The Impact Effect of Coal Price Fluctuations on China’s Agricultural Product Price
Abstract
1. Introduction
2. Literature Review
3. Materials and Methods
3.1. Data Sources and Selection
3.2. Model Specification and Settings
3.2.1. Stationarity Test and CUSUM Test
3.2.2. Impulse Response Function and Variance Decomposition Analysis
4. Results
4.1. Stationarity Test
4.2. Time Series Model Establishment and CUSUM Test
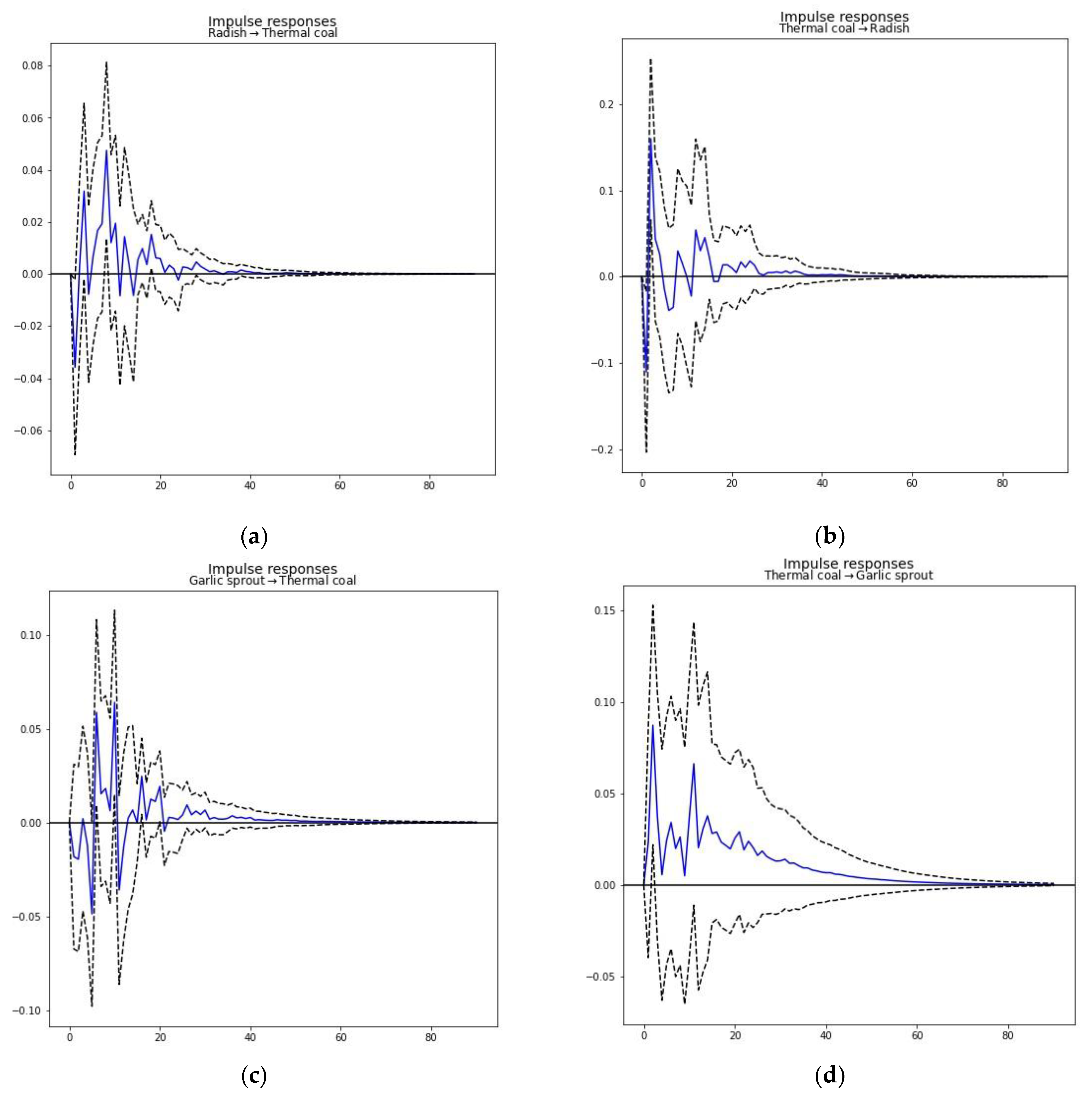
4.3. Impulse Response Function and Variance Decomposition Analysis
5. Conclusions
Author Contributions
Funding
Institutional Review Board Statement
Informed Consent Statement
Data Availability Statement
Conflicts of Interest
References
- Yang, J.; Qian, T.; Zheng, X.; Zhao, J.; Xu, Y. Analysis of the features of vegetable price trend and its influencing factors at national and regional scale in China. J. China Agric. Univ. 2021, 26, 188–198. [Google Scholar]
- Song, C.; Xiao, X.; Li, C. The impacts of local agricultural insurance policies on agricultural product market: A case study of Wuhan vegetable market. Res. Agric. Mod. 2021, 42, 85–93. [Google Scholar]
- Gouel, C. Agricultural Price Instability: A Survey Of Competing Explanations And Remedies. J. Econ. Surv. 2012, 26, 129–156. [Google Scholar] [CrossRef]
- Guo, Y.; Hu, X.N.; Wang, Z.P.; Tang, W.; Liu, D.Y.; Luo, Y.Z.; Xu, H.X. The butterfly effect in the price of agricultural products: A multidimensional spatial-temporal association mining. Agric. Econ.-Zemed. Ekon. 2021, 67, 457–467. [Google Scholar] [CrossRef]
- Li, Y.Z.; Liu, J.S.; Yang, H.Y.; Chen, J.X.; Xiong, J. A Bibliometric Analysis of Literature on Vegetable Prices at Domestic and International Markets-A Knowledge Graph Approach. Agriculture 2021, 11, 951. [Google Scholar] [CrossRef]
- Zhen, H.; Gao, W.; Yuan, K.; Ju, X.; Qiao, Y. Internalizing externalities through net ecosystem service analysis€"A case study of greenhouse vegetable farms in Beijing. Ecosyst. Serv. 2021, 50, 101323. [Google Scholar] [CrossRef]
