Impact of artificially simulated precipitation patterns change on the growth and morphology of Reaumuria soongarica seedlings in Hexi Corridor of China
Abstract
1. Introduction
2. Materials and Methods
2.1. Study Area
2.2. Research Methods
2.2.1. Study Site and Experimental Design
2.2.2. Sampling Method
2.2.3. Calculating the Root/Height Ratio, Above-Ground Radial Density, and Below−Ground Radial Density Parameters
2.2.4. Data Analysis
3. Results
3.1. Impact of Precipitation Pattern Changes on Plant Height of R. Soongarica Seedlings
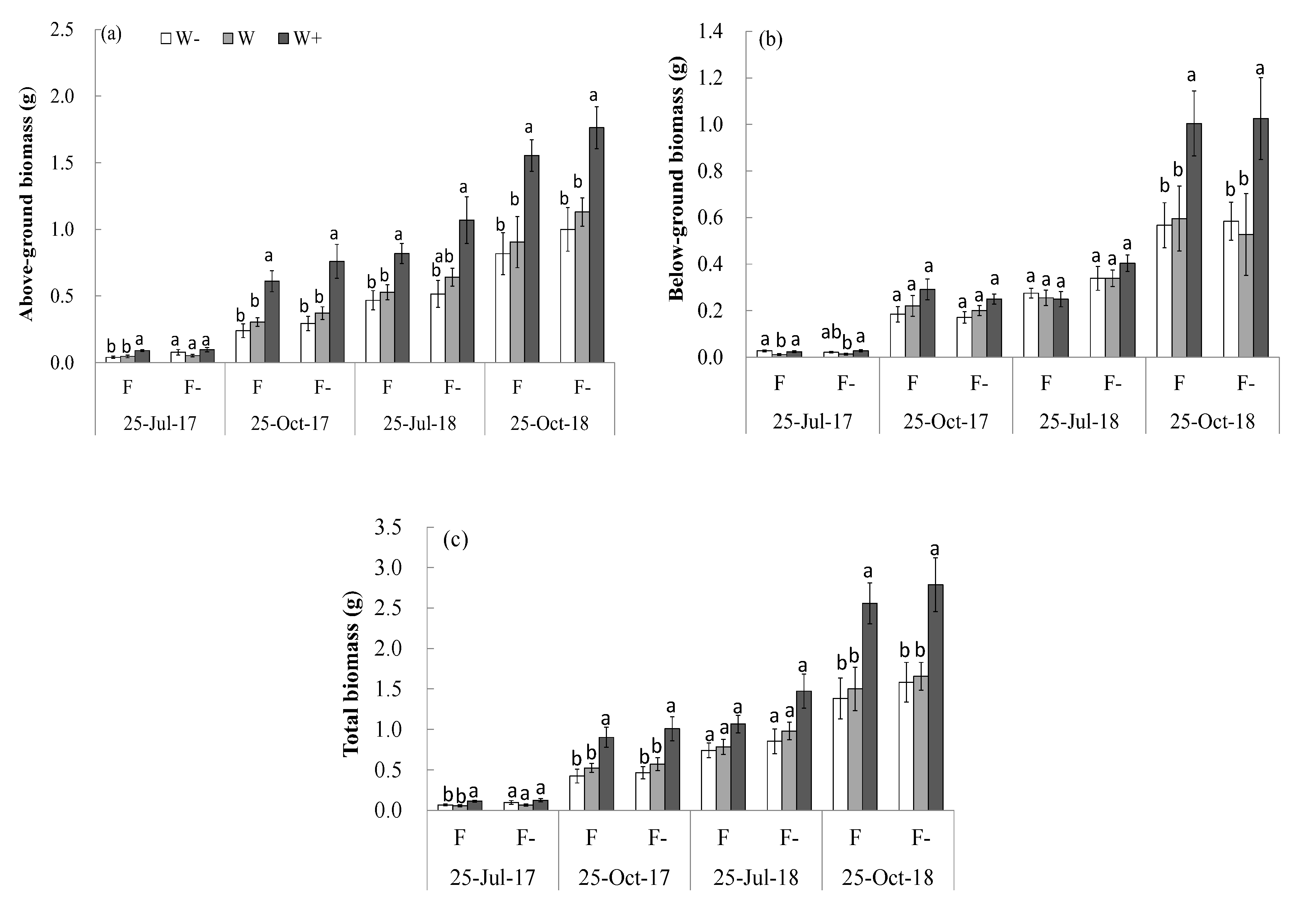
3.2. Impact of Precipitation Pattern Changes on Above-Ground and Below−Ground Biomass and Total Biomass Accumulation
3.3. Impact of Precipitation Pattern Changes on The Root/Shoot Ratio
3.4. Impact of Precipitation Pattern Changes on the Root/Height Ratio
3.5. Impact of Changes in Precipitation Patterns on Above-Ground Radial Density and Below−Ground Radial Density
3.6. Abstract Morphological Figure of The Impact of Different Precipitation Patterns on the Growth of R. Soongarica Seedlings
4. Discussion
4.1. Impact of Precipitation on the Growth of R. Soongarica Seedlings
4.2. Impact of Precipitation Frequency on the Growth of R. Soongarica Seedlings
4.3. Impact of the Interaction Between Precipitation Amount and Frequency on the Growth of R. Soongarica Seedlings
4.4. Abstract Morphological Figure of the Impacts of Different Precipitation Patterns on the Growth of R. Soongarica Seedlings
5. Conclusions
Author Contributions
Funding
Acknowledgments
Conflicts of Interest
References
- Qin, D.H. Climate change science and sustainable development. Prog. Geogr. 2014, 33, 874–883. (In Chinese) [Google Scholar]
- Westra, S.; Fowler, H.J.; Evans, J.P.; Alexander, L.V.; Berg, P.; Johnson, F.; Kendon, E.J.; Lenderink, G.; Roberts, N.M. Future changes to the intensity and frequency of short-duration extreme rainfall. Rev. Geophys. 2014, 52, 522–555. [Google Scholar] [CrossRef]
- Densmore-Mcculloch, J.A.; Thompson, D.L.; Fraser, L.H. Short-term effects of changing precipitation patterns on shrub-steppe grasslands: Seasonal watering is more important than frequency of watering events. PLoS ONE 2016, 11, e0168663. [Google Scholar] [CrossRef] [PubMed]
- Burke, E.J.; Brown, S.J.; Christidis, N. Modeling the Recent Evolution of Global Drought and Projections for the Twenty-First Century with the Hadley Centre Climate Model. J. Hydrometeorol. 2006, 7, 1113–1125. [Google Scholar] [CrossRef]
