Abstract
Few studies have used China’s latest economic data to verify the interaction between coal price fluctuation and vegetable price fluctuation. Therefore, the sharing of existing knowledge in the academic community is mainly reflected in this paper, which explores the influence between coal prices and agricultural product prices for the first time. Further, it supplements the verification of the effective parameters of vegetable price fluctuation in academia. The current study investigates the relationship between coal prices (thermal coal price) and agricultural product prices (vegetable prices) in China from 2016 to 2021. It uses separate time-series models to verify the effect of China’s coal price fluctuation on the price of agricultural products and explores the effect of the coal price on the vegetables’ price trend. The results confirm that the thermal coal price significantly impacts and positively affects vegetable prices. There is also a linkage between the price of coal and the security of agricultural products. It might mainly be due to coal usage in various stages of the growing, storage, transportation, and distribution of agricultural products. Higher coal prices may lead to higher agricultural prices, threatening China’s coal-dominant energy structure. These higher coal prices will endanger domestic energy security and agricultural security. Finally, this study also suggests ways to manage the effect of increased coal prices on agricultural product prices and then puts forward policy suggestions.
1. Introduction
Recently, the price of agricultural products has been rising, and the price index is invariably fluctuating similar to a “roller coaster”, impinging the consumers’ and farmers’ incomes [1]. As necessities of life, agricultural products occupy a significant product market share [2]. This also presents many related problems [3]. One of them is the volatile agricultural product prices, which require an acute focus on relations between supply and demand, and price stability [4]. Vegetables are significant farm products and daily necessities related to the national economy and people’s livelihood. Their unstable prices have directly impacted the interests of consumers and producers [5]. China is the world’s greatest manufacturer and consumer of vegetables. Its vegetable gross output value has exceeded its grain gross output value, making it its most important agricultural product [6]. According to the China Agricultural Product Price Survey and Statistical Yearbook, released by the National Bureau of Statistics of China (NBS), during the past two decades (2001–2020), the average annual price of vegetables declined in 2001, 2002, 2014, and 2017 and variably rose in other years. Vegetable prices rose by more than 10% in most years from 2003 to 2010, and less than 10% in most years from 2011 to 2020. (NBS, 2021). Factors such as internal time series, natural disasters, the uniqueness of vegetables, and the substitution and combination of various vegetables influence the increased vegetable price fluctuation. High vegetable prices may negatively impact consumers, further hurting vegetable farmers and leaving them in heavy losses, or even bankruptcy [7]. It is important to clarify the influencing factors of the fluctuating vegetable product prices for vegetable farmers’ planting benefits and the healthy development of the industrial chain in China.
As the international agricultural products market rapidly integrates, the agricultural price volatility in China is influenced by traditional internal parameters, including supply and demand and production cost factors [7,8]. The supply of agricultural products is insufficient due to resource scarcity and abnormal global weather [9], leading to rising prices. The agricultural product prices are also subjected to external factors, such as international energy price fluctuations, the demand for biomass energy development, future market price transmission, financial crises, and monetary policy [10,11,12]. Energy prices and agricultural prices are highly correlated [13,14]. There are two ways in which energy price fluctuation affects domestic agricultural price fluctuation. One is the cost-driven effect, where energy price fluctuations cause changes in agricultural production costs, and the cost-driven effect leads to price fluctuations of farm products [14,15]. The other is the substitution effect, where the rise in traditional energy prices induces the replacement of traditional energy with biomass energy. As the demand for biomass energy rises, it causes the rising demand for raw materials of biomass energy. This causes a growing land mismatch between raw materials and other agricultural products and leads to price fluctuation [16].
As one of the core components of China’s economic development, changes in energy prices will greatly affect economic development [17]. It is one of the most basic problems in energy economics to research the effect of energy prices on the macro and micro-economy [18]. Energy prices immediately influence the consumption cost of residents as a means of production and living. It even influences production and transportation product costs in upstream and downstream industrial enterprises as raw materials and production factors and the consumer price of goods [19]. China is the world’s second-greatest energy manufacturer and consumer, using coal as its main energy source. According to the China energy revolution progress report (2020), released by the Institute of Resources and Environmental Policy, Development Research Center of the State Council, China, they maintain a coal-dominated primary energy consumption structure. As to their energy mix, more than 50% of the whole energy consumption is related to coal consumption. High-quality fossil energy such as oil and natural gas is relatively deficient, and the proportion of oil, gas, and clean energy is small.
Many studies show that higher international crude oil prices lead to higher agricultural logistics costs and fuel costs for farmers, farms, and enterprises. This will lead to higher agricultural product prices of vegetables and grains [20,21]. In addition, lower crude oil prices result in low-price transport and agricultural costs (such as pesticides and chemical fertilizer), reducing the price of agricultural materials in the international markets [22]. China still maintains a primary energy consumption structure dominated by coal as its highest proportion. Coal prices in China have soared since September 2021. The prices of thermal coal, coking coal, and coke have rapidly risen and broken the record due to multiple factors such as environmental protection production limits and a lack of coal imports from Australia. Since China is a big consumer of electricity, coal-fired power generation is significant in China’s power structure, and thermal coal is the main raw material for its thermal-powered enterprises. This will affect the rise in electricity prices and the increase in enterprise or farmer’s costs. It may even raise vegetable prices.
