Mapping the Environmental Cost of a Typical Citrus-Producing County in China: Hotspot and Optimization
Abstract
1. Introduction
2. Materials and Methods
2.1. Studied Region
2.2. Data Collection and Processing
2.2.1. Data Collection
2.2.2. Life Cycle Assessment
Goal, Scope Definition and Inventory Analysis
Impact Assessment
Result Interpretation
2.2.3. Farmer Grouping by Yield and Nitrogen Fertilizer Use Efficiency
2.3. Experimental Design and Management
2.4. Data Analysis and Statistics
3. Results
3.1. The Input, Output and Environmental Impacts of Citrus Production System in Danling County
3.2. Potential of Emission Reduction Based on Grouping of Farmers Practice
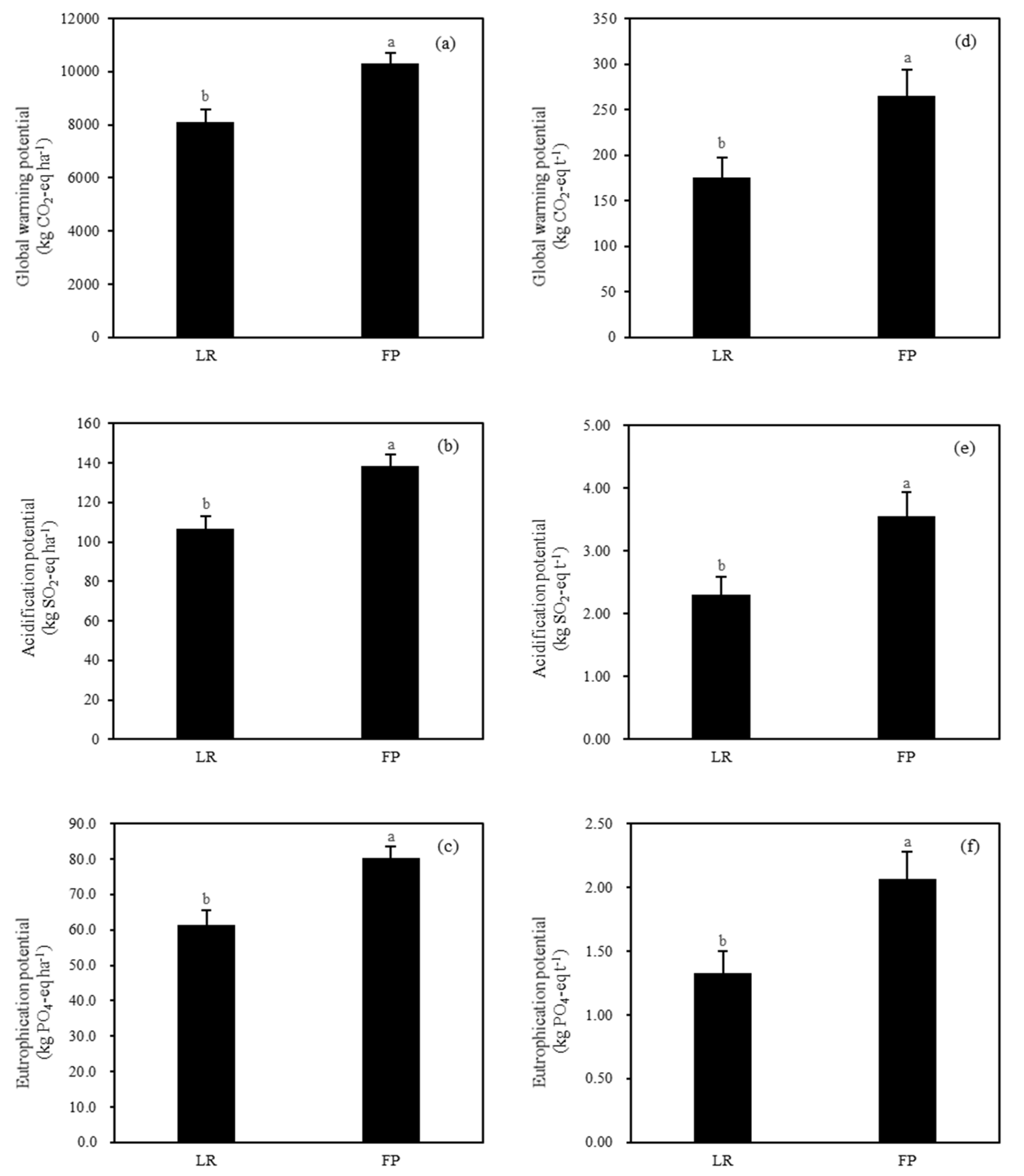
3.3. The Environmental Impacts of the Citrus Production with Local Recommendation of Fertilization
4. Discussion
4.1. A High Environmental Risk Existed in Citrus Production System in Danling County
4.2. Great Potential of Reducing Environmental Impact by Learning from Good Farmers
4.3. Further Potential to Reduce Environmental Impact by Local Recommendation of Fertilization
4.4. The Last Mile to Realize the Sustainable Citrus Production in China’s County Level
5. Conclusions
Supplementary Materials
Author Contributions
Funding
Acknowledgments
Conflicts of Interest
References
- Food and Agriculture Organization of the United Nations. FAO Statistical Yearbook 2013; World Food and Agriculture; Food and Agriculture Organization of the United Nations: Rome, Italy, 2017. [Google Scholar]
- Shen, Z.M. Industry status and demonstration leading role of top 30 citrus counties in China. Fruit Grow. Friend 2019, 3, 1–4. [Google Scholar]
- China Agriculture Statistical Report 2018. Available online: http://www.stats.gov.cn/tjsj/ndsj/2019/indexch.htm (accessed on 20 December 2019).
- Li, Y.J.; Yang, M.; Zhang, Z.Z.; Li, W.L.; Guo, C.Y.; Chen, X.P.; Shi, X.J.; Zhou, P.; Tang, X.D.; Zhang, Y.Q. An Ecological Research on Potential for Zero-growth of Chemical Fertilizer Use in Citrus Production in China. Ekoloji 2019, 28, 1049–1059. [Google Scholar]
- Lei, J.; Liang, S.S.; Tan, Q.L.; Hu, C.X.; Sun, X.C.; Zhao, X.H. NPK fertilization rates and reducing potential in the main citrus producing regions of China. J. Plant Nutr. Fertil. 2019, 25, 1504–1513. [Google Scholar]
- Mattos, J.D.; Quaggio, J.A.; Cantarella, H. Nutrient management for high citrus fruit yield in tropical soils. Better Crop. Plant Food 2012, 96, 4–7. [Google Scholar]