- Battisti, C.; Poeta, G.; Fanelli, G. An Introduction to Disturbance Ecology, 1st ed.; Springer Nature Switzerland AG: Zug, Switzerland, 2016; pp. 13–136. [Google Scholar]
- Zhang, L.M.; Liu, X.P.; Zhao, X.Y.; Zhang, T.H.; Yue, X.F.; Yun, J.Y. Response of sandy vegetation characteristics to precipitation change in Horqin sandy land. Acta Ecol. Sin. 2014, 34, 2737–2745. (In Chinese) [Google Scholar]
- He, J. Eco-Physiology Responses and Adaptive Strategies of Desert Species Nitraria tangutorum to Simulated Rain Addition. Ph.D. Dissertation, Chinese Academy of Forestry, Beijing, China, 2015. (In Chinese). [Google Scholar]
- Sun, B.; Qian, J.P.; Zhao, H.X. Response of biomass and root morphology of desert plants Corispermum candelabrum to precipitation change in northwest China. Ecol. Environ. Sci. 2018, 27, 1993–1999. (In Chinese) [Google Scholar]
- Gherardi, L.A.; Sala, O.E. Enhanced precipitation variability decreases grass- and increases shrub-productivity. Proc. Natl. Acad. Sci. USA 2015, 112, 12735–12740. [Google Scholar] [CrossRef]
- Sun, Y.; He, M.Z.; Wang, L. Effects of precipitation control on plant diversity and biomass in a desert region. Acta Ecol. Sin. 2018, 38, 2425–2433. (In Chinese) [Google Scholar]
- Gao, R.; Yang, X.; Liu, G.; Huang, Z.; Walck, J.L. Effects of rainfall pattern on the growth and fecundity of a dominant dune annual in a semi-arid ecosystem. Plant Soil 2014, 389, 335–347. [Google Scholar] [CrossRef]
- Zeppel, M.J.B.; Wilks, J.V.; Lewis, J.D. Impacts of extreme precipitation and seasonal changes in precipitation on plants. Biogeosciences 2014, 11, 3083–3093. [Google Scholar] [CrossRef]
- Schneider, A.C.; Lee, T.D.; Kreiser, M.A.; Nelson, G.T. Comparative and interactive effects of reduced precipitation frequency and volume on the growth and function of two perennial grassland species. Int. J. Plant Sci. 2014, 175, 702–712. [Google Scholar] [CrossRef]
- Gibson-Forty, E.V.J.; Barnett, K.L.; Tissue, D.T.; Power, S.A. Reducing rainfall amount has a greater negative effect on the productivity of grassland plant species than reducing rainfall frequency. Funct. Plant Biol. 2016, 43, 380–391. [Google Scholar] [CrossRef]
- Trenberth, K.E.; Dai, A.; Rasmussen, R.M. The changing character of precipitation. Bull. Am. Meteorol. Soc. 2003, 84, 1205–1218. [Google Scholar] [CrossRef]
- The American Heritage Dictionary. Available online: https://www.thefreedictionary.com/Seedlings (accessed on 1 March 2020).
- Fay, P.A.; Schultz, M.J. Germination, survival, and growth of grass and forb seedlings: Effects of soil moisture variability. Acta Oecologica 2009, 35, 679–684. [Google Scholar] [CrossRef]