Some studies tried to prove that energy prices and price fluctuations of vegetables and other agricultural products are highly correlated. However, few studies deal with whether domestic coal prices respond similarly to the impact of vegetable price volatility. Some also examined whether this response direction and speed of different vegetables impact coal prices similarly. Therefore, this paper will analyze the relative price changes of vegetable prices under the impact of coal price fluctuations by running separate time-series models established by the thermal coal port liquidation price for vegetable price fluctuations. It will study the dynamic adjustment path of vegetable prices from short-term fluctuation to long-term equilibrium affected by coal prices to test whether the impact effect changed over time.
2. Literature Review
Recently, the factors influencing the price fluctuation of agriculture products have been studied regularly. Some primary reasons are supply and demand factors, economic factors, and energy prices. Firstly, supply–demand explanations include weather, seasonal fluctuations, and rising fertilizer and pesticide prices. Bad weather has reduced grain production in the world, dissatisfying the request for food and significantly increasing food prices [23]. Some people believe that precipitation has a shock effect on vegetable prices, and excessive daily precipitation positively impacts its price, and this impact is inversely related to the vegetable demand’s price elasticity [24]. Empirical tests indicate that the driving factor of rising grain prices is not climate change but rather the increased fertilizer prices in production [25]. Decreased spending by governments and international institutions on research and development has slowed agricultural revenue growth, leading to higher food prices [26]. Seasonal fluctuations can also impact vegetable prices. Some scholars used the X-12-ARIMA seasonal regulation model and ARCH model to verify the seasonal fluctuation features and short-term fluctuation characteristics of cabbage, tomato, cucumber, vegetable pepper, and green bean prices. They analyzed the seasonal fluctuation situation of five vegetables in Hubei Province between 2000 and 2001 [7]. Secondly, the demand pull cannot be ignored. Some argue that rising incomes and population growth from developing countries globally increased agricultural prices [27].
The price fluctuation of China’s agricultural products, especially that of vegetable prices, is influenced by the changing endogenous factors such as planting cost, supply, and demand, and by macroeconomic parameters such as money supply and the trading volume of agricultural futures [28]. Some scholars analyzed the monthly data of garlic and mung bean price fluctuations through monetary liquidity, agricultural future trading volume, and international hot money variables to construct the TVP-SV-VAR model. They analyzed the influence of financialization factors on garlic and mung bean prices and calculated their speculative prices by using the price decomposition model [29]. The primary reasons for the increasing price of agricultural products are their supply and demand variations, the increase in production cost, and the money supply in the price change of agricultural products [30,31]. Some analyzed the long-term stable relationship between vegetable prices and money supply and indicated that the dynamic change of the regression coefficient corresponding to money supply could predict that if the money supply in circulation increases, the vegetables’ overall price level will increase [32]. However, the impact of macroeconomic factors on product prices tends to bring synchronous fluctuations, and the violent fluctuations of vegetable prices rising one after another have a strong linkage effect [33]. In addition, some scholars investigated the effect of inflation and future prices on vegetable price fluctuations [34].
As China gradually opens to the outside world, the fluctuating energy prices will also affect the fluctuation of China’s agricultural prices. Firstly, energy price fluctuations cause changes in agricultural production costs, and the cost-driven effect causes price fluctuations in agricultural products [35,36]. According to input costs, some foreign scholars specified that the oil price fluctuations impacted the agricultural products price in the United States but that different agricultural prices were different [37]. Other studies showed that energy prices in 2008 had a co-integration relationship with the prices of cereals, cotton, and soybeans in the United States [38]. Eleni and other scholars indicate that crude oil prices can influence the price of agricultural products employed in the production of biodiesel and ethanol, demonstrating the interaction of energy and agricultural commodity markets [39]. Studies by Chinese scholars show that crude oil, as one of the essential parameters along with wheat, corn, and soybean prices, can influence the price of rice in China [40]. Other studies verified the relationship between energy and food prices over the period of 2000–2016 through a Panel-VAR model for eight Asian economies. They demonstrated the considerable impact of the energy price (oil price) on food prices [41]. The rising oil prices increase the production cost of vegetables. Several products in agricultural production also include petroleum products, among which chemical fertilizers, agricultural plastics, and pesticides are necessities for vegetable planting [42]. However, the increasing oil prices raised that of vegetable means of production, which resulted in the increasing vegetable prices [43]. Since it is low-valued, vegetables belong to low-value-added primary agricultural products and have limited bearing capacity for freight. Long-distance transportation compared to local transportation is an important cause of vegetable prices increase. The continuous increase in oil price will raise the transportation cost, which will affect the selling price of vegetables [44].
Price fluctuations of vegetables are mainly affected by supply and demand factors, economic factors, and energy prices. Studies related to energy shock serve to verify the interaction between oil price fluctuations and agricultural prices. However, most research is directed at the oil shock instead of coal. China’s energy mix, however, is still influenced by coal, which accounts for the highest proportion. Therefore, based on the existing studies, this paper will consider the coal price and use separate time-series models to verify the effect of coal price variations on vegetable prices in China.