- Obreza, T.A.; Morgan, K.T. Nutrition of Florida Citrus Trees, 2nd ed.; University of Florida: Gainesville, FL, USA, 2008. [Google Scholar]
- Tilman, D.; Cassman, K.G.; Matson, P.A.; Naylor, R.; Polasky, S. Agricultural sustainability and intensive production practices. Nature 2002, 418, 671–677. [Google Scholar] [CrossRef] [PubMed]
- Guo, J.H.; Liu, X.J.; Zhang, Y.; Shen, J.L.; Han, W.X.; Zhang, W.F.; Christie, P.; Goulding, K.W.T.; Vitousek, P.M.; Zhang, F.S. Significant acidification in major Chinese croplands. Science 2010, 327, 1008–1010. [Google Scholar] [CrossRef] [PubMed]
- Huang, J.; Xu, C.C.; Ridoutt, B.G.; Wang, X.C.; Ren, P.A. Nitrogen and phosphorus losses and eutrophication potential associated with fertilizer application to cropland in China. J. Clean. Prod. 2017, 159, 171–179. [Google Scholar] [CrossRef]
- Li, B.; Fan, C.H.; Zhang, H.; Chen, Z.Z.; Sun, L.Y.; Xiong, Z.Q. Combined effects of nitrogen fertilization and biochar on the net global warming potential, greenhouse gas intensity and net ecosystem economic budget in intensive vegetable agriculture in southeastern China. Atmos. Environ. 2015, 100, 10–19. [Google Scholar] [CrossRef]
- Lv, Y.H.; Zhang, C.; Ma, J.N.; Yun, W.J.; Gao, L.L.; Li, P.S. Sustainability assessment of smallholder farmland systems: Healthy farmland system assessment framework. Sustainability 2019, 11, 4525. [Google Scholar] [CrossRef]
- Youssef, A.M.; Abu Abdullah, M.M.; Pradhan, B.; Gaber, A.F.D. Agriculture sprawl assessment using multi-temporal remote sensing images and its environmental impact; Al-Jouf, KSA. Sustainability 2019, 11, 4177. [Google Scholar] [CrossRef]
- Van Cauwenbergh, N.; Biala, K.; Bielders, C.; Brouckaert, V.; Franchois, L.; Cidad, V.G.; Hermy, M.; Mathijs, E.; Muys, B.; Reijnders, J.; et al. SAFE—A hierarchical framework for assessing the sustainability of agricultural systems. Agric. Ecosyst. Environ. 2007, 120, 229–242. [Google Scholar] [CrossRef]
- Fan, W.G.; Zhang, P.; Xu, Z.H.; Wei, H.J.; Lu, N.C.; Wang, X.C.; Weng, B.Q.; Chen, Z.D.; Wu, F.L.; Dong, X.B. Life cycle environmental impact assessment of circular agriculture: A case study in Fuqing, China. Sustainability 2018, 10, 1810. [Google Scholar] [CrossRef]
- Haas, G.; Wetterich, F.; Geier, U. Life Cycle Assessment Framework in Agriculture on the Farm Level. Int. J. Life Cycle Assess. 2000, 5, 345–348. [Google Scholar] [CrossRef]
