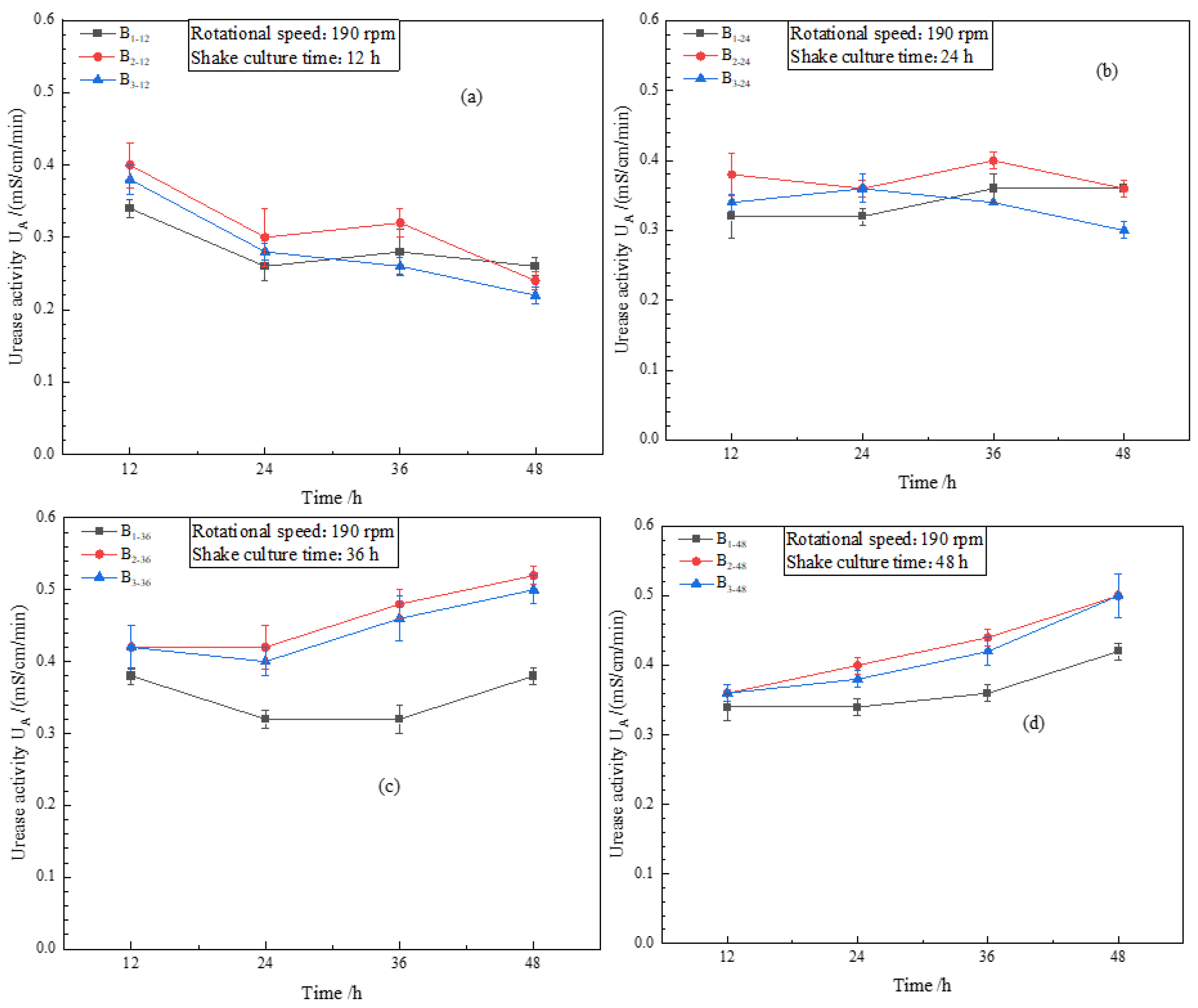
3.1.3. Effect of Shake Culture Time on Urease Activity
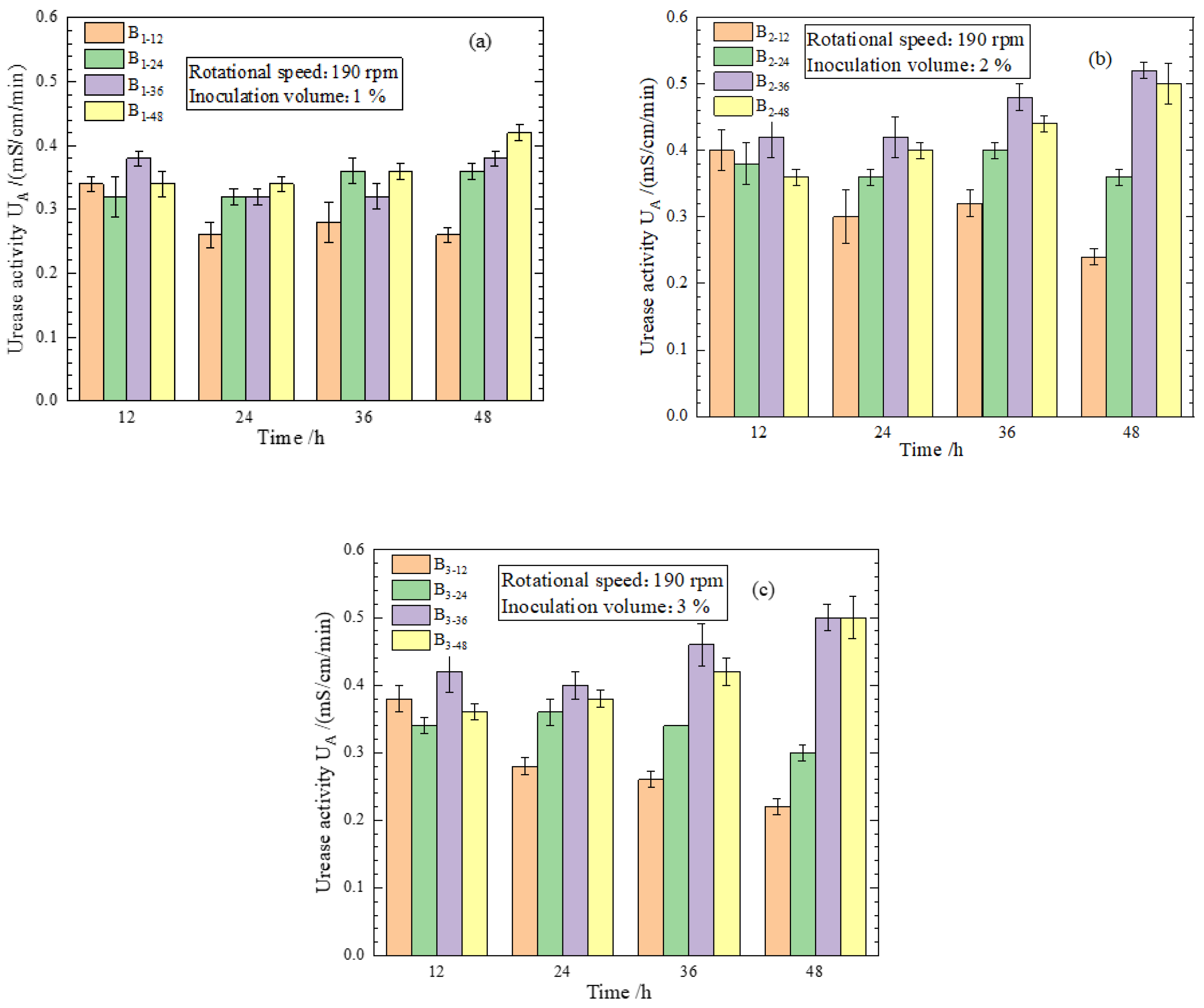
3.2. Discussion of Peak Urease Activity
Author Contributions
Funding
Institutional Review Board Statement
Informed Consent Statement
Data Availability Statement
Conflicts of Interest
References
- Yang, S.; Shen, X.; Liu, H.; Ge, H.; Rui, X. Gradation affects basic mechanical characteristics of Chinese calcareous sand as airport subgrade of reefs. Mar. Georesour. Geotechnol. 2020, 38, 706–715. [Google Scholar] [CrossRef]
- Wang, X.; Liu, J.Q.; Cui, J.; Wang, X.Z.; Shen, J.H.; Zhu, C.Q. Particle breakage characteristics of a foundation filling material on island-reefs in the South China Sea. Constr. Build. Mater. 2021, 306, 124690. [Google Scholar] [CrossRef]
- Cheng, L.; Cord-Ruwisch, R.; Shahin, M.A. Cementation of sand soil by microbially induced calcite precipitation at various degrees of saturation. Can. Geotech. J. 2013, 50, 81–90. [Google Scholar] [CrossRef]
- Han, Z.; Cheng, X.; Ma, Q. An experimental study on dynamic response for MICP strengthening liquefiable sands. Earthq. Eng. Eng. Vib. 2016, 15, 673–679. [Google Scholar] [CrossRef]
- Lin, H.; Suleiman, M.T.; Brown, D.G. Investigation of pore-scale CaCO3 distributions and their effects on stiffness and permeability of sands treated by microbially induced carbonate precipitation (MICP). Soils Found. 2020, 60, 944–961. [Google Scholar] [CrossRef]
- Whitaker, J.M.; Vanapalli, S.; Fortin, D. Improving the strength of sandy soils via ureolytic CaCO3 solidification by Sporosarcina ureae. Biogeosciences 2018, 15, 4367–4380. [Google Scholar] [CrossRef] [Green Version]