- Duan, G.F.; Shan, L.S.; Li, Y.; Zhang, Z.Z.; Zhang, R. Effects of changing precipitation patterns on seedling growth of Reaumuria soongorica. Acta Ecol. Sin. 2016, 36, 6457–6464. (In Chinese) [Google Scholar]
- Zhang, Z.Z.; Shan, L.S.; Li, Y. Prolonged dry periods between rainfall events shorten the growth period of the resurrection plant Reaumuria soongorica. Ecol. Evol. 2018, 8, 920–927. [Google Scholar] [CrossRef]
- Shan, L.S.; Zhao, W.Z.; Li, Y.; Zhang, Z.Z.; Xie, T.T. Precipitation amount and frequency affect seedling emergence and growth of reaumuria soongarica in northwestern China. J. Arid Land 2018, 10, 574–587. [Google Scholar] [CrossRef]
- Liu, B.; Zhao, W.Z. Ecological Adaptability of Photosynthesis and Water Metabolism for Tamarix Ramosissima and Nitraria Sphaerocarpa in Desert-Oasis Ecotone. J. Desert Res. 2009, 29, 101–107. (In Chinese) [Google Scholar]
- Mandelbrot, B.B. The Fractal Geometry of Nature/Revised and Enlarged Edition; WH Freeman and Company: New York, NY, USA, 1982; p. 460. [Google Scholar]
- Lin, Q.D. Architectural Form-Finding Based on Fractal Theory. Ph.D. Dissertation, Tsinghua University, Beijing, China, 2014. (In Chinese). [Google Scholar]
- Wu, Y. Physiological Response of Desert Plants in the Southern Margin of Junggar Basin to Light Rainfall Events. Ph.D. Dissertation, Chinese Academy of Sciences University, Urumqi, China, 2014. (In Chinese). [Google Scholar]
- Yin, M.H.; Li, Y.N.; Zhou, C.M. Compensation effects of regulated deficit irrigation and tillering interference to winter wheat. J. Appl. Ecol. 2015, 26, 3011–3019. (In Chinese) [Google Scholar]
- Xiao, C.W.; Zhou, G.S.; Zhao, J.Z. Effect of different water conditions on growth and morphology of Artemisia ordosica Krasch. seedlings in Maowusu sandland. Acta Ecol. Sin. 2001, 21, 2136–2140. (In Chinese) [Google Scholar]
- Li, Q.L.; Zhao, W.Z. Responses of seedlings of five desert species to simulated precipitation change. J. Glaciol. Geocryol. 2006, 28, 414–420. (In Chinese) [Google Scholar]
- Zhou, H.; Zhao, W.Z.; He, Z.B. Water sources of Nitraria sibirica and response to precipitation in two desert habitats. Chin. J. Appl. Ecol. 2017, 28, 2083–2092. (In Chinese) [Google Scholar]
- Fay, P.A.; Carlisle, J.D.; Knapp, A.K.; Blair, J.M.; Collins, S.L. Productivity responses to altered rainfall patterns in a C4-dominated grassland. Oecologia 2003, 137, 245–251. [Google Scholar] [CrossRef] [PubMed]
