A Study on Radiation Cooling Effect on Asphalt Concrete Pavement Using Basic Oxygen Furnace Slag to Replace Partial Aggregates
Abstract
1. Introduction
2. Materials and Their Properties
2.1. Emissivity
2.2. Thermal Conductivity
3. Experimental Measurement Methods
3.1. Indoor Temperature Measurement
3.2. Outdoor Temperature Measurement
3.3. Mechanical Properties
4. Results and Discussions
4.1. Indoor Temperature Measurement under Radiation Intensity of 623 W/m2
4.1.1. Heating Period
4.1.2. Cooling Period
4.2. Indoor Temperature Measurement under Radiation Intensity of 436 W/m2
4.2.1. Heating Period
4.2.2. Cooling Period
4.3. Outdoor Temperature Measurement
4.4. Heat Capacity, Newton’s Cooling and Radiation Cooling
4.5. Mechanical Test Results
5. Conclusions
- The BOF-75 specimen had a high emissivity of 0.86 across the sky window (8–13 μm) and the thermal conductivity of the specimen decreased as the substitution ratio of BOFS increased.
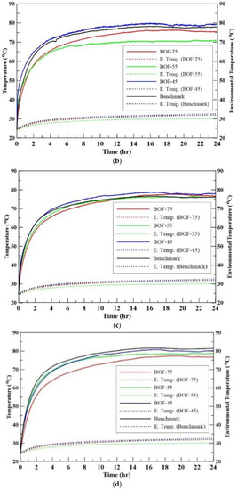
- Under two different radiation intensities, the surface temperature order among the specimens was the same. Furthermore, the temperatures from high to low were in the order BOF-75 > BOF-55 > BOF-45 > benchmark specimen.
- At the end of 24 heating hours, the temperature order at the depth of 3 cm was opposite to that for the surface, and the temperatures at the depth of 3 cm, from high to low, were in the order benchmark asphalt concrete > BOF-45 > BOF-55 > BOF-75. When the depth was more than or equal to 3 cm, the temperatures remained in the same order.
- According to the quantitative calculation of the heat storage, under the same radiation intensity, the BOF-75 specimen absorbed the most heat inside the body, contributing to less heat remaining in the environment. In the cooling period, Newton’s cooling energy accounted for about 90% of the stored energy within 7 h, so the main ways of heat dissipation after the seventh hour were radiation and conduction cooling, corresponding to the emission across the urban boundary layer. Therefore, the BOF-75 specimen was considered more favorable to urban heat island mitigation.
- The anti-skid index, the BPN value, was far larger than the standard of 45; the stability value complied with the standard of 8.006 kN, and BOF-75 could reach 34.54 kN. Consequently, BOFS can be successfully applied in pavements.
- All asphalt concrete with partial BOFS replacement had a greater indirect tensile strength than the traditional concrete. It is very likely that BOFS has a better binding ability with bitumen than natural aggregate does.
- From the test results, it can be seen that BOFS has great applicability in pavements due to its thermal performance and mechanical properties.
Author Contributions
Funding
Institutional Review Board Statement
Informed Consent Statement
Data Availability Statement
Conflicts of Interest
References
- NOAA Climate, Climate Change: Global Temperature. Available online: https://www.climate.gov/news-features/understanding-climate/climate-change-global-temperature (accessed on 22 July 2020).
