Mapping the Energy Flows and GHG Emissions of a Medium-Size City: The Case of Valladolid (Spain)
Abstract
:1. Introduction
- The lack of detailed and precise statistical data sources;
- The lack of bottom-up methodologies in the literature for the available data.
2. Materials and Methods
2.1. Overview
2.2. Description of the Case Study
2.3. Setting of Study Boundaries
2.4. Identification of Available Data Sources
2.5. Estimation of Energy Flows and GHG Emissions by Sector and Type of Energy
2.5.1. Estimation of Energy Products Imports
- They are an accurate indicator of sector size;
- They are common data, easy to obtain even in small-size cities;
- They are complete time series.
2.5.2. Electricity Local Production
- For the Michelin power station (Energyworks VitVall PlantValladolid, Spain), due to the fact that it is the only major consumer in the town, its electricity production could be estimated with its performance characteristics (0.39 MWh of electrical output for each 1 MWh of natural gas supply [53]) and gas consumption data from the distribution company. We could test that data with the emissions reported in the UE-ETS database [53].
- For the plants associated with the treatment of sewage sludge (water treatment plant) and solid waste, we had reports with the electrical energy production data for some years of the series [54,55]. We estimated the rest of the series assuming that production is proportional to the population served by each plant (the water treatment plant in the town and the solid waste treatment plant in the province).
2.5.3. Upstream Primary Energy
2.5.4. Estimation of GHG Emissions
2.6. Final Energy Consumption of End-Use in Households
2.6.1. Transport
2.6.2. Buildings
3. Results
3.1. Temporal and Sectorial Evolution
3.2. Final Energy Consumption Estimations Top-down vs. Bottom-up of End-Use in Households
4. Discussion
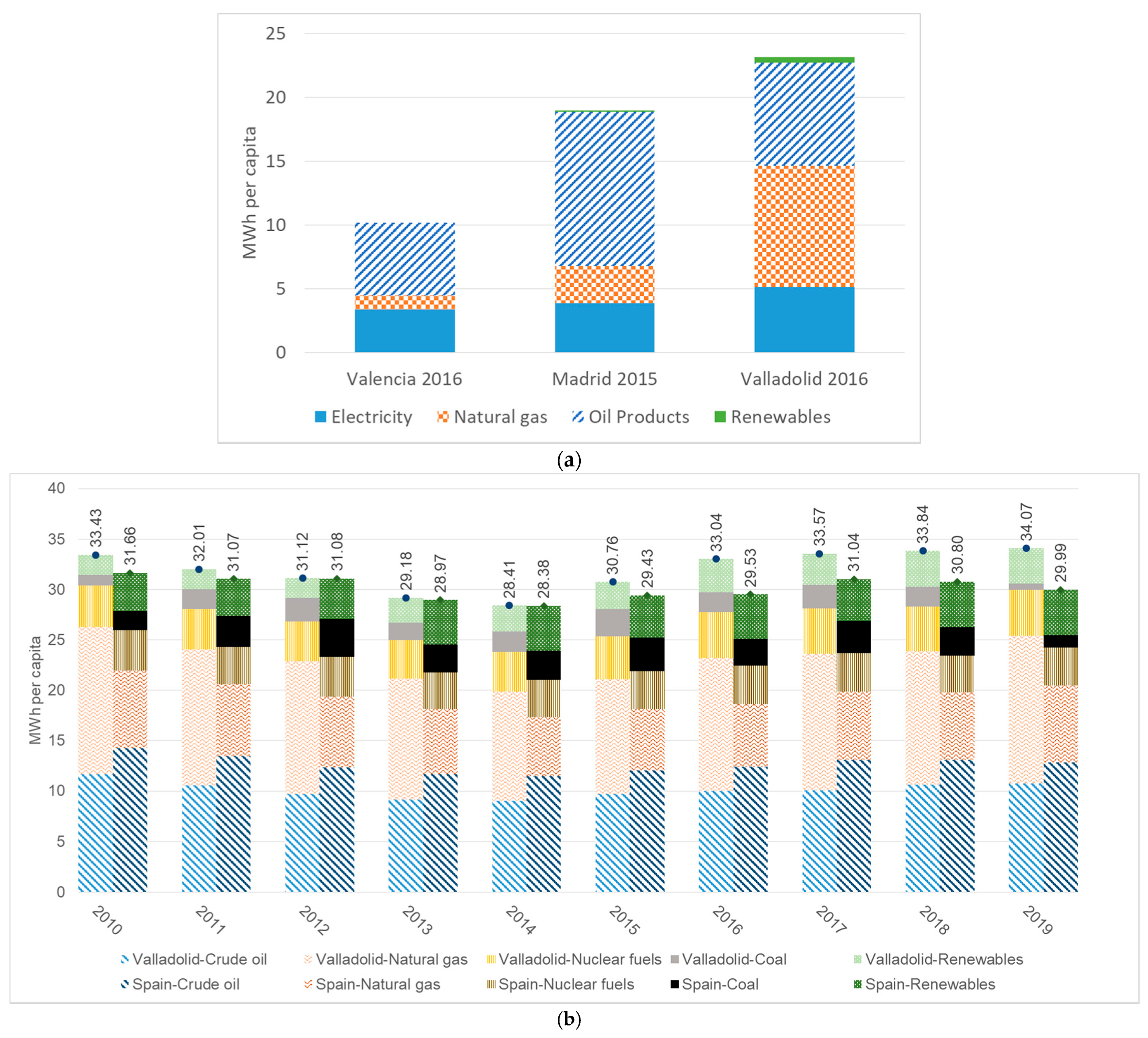
4.1. Comparison with Other Studies and with the Spanish Average
- The different population size of each city distorts the relative weight of the industries. Of Madrid (3,141,991 inhab. in 2015), Valencia (790,201 inhab. in 2016), and Valladolid (301,876 inhab. in 2016), only Valladolid has the main industrial plants in each province in the municipal area. This is why the impact of the biggest CHP plant of Valladolid is behind the natural gas consumption.
