Effect of Temperature Fluctuations on the Bearing Capacity of Cold In-Depth Recycled Pavements
Abstract
:1. Introduction
2. Test Sites—Recycled Material and Data Collection
2.1. Foamed Asphalt Mix Design
2.2. Data Collection
3. Data Analysis and Results
3.1. Back-Analysis
3.2. Calculation of Strains
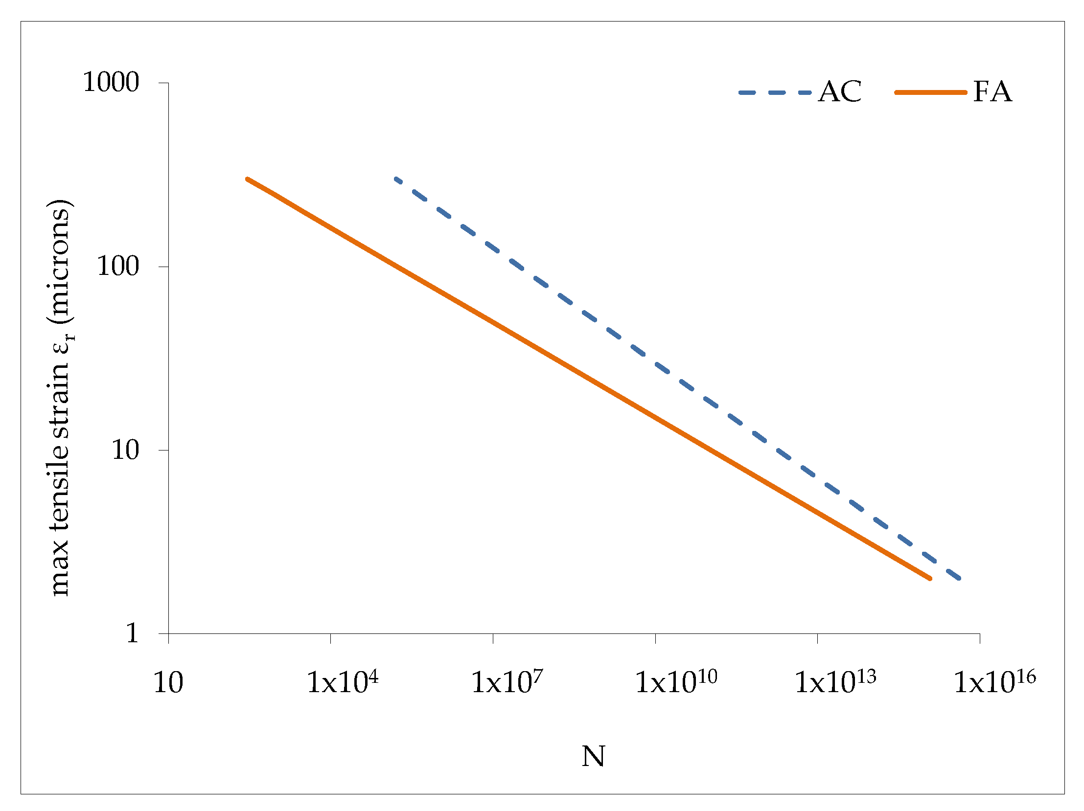
4. Fatigue Characteristics and Analysis
4.1. Fatigue Behavior of FA Material
4.2. Fatigue Characteristics of AC Overlay Material
4.3. Fatigue Analysis Results
5. Conclusions
Author Contributions
Funding
Institutional Review Board Statement
Informed Consent Statement
Data Availability Statement
Conflicts of Interest
References
- Van Dam, T.; Harvey, J.; Muench, S.; Smith, K.; Snyder, M.; Al-Qadi, I.; Ozer, H.; Meijer, J.; Ram, P.; Roesler, J.; et al. Towards Sustainable Pavement Systems: A Reference Document. In US Department of Transportation, Federal Highway Administration; FHWA-HIF-15-002; Applied Pavement Technology, Inc.: Urbana, IL, USA, 2015. [Google Scholar]
- Miller, T.D.; Bahia, H.U. Establishing a framework for analyzing asphalt pavement sustainability. Int. J. Pavement Res. Technol. 2010, 3, 149–155. [Google Scholar]
- Milad, A.; Taib, A.; Ahmeda, A.G.F.; Solla, M.; Yusoff, M.N.I.M. A review of the use of reclaimed asphalt pavement for road paving applications. J. Teknol. (Sci. Eng.) 2020, 82, 35–44. [Google Scholar] [CrossRef] [Green Version]
- Van de Ven, M.F.C.; Molenaar, A.A.A.; Sluer, B.W. Low energy asphalt mixtures for sustainable and durable pavement solutions. In Proceedings of the 10th Conference on Asphalt Pavements for Southern Africa, KwaZulu-Natal, South Africa, 11–14 September 2011. [Google Scholar]
- Skotnicki, L.; Kuzniewski, J.; Szydlo, A. Stiffness Identification of Foamed Asphalt Mixtures with Cement, Evaluated in Laboratory and In Situ in Road Pavements. Materials 2020, 13, 1128. [Google Scholar] [CrossRef] [PubMed] [Green Version]
- Alkins, A.E.; Lane, B.; Kazimierowski, T. Sustainable pavements—Environmental, economic and social benefits of in-situ pavement recycling. In Proceedings of the 87th Annual Meeting, Transportation Research Board, Washington DC, USA, 13–17 January 2008. [Google Scholar]
- Jenkins, K.J. Moderator’s report: Cold mix technology. In Proceedings of the 8th Conference on Asphalt Pavements for Southern Africa (CAPSA), Sun City, South Africa, 12–16 September 2004. [Google Scholar]
- Saleh, A.; Gáspár, L. Advantages and limitations of using foamed bitumen. Acta Tech. Jaurinensis 2021, 14, 300–314. [Google Scholar] [CrossRef]