- Deng, W.P. Water Use Mechanism of Typical Tree Species in Beijing Mountainous Areas. Ph.D. Dissertation, Beijing Forestry University, Beijing, China, 2015. (In Chinese). [Google Scholar]
- Zhang, R.; Shan, L.S.; Li, Y. Effect of change to simulated precipitation patterns on seedling growth of Nitraria tangutorum. Acta Prataculturae Sin. 2016, 25, 117–125. (In Chinese) [Google Scholar]
- Xu, G.W.; Wang, H.Z.; Zhai, Z.H.; Sun, M.; Li, Y.J. Effect of water and nitrogen coupling on root morphology and physiology, yield and nutritionutilization for rice. Trans. Chin. Soc. Agric. Eng. 2015, 31, 132–141. (In Chinese) [Google Scholar]
- Boot, R.G.A.; Mensink, M. Size and morphology of root systems of perennial grasses from contrasting habitats as affected by nitrogen supply. Plant Soil 1990, 129, 291–299. [Google Scholar] [CrossRef]
- Comas, L.H.; Becker, S.R.; Cruz, V.M.V.; Byrne, P.F.; Dierig, D.A. Root traits contributing to plant productivity under drought. Front. Plant Sci. 2013, 4, 442. [Google Scholar] [CrossRef]
- Guo, J.P.; Gao, S.H. Response of sandland plants growth to CO2 enrichment and soil drought. J. Soil Water Conserv. 2004, 18, 174–176. (In Chinese) [Google Scholar]
- Liang, Q. Response of Growth and Physiological Characteristics to Soil Depth Under Different Water Conditions on Lolium Perenne in Karst Region. Master’s Dissertation, Southwest University, Chongqing, China, 2016. (In Chinese). [Google Scholar]
- Kage, H.; Kochler, M.; Stützel, H. Root growth and dry matter partitioning of cauliflower under drought stress conditions: Measurement and simulation. Eur. J. Agron. 2004, 20, 379–394. [Google Scholar] [CrossRef]
- Xu, B.; Shan, L. A Study comparing water use efficiency and root/ shoot ratio of alfalfa and Astragalus adsurgens at seedling stage. Acta Agrestia Sin. 2003, 11, 78–82. (In Chinese) [Google Scholar]
- Chen, S.Y. Effect of Water Stress on the Growth and Quality of Alfalfa and Its Physiological Basis. Master’s Dissertation, Shandong Agricultural University, Taian, China, 2006. (In Chinese). [Google Scholar]
- Ma, Z.; Guo, D.; Xu, X.; Lu, M.; Bardgett, R.D. Evolutionary history resolves global organization of root functional traits. Nature 2018, 555, 94–97. [Google Scholar] [CrossRef] [PubMed]










| Time | Average Monthly Precipitation (mm) | Event Size for Each Precipitation (mm) | Precipitation Cycle (d) | Precipitation Frequency (Times per Month) | ||
|---|---|---|---|---|---|---|
| W− | W | W+ | ||||
| July | 26.7 | 3.1 | 4.5 | 5.8 | 5 | 6 |
| 6.2 | 8.9 | 11.6 | 10 | 3 | ||
