Abstract
Transitioning the built environment to a circular economy (CE) is vital to achieve sustainability goals but requires metrics. Life cycle assessment (LCA) can analyse the environmental performance of CE. However, conventional LCA methods assess individual products and single life cycles whereas circular assessment requires a systems perspective as buildings, components and materials potentially have multiple use and life cycles. How should benefits and burdens be allocated between life cycles? This study compares four different LCA allocation approaches: (a) the EN 15804/15978 cut-off approach, (b) the Circular Footprint Formula (CFF), (c) the 50:50 approach, and (d) the linearly degressive (LD) approach. The environmental impacts of four ‘circular building components’ is calculated: (1) a concrete column and (2) a timber column both designed for direct reuse, (3) a recyclable roof felt and (4) a window with a reusable frame. Notable differences in impact distributions between the allocation approaches were found, thus incentivising different CE principles. The LD approach was found to be promising for open and closed-loop systems within a closed loop supply chain (such as the ones assessed here). A CE LD approach was developed to enhance the LD approach’s applicability, to closer align it with the CE concept, and to create an incentive for CE in the industry.
1. Introduction
The current linear economy of take–make–use–dispose has resulted in a building sector that accounts for 40% of the waste generated (by volume), 40% of material resource use (by volume) and 11% of all human-induced emissions globally come from manufacturing building materials and products [1,2]. The urgency for creating a circular built environment has more recently been promoted in international politics [3,4]. A circular economy (CE) seeks to narrow (efficient resource use), slow (temporally extending the use) and close (cycling) current and future resource loops to keep materials and products at their highest utility and value for as long as possible [5,6]. Consequently, resource consumption, waste and emissions can be minimised, finite stocks of natural resources preserved and a renewable flow of products and materials ensured [3,7].
Decision-making tools and assessment methods are needed to support the transition of the sector to a CE. Life cycle assessment (LCA) is popularising within the building sector, for example, through building certification systems such as Deutsche Gesellschaft für Nachhaltiges Bauen (DGNB), Leadership in Energy and Environmental Design (LEED) and Building Research Establishment Environmental Assessment Method (BREEAM), and is gaining a foothold in regulatory bodies around Europe [8,9,10]. The Netherlands were the first to introduce mandatory LCA on new buildings [11]. Building LCAs have been introduced by the Norwegian public building administration to obtain 40% emission reductions in their building portfolio [12]. Denmark is currently introducing an LCA as part of a new voluntary sustainable building class in the Danish building code [10]. Countries such as Belgium, Sweden and Finland are also exploring similar building LCA opportunities [12,13]. Furthermore, previous work has identified that LCA can assess the environmental performance of CE [14]. The focus of assessment in conventional LCA methods is on analysing individual products and single life cycles [15,16]. However, assessing the environmental benefits of CE requires a multi-cycling systems perspective. This is because CE is operationalised through value retention processes (VRPs) (also known as R-imperatives), such as, reduce, reuse, repair, refurbish, recycle and recover of which some result in re-loops [17]. As the CE concept not only considers one re-loop but a sequence of multiple re-loops creating cascading systems; buildings, components and materials can potentially have different and multiple use and life cycles [18,19,20,21].
Loops can be distinguished as open and closed. In recycling research, closed loops refer to recycling into the same material or product. On the other hand, open loops refer to recycling—but more often downcycling—into other materials and products [22]. However, in a CE, open or closed loops are often also understood in relation to their supply chain [23]. In open loops, re-loops are realised by parties other than the industry (parties) involved in original production. On the other hand, in closed-loops, re-loops are realised by the industry (partners) involved in original production.
Few practical experiences with multi-cycling (e.g., design for the disassembly of building components for direct reuse in one (or more) subsequent buildings) exist in the building sector [7,24,25]. Downcycling from one cycle to another is still dominating over upcycling over multiple cycles [26,27]. Incentive is needed to motivate the building sector to design for and participate in multi-cycling systems. On the other hand, the building sector also needs to state/provide the environmental impact of the buildings it constructs which can be challenging when parts of a building can be used in one (or more) subsequent buildings. This raises the questions: how should the benefits and burdens of shared components and materials be allocated between the cycles that share them? How should the uncertainty be dealt with of whether or not subsequent cycles in the far future will actually occur, even though they have been designed to happen?
Dividing burdens between cycles is a widely discussed question in LCA and there is no single widely accepted approach among the many different allocation approaches that exist [28,29,30]. However, the results of the LCA, and consequently, the CE principles (i.e., narrowing, slowing and closing) promoted, may be greatly influenced by the choice of allocation approach. To date, existing allocation studies often build on simplified, short-lived products (e.g., Karen Allacker, Mathieux, Pennington, and Pant [31], Van Der Harst, Potting, and Kroeze [30]) whereas the construction sector works with complex, long-lived products. To select and/or develop an allocation approach to support CE in the construction sector, the allocation approaches must be tested on sector-specific products to deal with their inherent complexity in an appropriate manner.
In this study, a set of different allocation approaches was tested on four circular building component examples. The incentive the allocation approaches provide for a CE in the building sector was derived. From the results, an allocation approach was developed, based on an existing approach, to (1) enhance the practical use of the approach for assessing multi-cycling systems, (2) align the approach with the overall goal of CE (i.e., narrowing, slowing and closing current and future loops) and (3) create an incentive for the building sector to design for multi-cycling systems.
2. Background on Allocation Approaches for Dividing Burdens in Circular Systems
Shared processes and functions between more than one product system are called multifunctionality or secondary functions and are a challenging aspect to deal with in LCA. Several approaches exist and are being applied to deal with multifunctional processes, and some general LCA recommendations have been provided by standards such as ISO 14040 [32], ISO 14044 [33], EN 15804 [34] and 15978 [35].
ISO 14044 aims at all types of products [33]. It recommends a hierarchical procedure for solving multifunctionality. Assigning environmental impacts deriving from one or more processes to more than one product systems—allocation—should be avoided by: (1) dividing the processes into sub-processes and ‘cutting off’ the sub-processes providing the secondary function, or by (2) ‘system expansion’, where the secondary functions of the initial product system are integrated into the system boundary. This is done using a substitution method in which the initial process is credited with the impact that the secondary function potentially avoids by substituting the most likely corresponding technology and/or practice in the subsequent use cycle.
If allocation cannot be avoided, (3) an allocation approach should be applied using (a) the underlying physical relationship (e.g., mass), (b) other relationships (e.g., economic value), or (c) the number of subsequent uses of the recycled material (in that order of preference). The multitude of different existing allocation approaches can broadly be grouped into three common overarching approaches: 0:100 (‘end-of-life recycling’), 100:0 (‘cut-off’) and 50:50 (‘equal share’) [28]. These approaches are described in different ways within the research literature, emphasising different processes and impacts to be allocated between life cycles. For example, the 100:0 approach is used for both allocation of end-of-life (EoL) impacts [31] and to address the allocation of avoided burdens from substituted materials [36].