- The different climate conditions can also explain the different natural gas consumptions due to residential heating demand, which, as is well known, is lower in the other cities [70].
- The grid electricity consumption is similar in all three cases (3.87 MWh per capita in Madrid, 3.38 MWh per capita in Valencia and 5.14 MWh per capita in Valladolid). As we argue, the industrial electrical consumption must be the main cause of the difference.
- The consumption of oil products has a different explanation. The consumption of oil products in Madrid is mainly due to the airport (65% of its oil products are kerosene), while the airports of Valladolid and Valencia are outside the LAU. So, the oil products consumption in Madrid for the rest of transport uses is about 4.2 MWh per capita, close to the 5.69 MWh per capita in Valencia, but far from the 8.07 MWh per capita in Valladolid. This difference can be due to:
- ◦
- the lack of railways as internal public transport modes (as both Madrid and Valencia have metro and Commuter rail (Cercanías) services);
- ◦
- the location of Valladolid as an important freight cargo corridor (highway A-62).
It is important to note that the case of Valencia uses data from the bottom-up modeling based on the vehicles, unlike the other cities, which take the data from the suppliers. - Regarding bioenergy (included as a renewable in Figure 10), Valladolid shows the highest participation due to the existence of district heating installations.
4.2. Discusion on the Study Case Results
- Energy consumption is strongly linked to economic activity. Even with a population decline trend in our case study city, energy consumption increased from 2015, which is linked to industry, services, and transportation, while even residential consumption increased in the period 2016–2018. The share of energy consumption by sector remains practically constant throughout the decade, although an important fall in residential consumption (a decrease of 28.5%) was detected through the period analysis, while consumption increased in economic activities (an increase of 10.7% in commerce and services and 29.2% of industrial consumption). We should point out that there is an ongoing transformation in household residential consumption that explains these trends, as people spend more in services while avoiding domestic energy consumption. This reduction may be the result of the combination of efficiency policies (which could be a symptom of the rebound effect on household consumption [76]) and energy poverty, which in Spain still remains a serious problem [77]. The disaggregation of the data by income sources may help to shed further light on this issue in the future.
- The sources of the energy consumed remain roughly constant throughout the decade. Despite the numerous institutional strategies [78] and the relative increase in the consumption of biomass (1365% increase from 2010–2019) and photovoltaic solar energy output (228.5% increase from 2010–2019), there is no significant change in the energy consumption pattern (both still below 3% of the total amount of primary energy consumed in 2019). This analysis shows that there has not been an important substitution of energy sources during the period studied, although there are important ongoing efforts that show the high impact that can be obtained if substantially scaled-up in the future (i.e., the University of Valladolid biomass district heating).
- At local level, the city council has implemented some policies aimed at transitioning to a more sustainable model. We mentioned the SEAP [36], which established a reduction of 20% in GHG emissions. Furthermore, along the decade, the approval of the new urban plan (PGOU) in 2017 [79] stands out because of its effects on land use policies, as a compact city is defined, rejecting the urban sprawl model already in place. This plan proposes a modal shift in urban mobility to low-carbon modes (public transport, bicycle, pedestrian, etc.).
4.3. Discussion of Methodological Issues
- A lack of data on mobility in the functional urban area. The mobility data available excludes trips between the city and the rest of the urban zones in the functional urban area, which can be an important amount. We consider that this situation is due to the absence of an adequate institutional framework for both the processing of data and the adoption of policies at a metropolitan level.
- The dispersion of fuel suppliers in multiple companies and gas stations make it difficult to allocate the territorial energy consumption. The different fuel supply companies carry out their own internal redistribution under their economic calculations, which are not restricted to administrative limits.
4.4. Further Work
5. Conclusions
- Local energy consumption based on non-local information sources;
- Household energy consumption based on data from the energy consumption of residential buildings and data of passenger transport, using mobility data.