- Liu, S.; Yu, J.; Zeng, W.; Peng, X.; Cai, Y.; Tu, B. Study on the effect of microbially induced calcium carbonate precipitation on repairing cracks in triangular soils. J. Rock Mech. Eng. 2020, 39, 191–204. [Google Scholar]
- Yue, J.W.; Chen, Y.; Zhao, L.M.; Zhang, B.; Kong, Q.M.; Gu, L.H.; Lu, H.F. Strength characteristics and mechanism of action of glutinous rice slurry improved imitation site soil at Chi Cheng site. J. Civ. Environ. Eng. 2022, 44, 195–204, (In Chinese and English). [Google Scholar]
- Mu, B.; Gui, Z.; Lu, F.; Petropoulos, E.; Yu, Y. Microbial-Induced Carbonate Precipitation Improves Physical and Structural Properties of Nanjing Ancient City Walls. Materials 2021, 14, 5665. (In Chinese) [Google Scholar] [CrossRef] [PubMed]
- Liu, S.; Yu, J.; Peng, X.; Cai, Y.; Tu, B. Preliminary study on repairing tabia cracks by using microbially induced carbonate precipitation. Constr. Build. Mater. 2020, 248, 118611. (In Chinese) [Google Scholar] [CrossRef]
- Cheng, L.; Shahin, M.A. Stabilisation of oil-contaminated soils using microbially induced calcite crystals by bacterial flocs. Géotechnique Lett. 2017, 7, 146–151. [Google Scholar] [CrossRef]
- Chen, X.; Zhang, D.; Larson, S.L.; Ballard, J.H.; Knotek-Smith, H.M.; Nie, J.; Hu, N.; Ding, D.; Han, F.X. Microbially Induced Carbonate Precipitation Techniques for the Remediation of Heavy Metal and Trace Element–Polluted Soils and Water. Water Air Soil Pollut. 2021, 232, 268. [Google Scholar] [CrossRef]