- Guinee, J.B.; Heijungs, R.; Huppes, G.; Zamagni, A.; Masoni, P.; Buonamici, R.; Ekvall, T.; Rydberg, T. Life Cycle Assessment: Past, Present, and Futures. Environ. Sci. Technol. 2011, 45, 90–96. [Google Scholar] [CrossRef]
- Cerutti, A.K.; Beccaro, G.L.; Bruun, S.; Bosco, S.; Donno, D.; Notarnicola, B.; Bounous, G. Life cycle assessment application in the fruit sector: State of the art and recommendations for environmental declarations of fruit products. J. Clean. Prod. 2014, 73, 125–135. [Google Scholar] [CrossRef]
- Bessou, C.; Basset-Mens, C.; Latunussa, C.; Velu, A.; Heitz, H.; Vanniere, H.; Caliman, J.P. Partial modelling of the perennial crop cycle misleads LCA results in two contrasted case studies. Int. J. Life Cycle Assess. 2016, 21, 297–310. [Google Scholar] [CrossRef]
- Sanjuan, N.; Ubeda, L.; Clemente, G.; Mulet, A.; Girona, F. LCA of integrated orange production in the Comunidad Valenciana (Spain). Int. J. Agric. Resour. Gov. Ecol. 2005, 4, 163–177. [Google Scholar] [CrossRef]
- Alishah, A.; Motevali, A.; Tabatabaeekoloor, R.; Hashemi, S.J. Multiyear life energy and life cycle assessment of orange production in Iran. Environ. Sci. Pollut. Res. 2019, 26, 32432–32445. [Google Scholar] [CrossRef]
- Yan, M.; Cheng, K.; Yue, Q.; Yan, Y.; Rees, R.M.; Pan, G.X. Farm and product carbon footprints of China’s fruit production-life cycle inventory of representative orchards of five major fruits. Environ. Sci. Pollut. Res. 2016, 23, 4681–4691. [Google Scholar] [CrossRef]
- Nicolo, B.F.; De Salvo, M.C.; Ramirez-Sanz, C.; Estruch, V.; Sanjuan, N.; Falcone, G.; Strano, A. Life cycle assessment applied to different citrus farming systems in Spain and Italy. Agroecol. Sustain. Food Syst. 2018, 42, 1092–1105. [Google Scholar] [CrossRef]
- Ribal, J.; Ramirez-Sanz, C.; Estruch, V.; Clemente, G.; Sanjuan, N. Organic versus conventional citrus. Impact assessment and variability analysis in the Comunitat Valenciana (Spain). Int. J. Life Cycle Assess. 2017, 22, 571–586. [Google Scholar] [CrossRef]
- Chen, X.P.; Cui, Z.L.; Fan, M.S.; Vitousek, P.; Zhao, M.; Ma, W.Q.; Wang, Z.L.; Zhang, W.J.; Yan, X.Y.; Yang, J.C.; et al. Producing more grain with lower environmental costs. Nature 2014, 514, 486–489. [Google Scholar] [CrossRef] [PubMed]
- Wang, X.Z.; Zou, C.Q.; Zhang, Y.Q.; Shi, X.J.; Liu, J.Z.; Fan, S.S.; Liu, Y.M.; Du, Y.F.; Zhao, Q.Y.; Tan, Y.G.; et al. Environmental impacts of pepper (Capsicum annuum L.) production affected by nutrient management: A case study in southwest China. J. Clean. Prod. 2018, 171, 934–943. [Google Scholar] [CrossRef]