- Cao, X.; Tang, B.; Zhu, H.; Zhang, A.; Chen, S. Cooling principle analyses and performance evaluation of heat-reflective coating for asphalt pavement. J. Mater. Civ. Eng. 2011, 23, 1067–1075. [Google Scholar] [CrossRef]
- Chen, Q.; Wang, C.; Fu, H.; Zhang, L. Durability evaluation of road cooling coating. Constr. Build. Mater. 2018, 190, 13–23. [Google Scholar] [CrossRef]
- Synnefa, A.; Karlessi, T.; Gaitani, N.; Santamouris, M.; Assimakopoulos, D.N.; Papakatsikas, C. Experimental testing of cool colored thin layer asphalt and estimation of its potential to improve the urban microclimate. Build Environ. 2011, 46, 38–44. [Google Scholar] [CrossRef]
- Anting, N.; Din, M.F.M.; Iwao, K.; Ponraj, M.; Siang, A.J.L.M.; Yong, L.Y.; Prasetijo, J. Optimizing of near infrared region reflectance of mix-waste tile aggregate as coating material for cool pavement with surface temperature measurement. Energy Build. 2011, 158, 172–180. [Google Scholar] [CrossRef]
- Zheng, M.; Han, L.; Wang, F.; Mi, H.; Li, Y.; He, L. Comparison and analysis on heat reflective coating for asphalt pavement based on cooling effect and anti-skid performance. Constr. Build. Mater. 2015, 93, 1197–1205. [Google Scholar] [CrossRef]
- Xie, N.; Li, H.; Abdelhady, A.; Harvey, J. Laboratorial investigation on optical and thermal properties of cool pavement nano-coatings for urban heat island mitigation. Build Environ. 2019, 147, 231–240. [Google Scholar] [CrossRef]
- Jiang, L.; Wang, L.; Wang, S. A novel solar reflective coating with functional gradient multilayer structure for cooling asphalt pavements. Constr. Build. Mater. 2019, 210, 13–21. [Google Scholar] [CrossRef]
- Sha, A.; Liu, Z.; Tang, K.; Li, P. Solar heating reflective coating layer (SHRCL) to cool the asphalt pavement surface. Constr. Build. Mater. 2017, 139, 355–364. [Google Scholar] [CrossRef]
- Huang, Z.; Ruan, X. Nanoparticle embedded double-layer coating for daytime radiation cooling. Int. J. Heat Mass Transf. 2017, 104, 890–896. [Google Scholar] [CrossRef]
- Feng, C.; Zhang, H.; Li, C.; Jia, W.; Lai, F. The effects of hollow glass microsphere modification on the road performances and thermal performance of asphalt binder and mixture. Constr. Build. Mater. 2019, 220, 64–75. [Google Scholar] [CrossRef]
- Du, Y.; Dai, M.; Deng, H.; Deng, D.; Cheng, P.; Ma, C. Incorporating hollow glass microsphere to cool asphalt pavement: Preliminary evaluation of asphalt mastic. Constr. Build. Mater. 2020, 244, 118380. [Google Scholar]
- Sun, X.; Qin, X.; Li, S.; Zou, C.; Wang, C.; Wang, X. Characterization of thermal insulating micro-surfacing modified by inorganic insulating material. Constr. Build. Mater. 2018, 175, 296–306. [Google Scholar] [CrossRef]
- Du, Y.; Wang, S.; Zhang, J. Cooling asphalt pavement by a highly oriented heat conduction structure. Energy Build. 2015, 102, 187–196. [Google Scholar]