3. Materials and Methods
3.1. Data Sources and Selection
The coal prices in the current study are the coal spot prices. China’s thermal coal spot price transaction takes the Bohai Rim closing warehouse prices as the reference standard for contract signing. The Bohai Rim thermal coal Price Index (BSPI) is the domestic coal price vane, which reflects the offshore closing warehouse price level of the Bohai Rim thermal coal port. Thus, this paper used the closing price of the Qinhuangdao thermal coal port released by United Metal Network to estimate the parameters. This paper chose five main kinds of vegetables that are consumed by Chinese residents and sell the most and selected vegetable prices from the daily prices of these 5 kinds of vegetables (radish, garlic sprout, leek, green pepper, tomato) in supermarkets and markets in 36 cities released by the National Development and Reform Commission. This paper selected BSPI data and daily data of 5 vegetables from 25 July 2016 to 4 November 2021. Logarithms were taken before the separate time-series models and analysis as data’s natural logarithm transformation will not change the co-integration relationship between data. The relevant data were then used for test and analysis.
3.2. Model Specification and Settings
The separate time-series models used here help analyze the impact of domestic coal prices on vegetable prices. The separate time-series models adopt the simultaneous formation of multiple equations. It helps forecast the interrelated time series system and analyze the effect of random disturbance on the system variables to verify the effect of several economic shocks on economic parameters. It takes each endogenous variable as a function of all endogenous system variables’ lag values to construct the model. It avoids the problem of modeling the endogenous variables’ lag values for each of them in the structural modeling method. This paper firstly tests the time series model’s stationarity based on the Augmented Dickey–Fuller (ADF) value. Through separate time-series models, the CUSUM test is conducted to judge the co-integration relation between variables. Finally, the impulse response function and variance decomposition help verify the effect of coal prices on vegetable prices. The general mathematical representation of the time series model (p) model can be described as:
In Equation (1), E (εt) = 0, E (εt,Yt−i) = 0, i = 1, 2, …, p; Yt indicates a linear random process of homovariance stability composed of (n∗1) order vectors. βi indicates the coefficient matrix of (n∗N) order, and Yt−i is the lag variable of Yt; μ is the mean vector of the series; εt is the random interference term.
(ε1t,…,εkt) represent independently and identically distributed random innovation vectors with a zero mean and constant dispersion matrix ∑ [45].
In lag operator notation, the time series model (p) can be described as:
All variables were employed as endogenous variables; all equations have similar exogenous and lagged exogenous variables. All endogenous variables can be described by their lagged or previous values and the lagged values of the other endogenous model variables [46]. A primary stage in the model establishment is to choose the separate time series model’s lag order. The optimal lag order can be derived using the minimum information measures, including the Akaike information criterion (AIC), the Bayesian information criterion (BIC), and the Hannan–Quinn information criterion (HQIC) [46].
3.2.1. Stationarity Test and CUSUM Test
The use of separate time-series models in the current work required applying stationary condition criteria, described with a condition with constant mean and variance and time-varying covariance [47]. The stationarity in the current work was evaluated based on the unit root test through the Augmented Dickey–Fuller (ADF) approach, described with the following relation [47].
represents the time series value at the-t time subtracted by the corresponding one in the previous sample time (the-t−1 time), while θ describes a constant value employed to detect the unit roots with hypothesis H0: θ = 0 (the data include unit roots) and H1: θ < 0 (the data do not include unit roots) [47]. Moreover, represents the trend coefficient on the time series data, described as [47]. It can be concluded that non-stationary data have unit roots. In contrast, stationary data do not have unit roots. For the non-stationary data, a differencing procedure should frequently be performed on the related data to make them stationary [48,49].
CUSUM tests are generally employed in econometrics and statistics to detect structural variations (or structural breaks) in a regression equation of interest [50]. Inference employs a sequence of sums of recursive residuals obtained iteratively from successive subsamples of the data. The calculation relies on standardized one-step-ahead prediction errors [51]. The CUSUM test calculates recursive residuals starting with the first (k + 1) observations, where k represents the number of regression coefficients. They will be added to attain the number of observations [50].
3.2.2. Impulse Response Function and Variance Decomposition Analysis
Impulse response functions acquired through separate time-series models are utilized to evaluate the effect of variation in one parameter on the other. They can generate the dependent variables’ time path in the separate time-series models owing to the shocks induced by all the explanatory variables. The current and lagged impacts over time variations in error terms (ε1t, ε2t, …, εkt) are observed on the endogenous variables (y1t, y2t, …, ykt). Suppose the error term ε1t has immediate impacts and (ε2t, ε3t, …, εkt) have lagged impacts on y1t. In this case, the separate time series model process of order “p” is stable [46]. The Wald representation of each covariance stationary separate time series model (p) process has the following form:
where describes the (n × n) moving average matrices, and the impulse response , of the (i, j)th element of is described as
It can be performed if a separate time series model (εt) = ∑ represents a diagonal matrix, where εt are uncorrelated [46].