- Wei, T.; Yashir, N.; An, F.; Imtiaz, S.A.; Li, X.; Li, H. Study on the performance of carbonate-mineralized bacteria combined with eggshell for immobilizing Pb and Cd in water and soil. Environ. Sci. Pollut. Res. 2022, 29, 2924–2935. [Google Scholar] [CrossRef] [PubMed]
- Lyu, C.; Qin, Y.; Chen, T.; Zhao, Z.; Liu, X. Microbial induced carbonate precipitation contributes to the fates of Cd and Se in Cd-contaminated seleniferous soils. J. Hazard. Mater. 2022, 423, 126977. [Google Scholar] [CrossRef] [PubMed]
- Rahman, M.M.; Hora, R.N.; Ahenkorah, I.; Beecham, S.; Karim, M.R.; Iqbal, A. State-of-the-Art Review of Microbial-Induced Calcite Precipitation and Its Sustainability in Engineering Applications. Sustainability 2020, 12, 6281. [Google Scholar] [CrossRef]
- Stocks-Fischer, S.; Galinat, J.K.; Bang, S.S. Microbiological precipitation of CaCO3. Soil Biol. Biochem. 1999, 31, 1563–1571. [Google Scholar] [CrossRef]
- De Muynck, W.; De Belie, N.; Verstraete, W. Microbial carbonate precipitation in construction materials: A review. Ecol. Eng. 2010, 36, 118–136. [Google Scholar] [CrossRef]
- Fujita, M.; Nakashima, K.; Achal, V.; Kawasaki, S. Whole-cell evaluation of urease activity of Pararhodobacter sp. isolated from peripheral beachrock. Biochem. Eng. J. 2017, 124, 1–5. [Google Scholar] [CrossRef]
- Zhao, X. Experimental Study of Microbially Induced Calcium Carbonate Precipitation (MICP) Curing Soil. Ph.D. Thesis, China University of Geosciences, Beijing, China, 2014. Available online: https://cdmd.cnki.com.cn/Article/CDMD-11415-1014249450.htm (accessed on 14 June 2022). (In Chinese).