- Zhu, Q.; Wang, W.; Wang, S.; Zhou, X.; Liao, G.; Wang, S.; Chen, J. Unilateral heat-transfer asphalt pavement for permafrost protection. Cold Reg. Sci. Technol. 2012, 71, 129–138. [Google Scholar] [CrossRef]
- Wu, C.H.; Huang, C.H.; Li, Y.F.; Lee, W.H.; Cheng, T.W. Utilization of basic oxygen furnace slag in geopolymeric coating for passive radiation cooling application. Sustainability 2020, 12, 3967. [Google Scholar] [CrossRef]
- Li, Q.; Ding, H.; Rahman, A.; He, D. Evaluation of Basic Oxygen Furnace (BOF) material into slag-based asphalt concrete to be used in railway substructure. Constr. Build. Mater. 2016, 115, 593–601. [Google Scholar] [CrossRef]
- Chen, S.; Lin, D.; Luo, H.; Lin, Z. Application of reclaimed basic oxygen furnace slag asphalt pavement in road base aggregate. Constr. Build. Mater. 2017, 157, 647–653. [Google Scholar] [CrossRef]
- Huang, L.S.; Lin, D.F.; Luo, H.L. Effect of field compaction mode on asphalt mixture concrete with basic oxygen furnace slag. Constr. Build. Mater. 2012, 34, 16–27. [Google Scholar] [CrossRef]
- Xie, J.; Wu, S.; Lin, J.; Cai, J.; Chen, Z.; Wei, W. Recycling of basic oxygen furnace slag in asphalt mixture: Material characterization & moisture damage investigation. Constr. Build. Mater. 2012, 36, 467–474. [Google Scholar]
- Brencis, G.; Smirnovs, J.; Zaumanis, M.; Haritonovs, V. Performance characterization of bituminous mixtures with dolomite sand waste and BOF steel slag. J. Test. Eval. 2012, 40, 1–6. [Google Scholar]
- Lin, D.; Chou, L.; Wang, Y.; Luo, H. Performance evaluation of asphalt concrete test road partially paved with industrial waste—Basic oxygen furnace slag. Constr. Build. Mater. 2015, 78, 315–323. [Google Scholar] [CrossRef]
- Shen, D.H.; Wu, C.M.; Du, J.C. Laboratory investigation of basic oxygen furnace slag for substitution of aggregate in porous asphalt mixture. Constr. Build. Mater. 2009, 23, 453–461. [Google Scholar] [CrossRef]
- Amelian, S.; Manian, M.; Abtahi, S.M.; Goli, A. Moisture sensitivity and mechanical performance assessment of warm mix asphalt containing by-product steel slag. J. Clean. Prod. 2018, 176, 329–337. [Google Scholar] [CrossRef]
- ASTM D3515. Standard Specification for Hot-Mixed, Hot-Laid Bituminous Paving Mixtures; ASTM: West Conshohocken, PA, USA, 1996. [Google Scholar]
- ASTM D6926. Standard Practice for Preparation of Asphalt Mixture Specimens Using Marshall Apparatus; ASTM: West Conshohocken, PA, USA, 2020. [Google Scholar]
- ASTM D6927. Standard Test Method for Marshall Stability and Flow of Asphalt Mixtures; ASTM: West Conshohocken, PA, USA, 2015. [Google Scholar]
- ASTM D6931. Standard Test Method for Indirect Tensile (IDT) Strength of Asphalt Mixtures; ASTM: West Conshohocken, PA, USA, 2017. [Google Scholar]
- ASTM E303-93. Standard Test Method for Measuring Surface Frictional Properties Using the British Pendulum Tester; ASTM: West Conshohocken, PA, USA, 2018. [Google Scholar]