The variance decomposition was also carried out to separate the change in an endogenous variable into component shocks to the separate time series model. The variance decomposition shows the relative significance of each random innovation in affecting the variables in the time series model [52].
4. Results
4.1. Stationarity Test
In an econometric analysis, the logarithmic form of statistical data eliminates any possible heteroscedasticity. At first, all indicators were processed by a natural logarithm. As the application of the time series model requires stationary variables, we conducted a unit root test on thermal coal variables and vegetable prices to test their stationarity. In the current work, the unit root test of time series for thermal coal prices and five vegetable prices is conducted by using the ADF test method [47]. The specific test results are presented in Table 1.
Table 1.
Unit root test results (ADF).
According to Table 1, the original time series ADF test results of thermal coal prices are not stationary. The test results of five vegetable prices are stationary, and their sequences after the first-order difference are stationary. After the first-order difference, the ADF values of thermal coal prices and five vegetable prices are significant at the 1% level, rejecting the null hypothesis, that is, they are stationary time series. Therefore, this paper uses the time series of first-order differences to establish separate time-series models.
4.2. Time Series Model Establishment and CUSUM Test
As the above six variables are stationary time series, the original sequence can help directly construct the time series model. The influence of coal prices on the prices of all links in the transmission mechanism of thermal coal price has a certain lag, which is crucial to the establishment of the time series model. This study determines the optimal lag order by simulating the residual autocorrelation and normality several times by using the Schwartz Information Criterion (SIC) [46]. The specific test results are presented in Table 2.
Table 2.
Optimal lag phase selection.
In Table 2, seven days is a lag order. The AIC criterion, BIC criterion, FPE criterion, and HQIC criterion are adopted to derive the time series model’s optimum lag order. According to the SIC, the order with the most “*” is the optimal one. If two orders have the same number of “*”, the order with the smallest AIC criterion is selected. According to its results, the optimal lag order of the five models is 2 or 14 days.
The stationarity of the time series model is the premise of the empirical analysis. This paper uses the CUSUM test to examine its stationarity and whether the time series model is effective [50]. According to Table 3, the p-values of the five time-series models with second-order lag are more than 5%, so the null hypothesis is accepted. The long-term stationary interaction between the two variables in each time series model can be determined. Impulse response analysis and variance decomposition can be conducted to investigate the interaction between the two variables in each time series model.
Table 3.
CUSUM test results.
4.3. Impulse Response Function and Variance Decomposition Analysis
We will adopt the impulse response function (IRF) under the separate time-series models to study the response of vegetable prices to the impulse from the thermal coal price variables. IRF is the best method to verify the impulse response of economic variables to indicators. It further explains what factors affect each variable in different lag periods and change their order to test the robustness. The impulse response function is the dynamic impact of thermal coal prices hit by vegetable prices on the whole thermal coal price system [46]. It is also the dynamic impact of vegetable prices hit by thermal coal prices on the overall vegetable prices system. This provides better information about the price fluctuation of thermal coal and vegetables.
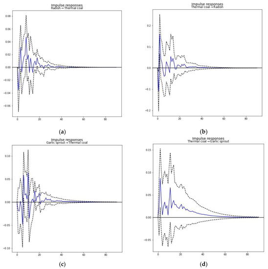
Figure 1a shows that when the radish prices had a positive impact in the current period, thermal coal prices reached the negative maximum during the first period. It then reached its positive maximum during the eighth period and stabilized during the fortieth period. We see from Figure 1b that after a positive impact on thermal coal price in the current period, the radish price reached the maximum negative in the first period. It then reached its maximum positive direction during the second period and stabilized around the fortieth period. The pulse response function diagram shows that radish prices are greatly influenced by the price of thermal coal, which promotes radish prices rapidly in the second period. The response of thermal coal price to radish price pulse in Figure 1b indicates that the trend of radish prices and thermal coal prices has been similar since the second period, and there is a strong correlation.

Figure 1.
Pulse Response Analysis. (a,c,e,g,i) have shown that pulse response analysis function diagram of five vegetables and thermal coal prices. (b,d,f,h,j) have shown that pulse response analysis function diagram of thermal coal prices and five vegetables.
As depicted in Figure 1c, when garlic sprout prices were given a positive impact in the current period, thermal coal prices reached a positive maximum in the 10th period and stabilized around the 40th period. This shows in Figure 1d that after a positive impact on the thermal coal price in the current period, the garlic sprout prices reached a positive maximum in the second period and stabilized around the fiftieth period. The impulse response shows that the garlic sprout prices are struck by the thermal coal price, and the thermal coal price promotes the garlic moss prices rapidly in the second period.
We see from Figure 1e that when the prices of leek in this period were positively impacted, the thermal coal price reached a positive maximum during the tenth period and stabilized around the fortieth period. We see from Figure 1f that, after exhibiting a positive effect on thermal coal price in this period, the price of leek reached a positive maximum during the 12th period and stabilized around the 60th period.