ISO 14044 only provides general guidelines and remains flexible. The European standards EN 15978 and EN 15804 form the basis for the current European LCA practice for construction products and buildings. In EN 15804 and EN 15978, multifunctionality is handled through a simplified form of system expansion whereby the net benefits and burdens of the secondary function are reported separately in a module D. The objective of module D is to quantify the reuse, recycling and energy recovery potential outside of the system boundaries. Credit is given for sending virgin materials for reuse, recycling and/or energy recovery but not for secondary materials that are sent for reuse, recycling and/or energy recovery. Furthermore, the ‘cut-off’ allocation approach is used, i.e., the impacts from virgin material production and recycling at EoL are entirely attributed to the first use [37].
Attempts to find a more tailored approach for CE include the Circular Footprint Formula (CFF) suggested in the European Commission’s (EC) Product Environmental Footprint (PEF) aimed at all types of products. The CFF aims to enable the assessment of all EoL scenarios possible. These include reuse, recycling, incineration with/without energy recovery and final disposal via landfill—for both open and closed loop systems—in a consistent and reproducible way [38]. Existing allocation approaches favour either ingoing or outgoing secondary materials. In comparison, the CFF tries to accommodate both by covering the recycled content at the input side and recyclability at EoL [38]. In addition, the CFF considers the change in material quality between cycles. The CFF builds on existing approaches and uses a mix of methods; both system expansion and allocation, applying all three overarching allocation approaches (i.e., 100:0, 0:100 and 50:50) depending on the material and the market situation of the material (i.e., whether there is a high or low supply and demand) [38]. In reuse situations, when a material or component is reused for the same purpose, the weight of the reusable components (which the impact is multiplied by) is divided by the number of times it is reused [38]. By doing so, the impacts from reusable components and materials are shared equally between the cycles.
Eleven different allocation approaches were assessed in the development of the CFF, including the linear degressive (LD) approach which enables distributing environmental impact over entire cascades of cycles [31]. The LD approach remains to be integrated into existing standards, but it has been discussed by other researchers [31,39]. This approach uses a discounting principle allocating impacts from virgin material production and disposal in a linearly degressive manner to all use cycles, allocating the highest share of impact to the cycle where the impact happens. The 50:50 approach is used as part of the LD approach to allocate the reuse and recycling impacts of a material equally between the first and subsequent use cycle of the material. The approach is appealing in terms of CE, as it accounts for the number of times a material will be reused and recycled. Although this is uncertain and difficult to predict, in doing so, the LD approach implicitly considers changes in material qualities over the cycles.
Each of the ISO 14044 standard’s approaches has limitations in relation to CE: (1) by ‘cutting off’ the secondary functions—which are central to the CE concept—these functions are excluded; (2) suitable substitutes to perform ‘system expansion’ cannot always be found as it is uncertain what resources are avoided in the future through reuse, recycling and recovery and it has proven difficult to develop a common approach for this methodology. Furthermore, system expansion neglects multiple subsequent cycles, as it only prevents the impacts resulting from the reuse, recycling and recovery of the second cycle. Moreover, it becomes difficult to differentiate the impact between different products, as system expansion integrates secondary functions in the product system [31]; (3) there is currently no single, widely accepted allocation modelling approach, as allocation can be based on an array of different parameters and different approaches are recommended for different products and loops [28,40]. However, allocation is favourable for the purpose of assessing multiple cycles as it is the only one of the general approaches that can help answer questions about how benefits and burdens should be divided between cycles within a system. Thus, allocation can assess both the system and differentiate between the different cycles of that system.
For this reason, this paper compares four allocation approaches: two prevalent approaches, namely (a) the cut-off approach stated in EN 15804/15978 [34,35] and (b) CFF from the Product Environmental Footprint (PEF) [38]; and two unconventional approaches, namely (c) the 50:50 approach [28] and (d) the LD approach, as described by Allacker et al. [31].
3. Method
Applying an iterative research-through-design method, an allocation approach (herein referred to as ‘CE LD’) was developed. First, the four selected allocation approaches were used to calculate the environmental impact of four circular building components. Second, to determine which approach was most suitable for assessing CE within a building context, the approaches were compared on: (1) the effect they have on the LCA outcomes and the incentive they create for CE principles, (2) their ability to assess both the product and system perspective of CE, (3) how they address uncertainty, and (4) their practical application. Third, building on an existing approach, the CE LD allocation approach was developed and tested on the four circular building components. Fourth, the validity and applicability of the CE LD allocation approach developed was evaluated with LCA and CE design experts from academia, the building industry and government. The research contribution, limitations and future research is recapped in the discussion and conclusion.
3.1. Circular Building Components: Case Descriptions
Figure 1 presents four circular building components that were selected from an existing case study [41]. The cases represent existing examples in the market and fall into a mix of both long-life components with a high(er) uncertainty and short-life components with less uncertainty concerning subsequent use(s). These include a concrete and timber column designed for disassembly for future reuse, recyclable roof felt and a window with a reusable. The number of cycles and lifespans were determined together with the manufacturers and the service life of the building components according to the Danish LCA practice [42].
Figure 1.
Functional unit, inventory, flow diagrams and processes of the concrete and timber column, roof felt and window.
Because concrete elements are cast together, they are often difficult to separate without damage. Consequently, they are commonly crushed into concrete gravel (used as road filling) and the reinforcement steel is recycled into new steel products at EoL. Peikko (Lahti, Finland), a Finnish company, manufactures large bolted mechanical steel connections for concrete elements. These steel connections enable disassembly for reuse in subsequent buildings, thereby prolonging the elements’ service life and avoiding the environmentally burdensome production of new concrete elements [43]. It is assumed that the concrete column can be used three times 80 years (160 years in total).
Construction wood is either incinerated or chipped at EoL. However, with the right connectors, a cross-laminated timber (CLT) column can—like the concrete column—be reused in subsequent buildings. As for the concrete column, it is estimated that a CLT column can be used three times 80 years (160 years in total).
Roof felt is the most commonly disposed of through landfill, energy recovery or downcycling for asphalt roads. However, the Danish roof felt manufacturer, Viva Tagdækning A/S, can recover and recycle 90% of the bitumen and slate through shredding, sorting and heating into new roof felt [44]. The recycling process is theoretically eternal, although 10% virgin material needs to be added to each cycle to continue cycling the roof felt. However, the system has been limited to three cycles of each 20 years for the purpose of this assessment (60 years in total).