- Guo, C.Y.; Wang, X.Z.; Li, Y.J.; He, X.H.; Zhang, W.S.; Wang, J.; Shi, X.J.; Chen, X.P.; Zhang, Y.Q. Carbon footprint analyses and potential carbon emission reduction in China’s major peach orchards. Sustainability 2018, 10, 2908. [Google Scholar] [CrossRef]
- Ye, Y.L.; Wang, G.L.; Huang, Y.F.; Zhu, Y.J.; Meng, Q.F.; Chen, X.P.; Zhang, F.S.; Cui, Z.L. Understanding physiological processes associated with yield-trait relationships in modern wheat varieties. Field Crop. Res. 2011, 124, 316–322. [Google Scholar] [CrossRef]
- Masuda, K. Eco-efficiency assessment of intensive rice production in japan: Joint application of life cycle assessment and data envelopment analysis. Sustainability 2019, 11, 5368. [Google Scholar] [CrossRef]
- International Organization for Standardization (ISO). Environmental Management-Life Cycle Assessment-Principles and Framework; ISO 14040: 2006; Quality Press: Milwaukee, WI, USA, 2014. [Google Scholar]
- International Organization for Standardization (ISO). Environmental Management-Life Cycle Assessment-Requirements and Guidelines; ISO 14044: 2006; Quality Press: Milwaukee, WI, USA, 2014. [Google Scholar]
- Cui, Z.L.; Wang, G.L.; Yue, S.C.; Wu, L.; Zhang, W.F.; Zhang, F.S.; Chen, X.P. Closing the N-Use Efficiency Gap to Achieve Food and Environmental Security. Environ. Sci. Technol. 2014, 48, 5780–5787. [Google Scholar] [CrossRef]
- Holka, M.; Jankowiak, J.; Bienkowski, J.F.; Dabrowicz, R. Life cycle assessment (LCA) of winter wheat in an intensive crop production system in Wielkopolska region (Poland). Appl. Ecol. Environ. Res. 2016, 14, 535–545. [Google Scholar] [CrossRef]
- Yan, M.; Cheng, K.; Luo, T.; Yan, Y.; Pan, G.X.; Rees, R.M. Carbon footprint of grain crop production in China—Based on farm survey data. J. Clean. Prod. 2015, 104, 130–138. [Google Scholar] [CrossRef]
- Romero-Gamez, M.; Audsley, E.; Suarez-Rey, E.M. Life cycle assessment of cultivating lettuce and escarole in Spain. J. Clean. Prod. 2014, 73, 193–203. [Google Scholar] [CrossRef]
- Beltran-Esteve, M.; Reig-Martinez, E.; Estruch-Guitart, V. Assessing eco-efficiency: A metafrontier directional distance function approach using life cycle analysis. Environ. Impact Assess. Rev. 2017, 63, 116–127. [Google Scholar] [CrossRef]