- Lv, C.; Tang, C.; Zhu, C.; Li, W.; Chen, T.; Zhao, L.; Pan, X. Environmental Dependence of Microbially Induced Calcium Carbonate Crystal Precipitations: Experimental Evidence and Insights. J. Geotech. Geoenviron. Eng. 2022, 148, 04022050. [Google Scholar] [CrossRef]
- Liang, S.; Xiao, X.; Li, Z.; Feng, D. Effect of Nutrient Solution Composition on Bio-Cemented Sand. Crystals 2021, 11, 1572. [Google Scholar] [CrossRef]
- Tang, C.; Yin, L.; Jiang, N.; Zhu, C.; Zeng, H.; Li, H.; Shi, B. Factors affecting the performance of microbial-induced carbonate precipitation (MICP) treated soil: A review. Environ. Earth Sci. 2020, 79, 94. [Google Scholar] [CrossRef]
- Al-Thawadi, S. High Strength In-Situ Biocementation of Soil by Calcite Precipitating Locally Isolated Ureolytic Bacteria. Ph.D. Thesis, Murdoch University, Perth, Australia, 2008. Available online: https://researchrepository.murdoch.edu.au/id/eprint/721/ (accessed on 14 June 2022).
- Lai, H.J.; Cui, M.J.; Wu, S.F.; Yang, Y.; Chu, J. Retarding effect of concentration of cementation solution on biocementation of soil. Acta Geotech. 2021, 16, 1457–1472. [Google Scholar] [CrossRef]
- Han, Z.G.; Cheng, X.H. Exploration of the effect of nutrient salts on microbial reinforcement of liquefiable sandy soils. Ind. Constr. 2015, 45, 19–22. (In Chinese) [Google Scholar]
- Zhang, Y.; Guo, H.X.; Cheng, X.H. Influences of calcium sources on microbially induced carbonate precipitation in porous media. Mater. Res. Innov. 2014, 18 (Suppl. 2), S2-79—S2-84. [Google Scholar] [CrossRef]
- Li, C.; Wei, T.; Ji, B.; Lei, X.; Wang, X. Effects of different calcium sources and Ca2+ concentrations on MICP. Environ. Sci. Technol. 2018, 41, 30–34. (In Chinese) [Google Scholar]
- Maleki Kakelar, M.; Yavari, M.; Yousefi, M.R.; Nimtaj, A. The Influential Factors in the Effectiveness of Microbial Induced Carbonate Precipitation (MICP) for Soil Consolidation. J. Hum. Environ. Health Promot. 2020, 6, 40–46. [Google Scholar] [CrossRef]
- Erşan, Y.Ç.; de Belie, N.; Boon, N. Microbially induced CaCO3 precipitation through denitrification: An optimization study in minimal nutrient environment. Biochem. Eng. J. 2015, 101, 108–118. [Google Scholar] [CrossRef]
- Wang, Y.; Jin, Z.; Wu, L. Preservation and management of microbial strains. Shanghai Prev. Med. 2007, 19, 87–88. [Google Scholar]
- Chu, J.; Stabnikov, V.; Ivanov, V. Microbially Induced Calcium Carbonate Precipitation on Surface or in the Bulk of Soil. Geomicrobiol. J. 2012, 29, 544–549. (In Chinese) [Google Scholar] [CrossRef]
- Chen, H. Study on the Influence of Compression and Shear Properties of Grade Paired MICP Reinforced Sandy Soils. Master’s Thesis, Chongqing University, Chongqing, China, 2019. Available online: https://cdmd.cnki.com.cn/Article/CDMD-10611-1019905958.htm (accessed on 14 June 2022).
- Xu, W.; Zheng, J.; Chu, J.; Zhang, R.; Cui, M.; Lai, H.; Zeng, C. New method for using N-(N-butyl)-thiophosphoric triamide to improve the effect of microbial induced carbonate precipitation. Constr. Build. Mater. 2021, 313, 125490. (In Chinese) [Google Scholar] [CrossRef]
- Whiffin, V.S. Microbial CaCO3 Precipitation for the Production of Biocement. Ph.D. Thesis, Murdoch University, Perth, Australia, 2004. Available online: https://researchrepository.murdoch.edu.au/id/eprint/399/ (accessed on 14 June 2022).