Windows are disposed of by crushing and collecting the glass for recycling, and either the landfill or incineration of the window frame. The Danish window manufacturer, Velfac, has a window series, Velfac Energy 200, in which the individual materials can easily be disassembled for replacement and maintenance or they can be extracted for energy recovery or potential recycling [45]. A window’s lifespan is determined by the insulating property of the glass, which has a technical lifespan of 25 years, compared to the 50-year lifespan of the frame [42]. As the frame can potentially last twice as long as the glass, the glass can be replaced while reusing the frame in its original form.
3.2. Method for the Life Cycle Assessment
The focus of the assessment in this study is on the environmental impact of both the cycling system in terms of reuse and recycling and how the cycling affects the individual cycles of that system. Thus, the system boundary and functional unit focus on all the components’ cycles. Cycles 1, 2 and/or 3 shown in the flow diagrams in Figure 1 constitute the overall system of the building components and these are the focus of assessment when comparing the allocation approaches. However, the assessment also considers that materials may have cycles that happen outside of the component’s system, e.g., when materials leave the component for recycling elsewhere. Details of the flow diagrams for the four circular building components are shown in the Supplementary Material S1.
The LCA focused on assessing the embodied greenhouse gas (GHG) emissions of each component. The LCA methodology stated in EN 15978 was followed, however, each of the selected allocation approaches from Section 2 was applied. The openLCA v1.9.0 software was used for the product system modelling, using the CML-IA baseline characterization method. The Ecoinvent 3.4 APOS database was used for the life cycle inventory (LCI) of the background system [46] using system processes to obtain aggregated results. Even though APOS already uses an allocation principle in the background system, it is the best option for controlling the allocation approach in the foreground system. The manufacturer’s product specifications (stated in Figure 1) were used to compile the foreground system. The system boundaries include the production, waste recovery for reuse, recycling or incineration, and disposal by landfilling at EoL over the building components’ entire chain of cycles.
Credits for the potential reuse, energy recovery and recycling of materials and components in a next product system are an inherent part of the CFF and cut-off approach stated in EN 15804/15978. Crediting is not included in the other approaches, however. The LD approach requires a predetermined system in which it is known or qualitatively assumed how many times a product will be cycled to maintain the mass balance of the system [31]. For that reason, for the LD approach, recycling at the last use cycle is counted as part of the systems’ final disposal instead of associating the recycling with a potential fourth cycle.
The Supplementary Material Table S1 shows the mathematical expression of the distribution of impacts in the cascade systems of the circular building components when the four selected allocation approaches are applied.
3.3. Method for Expert Sessions
Ten semi-structured expert sessions with 44 experts within the field of LCA, CE design and CE built environment from academia, industry and government were conducted. The expert sessions were used to evaluate and iteratively improve the validity and practical application of the developed CE LD approach. The developed CE LD approach was presented to the participants; they were asked to answer three questions: (1) what are your initial impressions of the approach? (2) what are the potential advantages and disadvantages of the approach? As well as (3) how would you improve the approach? Following these questions, there was time for discussion. The answers to questions (1), (2) and (3) and any further remarks were summarised, categorised and analysed from the session transcripts using an inductive coding technique (i.e., emergent coding) to quantify the content [47,48,49].
4. Results
4.1. Results of Life Cycle Assessment
The total embodied GHG emissions of the components, including both component and material cycles, are stated in Figure 1. Figure 2 shows how the total embodied GHG emissions of the components are distributed between the cycles when applying the different allocation approaches to the circular building components. For comparison reasons, the distribution of the total embodied GHG emissions is calculated in both absolute impact values (stated on the x axis) and as a percentage (stated at each bar). Additionally, the resulting mass balance from each approach is stated at the right side of the graphs in absolute impact values and as a percentage.
Figure 2.
Comparison of the embodied GHG emission cycle distribution patterns stemming from different allocation approaches for (a) concrete column, (b) timber column, (c) roof felt and (d) window.
The highest impact comes from the production in the first cycle for all the circular building components. The reuse, recycling and disposal occurring in subsequent cycles only counts for a smaller share of the components’ embodied GHG emission. Notable impact distribution differences are seen between the allocation approaches indicating that the approaches each promote different CE principles.
All the approaches incentivise narrowing loops today, as resource efficiency will result in an up-front impact reduction. The EN15804/15978 cut-off and 50:50 approach allocate the highest impact share to the first cycle for all four circular building components. This creates a great incentive for reuse and recycling to reduce current production impacts (i.e., narrowing, slowing and closing current loops). This is evident from the subsequent cycle, which receives much less impact when reusing or recycling a component or material. This is especially seen for the EN15804/15978 cut-off approach, where the second cycle receives the components or materials burden-free because both the component’s or material’s virgin material production and reuse or recycling impacts are ascribed to the first cycle. In the case of the columns, this means that the initial cycle will have no incentive to design for disassembly to ensure long-term reusability in subsequent cycles to narrow, slow or close future loops.
The EN15804/15978 cut-off approach tries to incentivise designing for slowing and closing loops in the future by crediting cycles in module D for sending virgin material for reuse, recycling and/or energy recovery. For example, the window is credited for sending virgin glass to recycling in both cycles 1 and 2 seen from the negative emission in Figure 2d. The 50:50 approach provides the first cycle with a very small benefit of designing for reuse and recycling in the future, by allocating half of the reuse and recycling impact to the subsequent cycle. However, for both the EN15804/15978 cut-off and 50:50 approaches the incentive for narrowing, slowing and closing loops is limited to only thinking one cycle ahead (i.e., a product perspective), which does not promote designing for multi-cycling (i.e., system perspective) to keep materials cycled at their highest utility and value for as long as possible in line with the CE concept. The EN15804/15978 cut-off approach does function well in the linear economy, as impacts are allocated according to when they happen, which reduces uncertainty. The EN15804/15978 cut-off approach can thus assess circular designs in a linear setting but, for that reason, it is questionable as a basis for multi-cycle, circular design decisions.
The ‘burden-free’ aspect of the EN15804/15978 creates a somewhat ‘perverse’ incentive to use secondary materials because the initial and potentially burdensome production of the components and materials is ‘forgotten’ in the second cycle. Furthermore, the module D crediting system of the EN15804/15978 is problematic if it is not used correctly. The long time frame of each cycle (e.g., 3 × 80 years for the concrete column) means that the cycles happen independently of one another creating a risk of double crediting between cycles. The use of mixed methods (i.e., allocation and system expansion) further enhances this risk. This is demonstrated in Figure 2a, if the first cycle of the concrete column receives a credit for sending the column to reuse (i.e., simplified system expansion using substitution) and the second cycle receives the column burden-free (i.e., cut-off allocation). How to use and interpret module D is widely discussed among researchers [50,51], and guidance on how to use module D correctly to avoid double crediting is not very clear [34]. The CFF approach only credits recycling, whereas the benefit of reuse is given by sharing all the impacts equally between the cycles.