- Losa, M.; Bacci, R.; Axerio, A.T.; Leandri, P. Design of pavements containing foamed bitumen recycled layers. In Proceedings of the 8th International Conference on the Bearing Capacity of Roads, Railways and Airfields, University of Illinois at Urbana-Champaign, Champaign, IL, USA, 29 June –2 July 2009. [Google Scholar]
- Schwartz, C.W.; Khosravifar, S. Design and Evaluation of Foamed Asphalt Base Materials; Draft Final Report, Project SP909B4E; Maryland State Highway Administration: Maryland, MD, USA, 2013. [Google Scholar]
- Papavasiliou, V.; Loizos, A. Field performance and fatigue characteristics of recycled pavement materials treated with foamed asphalt. Constr. Build. Mater. 2013, 48, 677–684. [Google Scholar] [CrossRef]
- Loizos, A.; Papavasiliou, V.; Plati, C. The influence of the AC overlay on the performance of foamed asphalt recycled pavements. In Proceedings of the 3rd International Conference on Transportation Infrastructure (ICTI), Pisa, Italy, 22–25 April 2014. [Google Scholar]
- Loizos, A.; Papavasiliou, V. In situ characterization of pavement materials stabilized with foamed asphalt and cement. In Proceedings of the International Conference on Advanced Characterization of Pavement and Soil Engineering Materials, Athens, Greece, 20–22 June 2007. [Google Scholar]
- Betti, G.; Airey, G.; Jenkins, K.; Marradi, A.; Tebaldi, G. Active fillers’ effect on in situ performances of foam bitumen recycled mixtures. Road Mater. Pavement Des. 2016, 18, 281–296. [Google Scholar] [CrossRef] [Green Version]
- Loizos, A.; Plati, C.; Papavasiliou, V. Fiber optic sensors for assessing strains in cold in-place recycled pavements. Int. J. Pavement Eng. 2013, 14, 125–133. [Google Scholar] [CrossRef]
- Roadscanners. Road Doctor Software: User’s Guide; Version 1.1; Roadscanners: Rovaniemi, Finland, 2001. [Google Scholar]
- Irwin, L.H. Back-calculation analysis. In Proceedings of the Tutorial at 9th International Conference on Asphalt Pavements, ISAP, Copenhagen, Denmark, 17–22 August 2002. [Google Scholar]
- Long-Term Pavement Performance Program Determination of In-Place Elastic Layer Modulus: Backcalculation Methodology and Procedures. Chapter 2. Backcalculation Methodology and Packages. In Federal Highway Administration Research and Technology. Coordinating, Developing, and Delivering Highway Transportation Innovations; Publication Number: FHWA-HRT-15-036; Turner-Fairbank Highway Research Center: McLean, VA, USA, 2015.