- Department of Traffic and Road in Queensland: Traffic and Road Management Manual, TRUM Vol 3, Part 2: Pavement Marking Usage. Available online: https://www.tmr.qld.gov.au/business-industry/Technical-standards-publications/Traffic-and-Road-Use-Management-manual/Volume-3 (accessed on 9 November 2020).
























| Sieve No. | Sieve Size (mm) | Passing Weight Percentage (%) | ||
|---|---|---|---|---|
| ASTM Specification | Specimens | Permissible Error | ||
| 3/8 | 9.5 | 90–100 | 100 | ±7% |
| No. 4 | 4.75 | 55–85 | 76 | |
| No. 8 | 2.36 | 32–67 | 46 | ±6% |
| No. 16 | 1.18 | - | 31 | |
| No. 30 | 0.60 | - | 21 | ±5% |
| No. 50 | 0.30 | 7–23 | 14 | |
| No. 100 | 0.15 | - | 9 | ±4% |
| No. 200 | 0.075 | 2–10 | 5.6 | ±3% |
| Specimen | Description |
|---|---|
| Benchmark | Standard asphalt concrete |
| BOF-45 | BOFS replacing 45 wt.% natural aggregates |
| BOF-55 | BOFS replacing 55 wt.% natural aggregates |
| BOF-65 | BOFS replacing 65 wt.% natural aggregates |
| BOF-75 | BOFS replacing 75 wt.% natural aggregates |
| Wavelength (μm) | Benchmark | BOF-45 | BOF-55 | BOF-65 | BOF-75 |
|---|---|---|---|---|---|
| 3–16.67 | 0.844 | 0.792 | 0.822 | 0.872 | 0.877 |
| 8–13 | 0.829 | 0.797 | 0.805 | 0.870 | 0.855 |
| Specimen | Benchmark | BOF-45 | BOF-55 | BOF-75 | |
|---|---|---|---|---|---|
| Depth | |||||
| 0 cm | 69.86 | 75.14 | 79.88 | 85.10 | |
| 1 cm | 77.94 | 79.56 | 70.83 | 75.33 | |
| 2 cm | 76.16 | 78.06 | 75.94 | 76.72 | |
| 3 cm | 81.40 | 80.20 | 78.71 | 76.63 | |
| 4 cm | 77.49 | 75.75 | 75.29 | 69.42 | |
| 5 cm | 75.77 | 70.98 | 69.97 | 69.64 | |
| Specimen | Benchmark | BOF-45 | BOF-55 | BOF-75 | |
|---|---|---|---|---|---|
| Depth | |||||
| 0 cm | 57.69 | 56.95 | 64.74 | 66.82 | |
| 1 cm | 61.63 | 61.43 | 60.96 | 62.83 | |
| 2 cm | 63.78 | 61.76 | 64.60 | 64.69 | |
| 3 cm | 65.65 | 64.17 | 63.53 | 63.46 | |
| 4 cm | 64.97 | 63.49 | 61.15 | 63.07 | |
| 5 cm | 60.88 | 60.40 | 60.28 | 60.04 | |
| Specimen | Benchmark | BOF-45 | BOF-55 | BOF-75 | |||||
|---|---|---|---|---|---|---|---|---|---|
| Time Period | 10:00 ∫ 14:50 | 20:00 ∫ 22:30 | 10:00 ∫ 13:10 | 20:00 ∫ 23:30 | 9:20 ∫ 11:40 | 22:40 ∫ 04:10 | 9:20 ∫ 10:50 | 22:40 ∫ 06:00 | |
| Average Temperature (°C) | 35 | 30 | 35 | 30 | 35 | 30 | 35 | 30 | |
| Average Humidity (%) | 42.23 | 70.81 | 43.90 | 70.13 | 38.40 | 77.26 | 44.70 | 74.24 | |
| Average Solar Radiation (W/m2) | 642.73 | 0 | 412.75 | 0 | 756.34 | 0 | 646.32 | 0 | |
| Average Temperature (°C) at Various Depths | 0 cm | 51.04 | 29.59 | 41.88 | 29.84 | 50.97 | 29.01 | 49.63 | 29.55 |
| 1 cm | 54.54 | 30.32 | 49.11 | 30.82 | 53.09 | 29.39 | 52.21 | 30.01 | |
| 2 cm | 55.98 | 30.76 | 48.93 | 31.17 | 51.38 | 30.36 | 50.55 | 30.27 | |
| 3 cm | 55.67 | 31.11 | 48.53 | 31.47 | 49.87 | 30.27 | 49.64 | 30.40 | |
| 4 cm | 54.69 | 31.61 | 46.22 | 32.96 | 45.99 | 31.36 | 46.73 | 31.05 | |