The LD and CFF approaches create a much stronger incentive for the first cycle to design for disassembly to narrow, slow and close loops in the future, as less impact is allocated to the first cycle. However, subsequent cycles receive a larger impact share compared to the EN15804/15978 cut-off and 50:50 approaches, making the benefit of slowing and closing current loops smaller.
The CFF contains many parameters, making it more comprehensive compared to the other approaches, but also more complex to use in practice. Some of these parameters can be looked up in an appendix, although some materials are absent. In these cases, a default value (or estimate) is used in the calculation. However, PEF offers no guidance on how to estimate changes in material quality over multiple cycles, leaving it up to the assessor to produce a reasonable assumption. This may make it difficult to ensure a harmonised application of the formula. Due to the quality-correction of environmental impacts [52], the CFF does not comply with the mass balance. The 50:50 approach also does not maintain the mass balance, although less pronounced compared to the CFF, as it allocates some of the emissions outside of the cascade system. However, absolute impact results as opposed to percentage impacts are necessary to provide a sound decision base in the design stage.
The CFF approach reflects the market situation of the material (i.e., high/low supply/demand) and for that reason it can be said to address the uncertainty of multiple cycles in the future to some extent. However, because of the long lifespan of the concrete column, for example, determining future market factors far into the future is challenging. In addition, the approach’s way of equally sharing emissions over cycles in reuse situations is questionable, as emissions that happen today are pushed to cycles 80, 160 and 240 years into the future associated with a high uncertainty. This may lead to greenwashing by the sector. The LD approach and 50:50 approach also pushes impacts to future cycles, however, less pronounced compared to the CFF. By including market aspects as well as accommodating both ingoing and outgoing secondary materials, the CFF tries to incorporate a system perspective. However, the approach was developed for assessing single products.
The LD approach can also be misused by adding cycles that do not exist (which lowers the impact per use cycle). However, to some extent, the LD approach deals with the sensitivity and uncertainty related to the product’s long-life span because it allocates impacts according to when they happen in the system. In addition, the LD approach is very appealing for CE, as it takes into account the number of cycles (i.e., time perspective) and material quality (implicitly from the number of cycles) of cycling systems. However, the LD approach can be difficult to use in practice as it requires the assessor to know, or qualitatively assume, how many times a product will be cycled. This can be difficult to determine because of the high uncertainty related to the long time frame of multi-cycling, and the long life-span of building components and materials.
Table 1 summarises the comparison of the allocation approaches’ performance in terms of CE. The results of the comparison suggest that none of the approaches are objective as they all seem to be based on value choices. For example, the cut-off approach focuses on reducing current emissions by motivating secondary material use. However, it was found that, for open-loops and closed-loops within a closed-loop supply chain (such as the ones assessed here), the LD is preferable for the following reasons: it is simple to use, creates incentives for narrowing, slowing and closing loops (now and to design for this in the future), and it deals with the uncertainty, number of cycles (i.e., time perspective) and material quality (implicitly from the number of cycles) of cycling systems.
Table 1.
Comparison of the incentives that the allocation approaches create for a circular economy (CE). Legend: + = high performance, o = medium performance, - = low performance.
4.2. Development of the CE LD Allocation Approach
The LD approach is based on the description and example given by Allacker et al. [31]. However, Allacker et al. [31] do not refer to any literature on the LD approach, or offer insight into the background of the approach, i.e., how the distribution of impacts from production or disposal was determined. The LD approach was further developed to determine how much of the impacts should be allocated between the cycles of a cascading system to enhance the practical use and incentive that the approach creates for a CE in the building sector.
The distribution of impacts can be determined by a number of factors, e.g., the length of a use cycle, the number of use cycles, and the material quality degradation over cycles. For the sake of simplicity, it was decided to adjust the environmental impact distribution by developing an equation that is dependent on two parameters: the number of use cycles and a factor ‘F’. As CE emphasises extending the life span of components and materials, the number of use cycles in the future should influence design decisions today. ‘F’ determines how much of the environmental impact is allocated to the first use cycle compared to the last cycle (i.e., the first use cycle is impacted ‘F’-times as much as the last use cycle). In line with the concept of the LD approach, the equation allocates the highest share of the production and disposal impact to the cycle where the impact happens and linearly and degressively shares the remainder of the impacts with the rest of the cycles.
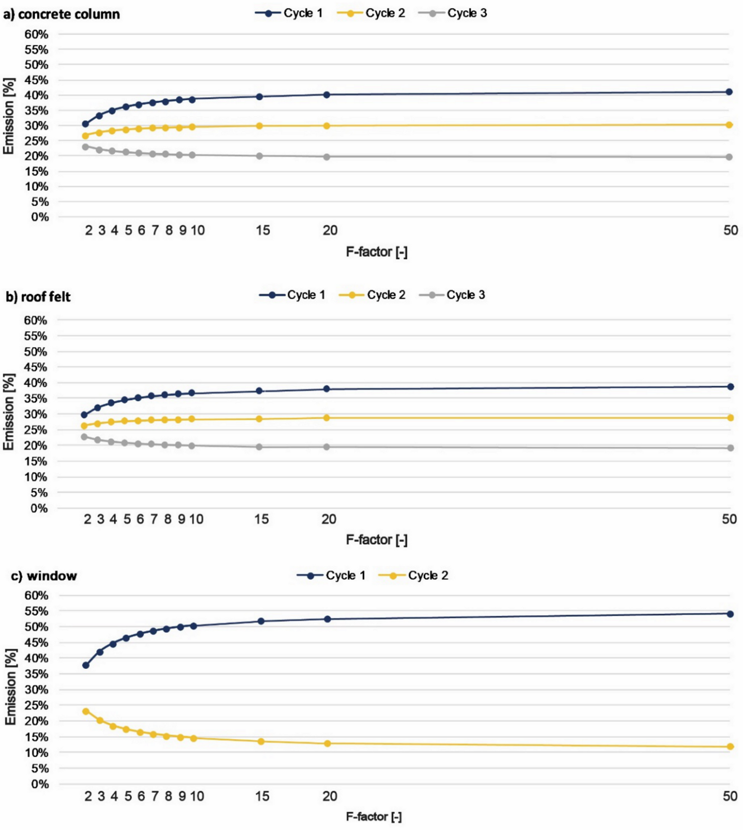
It is questionable what a fair value would be for the factor ‘F’. Therefore, the emissions distribution of the concrete column, roof felt and window, was tested when the factor ‘F’ was varied. The sensitivity of ‘F’ was tested for values 2–10, 15, 20 and 50 (see Figure 3). The test showed that the impact distribution stabilises the closer F is to 50 for all three circular building components. For that reason, F was set at 50. As seen on Figure 3, the impact distribution of cycles 1, 2 and/or 3 does not add up to 100%. This is because the CE LD approach takes into account that the materials may have cycles that happen outside of the component’s system, e.g., when materials leave the component for recycling elsewhere (see the detailed flow diagrams of the concrete, roof felt and window in the Supplementary Material S1). Hence, impacts are allocated to cycles that happen outside of the component cycles. However, the total impact of the entire system, including materials cycles outside the component system, always adds up to 100% as seen from the calculation example in the Supplementary Material S3.