- Von Quintus, H.L.; Simpson, A.L. Backcalculation of Layer Parameters for LTPP Test Sections, Volume II: Layered Elastic Analysis for Flexible and Rigid Pavements; Publication No. FHDA-RD-01-113; Turner-Fairbank Highway Research Center: McLean, VA, USA, 2002. [Google Scholar]
- Loizos, A.; Papavasiliou, V.; Plati, C. Investigating in-situ stress-dependent behaviour of foamed asphalt treated pavement materials. Road Mater. Pavements Des. 2012, 13, 678–690. [Google Scholar] [CrossRef]
- BISAR User Manual; Hibbitt, Bitumen Business Group: Singapore, 1998.
- Huang, Y.H. Pavement Analysis and Design; University of Kentucky: Upper Saddle River, NJ, USA, 2004. [Google Scholar]
- Loizos, A.; Papavasiliou, V.; Plati, C. Early life performance of cold-in place pavement recycling using the foamed asphalt technique. Transp. Res. Rec. J. Transp. Res. Board 2007, 1, 36–43. [Google Scholar] [CrossRef]
- Doré, G.; Duplain, G.; Pierre, P. Monitoring mechanical response of in-service pavements using retrofitted fiber optic sensors. In Proceedings of the 9th International Conference on Advanced Characterization of Pavement and Soil Engineering Materials, Athens, Greece, 20–22 June 2007. [Google Scholar]
- Dynatest. ELMOD Quick Start Manual; Dynatest: Ballerup, Denmark, 2006. [Google Scholar]
- Papavasiliou, V.; Loizos, A. Field behavior of foamed bitumen pavement material. In Proceedings of the 7th International RILEM Symposium on Advanced Testing and Characterization of Bituminous Materials, Rhodes, Greece, 27–29 May 2009. [Google Scholar]
- European standard bituminous mixtures. In Test Methods for Hot Mix Asphalt. Part 24: Resistance to Fatigue, EN 12697-24; European Committee for Standardization: Brussels, Belgium, 2004.
- Molenaar, A.A.A. Prediction of fatigue cracking in asphalt pavements. Transp. Res. Rec. Transp. Res. Board 2007, 1, 155–162. [Google Scholar] [CrossRef]
- Wirtgen Cold Recycling Manual; Wirtgen GmbH: Windhagen, Germany, 2004.












| Blend Components | ITS Φ100 mm | TSR | ITS Φ150 mm | TSR | UCS Φ150 mm | |||
|---|---|---|---|---|---|---|---|---|
| (%) | (kPa) | (%) | (kPa) | (%) | (kPa) | |||
| RAP | Granular | Dry | Wet | Equ. | Wet | Equ. | ||
| 75 | 25 | 318 | 238 | 75 | 301 | 237 | 79 | 1900 |
| 50 | 50 | 354 | 277 | 80 | 279 | 252 | 90 | 2400 |
Publisher’s Note: MDPI stays neutral with regard to jurisdictional claims in published maps and institutional affiliations. |
© 2021 by the authors. Licensee MDPI, Basel, Switzerland. This article is an open access article distributed under the terms and conditions of the Creative Commons Attribution (CC BY) license (https://creativecommons.org/licenses/by/4.0/).
Share and Cite
Loizos, A.; Papavasiliou, V. Effect of Temperature Fluctuations on the Bearing Capacity of Cold In-Depth Recycled Pavements. Sustainability 2022, 14, 426. https://doi.org/10.3390/su14010426
Loizos A, Papavasiliou V. Effect of Temperature Fluctuations on the Bearing Capacity of Cold In-Depth Recycled Pavements. Sustainability. 2022; 14(1):426. https://doi.org/10.3390/su14010426
Chicago/Turabian StyleLoizos, Andreas, and Vasilis Papavasiliou. 2022. "Effect of Temperature Fluctuations on the Bearing Capacity of Cold In-Depth Recycled Pavements" Sustainability 14, no. 1: 426. https://doi.org/10.3390/su14010426
APA StyleLoizos, A., & Papavasiliou, V. (2022). Effect of Temperature Fluctuations on the Bearing Capacity of Cold In-Depth Recycled Pavements. Sustainability, 14(1), 426. https://doi.org/10.3390/su14010426