- Cao, Y.; Mohiuddin, M. Sustainable Emerging Country Agro-Food Supply Chains: Fresh Vegetable Price Formation Mechanisms in Rural China. Sustainability 2019, 11, 2814. [Google Scholar] [CrossRef]
- Ma, Z.; Xu, R.; Dong, X. World oil prices and agricultural commodity prices: The evidence from China. Agric. Econ. 2015, 61, 564–576. [Google Scholar] [CrossRef]
- De Winne, J.; Peersman, G. The adverse consequences of global harvest and weather disruptions on economic activity. Nat. Clim. Change 2021, 11, 665–672. [Google Scholar] [CrossRef]
- Roache, S.K. What Explains the Rise in Food Price Volatility? IMF Work. Pap. 2010, 10, 1. [Google Scholar] [CrossRef][Green Version]
- Bailliu, J.; Dib, A.; Kano, T.; Schembri, L.L. Multilateral Adjustment and Exchange Rate Dynamics: The Case of Three Commodity Currencies. Staff. Work. Pap. 2007, 7–41. Available online: https://www.econstor.eu/handle/10419/53820 (accessed on 2 April 2022).
- Kelvin Balcombe, R.R. Economist. Bayesian Estimation and Selection of Nonlinear Vector Error Correction Models: The Case of the Sugar-Ethanol-Oil Nexus in Brazil. Am. J. Agric. Econ. 2008, 90, 658–668. [Google Scholar] [CrossRef]
- Babcock, B.A. The impact of US biofuel policies on agricultural price levels and volatility. China Agric. Econ. Rev. 2012, 4, 407–426. [Google Scholar] [CrossRef]
- Gohin, A.; Chantret, F. The long-run impact of energy prices on world agricultural markets: The role of macro-economic linkages. Energy Policy 2010, 38, 333–339. [Google Scholar] [CrossRef]
- Tokgoz, S. Impact of Energy Markets on the EU Agricultural Sector; The Center for Agricultural and Rural Development (CARD) Publications: 2009. Available online: https://www.card.iastate.edu/products/ublications/df/9wp485.pdf (accessed on 20 April 2022).