Supplementary Materials
Author Contributions
Funding
Data Availability Statement
Acknowledgments
Conflicts of Interest
References
- Steffen, W.; Richardson, K.; Rockström, J.; Cornell, S.E.; Fetzer, I.; Bennett, E.M.; Biggs, R.; Carpenter, S.R.; De Vries, W.; De Wit, C.A.; et al. Planetary boundaries: Guiding human development on a changing planet. Science 2015, 347, 1259855. [Google Scholar] [CrossRef] [Green Version]
- IPCC. Climate Change 2014: Synthesis Report. Contribution of Working Groups I, II and III to the Fifth Assessment Report of the Intergovernmental Panel on Climate Change; Core Writing Team, Pachauri, R., Meyer, L., Eds.; IPCC: Geneva, Switzerland, 2014. [Google Scholar]
- Millennium Ecosystem Assessment. Ecosystems and Human Well-Being: Synthesis; Island Press: Washington, DC, USA, 2005. [Google Scholar]
- Trisos, C.H.; Merow, C.; Pigot, A.L. The projected timing of abrupt ecological disruption from climate change. Nature 2020, 580, 496–501. [Google Scholar] [CrossRef]
- IPCC. Climate Change 2021: The Physical Science Basis. Contribution of Working Group I to the Sixth Assessment Report of the Intergovernmental Panel on Climate Change; Masson-Delmotte, V., Zhai, P., Pirani, A., Connors, S.L., Péan, C., Berger, S., Caud, N., Chen, Y., Goldfarb, L., Gomis, M.I., et al., Eds.; Cambridge University Press: Cambridge, UK, 2021; in press. [Google Scholar]
- Ivanova, D.; Wood, R. The unequal distribution of household carbon footprints in Europe and its link to sustainability. Glob. Sustain. 2020, 3, e18. [Google Scholar] [CrossRef]
- Wiedmann, T.; Lenzen, M.; Keyßer, L.T.; Steinberger, J.K. Scientists’ warning on affluence. Nat. Commun. 2020, 11, 1–10. [Google Scholar] [CrossRef]
- IPCC. Climate Change 2007: Synthesis Report. Contribution of Working Groups I, II and III to the Fourth Assessment Report of the Intergovernmental Panel on Climate Change; Core Writing Team, Pachauri, R.K., Reisinger, A., Eds.; IPCC: Geneva, Switzerland, 2007. [Google Scholar]
- Nieto, J.; Carpintero, Ó.; Miguel, L.J. Less than 2 °C? An Economic-Environmental Evaluation of the Paris Agreement. Ecol. Econ. 2018, 146, 69–84. [Google Scholar] [CrossRef]
- Keivani, R. A review of the main challenges to urban sustainability. Int. J. Urban Sustain. Dev. 2010, 1, 5–16. [Google Scholar] [CrossRef]
- Martos, A.; Pacheco-Torres, R.; Ordóñez, J.; Jadraque-Gago, E. Towards successful environmental performance of sustainable cities: Intervening sectors. A review. Renew. Sustain. Energy Rev. 2016, 57, 479–495. [Google Scholar] [CrossRef]
- Reckien, D.; Salvia, M.; Heidrich, O.; Church, J.M.; Pietrapertosa, F.; De Gregorio-Hurtado, S.; D’Alonzo, V.; Foley, A.; Simoes, S.G.; Krkoška Lorencová, E.; et al. How are cities planning to respond to climate change? Assessment of local climate plans from 885 cities in the EU-28. J. Clean. Prod. 2018, 191, 207–219. [Google Scholar] [CrossRef]
- CoM Covenant of Mayors. Available online: https://www.covenantofmayors.eu/ (accessed on 30 June 2021).
- Reckien, D.; Flacke, J.; Olazabal, M.; Heidrich, O. The influence of drivers and barriers on urban adaptation and mitigation plans-an empirical analysis of European Cities. PLoS ONE 2015, 10, e0135597. [Google Scholar] [CrossRef]
- Grubler, A.; Bai, X.; Buettner, T.; Dhakal, S.; Fisk, D.; Ichinose, T.; Keirstead, J.; Sammer, G.; Satterthwaite, D.; Schulz, N.; et al. Chapter 18: Urban energy systems. In Global Energy Assessment: Toward a Sustainable Future; Cambridge University Press: Cambridge, UK, 2012; pp. 1307–1400. [Google Scholar]
- Baynes, T.; Bai, X. Trajectories of Change: Melbourne’s Population, Urban Development, Energy Supply and Use from 1960–2006; International Institute for Applied Systems Analysis (IIASA): Laxenburg, Austria, 2006. [Google Scholar]
- Pérez, J.; Lázaro, S.; Lumbreras, J.; Rodríguez, E. A methodology for the development of urban energy balances: Ten years of application to the city of Madrid. Cities 2019, 91, 126–136. [Google Scholar] [CrossRef]
- Muñoz, I.; Hernández, P.; Pérez-Iribarren, E.; Pedrero, J.; Arrizabalaga, E.; Hermoso, N. Methodology for integrated modelling and impact assessment of city energy system scenarios. Energy Strateg. Rev. 2020, 32, 100553. [Google Scholar] [CrossRef]
- Abbasabadi, N.; Ashayeri, M.; Azari, R.; Stephens, B.; Heidarinejad, M. An integrated data-driven framework for urban energy use modeling (UEUM). Appl. Energy 2019, 253, 113550. [Google Scholar] [CrossRef]
- Fichera, A.; Inturri, G.; La Greca, P.; Palermo, V. A model for mapping the energy consumption of buildings, transport and outdoor lighting of neighbourhoods. Cities 2016, 55, 49–60. [Google Scholar] [CrossRef]