It follows in Figure 1g that when the price of green pepper was positively impacted in this period, the thermal coal price reached a positive maximum during the eighth period and stabilized around the fortieth period. Then, after positively impacting thermal coal prices in this period, the price of green pepper reached a positive maximum during the 12th period and stabilized around the 60th period (Figure 1h).
When the tomato prices were positively impacted in this period, as shown in (Figure 1i), the thermal coal price reached a positive maximum during the eighth period and then stabilized around the fortieth period (Figure 1i). After having a positive impact on thermal coal prices in this period, the tomato prices reached a positive maximum in the second period and stabilized around the fortieth period (Figure 1j).
Finally, the primary result of Figure 1 is the positive cumulative response of five vegetable prices to thermal coal prices. This implies that any sharp rise in thermal coal prices will raise the prices of five vegetables.
The ANOVA obtains the importance of each structural shock, according to the contribution degree of each variable, to the endogenous variable. We can interpret the data in Table 4 as follows: The prediction variance of thermal coal price 60 days ahead is entirely by itself. Even if the prediction is made 60 days ahead, 97% to 98% of the prediction variance is still by itself, and the remaining 2% to 3% is from the price of five vegetables. We see from the variance decomposition results of the five vegetable prices that the impact of thermal coal price on radish prices appeared in the 0-lag period and gradually increased, and it stabilized at approximately 1.9% during the 20-lag period. The impact of thermal coal prices on garlic prices appeared in the 0-lag period, then gradually strengthened, and stabilized at approximately 2% during the 40-lag period. The impact of thermal coal prices on leek prices gradually stabilized at approximately 2.1% during the 50th lag period. The impact of thermal coal prices on green pepper prices appeared in the 0-lag period and gradually stabilized at approximately 4% during the 40-lag period. The impact of thermal coal prices on tomato prices gradually stabilized at approximately 2.7% during the late period of approximately the 40th lag. This indicates that the thermal coal prices may have impacted the prices of five vegetables and contributed to the impact.
Table 4.
Variance decomposition.
5. Conclusions
This study aims to find whether coal prices influence vegetable price changes and determine whether energy and Chinese agricultural prices are related. The Bohai Rim thermal coal price index, the daily prices of five vegetables, such as radish, garlic moss, leek, green pepper, and tomato, and separate time-series models were used to explore the influence of coal price fluctuations on vegetable prices in China. This paper studies the relationship between the coal price and vegetable price fluctuation through the impulse response function and the variance decomposition method.
The following results can be drawn from the estimation results:
First, the coal price is the primary factor causing vegetable price fluctuations. The fluctuation of coal prices has a positive influence on the volatility of vegetable prices in the short- and medium-term. The empirical analysis indicates that the effect of coal prices on the prices of radish, garlic moss, and tomato is concentrated in the short term, and the coal prices have a significant positive effect on the prices of these three vegetables. The fast increase in the prices of three vegetables has been exacerbated by the general prices of coal. Meanwhile, the price of coal also impacts the leek and green pepper price fluctuations. Besides, the influence of coal prices on the price of leek and green pepper is mainly concentrated in the medium term, and the coal prices have a considerable positive effect on the prices of leek and green pepper vegetables. However, the rise in coal prices may limit thermal power enterprises’ production and power generation. These five vegetables are suitable for growing in plastic greenhouses. It increases the cost of farmers’ greenhouses, ultimately increasing the price of vegetables. The results show that the fluctuation of energy price leads to the change in agricultural production cost, and then the agricultural product price fluctuates just because of the cost-driven effect. That is consistent with the previous research results [14].
Second, coal prices and these five vegetables’ prices are positively correlated. According to the impulse response function outcomes, following any coal price shock, vegetable prices respond positively. An increase in coal prices may raise vegetable production costs. This is because of different parts of the growing, storage, transportation, and distribution of agricultural products. Therefore, increasing coal prices will lead to increased production costs. This implies that for China, whose energy structure is still coal-dominant, higher coal prices will endanger its energy security and its agricultural security. It can be observed that the price fluctuation of agricultural products, especially vegetables, is influenced by the change in endogenous production factors such as planting cost, transportation, supply, and demand, which is compatible with the preceding research results [28].
Based on the research findings and conclusions, the possible specific measures are as follows:
First, we must introduce and improve policies for setting coal market prices. We need to make the industry and the market aware that our country will further strengthen the regulation and supervision of coal market prices, guide upstream and downstream sectors to form stable market expectations, and curb capital speculation. Coal prices should be regulated to fall reasonably at the current level. We should also stabilize supply to support the steady production of coal mines and the steady output of coal and electricity.
Second, coal prices and electricity prices should be linked effectively. Coal and electricity prices can be effectively transmitted within reason. Thus, coal-fired power generation enterprises can fully transmit fuel cost changes through market methods under the current mechanism.
Third, we must actively use electricity pricing policies to support farmers in growing crops. Measures for allocating and managing subsidies for electricity charges should be introduced. National and provincial policies should be implemented to support electricity prices. We also need to subsidize power generation enterprises and effectively reduce the operating costs of planting, storing, transporting, and distributing agricultural products.