- Rosegrant, M.W.; Zhu, T.; Sulser, M.T. Global Scenarios for Biofuels: Impacts and Implications. Rev. Agric. Econ. 2008, 30, 495–505. [Google Scholar] [CrossRef]
- Cross, J.; Nguyen, B.H. Time varying macroeconomic effects of energy price shocks: A new measure for China. Energy Econ. 2018, 73, 146–160. [Google Scholar] [CrossRef]
- Hesary, F.T.; Yoshino, N.; Abdoli, G.; Farzinvash, A. An Estimation of the Impact of Oil Shocks on Crude Oil Exporting Economies and Their Trade Partners. Front. Econ. China 2013, 8, 571–591. [Google Scholar]
- Du, L.; He, Y.; Chu, W. The relationship between oil price shocks and China’s macro-economy: An empirical analysis. Energy Policy 2010, 38, 4142–4151. [Google Scholar] [CrossRef]
- Ciaian, P.; Kancs, D. Interdependencies in the Energy-Bioenergy-Food Price Systems: A Cointegration Analysis. Resour. Energy Econ. 2011, 33, 326–348. [Google Scholar] [CrossRef]
- Baek, J.; Koo, W.W. Analyzing Factors Affecting U.S. Food Price Inflation. Can. J. Agric. Econ./Rev. Can. D’agroeconomie 2010, 58, 303–320. [Google Scholar] [CrossRef]
- Solaymani, S. Social and economic aspects of the recent fall in global oil prices. Department of Economics, Faculty of Humanities, Arak University, Arak, Iran. Int. J. Energy Sect. Manag. 2019, 13, 258–276. [Google Scholar] [CrossRef]
- Abbott, P.C.; Hurt, C.; Tyner, W.E. What’s Driving Food Prices in 2011? 2011. Available online: https://www.semanticscholar.org/paper/What%E2%80%99s-Driving-Food-Prices-in-2011-Abbott-Hurt/5110b3c5c39782b7994f2948e2f40197bfc226b5?p2df (accessed on 1 May 2022).
- Zelingher, R.; Ghermandi, A.; De Cian, E.; Mistry, M.; Kan, I. Economic impacts of climate change on vegetative agriculture markets in Israel. Environ. Resour. Econ. 2019, 74, 679–696. [Google Scholar] [CrossRef]
- Fan, D.H.S. Anatomy of a Crisis: The Causes and Consequences of Surging Food Prices. Soc. Sci. Electron. Publ. 2008, 39, 375–391. [Google Scholar] [CrossRef]
- Braun, J.V. The world food situation: New driving forces and required actions. Food Policy Rep. 2007, 25, 37–39. [Google Scholar]
- Serra, T. Volatility spillovers between food and energy markets: A semiparametric approach. Energy Econ. 2011, 33, 1155–1164. [Google Scholar] [CrossRef]
- Chen, Y.C.; Rogoff, K.; Rossi, B. Can Exchange Rates Forecast Commodity Prices? Soc. Sci. Electron. Publ. 2010, 125, 1145–1194. [Google Scholar] [CrossRef]
- Jingdong, L.I.; Xiande, L.I. Financialization in Price Fluctuation of Chinese Small-scale Agricultural Commodities—An Empirical Study Based on the Price Data of Garlic and Mung Bean. J. Agrotech. Econ. 2018, 8, 98–111. [Google Scholar]
- Song, C.M.; Chong-Guang, L.I. Study of Seasonal Adjusted Vegetable Price Fluctuation and the Impact of Currency in Circulation; Statistics & Information Forum: 2012. Available online: http://en.cnki.com.cn/Article_en/CJFDTOTAL-TJLT201203016.htm (accessed on 25 April 2022).
- Song, C.M.; Juan, X.U.; Jian, L.I. Dynamic Impact of Currency Supply on Volatility of Vegetable Price—Based on Time-varying Parameter Model. J. Huazhong Agric. Univ. (Soc. Sci. Ed.) 2014, 114, 31–36. [Google Scholar]
- Hassan, D.; Simioni, M. Price Linkage and Transmission between Shippers and Retailers in the French Fresh Vegetable Channel; 2002; Available online: https://www.researchgate.net/publication/23509131_Price_Linkage_and_Transmission_between_Shippers_and_Retailers_in_the_French_Fresh_Vegetable_Channel (accessed on 1 May 2022).
- Jingdong, L.I.; Xiande, L.I.; Wang, S. Analysis on Financialization of Potato Price Fluctuation under Background of Developing Potato as Staple Food. J. Huazhong Agric. Univ. (Soc. Sci. Ed.) 2017, 38, 13–21. [Google Scholar]
- Cui, C.; Guo-Wei, L.I. Analysis of Structural Change Characteristics and Influencing Factors of China’s Agricultural Product Prices. J. Appl. Stat. Manag. 2019, 38, 1–15. Available online: http://en.cnki.com.cn/Article_en/CJFDTotal-SLTJ201901002.htm (accessed on 2 May 2022).