- Osório, B.; McCullen, N.; Walker, I.; Coley, D. Integrating the energy costs of urban transport and buildings. Sustain. Cities Soc. 2017, 32, 669–681. [Google Scholar] [CrossRef]
- Osório, B. Characterizing the Relationship between Energy and Urban Form Using Data, Scaling and Combined Metrics. Doctoral Dissertation, University of Bath, Bath, UK, November 2017. [Google Scholar]
- Carre, R.; Wegener, A. Exploring urban metabolism—Towards an interdisciplinary perspective. Resour. Conserv. Recycl. 2018, 132, 190–203. [Google Scholar] [CrossRef]
- Kennedy, C.; Pincetl, S.; Bunje, P. The study of urban metabolism and its applications to urban planning and design. Environ. Pollut. 2011, 159, 1965–1973. [Google Scholar] [CrossRef]
- Giampietro, M.; Mayumi, K.; Ramos-Martin, J. Multi-scale integrated analysis of societal and ecosystem metabolism (MuSIASEM): Theoretical concepts and basic rationale. Energy 2009, 34, 313–322. [Google Scholar] [CrossRef]
- Pérez-Sánchez, L.; Giampietro, M.; Velasco-Fernández, R.; Ripa, M. Characterizing the metabolic pattern of urban systems using MuSIASEM: The case of Barcelona. Energy Policy 2019, 124, 13–22. [Google Scholar] [CrossRef]
- García-Guaita, F.; González-García, S.; Villanueva-Rey, P.; Moreira, M.T.; Feijoo, G. Integrating Urban Metabolism, Material Flow Analysis and Life Cycle Assessment in the environmental evaluation of Santiago de Compostela. Sustain. Cities Soc. 2018, 40, 569–580. [Google Scholar] [CrossRef]
- González-García, S.; Dias, A.C. Integrating lifecycle assessment and urban metabolism at city level: Comparison between Spanish cities. J. Ind. Ecol. 2019, 23, 1062–1076. [Google Scholar] [CrossRef]
- Rama, M.; González-García, S.; Andrade, E.; Moreira, M.T.; Feijoo, G. Assessing the sustainability dimension at local scale: Case study of Spanish cities. Ecol. Indic. 2020, 117, 106687. [Google Scholar] [CrossRef]
- Heinonen, J.; Ottelin, J.; Ala-Mantila, S.; Wiedmann, T.; Clarke, J.; Junnila, S. Spatial consumption-based carbon footprint assessments—A review of recent developments in the field. J. Clean. Prod. 2020, 256, 120335. [Google Scholar] [CrossRef]
- Chen, G.; Shan, Y.; Hu, Y.; Tong, K.; Wiedmann, T.; Ramaswami, A.; Guan, D.; Shi, L.; Wang, Y. Review on City-Level Carbon Accounting. Environ. Sci. Technol. 2019, 53, 5545–5558. [Google Scholar] [CrossRef]
- Nangini, C.; Peregon, A.; Ciais, P.; Weddige, U.; Vogel, F.; Wang, J.; Bréon, F.-M.; Bachra, S.; Wang, Y.; Gurney, K.; et al. Data Descriptor: A global dataset of CO 2 emissions and ancillary data related to emissions for 343 cities. Sci. Data 2019, 6, 180280. [Google Scholar] [CrossRef] [PubMed]
- Harris, S.; Weinzettel, J.; Bigano, A.; Källmén, A. Low carbon cities in 2050? GHG emissions of European cities using production-based and consumption-based emission accounting methods. J. Clean. Prod. 2020, 248, 119206. [Google Scholar] [CrossRef]
- Lenzen, M.; Dey, C.; Foran, B. Energy requirements of Sydney households. Ecol. Econ. 2004, 49, 375–399. [Google Scholar] [CrossRef]
- Akizu-Gardoki, O.; Wakiyama, T.; Wiedmann, T.; Bueno, G.; Arto, I.; Lenzen, M.; Lopez-Guede, J.M. Hidden Energy Flow indicator to reflect the outsourced energy requirements of countries. J. Clean. Prod. 2021, 278, 123827. [Google Scholar] [CrossRef]
- Ayuntamiento de Valladolid. Sustainable Energy Action Plan; Ayuntamiento de Valladolid: Valladolid, Spain, 2010. [Google Scholar]
- Eurostat. Methodological Manual on Territorial Typologies; Publications Office of the European Union: Luxemburg, 2018. [Google Scholar]
- OEDC. OECD Regions at a Glance 2016; OECD Publishing: Paris, France, 2016; ISBN 9789264252097. [Google Scholar]
- United Nations Statistics Division. International Recommendations for Energy Statistics (IRES); United Nations: New York, NY, USA, 2018; ISBN 9789211615845. [Google Scholar]
- Swan, L.G.; Ugursal, V.I. Modeling of end-use energy consumption in the residential sector: A review of modeling techniques. Renew. Sustain. Energy Rev. 2009, 13, 1819–1835. [Google Scholar] [CrossRef]
- Sede Electrónica del Catastro Cadastral Data Difussion. Available online: https://www.sedecatastro.gob.es/Accesos/SECAccDescargaDatos.aspx (accessed on 29 June 2021).
- Pérez, J.; de Andrés, J.M.; Borge, R.; de la Paz, D.; Lumbreras, J.; Rodríguez, E. Vehicle fleet characterization study in the city of Madrid and its application as a support tool in urban transport and air quality policy development. Transp. Policy 2019, 74, 114–126. [Google Scholar] [CrossRef]
- Ayuntamiento de Valladolid Valladolid Urban Observatoy. Available online: http://www.valladolidencifras.es/ (accessed on 29 June 2021).
- Instituto Nacional de Estadística Population and Housing Census. 2011. Available online: https://www.ine.es/censos2011_datos/cen11_datos_inicio.htm (accessed on 29 June 2021).