Figure 3.
Test of the emissions percentage for each cycle of the (a) concrete column, (b) roof felt and (c) window when applying the CE LD equation from the Supplementary Material S3 using different values for the allocation factor ‘F’.
The 50:50 allocation approach—as described by Eberhardt et al. [53]—is used for re-loop impacts (e.g., reuse and recycling): these are equally divided between all the cycles sharing the material or component. Furthermore, incineration is viewed as a re-loop rather than disposal. This is because energy is recovered from burning the material, giving the material one final use. For the same reason, incineration is counted as a use cycle, otherwise the use cycle becomes burden free. Emissions from incineration are thus shared equally between the users. In contrast, landfilling is not counted as a use cycle, as the material will have no further use when it is landfilled. Emissions from landfilling are allocated predominantly to the user who landfills the material. Some materials will potentially have multiple recycling loops in a controlled form. For example, metals are in theory ‘infinitely’ open-loop recycled, making it impossible to know how many recycling loops the metal will go through. For that reason, a qualitative guess of 10 cycles is assumed. Another example is wood products that, with the current practice, are chipped and recycled into chipboards. Chipboards can be recycled into new chipboards a number of times before final disposal. In the CE LD approach, this is counted as one use cycle, because it is too uncertain how many times a chipboard will be recycled. However, such assumptions may be changed if supply chain partners can determine, realise and guarantee more cycles.
Figure 4 shows a comparison of the impact distribution of all the assessed allocation approaches including the developed CE LD approach. The CE LD approach allocates the highest impact share to the first cycle, however, it is a smaller share compared to the other approaches. Hence, a larger share of the impacts is allocated to subsequent cycles compared to some of the other approaches. This can be considered a ‘fairer’ way of dividing burdens because all the cycles share the benefits as well as the responsibility for the environmental impacts, thereby creating an incentive for each stakeholder to participate in the cascade system. Furthermore, incentives for narrowing, slowing and closing cycles today but also designing for it in the future are created.
Figure 4.
Comparison of the relative embodied GHG emission distributions for the CE LD allocation approach compared to the other allocation approaches for the (a) concrete column, (b) timber column, (c) roof felt and (d) window.
4.3. Expert Sessions
The Supplementary Material S4 shows the results of the expert session analysis. The experts and practitioners found that the CE LD approach divides burdens in a fairer way, while also avoiding double crediting issues. Furthermore, the CE LD approach was found to be more understandable and transparent than the CFF. The ability to assess the effect of multiple future cycles was raised by the experts and practitioners as a main advantage of the CE LD approach. The developed CE LD approach was found to move away from a linear to a circular mindset (i.e., how to think about materials and components in different cycles). Thus, the sector is stimulated to think beyond the scope of a project to instead think long-term and innovate with the supply.
The assumptions related to the CE LD approach that reach far into the future (i.e., multiple cycles, processes, energy grid mix etc.) raised concerns about increased uncertainty and the accuracy of the LCA results. For example, questions were raised considering how to accurately determine cycles that occur in the distant future and avoid greenwashing by adding cycles that may not happen. Therefore, the CE LD approach was found suitable for ‘ex ante’ assessments: where the purpose is to develop ‘ideal’ circular building components that do not yet exist, for example, in the design stage and in policy making. For the same reason, the CE LD approach was considered less suitable for ‘ex post’ assessments, e.g., environmental product declarations or building LCA certifications. To motivate transitioning towards an ‘ideal’ CE while avoiding greenwashing, the experts suggested using the CE LD approach in parallel with the EN15804/15978 approach. In that regard, the CE LD approach could function as an information module on multi-cycling options similar to module D in the EN15804/15978. Furthermore, several experts suggested that the EN15804/15978 remains preferable to facilitate reaching the EU’s 2030 and 2050 climate goals, as the CE LD approach allocates some of the burdensome production impacts to subsequent cycles and thus to some extent undermines the importance of reducing current emissions.
The experts suggested improving the accuracy of the approach by differentiating between different types of cycles, e.g., known or unknown cycles, certain or uncertain cycles, short-term or long-term cycles, open or closed cycles, and low-value or high-value cycles, etc. Some experts also suggested including a probability factor of a cycle happening. It was also suggested that different types of cycles could benefit from different approaches.
5. Discussion
It should be stressed that the CE LD approach developed here, and the LD approach that the CE LD approach builds on, are for now theoretical developments, considering the lack of empirical data on the two approaches. However, in light of the shortcomings of existing approaches found in this paper, the CE LD approach is considered to better accommodate assessing multi-cycling systems in a CE in the built environment. However, caution is urged when implementing multi-cycling assessment approaches into LCA practice. Misuse of such approaches could hinder realising environmental impact reductions in both the long and short terms. In line with the findings from the expert sessions, it is therefore recommended that the CE LD approach only be used for cycles that are known/certain to happen or in combination with an in-depth sensitivity analysis and/or in parallel with a ‘conventional’ LCA for unknown/uncertain cycles. The implementation of the CE LD approach could have great implications in both LCA practice, the building sector and the circular approach in the building sector. LCA standards and practice tools do not currently include the concept of linear degressive allocation. Including it in current LCA standards and tools would require a considerable effort, as it would require changing the LCA scope to include multiple cycles, the calculation method and the datasets of the different LCA databases used by the building sector. For the building sector, determining and realising future cycles would require new market mechanisms, business models, supply chain dynamics, and long-term multidisciplinary stakeholder co-creation throughout the value chain to arise as opposed to the current fragmented short-term one-off-project culture [54]. Furthermore, the CE LD approach might lead to different design strategies becoming superior in terms of (e.g.,) CO2 emission reductions, as opposed to those currently suggested by policies and used in projects. For example, the building sector now often focuses on applying secondary materials, as they are free of production impacts following the European standards.