- Malpezzi, S. A Simple Error Correction Model of House Prices. J. Hous. Econ. 1999, 8, 27–62. [Google Scholar] [CrossRef]
- Shan, S.; Ahmad, M.; Tan, Z.; Adebayo, T.S.; Li, R.Y.M.; Kirikkaleli, D. The role of energy prices and non-linear fiscal decentralization in limiting carbon emissions: Tracking environmental sustainability. Energy 2021, 234, 121243. [Google Scholar] [CrossRef]
- Nazlioglu, S.; Soytas, U. Oil price, agricultural commodity prices, and the dollar: A panel cointegration and causality analysis. Energy Econ. 2012, 34, 1098–1104. [Google Scholar] [CrossRef]
- Harri, A.; Nalley, L.L.; Hudson, D. The Relationship between Oil, Exchange Rates, and Commodity Prices. J. Agric. Appl. Econ. 2009, 41, 501–510. [Google Scholar] [CrossRef]
- Zafeiriou, E.; Arabatzis, G.; Karanikola, P.; Tampakis, S.; Tsiantikoudis, S. Agricultural commodities and crude oil prices: An empirical investigation of their relationship. Sustainability 2018, 10, 1199. [Google Scholar] [CrossRef]
- Wang, Y.; Zhao, S.; Yang, Z.; Liu, D.J. Food versus crude oil: What do prices tell us? Evidence from China. China Agric. Econ. Rev. 2015. Available online: https://www.emerald.com/insight/content/doi/10.1108/CAER-09-2014-0091/full/html (accessed on 2 May 2022). [CrossRef]
- Taghizadeh-Hesary, F.; Rasoulinezhad, E.; Yoshino, N. Energy and food security: Linkages through price volatility. Energy Policy 2019, 128, 796–806. [Google Scholar] [CrossRef]
- Jing, H.E.; Wang, S.Y. The Research on Conduction Effect of Oil Prices Fluctuations on Grain Prices: Based on empirical test of APT-ECM models. Math. Pract. Theory 2015, 216–224. Available online: https://www.oriprobe.com/journals/sxdsjyrs/2015_8.html (accessed on 2 May 2022).
- Zhang, X.; Qing, P.; Yu, X. Short supply chain participation and market performance for vegetable farmers in China. Aust. J. Agric. Resour. Econ. 2019, 63, 282–306. [Google Scholar] [CrossRef]
- Lundberg, C.; Skolrud, T.; Adrangi, B.; Chatrath, A. Oil price pass through to agricultural commodities. Am. J. Agric. Econ. 2021, 103, 721–742. [Google Scholar] [CrossRef]
- Yashavanth, B.; Singh, K.; Paul, A.K.; Paul, R.K. Forecasting prices of coffee seeds using vector autoregressive time series model. Indian J. Agric. Sci. 2017, 87, 754–758. [Google Scholar]
- Sasikumar, R.; Abdullah, A.S. Vector autoregressive approach for impact of oil India stock price on fuel price in India. Commun. Stat. Case Stud. Data Anal. Appl. 2017, 3, 41–47. [Google Scholar] [CrossRef]
- Nugroho, A.; Hartati, S.; Mustofa, K. Vector Autoregression (Var) Model for Rainfall Forecast and Isohyet Mapping in Semarang–Central Java–Indonesia. Int. J. Adv. Comput. Sci. Appl. 2014, 5, 11. [Google Scholar] [CrossRef]
- Mauricio, J.A. An algorithm for the exact likelihood of a stationary vector autoregressive-moving average model. J. Time Ser. Anal. 2002, 23, 473–486. [Google Scholar] [CrossRef]
- Widarjono, A. Econometrics Introduction and Its Application; UPP STIM YKPN: Yogyakarta, Indonesia, 2013. [Google Scholar]
- Dao, P.B. A CUSUM-based approach for condition monitoring and fault diagnosis of wind turbines. Energies 2021, 14, 3236. [Google Scholar] [CrossRef]