Fourth, we must focus on price monitoring’s “early warning” role. We will strengthen the developing price-monitoring system and focus on abnormal changes in the prices of major agricultural products. We even need to closely follow the changes in the prices of the agricultural products, monitoring the prices daily and analyzing weekly price monitoring and early warnings. During special circumstances, we could immediately launch emergency price monitoring for key commodities, provide early warning of emerging problems, and propose targeted suggestions.
Fifth, we must establish a vegetable products’ price information mechanism, providing effective information for the vegetable product market. The agricultural department monitors the domestic and international energy market fluctuation, giving timely and accurate feedback on price information. The vegetable product prices of the government, transportation departments, and farmers should be connected to prevent various financial risks for farmers.
Author Contributions
Conceptualization, W.D., Y.W., and Y.Z.; methodology, W.D.; software, Y.W.; validation, W.D., Y.W., and Y.Z.; formal analysis, W.D.; investigation, W.D.; resources, W.D. and Y.W.; data curation, Y.W.; writing—original draft preparation, W.D. and Y.W.; writing—review and editing, W.D., Y.G., and Y.W.; visualization, Y.W.; supervision, W.D.; project administration, W.D.; funding acquisition, W.D. All authors have read and agreed to the published version of the manuscript.
Funding
The current work was funded by the Fundamental Research Funds for the Central Universities, grant number JBK2201055, and by the Sichuan Social Science Planning Project, grant number SC22B050.
Institutional Review Board Statement
Not applicable.
Informed Consent Statement
Not applicable.
Data Availability Statement
All data produced or studied during the current work are included in the published article.
Conflicts of Interest
The authors declare no conflict of interest.
References
- Yang, J.; Qian, T.; Zheng, X.; Zhao, J.; Xu, Y. Analysis of the features of vegetable price trend and its influencing factors at national and regional scale in China. J. China Agric. Univ. 2021, 26, 188–198. [Google Scholar]
- Song, C.; Xiao, X.; Li, C. The impacts of local agricultural insurance policies on agricultural product market: A case study of Wuhan vegetable market. Res. Agric. Mod. 2021, 42, 85–93. [Google Scholar]
- Gouel, C. Agricultural Price Instability: A Survey Of Competing Explanations And Remedies. J. Econ. Surv. 2012, 26, 129–156. [Google Scholar] [CrossRef]
- Guo, Y.; Hu, X.N.; Wang, Z.P.; Tang, W.; Liu, D.Y.; Luo, Y.Z.; Xu, H.X. The butterfly effect in the price of agricultural products: A multidimensional spatial-temporal association mining. Agric. Econ.-Zemed. Ekon. 2021, 67, 457–467. [Google Scholar] [CrossRef]
- Li, Y.Z.; Liu, J.S.; Yang, H.Y.; Chen, J.X.; Xiong, J. A Bibliometric Analysis of Literature on Vegetable Prices at Domestic and International Markets-A Knowledge Graph Approach. Agriculture 2021, 11, 951. [Google Scholar] [CrossRef]
- Zhen, H.; Gao, W.; Yuan, K.; Ju, X.; Qiao, Y. Internalizing externalities through net ecosystem service analysis€"A case study of greenhouse vegetable farms in Beijing. Ecosyst. Serv. 2021, 50, 101323. [Google Scholar] [CrossRef]
- Cao, Y.; Mohiuddin, M. Sustainable Emerging Country Agro-Food Supply Chains: Fresh Vegetable Price Formation Mechanisms in Rural China. Sustainability 2019, 11, 2814. [Google Scholar] [CrossRef]
- Ma, Z.; Xu, R.; Dong, X. World oil prices and agricultural commodity prices: The evidence from China. Agric. Econ. 2015, 61, 564–576. [Google Scholar] [CrossRef]
- De Winne, J.; Peersman, G. The adverse consequences of global harvest and weather disruptions on economic activity. Nat. Clim. Change 2021, 11, 665–672. [Google Scholar] [CrossRef]
- Roache, S.K. What Explains the Rise in Food Price Volatility? IMF Work. Pap. 2010, 10, 1. [Google Scholar] [CrossRef][Green Version]
- Bailliu, J.; Dib, A.; Kano, T.; Schembri, L.L. Multilateral Adjustment and Exchange Rate Dynamics: The Case of Three Commodity Currencies. Staff. Work. Pap. 2007, 7–41. Available online: https://www.econstor.eu/handle/10419/53820 (accessed on 2 April 2022).
- Kelvin Balcombe, R.R. Economist. Bayesian Estimation and Selection of Nonlinear Vector Error Correction Models: The Case of the Sugar-Ethanol-Oil Nexus in Brazil. Am. J. Agric. Econ. 2008, 90, 658–668. [Google Scholar] [CrossRef]
- Babcock, B.A. The impact of US biofuel policies on agricultural price levels and volatility. China Agric. Econ. Rev. 2012, 4, 407–426. [Google Scholar] [CrossRef]
- Gohin, A.; Chantret, F. The long-run impact of energy prices on world agricultural markets: The role of macro-economic linkages. Energy Policy 2010, 38, 333–339. [Google Scholar] [CrossRef]
- Tokgoz, S. Impact of Energy Markets on the EU Agricultural Sector; The Center for Agricultural and Rural Development (CARD) Publications: 2009. Available online: https://www.card.iastate.edu/products/ublications/df/9wp485.pdf (accessed on 20 April 2022).