| 5 cm | 56.25 | 31.58 | 48.45 | 32.26 | 49.32 | 30.80 | 48.87 | 30.35 | |
| Specimen | Benchmark | BOF-45 | BOF-55 | BOF-75 | |
|---|---|---|---|---|---|
| Hour | |||||
| 1 | 3871.92 | 3928.44 | 3956.71 | 4691.52 | |
| 2 | 2232.71 | 1695.73 | 2430.55 | 2656.65 | |
| 3 | 1441.37 | 1526.16 | 1413.11 | 1610.94 | |
| 4 | 904.39 | 960.91 | 1017.44 | 1187.01 | |
| 5 | 678.29 | 763.08 | 932.65 | 932.65 | |
| 6 | 536.98 | 423.93 | 650.03 | 734.82 | |
| 7 | 423.93 | 367.41 | 452.20 | 508.72 | |
| … | … | … | … | … | |
| Sum (24 h) | 255,998.94 | 233,841.38 | 288,641.77 | 306,616.52 | |
| Specimen | Benchmark | BOF-45 | BOF-55 | BOF-75 | |
|---|---|---|---|---|---|
| Hour | |||||
| 1 | 184.69 | 196.26 | 292.53 | 333.16 | |
| 2 | 102.92 | 23.08 | 171.10 | 160.02 | |
| 3 | 75.39 | 80.00 | 83.71 | 102.77 | |
| 4 | 38.81 | 51.77 | 61.17 | 75.05 | |
| 5 | 33.77 | 52.61 | 48.01 | 53.64 | |
| 6 | 26.46 | 15.76 | 29.53 | 41.18 | |
| 7 | 16.92 | 21.13 | 22.06 | 33.01 | |
| … | … | … | … | … | |
| Sum (24 h) | 14,186.33 | 13,545.51 | 22,342.61 | 23,985.92 | |
| Specimen | Benchmark | BOF-45 | BOF-55 | BOF-75 | |
|---|---|---|---|---|---|
| Hour | |||||
| 1 | 3687.23 | 3732.19 | 3664.18 | 4358.36 | |
| 2 | 2129.79 | 1672.65 | 2259.45 | 2496.63 | |
| 3 | 1365.98 | 1446.16 | 1329.40 | 1508.18 | |
| 4 | 865.58 | 909.14 | 956.27 | 1111.96 | |
| 5 | 644.52 | 710.47 | 884.64 | 879.01 | |
| 6 | 510.52 | 408.17 | 620.50 | 693.64 | |
| 7 | 407.01 | 346.28 | 430.14 | 475.71 | |
| … | … | … | … | … | |
| Sum (24 h) | 241,812.61 | 220,295.87 | 266,299.16 | 282,630.60 | |
| Specimen | Benchmark | BOF-45 | BOF-55 | BOF-75 | |
|---|---|---|---|---|---|
| Cumulated Hour | |||||
| 1 | 138,428.22 | 116,892.42 | 160,698.82 | 156,685.59 | |
| 2 | 172,201.54 | 149,337.42 | 196,591.81 | 198,061.44 | |
| 3 | 191,730.71 | 167,905.68 | 217,675.40 | 222,536.50 | |
| 4 | 204,759.58 | 180,623.67 | 231,636.93 | 238,787.26 | |
| 5 | 214,029.58 | 190,091.50 | 241,500.43 | 251,024.79 | |
| 6 | 220,869.03 | 197,100.53 | 249,018.18 | 260,038.69 | |
| 7 | 226,323.64 | 203,063.85 | 254,811.92 | 267,190.77 | |
| … | … | … | … | … | |
| 24 | 255,998.94 | 233,841.38 | 288,641.77 | 306,616.52 | |
| Specimen | Benchmark | BOF-45 | BOF-55 | BOF-75 | |
|---|---|---|---|---|---|
| Cumulated Hour | |||||
| 1 | 9842.91 | 8253.74 | 15,271.91 | 15,796.84 | |
| 2 | 11,389.49 | 9985.62 | 17,720.81 | 18,507.62 | |
| 3 | 12,221.99 | 10,897.82 | 19,061.52 | 20,011.26 | |
| 4 | 12,710.38 | 11,506.13 | 19,878.20 | 20,938.10 | |
| 5 | 13,053.25 | 11,596.67 | 20,421.84 | 21,607.52 | |
| 6 | 13,275.10 | 12,249.19 | 20,813.72 | 22,065.73 | |
| 7 | 13,447.55 | 12,511.17 | 21,105.98 | 22,418.62 | |
| … | … | … | … | … | |
| 24 | 14,186.33 | 13,545.51 | 22,342.61 | 23,985.92 | |
| Specimen | Benchmark | BOF-45 | BOF-55 | BOF-75 | |
|---|---|---|---|---|---|
| Cumulated Hour | |||||
| 1 | 128,585.31 | 108,638.68 | 145,426.92 | 140,888.75 | |