The CE LD approach is based on a relatively low number of cases. To further support the transition to a circular built environment, further research should include testing the developed CE LD approach on a larger sample of circular building components. Furthermore, the approach should be tested on a wider range of VRPs besides reuse and recycling to identify which CE principles are most circular following the CE LD approach. CE principles that perform well in the embodied GHG emission may not perform as well in other environmental impact categories [53]. Therefore, the testing should include several environmental impact categories to avoid burden-shifting between impact categories.
To reduce uncertainty, the probability of multiple cycles happening should be explored, and whether this probability differs between different materials, components and buildings, also considering the interaction between these. This could be based on, for example, market factors of different materials similar to the approach of the CFF. An example of existing research in the field is Yamada, Daigo, Matsuno, Adachi, and Kondo [55] who developed a probabilistic method using matrix-based numerical analysis to calculate the average number of times a material was used in products in society from cradle to grave. In addition, uncertain and unknown dynamic changes during a building’s long lifespan may significantly influence the environmental performance of both buildings and applied CE strategies. This may include increasing the efficiency of production, transportation and recycling technologies, as well as a greener energy grid mix in the future. Such dynamic factors are potentially essential to include when defining realistic CE building strategies [56].
The CE LD approach does not consider the length of cycles or that cycles of a system may vary in length, which may be of importance for CE. Furthermore, it can be challenging to keep track of mixed materials over several cycles. For example, virgin material is mixed with secondary materials to make up for material losses to keep the roof felt cycling. Thereby the roof felt is gradually diluted, making it difficult to keep track of the changing virgin and secondary material fractions over multiple cycles. This is illustrated in the flow diagram in the Supplementary Material S1, where this was dealt with by separating the virgin and secondary material fractions of the two materials, although they are mixed in practice.
Circularity can be measured by a range of different metrics besides environmental performance [57]. These metrics include among others economic value and cost, material flow and social factors. These metrics have not been explored in the paper at hand but are important to fully assess circularity for which multi-criteria assessment methods are required.
6. Conclusions
Implementing multiple cycles in LCA is challenging, but designing for slowing, closing and narrowing loops could significantly reduce the waste, resource use and environmental impacts emanating from the building sector. It is therefore argued that the CE LD approach, or equivalent multi-cycling assessment approaches, are needed in practice in order to support the transition to a circular built environment.
The four allocation approaches compared show noticeable variations in impact distributions between cycles, leading to different incentives for different CE principles (i.e., narrowing, slowing and closing current as well as future loops). Several of the assessed approaches do not give an incentive for subsequent cycles, and their use for assessing multi-cycling systems is debatable. The LD approach was found to be preferable for both open and closed loops within a closed-loop supply chain, such as the ones defined here: it is simple to use, motivates designing for narrowing, slowing and closing loops both now and in the future, and it deals with uncertainty, number of cycles and material quality. For those reasons, a CE LD approach was developed to enhance the LD approach’s applicability, to closer align it with the CE concept, and to create an incentive for CE in industry.
Expert evaluations found that the developed CE LD approach supports ‘ex ante’ assessments of ‘ideal’ multi-cycling systems that do not yet exist and it can answer how much of the system’s impact can be attributed to each cycle of that system. Hence, the CE LD allocation approach can support the sector in assessing and designing circular buildings, components and materials. However, the approach is still theoretical and high uncertainty is related to the assumptions on long lifespans and multiple future cycles. Hence, future research should focus on testing the approach on a larger sample of cases including additional VRPs and environmental impact categories as well as exploring solutions to reduce the uncertainty.
Although further research is needed to further test and develop the CE LD approach, the comparison of allocation approaches and the development of the CE LD allocation approach provides an important step towards circular (multi-cycling) LCA.
Supplementary Materials
The following are available online at https://www.mdpi.com/2071-1050/12/22/9579/s1, Figure S1: Flow diagrams, Table S2: Mathematical expressions for allocation of the reusable and recyclable material fractions of the circular building components, Sheet S3: Deriving the CE LD approach, Table S4: Expert sessions evaluation of the developed CE LD approach.
Author Contributions
Conceptualization, L.C.M.E. and A.v.S.; data curation, L.C.M.E.; formal analysis, L.C.M.E.; investigation, L.C.M.E.; methodology, L.C.M.E. and A.v.S.; project administration, L.C.M.E.; resources, L.C.M.E.; software, L.C.M.E.; supervision, F.N.R., M.B. and H.B.; validation, L.C.M.E.; visualization, L.C.M.E.; writing—original draft, L.C.M.E.; writing—review and editing, A.v.S., F.N.R., M.B. and H.B. All authors have read and agreed to the published version of the manuscript.
Funding
This research received no external funding.
Conflicts of Interest
The authors declare no conflict of interest.
References
- Becqué, R.; Mackres, E.; Layke, J.; Aden, N.; Liu, S.; Managan, K.; Nesler, C.; Mazur-Stommen, S.; Petrichenko, K.; Graham, P. Accelerating Building Efficiency: Eight Actions for Urban Leaders. Available online: https://publications.wri.org/buildingefficiency/ (accessed on 4 August 2020).
- International Energy Agency. Global Status Report for Buildings and Construction towards a Zero-Emissions, Efficient and Resilient Buildings and Constructi on Sector. 2019. Available online: https://www.iea.org/ (accessed on 4 August 2020).
- European Commission. A New Circular Economy Action Plan for a Cleaner and More Competetive Europe; European Commission: Brussels, Belgium, 2020. [Google Scholar]
- European Parliament and the Council of the European Union. Directive (EU) 2018/851 of the European Parliament and of the Council of 30 May 2018 amending Directive 2008/98/EC on waste. Off. J. Eur. Union 2018, 61, 109–140. Available online: https://eur-lex.europa.eu/legal-content/EN/TXT/?qid=1530557218036&uri=CELEX:32018L0851 (accessed on 4 August 2020).
- Geissdoerfer, M.; Savaget, P.; Bocken, N.M.P.; Hultink, E.J. The Circular Economy—A new sustainability paradigm? J. Clean. Prod. 2017, 143, 757–768. [Google Scholar] [CrossRef]
- Bocken, N.M.P.; De Pauw, I.; Bakker, C.; Van Der Grinten, B. Product design and business model strategies for a circular economy. J. Ind. Prod. Eng. 2016, 33, 308–320. [Google Scholar] [CrossRef]
- Ellen MacArthur Foundation. Circularity in the Built Environment: Case Studies. Available online: https://www.ellenmacarthurfoundation.org/assets/downloads/Built-Env-Co.Project.pdf (accessed on 4 August 2020).