- Rosegrant, M.W.; Zhu, T.; Sulser, M.T. Global Scenarios for Biofuels: Impacts and Implications. Rev. Agric. Econ. 2008, 30, 495–505. [Google Scholar] [CrossRef]
- Cross, J.; Nguyen, B.H. Time varying macroeconomic effects of energy price shocks: A new measure for China. Energy Econ. 2018, 73, 146–160. [Google Scholar] [CrossRef]
- Hesary, F.T.; Yoshino, N.; Abdoli, G.; Farzinvash, A. An Estimation of the Impact of Oil Shocks on Crude Oil Exporting Economies and Their Trade Partners. Front. Econ. China 2013, 8, 571–591. [Google Scholar]
- Du, L.; He, Y.; Chu, W. The relationship between oil price shocks and China’s macro-economy: An empirical analysis. Energy Policy 2010, 38, 4142–4151. [Google Scholar] [CrossRef]
- Ciaian, P.; Kancs, D. Interdependencies in the Energy-Bioenergy-Food Price Systems: A Cointegration Analysis. Resour. Energy Econ. 2011, 33, 326–348. [Google Scholar] [CrossRef]
- Baek, J.; Koo, W.W. Analyzing Factors Affecting U.S. Food Price Inflation. Can. J. Agric. Econ./Rev. Can. D’agroeconomie 2010, 58, 303–320. [Google Scholar] [CrossRef]
- Solaymani, S. Social and economic aspects of the recent fall in global oil prices. Department of Economics, Faculty of Humanities, Arak University, Arak, Iran. Int. J. Energy Sect. Manag. 2019, 13, 258–276. [Google Scholar] [CrossRef]
- Abbott, P.C.; Hurt, C.; Tyner, W.E. What’s Driving Food Prices in 2011? 2011. Available online: https://www.semanticscholar.org/paper/What%E2%80%99s-Driving-Food-Prices-in-2011-Abbott-Hurt/5110b3c5c39782b7994f2948e2f40197bfc226b5?p2df (accessed on 1 May 2022).
- Zelingher, R.; Ghermandi, A.; De Cian, E.; Mistry, M.; Kan, I. Economic impacts of climate change on vegetative agriculture markets in Israel. Environ. Resour. Econ. 2019, 74, 679–696. [Google Scholar] [CrossRef]
- Fan, D.H.S. Anatomy of a Crisis: The Causes and Consequences of Surging Food Prices. Soc. Sci. Electron. Publ. 2008, 39, 375–391. [Google Scholar] [CrossRef]
- Braun, J.V. The world food situation: New driving forces and required actions. Food Policy Rep. 2007, 25, 37–39. [Google Scholar]
- Serra, T. Volatility spillovers between food and energy markets: A semiparametric approach. Energy Econ. 2011, 33, 1155–1164. [Google Scholar] [CrossRef]
- Chen, Y.C.; Rogoff, K.; Rossi, B. Can Exchange Rates Forecast Commodity Prices? Soc. Sci. Electron. Publ. 2010, 125, 1145–1194. [Google Scholar] [CrossRef]
- Jingdong, L.I.; Xiande, L.I. Financialization in Price Fluctuation of Chinese Small-scale Agricultural Commodities—An Empirical Study Based on the Price Data of Garlic and Mung Bean. J. Agrotech. Econ. 2018, 8, 98–111. [Google Scholar]
- Song, C.M.; Chong-Guang, L.I. Study of Seasonal Adjusted Vegetable Price Fluctuation and the Impact of Currency in Circulation; Statistics & Information Forum: 2012. Available online: http://en.cnki.com.cn/Article_en/CJFDTOTAL-TJLT201203016.htm (accessed on 25 April 2022).
- Song, C.M.; Juan, X.U.; Jian, L.I. Dynamic Impact of Currency Supply on Volatility of Vegetable Price—Based on Time-varying Parameter Model. J. Huazhong Agric. Univ. (Soc. Sci. Ed.) 2014, 114, 31–36. [Google Scholar]
- Hassan, D.; Simioni, M. Price Linkage and Transmission between Shippers and Retailers in the French Fresh Vegetable Channel; 2002; Available online: https://www.researchgate.net/publication/23509131_Price_Linkage_and_Transmission_between_Shippers_and_Retailers_in_the_French_Fresh_Vegetable_Channel (accessed on 1 May 2022).
- Jingdong, L.I.; Xiande, L.I.; Wang, S. Analysis on Financialization of Potato Price Fluctuation under Background of Developing Potato as Staple Food. J. Huazhong Agric. Univ. (Soc. Sci. Ed.) 2017, 38, 13–21. [Google Scholar]
- Cui, C.; Guo-Wei, L.I. Analysis of Structural Change Characteristics and Influencing Factors of China’s Agricultural Product Prices. J. Appl. Stat. Manag. 2019, 38, 1–15. Available online: http://en.cnki.com.cn/Article_en/CJFDTotal-SLTJ201901002.htm (accessed on 2 May 2022).