- De las Rivas, J.; Alvarez, A.; Paris, M. El corredor industrial Valladolid-Palencia: Conurbación emergente entre dos polos urbanos consolidados. Ciudad Territ. Estud. Territ. 2013, XLV, 352–363. [Google Scholar]
- REBI SLU Univerisity of Valladolid Distric Heating. Available online: https://recursosdelabiomasa.es/redes-de-calor/red-de-calor-de-la-universidad-de-valladolid (accessed on 30 June 2021).
- Junta de Castilla y León Statistical Information System—Sistema de Información Estadística (SIE). Available online: https://www.jcyl.es/sie/sas/broker?_PROGRAM=mddbpgm.v2.indexv2.scl&_SERVICE=saswebl&_DEBUG=0&menu=cuentascotiz (accessed on 29 June 2021).
- Ministerio para la Transición Ecológica y el Reto Demográfico Publicaciones Estadísticas. Available online: https://energia.gob.es/balances/Publicaciones/Paginas/Publicaciones_estadisticas.aspx (accessed on 29 June 2021).
- CORES Statistics. Available online: https://www.cores.es/es/estadisticas (accessed on 29 June 2021).
- Ayuntamiento de Valladolid Sustainable Energy Action Plan Reports. Available online: https://www.valladolid.es/es/temas/hacemos/agencia-energetica-municipal-aemva/inventario-emisiones (accessed on 29 June 2021).
- Junta de Castilla y León DATAHUB of Energy Statistics of Castilla-y-Leon Regional Administration. Available online: https://analisis.datosabiertos.jcyl.es/pages/eren/?flg=es#centros-de-consumo (accessed on 29 June 2021).
- Junta de Castilla y León. Autorización Ambiental Energyworks Vit-Vall, S.L., Para Planta de Cogeneración de 77,8 MW. Térmicos, en las Instala-Ciones de Michelín España-Portugal, S.A.; Junta de Castilla y León: Valadolid, Spain, 2009; pp. 1338–1347. [Google Scholar]
- PRTR España Informe Detallado Energyworks Vitvall S.L. Available online: https://prtr-es.es/informes/fichacomplejo.aspx?Id_Complejo=3180 (accessed on 29 June 2021).
- Aquavall. Informe de sostenibilidad 2019; Aquavall: Valladolid, Spain, 2019. [Google Scholar]
- Ayuntamiento de Valladolid, Pliego Prescripciones Técnicas Contrato CTR Valladolid; Ayuntamiento de Valladolid: Valladolid, Spain, 2018.
- Ministerio Para la Transición Ecológica Registro Administrativo de Instalaciones de Producción de Energía Eléctrica. Available online: https://energia.serviciosmin.gob.es/Pretor/ (accessed on 30 June 2021).
- IDAE; Ayuntamiento de Valladolid, Análisis de Movilidad. PIMUSSVA; Ayuntamiento de Valladolid: Valladolid, Spain, 2015. [Google Scholar]
- OTLE. Study of Interprovincial Mobility of Travelers applying Big Data Technology. Available online: https://observatoriotransporte.mitma.es/estudio-experimental (accessed on 29 June 2021).
- Bettencourt, L.M.A. A unified theory of urban living. Nature 2010, 467, 912–913. [Google Scholar] [CrossRef]
- Youn, H.; Lobo, J.; Bettencourt, L.M.A. The hypothesis of urban scaling: Formalization, implications and challenges. arXiv 2013, arXiv:1301.5919. [Google Scholar]
- Bettencourt, L.M.A. The Origins of Scaling in Cities. Science 2013, 340, 1438–1441. [Google Scholar] [CrossRef] [Green Version]
- Arbabi, H.; Mayfield, M. Urban and rural-population and energy consumption dynamics in local authorities within England and Wales. Buildings 2016, 6, 34. [Google Scholar] [CrossRef] [Green Version]
- ESIOS Maps. Available online: https://www.esios.ree.es/es/mapas-de-interes (accessed on 29 June 2021).
- Prussi, M.; Yugo, M.; De Prada, L.; Padella, M.; Edwards, R.; Lonza, L. JEC Well-To-Tank Report v5; Publications Office of the European Union: Luxembourg, 2020. [Google Scholar]
- Red Eléctrica de España Spanish Electrical System Report 2019. Available online: https://www.ree.es/es/datos/publicaciones/informe-anual-sistema/informe-del-sistema-electrico-espanol-2019 (accessed on 29 June 2021).
- Ministerio para la Transición Ecológica y el Reto Demográfico. Informe de inventario nacional de Gases de Efecto Invernadero. Comunicación a la Comisión Europea del Reglamenteo (UE) no525/2013. Comunicación al Secretariado de la Convención Marco de las Naciones Unidas sobre el Cambio Climático. Edición 2021 (1990–2019); Ministerio para la Transición Ecológica y el Reto Demográfico: Madrid, Spain, 2021.
- González, M.C.; Hidalgo, C.A.; Barabási, A.L. Understanding individual human mobility patterns. Nature 2008, 453, 779–782. [Google Scholar] [CrossRef]
- Ministerio de Industria, E.y.T.; Ministerio de Fomento. Factores de Emisión de CO2 y Coeficientes de Paso a Energía Primaria de Diferentes Fuentes de Energía Final Consumidas en el Sector de Edificios en España; Ministerio de Industria, E.y.T: Madrid, Spain, 2016.
- OTLE. 2017 Annual Report; Ministerio de Fomento: Madrid, Spain, 2018.