- Life Cycle Analysis and Assessment in Civil Engineering: Towards an Integrated Vision. In Proceedings of the Life Cycle Analysis and Assessment in Civil Engineering: Towards an Integrated Vision, Ghent, Belgium, 28–31 October 2018; Informa UK Limited: Colchester, UK, 2018; pp. 815–821. Available online: https://vbn.aau.dk/da/publications/life-cycle-assessment-benchmarks-for-danish-office-buildings-2 (accessed on 29 September 2020).
- Birgisdottir, H.; Rasmussen, F.N. Development of LCAbyg: A National Life Cycle Assessment Tool for Buildings in Denmark. In Proceedings of the IOP Conference Series: Earth and Environmental Science; IOP Publishing: Bristol, UK, 2019; Volume 290, p. 012039. [Google Scholar]
- Kanafani, K.; Birgisdottir, H. Trafik- bygge- og boligstyrelsen. Available online: https://www.borger.dk/Om-borger-dk/Find-en-myndighed/trafikstyrelsen (accessed on 4 August 2020).
- Scholten, N.; van Ewijk, H. Environmentla Performance Regulations in the Netherlands. In Proceedings of the 4th International Conference Civil Engineering, Beijing, China, 16–17 May 2013. [Google Scholar]
- Westerholm, N. State of Play for Circular Built Environment in Europe. Available online: https://www.google.com.hk/url?sa=t&rct=j&q=&esrc=s&source=web&cd=&ved=2ahUKEwiZluGPwontAhVErlkKHUwABskQFjAAegQIBBAC&url=https%3A%2F%2Fwww.oneplanetnetwork.org%2Fresource%2Fstate-play-circular-built-environment-europe&usg=AOvVaw2LsqiID35ObOOeYqGbFyak (accessed on 4 August 2020).
- Boverket. Utveckling av Regler om Klimatdeklaration av Byggnader (Developing Rules for Environmental Declaration of Buildings). Available online: https://www.boverket.se/globalassets/publikationer/dokument/2020/utveckling-av-regler-om-klimatdeklaration-av-byggnader.pdf (accessed on 4 August 2020).
- Pomponi, F.; Moncaster, A. Circular economy for the built environment: A research framework. J. Clean. Prod. 2017, 143, 710–718. [Google Scholar] [CrossRef]
- Ghisellini, P.; Cialani, C.; Ulgiati, S. A review on circular economy: The expected transition to a balanced interplay of environmental and economic systems. J. Clean. Prod. 2016, 114, 11–32. [Google Scholar] [CrossRef]
- Hauschild, M.; Rosenbaum, R.K.; Olsen, S.I. Life Cycle Assessment—Theory and Practice; Springer: Berlin/Heidelberg, Germany, 2018; p. 1215. [Google Scholar]
- Reike, D.; Vermeulen, W.J.; Witjes, S. The circular economy: New or Refurbished as CE 3.0?—Exploring Controversies in the Conceptualization of the Circular Economy through a Focus on History and Resource Value Retention Options. Resour. Conserv. Recycl. 2018, 135, 246–264. [Google Scholar] [CrossRef]
- Blomsma, F.; Kjaer, L.; Pigosso, D.C.; McAloone, T.C.; Lloyd, S. Exploring Circular Strategy Combinations—Towards Understanding the Role of PSS. Procedia CIRP 2018, 69, 752–757. [Google Scholar] [CrossRef]
- Van Stijn, A.; Gruis, V. Towards a circular built environment. Smart Sustain. Built Environ. 2019. [Google Scholar] [CrossRef]
- Jansen, B.W.; Van Stijn, A.; Gruis, V.; Van Bortel, G. A circular economy life cycle costing model (CE-LCC) for building components. Resour. Conserv. Recycl. 2020, 161, 104857. [Google Scholar] [CrossRef]
- Rehberger, M.; Hiete, M. Allocation of Environmental Impacts in Circular and Cascade Use of Resources—Incentive-Driven Allocation as a Prerequisite for Cascade Persistence. Sustainability 2020, 12, 4366. [Google Scholar] [CrossRef]
- Koffler, C.; Florin, J. Tackling the Downcycling Issue—A Revised Approach to Value-Corrected Substitution in Life Cycle Assessment of Aluminum (VCS 2.0). Sustainability 2013, 5, 4546–4560. [Google Scholar] [CrossRef]
- French, M.L.; LaForge, R.L. Closed-loop supply chains in process industries: An empirical study of producer re-use issues. J. Oper. Manag. 2006, 24, 271–286. [Google Scholar] [CrossRef]
- Partners Circle House. Available online: https://movetocirclec.com/market-data/circle-c-housing-market-update-october-2018/ (accessed on 4 August 2020).
- Rasmussen, F.N.; Birkved, M.; Birgisdóttir, H. Upcycling and Design for Disassembly—LCA of buildings employing circular design strategies. IOP Conf. Series Earth Environ. Sci. 2019, 225, 012040. [Google Scholar] [CrossRef]
- Di Maria, A.; Eyckmans, J.; Van Acker, K. Downcycling versus recycling of construction and demolition waste: Combining LCA and LCC to support sustainable policy making. Waste Manag. 2018, 75, 3–21. [Google Scholar] [CrossRef] [PubMed]
- Hopkinson, P.; Chen, H.-M.; Zhou, K.; Wang, Y.; Lam, D.; Wong, Y. Recovery and reuse of structural products from end-of-life buildings. Proc. Inst. Civ. Eng. Eng. Sustain. 2019, 172, 119–128. [Google Scholar] [CrossRef]
- Allacker, K.; Mathieux, F.; Manfredi, S.; Pelletier, N.; De Camillis, C.; Ardente, F.; Pant, R. Allocation solutions for secondary material production and end of life recovery: Proposals for product policy initiatives. Resour. Conserv. Recycl. 2014, 88, 1–12. [Google Scholar] [CrossRef]
- Koffler, C.; Finkbeiner, M. Are we still keeping it “real”? Proposing a revised paradigm for recycling credits in attributional life cycle assessment. Int. J. Life Cycle Assess. 2018, 23, 181–190. [Google Scholar] [CrossRef]
- Van Der Harst, E.; Potting, J.; Kroeze, C. Comparison of different methods to include recycling in LCAs of aluminium cans and disposable polystyrene cups. Waste Manag. 2016, 48, 565–583. [Google Scholar] [CrossRef]
- Allacker, K.; Mathieux, F.; Pennington, D.; Pant, R. The search for an appropriate end-of-life formula for the purpose of the European Commission Environmental Footprint initiative. Int. J. Life Cycle Assess. 2017, 22, 1441–1458. [Google Scholar] [CrossRef]
- ISO 14040. Environmental management—Life cycle assessment—Principles and framework. Order A J. Theory Ordered Sets Appl. 2008. [Google Scholar] [CrossRef]
- ISO 14044. Environmental Management—Life Cycle Assessment—Requirements and Guidelines; ISO: Geneva, Switzerland, 2006. [Google Scholar]
- EN Product Category Rules for Type III Environmental Product Declaration of Construction Products to EN 15804:2012. Available online: https://standards.iteh.ai/catalog/standards/cen/c98127b4-8dc2-48a4-9338-3e1366b16669/en-15804-2012a2-2019 (accessed on 4 August 2020).