- Cai, Y.J.; Qiao, Y.H.; Xu, J.; Meng, F.Q.; Wu, W.L. Environmental impact assessment via life cycle analysis for organic and conventional apple productions. Chin. J. Eco-Agric. 2017, 25, 1527–1534. [Google Scholar]
- Zhao, P.F.; Cao, G.X.; Zhao, Y.; Zhang, H.Y.; Chen, X.P.; Li, X.L.; Cui, Z.L. Training and organization programs increases maize yield and nitrogen-use efficiency in smallholder agriculture in China. Agron. J. 2016, 108, 1944–1950. [Google Scholar] [CrossRef]
- Cui, Z.L.; Zhang, H.Y.; Chen, X.P.; Zhang, C.C.; Ma, W.Q.; Huang, C.D.; Zhang, W.F.; Mi, G.H.; Miao, Y.X.; Li, X.L.; et al. Pursuing sustainable productivity with millions of smallholder farmers. Nature 2018, 555, 363–366. [Google Scholar] [CrossRef] [PubMed]
- Mueller, N.D.; Gerber, J.S.; Johnston, M.; Ray, D.K.; Ramankutty, N.; Foley, J.A. Closing yield gaps through nutrient and water management. Nature 2012, 490, 254–257. [Google Scholar] [CrossRef]
- Xu, X.P.; He, P.; Pampolino, M.F.; Johnston, A.M.; Qiu, S.J.; Zhao, S.C.; Chuan, L.M.; Zhou, W. Fertilizer recommendation for maize in China based on yield response and agronomic efficiency. Field Crop. Res. 2014, 157, 27–34. [Google Scholar] [CrossRef]
- Qin, W.; Assinck, F.B.T.; Heinen, M.; Oenema, O. Water and nitrogen use efficiencies in citrus production: A meta-analysis. Agric. Ecosyst. Environ. 2016, 222, 103–111. [Google Scholar] [CrossRef]
- Liu, Y.; Ruiz-Menjivar, J.; Zhang, L.; Zhang, J.B.; Swisher, M.E. Technical training and rice farmers’ adoption of low-carbon management practices: The case of soil testing and formulated fertilization technologies in Hubei, China. J. Clean. Prod. 2019, 226, 454–462. [Google Scholar] [CrossRef]
- Oliver, D.M.; Zheng, Y.; Naylor, L.A.; Murtagh, M.; Waldron, S.; Peng, T. How does smallholder farming practice and environmental awareness vary across village communities in the karst terrain of southwest China? Agric. Ecosyst. Environ. 2020, 288, 106715. [Google Scholar] [CrossRef]
- Zhang, W.F.; Cao, G.X.; Li, X.L.; Zhang, H.Y.; Wang, C.; Liu, Q.Q.; Chen, X.P.; Cui, Z.L.; Shen, J.B.; Jiang, R.F.; et al. Closing yield gaps in China by empowering smallholder farmers. Nature 2016, 537, 671–674. [Google Scholar] [CrossRef]










| Item | Unit | Global Warming (kg CO2-eq Unit−1) | Acidification (kg SO2-eq Unit−1) | Eutrophication (kg PO4-eq Unit−1) | Reference 1 |
|---|---|---|---|---|---|
| Nitrogen production and transportation | kg N | 8.28 | 0.0252 | 0.00303 | [S1,S2] |
| Phosphorus production and transportation | kg P2O5 | 0.79 | 0.0006 | 0.00008 | [S1,S2] |