- IDAE. Labelling schemes for New Buildings (Translated from Spanish Original); IDAE: Madrid, Spain, 2009. [Google Scholar]
- IDAE. Project Sech-Spahousec, Analysis of the Energetic Consumption of the Residential Sector in Spain (Proyecto Sech-Spahousec, Análisis del Consumo Energético del Sector Residencial en España); IDAE: Madrid, Spain, 2016. [Google Scholar]
- Howarth, R.W. A bridge to nowhere: Methane emissions and the greenhouse gas footprint of natural gas. Energy Sci. Eng. 2014, 2, 47–60. [Google Scholar] [CrossRef]
- World Energy Balances—Data Product—IEA. Available online: https://www.iea.org/data-and-statistics/data-product/world-energy-balances (accessed on 21 July 2021).
- Manzanera-Benito, G. Evaluación del Sistema Movilidad-Territorio en el Área Funcional de Valladolid; Universidad de Valladolid: Valladolid, Spain, 2019. [Google Scholar]
- Lomas, P.L.; Carpintero, Ó. Metabolismo y huella ecológica de la alimentación: El caso de Valladolid; Universidad de Valladolid: Valladolid, Spain, 2017. [Google Scholar]
- Chitnis, M.; Sorrell, S.; Druckman, A.; Firth, S.K.; Jackson, T. Who rebounds most? Estimating direct and indirect rebound effects for different UK socioeconomic groups. Ecol. Econ. 2014, 106, 12–32. [Google Scholar] [CrossRef] [Green Version]
- Ministerio para la Transición Ecológica y el Reto Demográfico. Actualización de Indicadores de la Estrategia Nacional Contra la Pobreza Energética. Noviembre 2020; Ministerio para la Transición Ecológica y el Reto Demográfico: Madrid, Spain, 2020.
- De las Rivas Sanz, J.L.; Fernández-Maroto, M. Strategy for Energy Transition in the Cities of Castile and Leon. Base Document; de Castilla y León, J., Universidad de Valladolid. Instituto Universitario de Urbanística, Eds.; Universidad de Valladolid: Valladolid, Spain, 2021. [Google Scholar]
- Ayuntamiento de Valladolid PGOU 2020. Available online: https://www.valladolid.es/es/temas/hacemos/aprobacion-definitiva-pgou-2020 (accessed on 30 June 2021).
- Prol, J.L.; Sungmin, O. Impact of COVID-19 Measures on Short-Term Electricity Consumption in the Most Affected EU Countries and USA States. iScience 2020, 23, 101639. [Google Scholar] [CrossRef]
- Gualtieri, G.; Brilli, L.; Carotenuto, F.; Vagnoli, C.; Zaldei, A.; Gioli, B. Quantifying road traffic impact on air quality in urban areas: A Covid19-induced lockdown analysis in Italy. Environ. Pollut. 2020, 267, 115682. [Google Scholar] [CrossRef]
- Jacobsen, N.B. Industrial symbiosis in Kalundborg, Denmark: A quantitative assessment of economic and environmental aspects. J. Ind. Ecol. 2006, 10, 239–255. [Google Scholar] [CrossRef]
- Neves, A.; Godina, R.; Azevedo, S.G.; Matias, J.C.O. A comprehensive review of industrial symbiosis. J. Clean. Prod. 2020, 247, 119113. [Google Scholar] [CrossRef]
- Mastini, R.; Kallis, G.; Hickel, J. A Green New Deal without growth? Ecol. Econ. 2021, 179, 106832. [Google Scholar] [CrossRef]
- Grubler, A.; Wilson, C.; Bento, N.; Boza-Kiss, B.; Krey, V.; McCollum, D.L.; Rao, N.D.; Riahi, K.; Rogelj, J.; De Stercke, S.; et al. A low energy demand scenario for meeting the 1.5 °C target and sustainable development goals without negative emission technologies. Nat. Energy 2018, 3, 515–527. [Google Scholar] [CrossRef]
- Millward-Hopkins, J.; Steinberger, J.K.; Rao, N.D.; Oswald, Y. Providing decent living with minimum energy: A global scenario. Glob. Environ. Chang. 2020, 65, 102168. [Google Scholar] [CrossRef]
- Arto, I.; Capellán-Pérez, I.; Lago, R.; Bueno, G.; Bermejo, R. The energy requirements of a developed world. Energy Sustain. Dev. 2016, 33, 1–13. [Google Scholar] [CrossRef] [Green Version]
- Junta de Castilla y León Statistics on External Trade and Intra-EU Trade 2014–2019. Available online: https://estadistica.jcyl.es/web/jcyl/Estadistica/es/Plantilla100Detalle/1284785305778/Publicacion/1285022602339/Redaccion (accessed on 30 July 2021).