| Ingredients | Content/L |
|---|---|
| MnSO4·H2O | 10 mg |
| NiCl2·6H2O | 24 mg |
| NH4Cl | 10 g |
| Yeast extract | 20 g |
| Agar powder | 15 g (for solid media) |
| Experimental Number | Inoculation Volume (%) | Rotational Speed (rpm) | Cultivation Time (h) 48 h in Total | Temperature (°C) | Interval of Activity Measurement (h) | |
|---|---|---|---|---|---|---|
| Shake Culture (h) | Stationary Culture (h) | |||||
| A1-12 | 1 | 160 | 12 | 36 | 30 | 12 |
| A1-24 | 24 | 24 | ||||
| A1-36 | 36 | 12 | ||||
| A1-48 | 48 | 0 | ||||
| A2-12 | 2 | 12 | 36 | |||
| A2-24 | 24 | 24 | ||||
| A2-36 | 36 | 12 | ||||
| A2-48 | 48 | 0 | ||||
| A3-12 | 3 | 12 | 36 | |||
| A3-24 | 24 | 24 | ||||
| A3-36 | 36 | 12 | ||||
| A3-48 | 48 | 0 | ||||
| B1-12 | 1 | 190 | 12 | 36 | 30 | 12 |
| B1-24 | 24 | 24 | ||||
| B1-36 | 36 | 12 | ||||
| B1-48 | 48 | 0 | ||||
| B2-12 | 2 | 12 | 36 | |||
| B2-24 | 24 | 24 | ||||
| B2-36 | 36 | 12 | ||||
| B2-48 | 48 | 0 | ||||
| B3-12 | 3 | 12 | 36 | |||
| B3-24 | 24 | 24 | ||||
| B3-36 | 36 | 12 | ||||
| B3-48 | 48 | 0 | ||||
| A1-12 | 1 | 220 | 12 | 36 | 30 | 12 |
| A1-24 | 24 | 24 | ||||
| A1-36 | 36 | 12 | ||||
| A1-48 | 48 | 0 | ||||
| A2-12 | 2 | 12 | 36 | |||
| A2-24 | 24 | 24 | ||||
| A2-36 | 36 | 12 | ||||
| A2-48 | 48 | 0 | ||||
| A3-12 | 3 | 12 | 36 | |||
| A3-24 | 24 | 24 | ||||
| A3-36 | 36 | 12 | ||||
| A3-48 | 48 | 0 | ||||
| 12 h | 24 h | 36 h | 48 h | |
|---|---|---|---|---|
| 1% | 0.38 | 0.36 | 0.36 | 0.42 |
| Number | B1-36 | C1-36 | B1-24, B1-48, C1-12, C1-24 | B1-48 |
| 2% | 0.42 | 0.42 | 0.48 | 0.52 |
| Number | B2-36 | B2-36 | B2-36 | B2-36 |
| 3% | 0.42 | 0.40 | 0.46 | 0.50 |
| Number | B3-36 | B3-36 | B3-36 | B3-36, B3-48 |
Publisher’s Note: MDPI stays neutral with regard to jurisdictional claims in published maps and institutional affiliations. |
© 2022 by the authors. Licensee MDPI, Basel, Switzerland. This article is an open access article distributed under the terms and conditions of the Creative Commons Attribution (CC BY) license (https://creativecommons.org/licenses/by/4.0/).
Share and Cite
Zhou, Y.; Hu, J.; Wu, Y.; Zeng, H.; Zeng, D.; Wang, Z. Experimental Study on the Preparation of a Highly Active Bacterial Suspension for MICP in the South China Sea. Sustainability 2022, 14, 9748. https://doi.org/10.3390/su14159748
Zhou Y, Hu J, Wu Y, Zeng H, Zeng D, Wang Z. Experimental Study on the Preparation of a Highly Active Bacterial Suspension for MICP in the South China Sea. Sustainability. 2022; 14(15):9748. https://doi.org/10.3390/su14159748
Chicago/Turabian StyleZhou, Yuxuan, Jun Hu, Yuwei Wu, Hui Zeng, Dongling Zeng, and Zhixin Wang. 2022. "Experimental Study on the Preparation of a Highly Active Bacterial Suspension for MICP in the South China Sea" Sustainability 14, no. 15: 9748. https://doi.org/10.3390/su14159748
APA StyleZhou, Y., Hu, J., Wu, Y., Zeng, H., Zeng, D., & Wang, Z. (2022). Experimental Study on the Preparation of a Highly Active Bacterial Suspension for MICP in the South China Sea. Sustainability, 14(15), 9748. https://doi.org/10.3390/su14159748