- Malpezzi, S. A Simple Error Correction Model of House Prices. J. Hous. Econ. 1999, 8, 27–62. [Google Scholar] [CrossRef]
- Shan, S.; Ahmad, M.; Tan, Z.; Adebayo, T.S.; Li, R.Y.M.; Kirikkaleli, D. The role of energy prices and non-linear fiscal decentralization in limiting carbon emissions: Tracking environmental sustainability. Energy 2021, 234, 121243. [Google Scholar] [CrossRef]
- Nazlioglu, S.; Soytas, U. Oil price, agricultural commodity prices, and the dollar: A panel cointegration and causality analysis. Energy Econ. 2012, 34, 1098–1104. [Google Scholar] [CrossRef]
- Harri, A.; Nalley, L.L.; Hudson, D. The Relationship between Oil, Exchange Rates, and Commodity Prices. J. Agric. Appl. Econ. 2009, 41, 501–510. [Google Scholar] [CrossRef]
- Zafeiriou, E.; Arabatzis, G.; Karanikola, P.; Tampakis, S.; Tsiantikoudis, S. Agricultural commodities and crude oil prices: An empirical investigation of their relationship. Sustainability 2018, 10, 1199. [Google Scholar] [CrossRef]
- Wang, Y.; Zhao, S.; Yang, Z.; Liu, D.J. Food versus crude oil: What do prices tell us? Evidence from China. China Agric. Econ. Rev. 2015. Available online: https://www.emerald.com/insight/content/doi/10.1108/CAER-09-2014-0091/full/html (accessed on 2 May 2022). [CrossRef]
- Taghizadeh-Hesary, F.; Rasoulinezhad, E.; Yoshino, N. Energy and food security: Linkages through price volatility. Energy Policy 2019, 128, 796–806. [Google Scholar] [CrossRef]
- Jing, H.E.; Wang, S.Y. The Research on Conduction Effect of Oil Prices Fluctuations on Grain Prices: Based on empirical test of APT-ECM models. Math. Pract. Theory 2015, 216–224. Available online: https://www.oriprobe.com/journals/sxdsjyrs/2015_8.html (accessed on 2 May 2022).
- Zhang, X.; Qing, P.; Yu, X. Short supply chain participation and market performance for vegetable farmers in China. Aust. J. Agric. Resour. Econ. 2019, 63, 282–306. [Google Scholar] [CrossRef]
- Lundberg, C.; Skolrud, T.; Adrangi, B.; Chatrath, A. Oil price pass through to agricultural commodities. Am. J. Agric. Econ. 2021, 103, 721–742. [Google Scholar] [CrossRef]
- Yashavanth, B.; Singh, K.; Paul, A.K.; Paul, R.K. Forecasting prices of coffee seeds using vector autoregressive time series model. Indian J. Agric. Sci. 2017, 87, 754–758. [Google Scholar]
- Sasikumar, R.; Abdullah, A.S. Vector autoregressive approach for impact of oil India stock price on fuel price in India. Commun. Stat. Case Stud. Data Anal. Appl. 2017, 3, 41–47. [Google Scholar] [CrossRef]
- Nugroho, A.; Hartati, S.; Mustofa, K. Vector Autoregression (Var) Model for Rainfall Forecast and Isohyet Mapping in Semarang–Central Java–Indonesia. Int. J. Adv. Comput. Sci. Appl. 2014, 5, 11. [Google Scholar] [CrossRef]
- Mauricio, J.A. An algorithm for the exact likelihood of a stationary vector autoregressive-moving average model. J. Time Ser. Anal. 2002, 23, 473–486. [Google Scholar] [CrossRef]
- Widarjono, A. Econometrics Introduction and Its Application; UPP STIM YKPN: Yogyakarta, Indonesia, 2013. [Google Scholar]
- Dao, P.B. A CUSUM-based approach for condition monitoring and fault diagnosis of wind turbines. Energies 2021, 14, 3236. [Google Scholar] [CrossRef]
- Brown, R.L.; Durbin, J.; Evans, J.M. Techniques for testing the constancy of regression relationships over time. J. R. Stat. Soc. Ser. B (Methodol.) 1975, 37, 149–163. [Google Scholar] [CrossRef]
- Adeola, O.; Ikpesu, F. An empirical investigation of the impact of bank lending on agricultural output in Nigeria: A vector autoregressive (VAR) approach. J. Dev. Areas 2016, 50, 89–103. [Google Scholar] [CrossRef]
Publisher’s Note: MDPI stays neutral with regard to jurisdictional claims in published maps and institutional affiliations. |
© 2022 by the authors. Licensee MDPI, Basel, Switzerland. This article is an open access article distributed under the terms and conditions of the Creative Commons Attribution (CC BY) license (https://creativecommons.org/licenses/by/4.0/).