| August | 21.5 | 2.5 | 3.6 | 4.7 | 5 | 6 |
| 5.0 | 7.2 | 9.3 | 10 | 3 | ||
| September | 18.0 | 2.1 | 3.0 | 3.9 | 5 | 6 |
| 4.2 | 6.0 | 7.8 | 10 | 3 | ||
| October | 5.8 | 0.7 | 1.0 | 1.3 | 5 | 6 |
| 1.4 | 1.9 | 2.5 | 10 | 3 | ||
| Source of variation | Precipitation (W) | Precipitation frequency (F) | Precipitation (W)×frequency (F) |
|---|---|---|---|
| Plant height | 29.669 (0.0000) *** | 2.646 (0.1298) | 0.179 (0.8386) |
| Basal diameter | 1.286 (0.3119) | 0.278 (0.6075) | 0.019 (0.9812) |
| Main root length | 3.730 (0.0550) | 0.069 (0.7974) | 0.041 (0.9600) |
| Above-ground biomass | 14.267 (0.0007) *** | 2.746 (0.1234) | 0.010 (0.9897) |
| below−ground biomass | 10.358 (0.0024) ** | 0.012 (0.9154) | 0.100 (0.9054) |
| Total biomass | 13.157 (0.0009) *** | 0.861 (0.3717) | 0.010 (0.9896) |
| Root/shoot ratio | 1.371 (0.2909) | 14.135 (0.0027) ** | 1.588 (0.2444) |
| Main root length/Plant height ratio (RHR) | 134.23 (0.0000) *** | 2.562 (0.1354) | 0.876 (0.4416) |
| Above-ground radial density (ARD) | 10.516 (0.0023) ** | 0.925 (.03551) | 0.250 (0.7825) |
| below−ground radial density (BRD) | 92.207 (0.0000) *** | 1.069 (0.3216) | 0.055 (0.9470) |
© 2020 by the authors. Licensee MDPI, Basel, Switzerland. This article is an open access article distributed under the terms and conditions of the Creative Commons Attribution (CC BY) license (http://creativecommons.org/licenses/by/4.0/).
Share and Cite
Xie, Y.; Li, Y.; Xie, T.; Meng, R.; Zhao, Z. Impact of artificially simulated precipitation patterns change on the growth and morphology of Reaumuria soongarica seedlings in Hexi Corridor of China. Sustainability 2020, 12, 2439. https://doi.org/10.3390/su12062439
Xie Y, Li Y, Xie T, Meng R, Zhao Z. Impact of artificially simulated precipitation patterns change on the growth and morphology of Reaumuria soongarica seedlings in Hexi Corridor of China. Sustainability. 2020; 12(6):2439. https://doi.org/10.3390/su12062439
Chicago/Turabian StyleXie, Yanfei, Yi Li, Tingting Xie, Ruiling Meng, and Zhiqiang Zhao. 2020. "Impact of artificially simulated precipitation patterns change on the growth and morphology of Reaumuria soongarica seedlings in Hexi Corridor of China" Sustainability 12, no. 6: 2439. https://doi.org/10.3390/su12062439
APA StyleXie, Y., Li, Y., Xie, T., Meng, R., & Zhao, Z. (2020). Impact of artificially simulated precipitation patterns change on the growth and morphology of Reaumuria soongarica seedlings in Hexi Corridor of China. Sustainability, 12(6), 2439. https://doi.org/10.3390/su12062439