- Brown, R.L.; Durbin, J.; Evans, J.M. Techniques for testing the constancy of regression relationships over time. J. R. Stat. Soc. Ser. B (Methodol.) 1975, 37, 149–163. [Google Scholar] [CrossRef]
- Adeola, O.; Ikpesu, F. An empirical investigation of the impact of bank lending on agricultural output in Nigeria: A vector autoregressive (VAR) approach. J. Dev. Areas 2016, 50, 89–103. [Google Scholar] [CrossRef]


| Variables | ADF Value | Model Type | Critical Value | Stationary | ||
|---|---|---|---|---|---|---|
| 1% | 5% | 10% | ||||
| Thermal coal | −0.324 | Constant and trend term | −3.966 | −3.414 | −3.129 | No |
| Radish | −4.039 | Constant and trend term | −3.966 | −3.414 | −3.129 | Yes |
| Garlic sprout | −3.545 | Constant and trend term | −3.966 | −3.414 | −3.129 | Yes |
| Leek | −4.543 | Constant and trend term | −3.966 | −3.414 | −3.129 | Yes |
| Green pepper | −3.980 | Constant and trend term | −3.966 | −3.414 | −3.129 | Yes |
| Tomato | −3.745 | Constant and trend term | −3.966 | −3.414 | −3.129 | Yes |
| Δ Thermal coal | −6.141 | Only trend term | −3.435 | −2.864 | −2.568 | Yes |
| Δ Radish | −9.047 | Only trend term | −3.436 | −2.864 | −2.568 | Yes |
| Δ Garlic sprout | −7.254 | Only trend term | −3.436 | −2.864 | −2.568 | Yes |
| Δ Leek | −4.916 | Only trend term | −3.436 | −2.864 | −2.568 | Yes |
| Δ Green pepper | −7.720 | Only trend term | −3.436 | −2.864 | −2.568 | Yes |
| Δ Tomato | −7.988 | Only trend term | −3.436 | −2.864 | −2.568 | Yes |
| Thermal Coal and Radish | ||||
| Lag Phase | AIC | BIC | FPE | HQIC |
| 0 | −19.03 | −19.02 | 5.433 × 10−9 | −19.03 |
| 1 | −19.15 | −19.03 * | 4.803 × 10−9 | −19.11 * |
| 2 | −19.18 * | −18.94 | 4.688 × 10−9* | −19.09 |
| 3 | −19.16 | −18.81 | 4.765 × 10−9 | −19.03 |
| Thermal Coal and Garlic Sprout | ||||
| Lag Phase | AIC | BIC | FPE | HQIC |
| 0 | −19.54 | −19.53 | 3.280 × 10−9 | −19.53 |
| 1 | −19.92 | −19.79 * | 2.238 × 10−9 | −19.87 * |
| 2 | −19.94 * | −19.70 | 2.191 × 10−9* | −19.85 |
| 3 | −19.92 | −19.57 | 2.225 × 10−9 | −19.79 |
| Thermal Coal and Leek | ||||
| Lag Phase | AIC | BIC | FPE | HQIC |
| 0 | −19.49 | −19.48 | 3.433 × 10−9 | −19.49 |
| 1 | −19.80 | −19.68 * | 2.517 × 10−9 | −19.75 |
| 2 | −19.85 * | −19.61 | 2.404 × 10−9 * | −19.76 * |
| 3 | −19.83 | −19.47 | 2.452 × 10−9 | −19.69 |
| Thermal Coal and Green Pepper | ||||
| Lag Phase | AIC | BIC | FPE | HQIC |
| 0 | −19.08 | −19.07 | 5.193 × 10−9 | −19.07 |
| 1 | −19.52 | −19.40 * | 3.337 × 10−9 | −19.47 * |
| 2 | −19.56 * | −19.32 | 3.209 × 10−9 * | −19.47 * |
| 3 | −19.54 | −19.19 | 3.259 × 10−9 | −19.41 |
| Thermal Coal and Tomato | ||||
| Lag Phase | AIC | BIC | FPE | HQIC |
| 0 | −19.01 | −19.01 | 5.523 × 10−9 | −19.01 |
| 1 | −19.36 | −19.24 * | 3.897 × 10−9 | −19.32 * |
| 2 | −19.40 * | −19.17 | 3.740 × 10−9 * | −19.31 |
| 3 | −19.39 | −19.04 | 3.799 × 10−9 | −19.26 |
| Variables | p Value | Conclusions |
|---|---|---|
| Radish | 0.544 | Stationary |
| Garlic sprout | 0.530 | Stationary |
| Leek | 0.373 | Stationary |
| Green pepper | 0.583 | Stationary |
| Tomato | 0.675 | Stationary |
| Lag Period | 0 | 10 | 20 | 30 | 40 | 50 | 60 | |||
|---|---|---|---|---|---|---|---|---|---|---|
| Product | ||||||||||
| Thermal coal and radish | Thermal coal variance decomposition | Thermal coal | 1.0000 | 0.9851 | 0.9832 | 0.9830 | 0.9830 | 0.9830 | 0.9830 | |