| Potassium production and transportation | kg K2O | 0.55 | 0.00048 | 0.00006 | [S1,S2] |
| Pesticides | kg | 19.1 | 0.0105 | 0.00194 | [S3,S4] |
| Diesel | L | 3.75 | 0.0658 | 0.0119 | [S4,S5] |
| Electricity | KW h | 0.75 | 0.0145 | 0.00084 | [S2,S6] |
| Pollution Emission | Emission Factors | References 1 |
|---|---|---|
| NH3 emission | 11.1% of nitrogen (N) fertilizer input | [S7] |
| NO3 emission | 9.97% of N fertilizer input | [S8] |
| N2O emission | ||
| Direct N2O emission | 1.25% of N fertilizer input | [S9,S10] |
| Indirect N2O emission | 1% NH3 emission +2.5% NO3 emission | [S10,S11] |
| NOX emission | 10% of the N2O emission | [S10] |
| Phosphorus loss | 0.2% of total P2O5 fertilizer input | [S12,S13] |
| Item | Mean | Median | Range | Standard Error | |
| Max | Min | ||||
| Input | |||||
| Total fertilizer (kg ha−1) | |||||
| N | 847 | 802 | 2094 | 140 | 30.4 |
| P2O5 | 443 | 395 | 1400 | 84.6 | 17.9 |
| K2O | 693 | 643 | 1754 | 130 | 24.6 |
| Chemical fertilizer (kg ha−1) | |||||
| N | 598 | 603 | 1420 | 39.9 | 19.5 |
| P2O5 | 324 | 286 | 953 | 0.00 | 14.0 |
| K2O | 535 | 513 | 1237 | 0.00 | 18.7 |
| Organic fertilizer (kg ha−1) | |||||
| N | 249 | 169 | 1171 | 0.00 | 20.7 |
| P2O5 | 119 | 75 | 846 | 0.00 | 11.2 |
| K2O | 158 | 102 | 1171 | 0.00 | 14.8 |
| Pesticide (kg ha−1) | 21.2 | 17.8 | 96.6 | 0.43 | 1.36 |
| Electricity (kWh ha−1) | 79.1 | 57.0 | 327 | 5.42 | 5.48 |
| Diesel (L ha−1) | 28.9 | 18.8 | 169 | 0.00 | 2.45 |
| Output | |||||
| Yield (t ha−1) | 24.4 | 23.8 | 56.3 | 1.88 | 0.97 |
| PFP-N (kg kg−1) | 34.0 | 28.0 | 154 | 3.93 | 1.95 |
| Item | Mean | Median | Range | Standard Error | |
| Max | Min | ||||
| Per hectare of the citrus production | |||||
| Global warming potential (kg CO2-eq ha−1) | 11,665 | 11,785 | 26,987 | 2422 | 349 |
| Acidification potential (kg SO2-eq ha−1) | 184 | 176 | 445 | 32.6 | 6.26 |
| Eutrophication potential (kg PO4-eq ha−1) | 110 | 105 | 271 | 18.8 | 3.90 |
| Per ton of the citrus production | |||||
| Global warming potential (kg CO2-eq t−1) | 642 | 483 | 3629 | 90.9 | 41.2 |
| Acidification potential (kg SO2-eq t−1) | 9.97 | 7.85 | 55.0 | 1.38 | 0.64 |
| Eutrophication potential (kg PO4-eq t−1) | 5.97 | 4.67 | 33.1 | 0.84 | 0.38 |
| Item | Orchard Group 1 | |||
| LL | LH | HL | HH | |
| Input | ||||
| Total fertilizer (kg ha−1) | ||||
| N | 857 ± 45.6b2 | 456 ± 41.5c | 1247 ± 56.1a | 717 ± 37.1b |
| P2O5 | 442 ± 28.9b | 243 ± 31.0c | 592 ± 34.5a | 421 ± 29.6b |