| 2 | 160,812.05 | 139,351.81 | 178,871.00 | 179,553.83 | |
| 3 | 179,508.72 | 157,007.86 | 198,613.89 | 202,525.24 | |
| 4 | 192,049.20 | 169,117.54 | 211,758.73 | 217,849.17 | |
| 5 | 200,976.34 | 178,134.83 | 221,078.60 | 229,417.27 | |
| 6 | 207,593.93 | 184,851.34 | 228,204.45 | 238,002.96 | |
| 7 | 212,876.09 | 190,552.68 | 233,705.94 | 244,772.15 | |
| … | … | … | … | … | |
| 24 | 241,812.61 | 220,295.87 | 266,299.16 | 282,630.60 | |
| Specimen | No. | Stability Value (kN) | Average Stability Value (kN) |
|---|---|---|---|
| Benchmark | 1 | 12.13 | 11.61 |
| 2 | 12.25 | ||
| 3 | 10.43 | ||
| BOF-45 | 1 | 16.98 | 17.07 |
| 2 | 17.68 | ||
| 3 | 16.55 | ||
| BOF-55 | 1 | 17.05 | 15.91 |
| 2 | 15.67 | ||
| 3 | 15.02 | ||
| BOF-75 | 1 | 35.09 | 34.54 |
| 2 | 33.59 | ||
| 3 | 34.93 |
| Specimen | Maximum Load (kN) | Indirect Tensile Strength (MPa) | Average Indirect Tensile Strength (MPa) |
|---|---|---|---|
| Benchmark | 5.592 | 0.511 | 0.568 |
| 6.524 | 0.612 | ||
| 6.259 | 0.580 | ||
| BOF-45 | 11.75 | 1.255 | 1.253 |
| 12.09 | 1.251 | ||
| 12.02 | 1.253 | ||
| BOF-55 | 13.64 | 1.509 | 1.414 |
| 12.26 | 1.364 | ||
| 12.30 | 1.368 | ||
| BOF-75 | 12.54 | 1.456 | 1.253 |
| 11.08 | 1.264 | ||
| 9.369 | 1.038 |
| Specimen No. | 1 | 2 | 3 | 4 | Average |
|---|---|---|---|---|---|
| Benchmark | 82 | 83 | 84 | 83 | 83 |
| BOF-45 | 80 | 80 | 81 | 80 | 80 |
| BOF-55 | 79 | 79 | 79 | 80 | 79 |
| BOF-75 | 82 | 80 | 80 | 82 | 81 |
Publisher’s Note: MDPI stays neutral with regard to jurisdictional claims in published maps and institutional affiliations. |
© 2021 by the authors. Licensee MDPI, Basel, Switzerland. This article is an open access article distributed under the terms and conditions of the Creative Commons Attribution (CC BY) license (http://creativecommons.org/licenses/by/4.0/).
Share and Cite
Li, Y.-F.; Yang, P.-A.; Wu, C.-H.; Cheng, T.-W.; Huang, C.-H. A Study on Radiation Cooling Effect on Asphalt Concrete Pavement Using Basic Oxygen Furnace Slag to Replace Partial Aggregates. Sustainability 2021, 13, 3708. https://doi.org/10.3390/su13073708
Li Y-F, Yang P-A, Wu C-H, Cheng T-W, Huang C-H. A Study on Radiation Cooling Effect on Asphalt Concrete Pavement Using Basic Oxygen Furnace Slag to Replace Partial Aggregates. Sustainability. 2021; 13(7):3708. https://doi.org/10.3390/su13073708
Chicago/Turabian StyleLi, Yeou-Fong, Po-An Yang, Chia-Ho Wu, Ta-Wui Cheng, and Chih-Hong Huang. 2021. "A Study on Radiation Cooling Effect on Asphalt Concrete Pavement Using Basic Oxygen Furnace Slag to Replace Partial Aggregates" Sustainability 13, no. 7: 3708. https://doi.org/10.3390/su13073708
APA StyleLi, Y.-F., Yang, P.-A., Wu, C.-H., Cheng, T.-W., & Huang, C.-H. (2021). A Study on Radiation Cooling Effect on Asphalt Concrete Pavement Using Basic Oxygen Furnace Slag to Replace Partial Aggregates. Sustainability, 13(7), 3708. https://doi.org/10.3390/su13073708