| Radish | 0.0000 | 0.0149 | 0.0168 | 0.0170 | 0.0170 | 0.0170 | 0.0170 | |||
| Radish variance decomposition | Thermal coal | 0.0032 | 0.0174 | 0.0196 | 0.0199 | 0.0200 | 0.0200 | 0.0200 | ||
| Radish | 0.9968 | 0.9826 | 0.9804 | 0.9801 | 0.9800 | 0.9800 | 0.9800 | |||
| Thermal coal and garlic sprout | Thermal coal variance decomposition | Thermal coal | 1.0000 | 0.9864 | 0.9833 | 0.9830 | 0.9830 | 0.9830 | 0.9829 | |
| Garlic sprout | 0.0000 | 0.0136 | 0.0167 | 0.0170 | 0.0170 | 0.0170 | 0.0171 | |||
| Garlic sprout variance decomposition | Thermal coal | 0.0013 | 0.0116 | 0.0177 | 0.0197 | 0.0202 | 0.0203 | 0.0203 | ||
| Garlic sprout | 0.9987 | 0.9884 | 0.9823 | 0.9803 | 0.9798 | 0.9797 | 0.9797 | |||
| Thermal coal and Leek | Thermal coal variance decomposition | Thermal coal | 1.0000 | 0.9750 | 0.9727 | 0.9721 | 0.9718 | 0.9716 | 0.9716 | |
| Leek | 0.0000 | 0.0250 | 0.0273 | 0.0279 | 0.0282 | 0.0284 | 0.0284 | |||
| Leek variance decomposition | Thermal coal | 0.0003 | 0.0047 | 0.0134 | 0.0176 | 0.0198 | 0.0209 | 0.0215 | ||
| Leek | 0.9997 | 0.9953 | 0.9866 | 0.9824 | 0.9802 | 0.9791 | 0.9785 | |||
| Thermal coal and green pepper | Thermal coal variance decomposition | Thermal coal | 1.0000 | 0.9777 | 0.9744 | 0.9741 | 0.9741 | 0.9741 | 0.9741 | |
| Green pepper | 0.0000 | 0.0223 | 0.0256 | 0.0259 | 0.0259 | 0.0259 | 0.0259 | |||
| Green pepper variance decomposition | Thermal coal | 0.0055 | 0.0166 | 0.0314 | 0.0371 | 0.0392 | 0.0398 | 0.0400 | ||
| Green pepper | 0.9945 | 0.9834 | 0.9686 | 0.9629 | 0.9608 | 0.9602 | 0.9600 | |||
| Thermal coal and tomato | Thermal coal variance decomposition | Thermal coal | 1.0000 | 0.9811 | 0.9788 | 0.9785 | 0.9785 | 0.9785 | 0.9785 | |
| Tomato | 0.0000 | 0.0189 | 0.0212 | 0.0215 | 0.0215 | 0.0215 | 0.0215 | |||
| Tomato variance decomposition | Thermal coal | 0.0007 | 0.0146 | 0.0249 | 0.0270 | 0.0274 | 0.0275 | 0.0275 | ||
| Tomato | 0.9993 | 0.9854 | 0.9751 | 0.9730 | 0.9726 | 0.9725 | 0.9725 | |||
Publisher’s Note: MDPI stays neutral with regard to jurisdictional claims in published maps and institutional affiliations. |
© 2022 by the authors. Licensee MDPI, Basel, Switzerland. This article is an open access article distributed under the terms and conditions of the Creative Commons Attribution (CC BY) license (https://creativecommons.org/licenses/by/4.0/).
Share and Cite
Du, W.; Wu, Y.; Zhang, Y.; Gao, Y. The Impact Effect of Coal Price Fluctuations on China’s Agricultural Product Price. Sustainability 2022, 14, 8971. https://doi.org/10.3390/su14158971
Du W, Wu Y, Zhang Y, Gao Y. The Impact Effect of Coal Price Fluctuations on China’s Agricultural Product Price. Sustainability. 2022; 14(15):8971. https://doi.org/10.3390/su14158971
Chicago/Turabian StyleDu, Wenbin, You Wu, Yunliang Zhang, and Ya Gao. 2022. "The Impact Effect of Coal Price Fluctuations on China’s Agricultural Product Price" Sustainability 14, no. 15: 8971. https://doi.org/10.3390/su14158971
APA StyleDu, W., Wu, Y., Zhang, Y., & Gao, Y. (2022). The Impact Effect of Coal Price Fluctuations on China’s Agricultural Product Price. Sustainability, 14(15), 8971. https://doi.org/10.3390/su14158971