| K2O | 707 ± 37.4b | 427 ± 46.1c | 923 ± 58.8a | 624 ± 35.1b |
| Chemical fertilizer (kg ha−1) | ||||
| N | 631 ± 31.3b | 385 ± 41.6c | 763 ± 31.4a | 526 ± 32.5b |
| P2O5 | 323 ± 21.1a | 203 ± 31.8b | 389 ± 30.6a | 327 ± 27.1a |
| K2O | 565 ± 30.6a | 381 ± 46.1b | 613 ± 38.7a | 502 ± 32.7a |
| Organic fertilizer (kg ha−1) | ||||
| N | 226 ± 25.7b | 70.5 ± 16.8c | 484 ± 64.0a | 191 ± 28.5b |
| P2O5 | 119 ± 16.7b | 39.9 ± 10.0c | 203 ± 26.6a | 94.4 ± 21.3bc |
| K2O | 142 ± 17.3b | 45.6 ± 12.3c | 310 ± 47.2a | 122 ± 23.4bc |
| Pesticide (kg ha−1) | 17.6 ± 1.84bc | 15.7 ± 3.72c | 26.7 ± 3.72a | 24.4 ± 2.49ab |
| Electricity (kWh ha−1) | 62.2 ± 7.91b | 70.9 ± 14.9ab | 99.0 ± 14.6a | 92.1 ± 9.76ab |
| Diesel (L ha−1) | 34.5 ± 4.71ab | 44.1 ± 7.36a | 20.0 ± 3.70b | 21.6 ± 3.24b |
| Output | ||||
| Yield (t ha−1) | 13.6 ± 0.71d | 18.9 ± 1.07c | 31.1 ± 1.19b | 37.1 ± 1.51a |
| PFP-N (kg kg−1) | 17.2 ± 0.93c | 46.6 ± 4.61b | 25.5 ± 0.83c | 58.0 ± 4.07a |
© 2020 by the authors. Licensee MDPI, Basel, Switzerland. This article is an open access article distributed under the terms and conditions of the Creative Commons Attribution (CC BY) license (http://creativecommons.org/licenses/by/4.0/).
Share and Cite
Yang, M.; Long, Q.; Li, W.; Wang, Z.; He, X.; Wang, J.; Wang, X.; Xiong, H.; Guo, C.; Zhang, G.; et al. Mapping the Environmental Cost of a Typical Citrus-Producing County in China: Hotspot and Optimization. Sustainability 2020, 12, 1827. https://doi.org/10.3390/su12051827
Yang M, Long Q, Li W, Wang Z, He X, Wang J, Wang X, Xiong H, Guo C, Zhang G, et al. Mapping the Environmental Cost of a Typical Citrus-Producing County in China: Hotspot and Optimization. Sustainability. 2020; 12(5):1827. https://doi.org/10.3390/su12051827
Chicago/Turabian StyleYang, Min, Quan Long, Wenli Li, Zhichao Wang, Xinhua He, Jie Wang, Xiaozhong Wang, Huaye Xiong, Chaoyi Guo, Guancheng Zhang, and et al. 2020. "Mapping the Environmental Cost of a Typical Citrus-Producing County in China: Hotspot and Optimization" Sustainability 12, no. 5: 1827. https://doi.org/10.3390/su12051827
APA StyleYang, M., Long, Q., Li, W., Wang, Z., He, X., Wang, J., Wang, X., Xiong, H., Guo, C., Zhang, G., Luo, B., Qiu, J., Chen, X., Zhang, F., Shi, X., & Zhang, Y. (2020). Mapping the Environmental Cost of a Typical Citrus-Producing County in China: Hotspot and Optimization. Sustainability, 12(5), 1827. https://doi.org/10.3390/su12051827