- Muñuzuri, J.; Cortés, P.; Onieva, L.; Guadix, J. Modelling peak-hour urban freight movements with limited data availability. Comput. Ind. Eng. 2010, 59, 34–44. [Google Scholar] [CrossRef]
- Muñuzuri, J.; Grosso, R.; Escudero, A.; Cortés, P. Distribución de mercancías y desarrollo urbano sostenible. Rev. Transp. Territ. 2017, 17, 34–58. [Google Scholar]
- Barbosa, H.; Barthelemy, M.; Ghoshal, G.; James, C.R.; Lenormand, M.; Louail, T.; Menezes, R.; Ramasco, J.J.; Simini, F.; Tomasini, M. Human mobility: Models and applications. Phys. Rep. 2018, 734, 1–74. [Google Scholar] [CrossRef] [Green Version]












| Sector | Final Energy Consumption | Energy Production | Temporal Range | Territorial Level | Source | Observations |
|---|---|---|---|---|---|---|
| All | Electricity | - | 2010–2016 | NUTS3 | [48] | Sectorial breakdown until 2016, total data until 2019 |
| All | LPG | - | 2010–2016 | NUTS3 | [48] | Sectorial breakdown until 2016, total data until 2019 |
| All | Natural Gas | - | 2010–2016 | NUTS3 | [48] | Sectorial breakdown until 2016, total data until 2019 |
| Transport, Agriculture | Oil products | - | 2010–2019 | NUTS3 | [49] | We assume that each type of oil product is for one use (Gasoline and Diesel oil—type A for transport, Diesel oil—type B for agricultural uses and Diesel oil—type C for heating buildings) |
| All | All | - | 2010–2019 | City | [50] | Just for even years. Exclude big industries. Underestimate electrical consumption. |
| Public sector | All | - | 2010–2019 | City | [50,51] | Regional administration offer detailed data since 2017 |
| University | All | - | 2010–2019 | City | Directly provided by Universidad de Valladolid | |
| CHP plant (Energyworks vitvall) | Natural gas | All | 2010–2019 | City | [52,53] | |
| CHP plant (sewage) | - | All | 2018–2019 | City | [54] | |
| CHP plant (waste treatment) | - | All | 2015–2018 | City | [55] | |
| Photovoltaic solar plants | - | Electricity | 2010–2019 | City | [56] | |
| Buildings surface | None | - | 2010–2019 | City | [41] | Surface of residential buildings for each year |
| Urban mobility | None | - | 2015 | City | [57] | |
| Interurban mobility | None | - | 2017 | NUTS1 | [58] |
| Energy Product | Sectorial End-Use | Estimation Method | Downscaling Factor | Observations |
|---|---|---|---|---|
| Biomass | Agriculture | Direct source | - | |
| Commerce and public services | Direct source | - | ||
| Household | Direct source | - | ||
| Industries | Direct source | - | ||
| Transport | Downscaling | % city’s population over provincial | The percent of biofuel provided by the distributor is applied [49] | |
| Electricity | Agriculture | Downscaling | % agricultural surface over provincial | |
| Commerce and public services | Downscaling | % city’s services employment over provincial | ||
| Household | Downscaling | % city’s population over provincial | ||
| Industries | Downscaling | % city’s industrial employment over provincial | ||
| Transport | - | - | ||
| Natural gas | Agriculture | - | - | |
| Commerce and public services | Downscaling | % city’s services employment over provincial | ||
| Household | Downscaling | % city’s population over provincial | ||
| Industries | Downscaling | % city’s industrial employment over provincial | We assume that the highest pressure and consumption installations are the industrial. | |
| Transport | - | - | ||
| Oil Products | Agriculture | Downscaling | % agricultural surface over provincial | |
| Commerce and public services | Direct source | - | The oil products consumption in this sector is a small fraction of heating oil reported by [50]. | |
| Household | Downscaling | % city’s population over provincial | The LPG consumption is weighed by a factor of 0.5 due to the lack of isolated buildings in city. | |
| Industries | Direct source | - | The oil products consumption in this sector is a small fraction of heating oil reported by [50]. | |
| Transport | Downscaling | % city’s population over provincial | The LPG consumption is added, mainly due to the urban public transport [50]. |
| Data | Units | Source | 2010 | 2011 | 2012 | 2013 | 2014 | 2015 | 2016 | 2017 | 2018 | 2019 |
|---|---|---|---|---|---|---|---|---|---|---|---|---|
| City population | People | [43] | 315,522 | 313,437 | 311,501 | 309,714 | 306,830 | 303,905 | 301,876 | 299,715 | 298,866 | 298,412 |
| % city’s population over provincial | % | 59.13% | 58.60% | 58.30% | 58.19% | 57.98% | 57.74% | 57.65% | 57.51% | 57.49% | 57.44% | |
| City employment | People | [47] | 118,100 | 116,938 | 114,503 | 112,177 | 114,390 | 118,161 | 120,199 | 124,135 | 128,274 | 130,842 |
| City industrial employment | People | 17,638 | 17,825 | 17,079 | 16,569 | 16,854 | 17,991 | 19,204 | 19,586 | 19,768 | 20,363 | |
| % city’s industrial employment over provincial | % | 62.25% | 62.61% | 62.85% | 62.80% | 62.67% | 62.75% | 63.46% | 63.06% | 62.68% | 62.57% | |
| City services employment | People | 91,382 | 91,281 | 91,052 | 90,293 | 92,119 | 94,690 | 95,541 | 98,794 | 102,289 | 104,099 | |
| % city’s services employment over provincial | % | 78.07% | 77.95% | 77.41% | 77.55% | 78.20% | 78.24% | 77.62% | 77.37% | 77.25% | 77.05% | |
| % agricultural surface over provincial | % | [43] | 1.70% | 1.70% | 1.70% | 1.70% | 1.70% | 1.70% | 1.70% | 1.70% | 1.70% | 1.70% |
| Energy Product | Primary Energy Product | Conversion Coefficient [MWh p/MWh f] |
|---|---|---|
| Gasoline | Crude oil | 1.24 |
| Diesel A | Crude oil | 1.26 |
| Diesel B | Crude oil | 1.26 |
| Biofuel | Liquid biofuel | 2.11 |
| Liquid gas | Crude oil | 1.12 |
| Biomass | Solid biomass | 1.36 |
| Heating Oil | Crude oil | 1.26 |
| Natural gas | Natural gas | 1.15 |
| Electricity | Hydropower | 1.07 |
| Electricity | Nuclear fuel | 3.9 |
| Electricity | Hard coal | 2.69 |
| Electricity | Crude oil | 2.76 |
| Electricity | Natural gas | 2.15 |
| Electricity | Electricity from other renewable | 1.07 |
| Data | Year Production [pass-km] | Num of Passengers [pass-km/veh-km] | Fuel Consumption [l/veh-km] | Fuel Density [kg/l] | Fuel Energy Intensity [MWh/ton] | Transport Energy Intensity [MWh/veh-km] | Mobility Energy Consumption [MWh] |
|---|---|---|---|---|---|---|---|
| Source | Own estimation | [68] | Own estimation | ||||
| Pedestrian | 157,416,492 | 1.00 | 0.00 | - | - | - | - |
| Other | 28,857,311 | 1.00 | 0.00 | - | - | - | - |
| Private vehicle | 189,573,302 | 1.50 | 0.10 | 0.75 | 12.31 | 0.00 | 116,174 |
| Public transport | 93,433,879 | 7.50 | 0.50 | 0.83 | 11.94 | 0.00 | 61,902 |
| Total | 283,007,181 | - | - | - | - | - | 178,076 |
| Data | Transport Energy Intensity [MWh/veh-km] | Annual Production [pass-km] | Mobility Energy Consumption [MWh] | Mobility Energy Consumption in City [MWh] |
|---|---|---|---|---|
| Source | [69] | [58] and own estimation | Own estimation | Own estimation |
| Train | 0.000108 | 87,869,500 | 9446 | 0.00 |
| Plane | 0.000092 | 35,918,430 | 3304 | 0.00 |
| Road | 0.000323 | 838,729,485 | 270,723 | 270,723 |
| Energy Product | Sectorial End-Use | 2010 | 2015 | 2019 |
|---|---|---|---|---|
| Biofuels | TOTAL | 12,891 | 94,282 | 175,973 |
| Agriculture | 0.00 | 0.00 | 0.00 | |
| Commerce and public services | 127 | 45,157 | 101,284 | |
| Household | 0.00 | 7079 | 14,210 | |
| Industries | 0.00 | 34,252 | 48,130 | |
| Transport | 12,764 | 7796 | 12,350 | |
| Electricity | TOTAL | 1,544,597 | 1,523,979 | 1,541,933 |
| Agriculture | 2064 | 2513 | 2223 | |
| Commerce and public services | 580,773 | 458,449 | 442,615 | |
| Household | 498,532 | 390,337 | 358,939 | |
| Industries | 463,228 | 672,680 | 738,156 | |
| Transport | 0.00 | 0.00 | 0.00 | |
| Natural gas | TOTAL | 3,044,486 | 2,462,696 | 2,863,457 |
| Agriculture | 2878 | 435 | 334 | |
| Commerce and public services | 584,637 | 624,929 | 667,708 | |
| Household | 1,012,235 | 540,073 | 656,907 | |
| Industries | 1,444,735 | 1,297,260 | 1,538,508 | |
| Transport | 0.00 | 0.00 | 0.00 | |
| Oil Products | TOTAL | 2,953,137 | 2,371,336 | 2,592,332 |
| Agriculture | 22,032 | 17,841 | 18,229 | |
| Commerce and public services | 8539 | 12,367 | 17,971 | |
| Household | 245,676 | 219,462 | 157,350 | |
| Industries | 3165 | 3405 | 10,643 | |
| Transport | 2,673,724 | 2,118,261 | 2,388,139 | |
| TOTAL | TOTAL | 7,555,110 | 6,452,295 | 7,173,695 |
Publisher’s Note: MDPI stays neutral with regard to jurisdictional claims in published maps and institutional affiliations. |
© 2021 by the authors. Licensee MDPI, Basel, Switzerland. This article is an open access article distributed under the terms and conditions of the Creative Commons Attribution (CC BY) license (https://creativecommons.org/licenses/by/4.0/).
Share and Cite
Manzanera-Benito, G.; Capellán-Pérez, I. Mapping the Energy Flows and GHG Emissions of a Medium-Size City: The Case of Valladolid (Spain). Sustainability 2021, 13, 13181. https://doi.org/10.3390/su132313181
Manzanera-Benito G, Capellán-Pérez I. Mapping the Energy Flows and GHG Emissions of a Medium-Size City: The Case of Valladolid (Spain). Sustainability. 2021; 13(23):13181. https://doi.org/10.3390/su132313181
Chicago/Turabian StyleManzanera-Benito, Gaspar, and Iñigo Capellán-Pérez. 2021. "Mapping the Energy Flows and GHG Emissions of a Medium-Size City: The Case of Valladolid (Spain)" Sustainability 13, no. 23: 13181. https://doi.org/10.3390/su132313181
APA StyleManzanera-Benito, G., & Capellán-Pérez, I. (2021). Mapping the Energy Flows and GHG Emissions of a Medium-Size City: The Case of Valladolid (Spain). Sustainability, 13(23), 13181. https://doi.org/10.3390/su132313181