- EN Sustainability of Construction Works—Assessment of Environmental Performance of Buildings—Calculation Method. Available online: https://infostore.saiglobal.com/preview/is/en/2011/i.s.en15978-2011-lc-2011-11.pdf?sku=1500481 (accessed on 4 August 2020).
- Jones, C.I.; Embodied Impact Assessment: The Methodological Challenge of Recycling at the End of Building Lifetime. Constr. Inf. Q. 2009, 11, 140. Available online: https://www.researchgate.net/publication/284105479_Embodied_impact_assessment_The_methodological_challenge_of_recycling_at_the_end_of_building_lifetime (accessed on 14 January 2020).
- Frischknecht, R. LCI modelling approaches applied on recycling of materials in view of environmental sustainability, risk perception and eco-efficiency. Int. J. Life Cycle Assess. 2010, 15, 666–671. [Google Scholar] [CrossRef]
- Zampori, L.; Pant, R. Suggestions for updating the Product Environmental Footprint (PEF) method. In JRC Technical Repports; Publications Office of the European Union: Luxembourg, 2019; p. 76. Available online: https://ec.europa.eu/jrc (accessed on 4 August 2020).
- De Wolf, C.; Hoxha, E.; Fivet, C. Comparison of environmental assessment methods when reusing building components: A case study. Sustain. Cities Soc. 2020, 61, 102322. [Google Scholar] [CrossRef]
- Schrijvers, D.L.; Loubet, P.; Sonnemann, G. Critical review of guidelines against a systematic framework with regard to consistency on allocation procedures for recycling in LCA. Int. J. Life Cycle Assess. 2016, 21, 994–1008. [Google Scholar] [CrossRef]
- Eberhardt, L.; Birgisdottir, H.; Birkved, M. Comparing life cycle assessment modelling of linear vs. circular building components. IOP Conf. Series Earth Environ. Sci. 2019, 225, 012039. [Google Scholar] [CrossRef]
- Aagaard, N.-J.; Brandt, E.; Aggerholm, S.; Haugbølle, K. Levetider af Bygningsdele ved Vurdering af Bæredygtighed og Totaløkonomi. Available online: https://vbn.aau.dk/da/publications/levetider-af-bygningsdele-ved-vurdering-af-b%C3%A6redygtighed-og-total (accessed on 4 August 2020).
- Paananen, T.; Suur-Askola, P. White Paper—In Search of a Bright, Circular Future! Available online: https://d76yt12idvq5b.cloudfront.net/file/dl/i/tFlmyg/vM6Il-V7Cy8S1tL6QAPzDQ/PeikkoWhitePaperCircularFuture2018.pdf (accessed on 4 August 2020).
- Viva Tagdækning. Genbrug af Tagpap [Recycling of Roof Felt]. Available online: http://www.vivatag.dk/loesninger-plus-referencer/groenne-loesninger/genbrug-af-tagpap/ (accessed on 15 October 2020).
- Velfac. Bortskaffelse og Genanvendelse [Disposal and Recycling]. Available online: https://velfac.dk/vinduer-erhverv/teknisk-raadgivning/dgnb/velfac-og-dgnb/bortskaffelse-og-genanvendelse/ (accessed on 15 October 2020).
- Ecoinvent. Ecoinvent 3.4—Ecoinvent. 2017. Available online: https://www.ecoinvent.org/database/older-versions/ecoinvent-34/ecoinvent-34.html (accessed on 4 September 2020).
- Kirchherr, J.; Reike, D.; Hekkert, M. Conceptualizing the Circular Economy: An Analysis of 114 Definitions. SSRN Electron. J. 2017, 127, 221–232. [Google Scholar] [CrossRef]
- Dahlsrud, A. How corporate social responsibility is defined: An analysis of 37 definitions. Corp. Soc. Responsib. Environ. Manag. 2008, 15, 1–13. [Google Scholar] [CrossRef]
- Haney, W.; Russel, M.; Gulek, C.; Fierros, E. Drawing on Education: Using Student Drawings to Promote Middle School Improvement. Sch. Middle 1998, 7, 38–43. Available online: https://eric.ed.gov/?id=EJ561666 (accessed on 31 October 2020).
- Delem, L.; Wastiels, L. The practical use of module D in a building case study: Assumptions, limitations and methodological issues. IOP Conf. Series Earth Environ. Sci. 2019, 323, 012048. [Google Scholar] [CrossRef]
- Anderson, J.; Rønning, A.; Moncaster, A. The Reporting of End of Life and Module D Data and Scenarios in EPD for Building level Life Cycle Assessment. IOP Conf. Series Earth Environ. Sci. 2019, 323, 012051. [Google Scholar] [CrossRef]
- Wolf, M.; Chomkhamsri, K. The “Integrated Formula” for Modelling Recycling, Energy Recovery and Reuse in LCA White Paper. Available online: http://maki-consulting.com/wp-content/uploads/2013/05/White-paper-Integrated-approach_Wolf&Chomkhamsri2014_Final.pdf (accessed on 31 October 2020).
- Eberhardt, L.C.M.; Birgisdottir, H.; Birkved, M. Life cycle assessment of a Danish office building designed for disassembly. Build. Res. Inf. 2018, 47, 666–680. [Google Scholar] [CrossRef]
- Nasir, M.H.A.; Genovese, A.; Acquaye, A.A.; Koh, S.; Yamoah, F. Comparing linear and circular supply chains: A case study from the construction industry. Int. J. Prod. Econ. 2017, 183, 443–457. Available online: http://linkinghub.elsevier.com/retrieve/pii/S092552731630113X (accessed on 31 October 2020). [CrossRef]
- Matsuno, Y.; Adachi, Y.; Kondo, Y. Application of Markov Chain Model to Calculate the Average Number of Times of Use of a Material in Society. An Allocation Methodology for Open-Loop Recycling. Part 1: Methodology Development (7 pp). Int. J. Life Cycle Assess. 2006, 11, 354–360. [Google Scholar] [CrossRef]
- Eberhardt, L.; Birgisdottir, H.; Birkved, M. Dynamic Benchmarking of Building Strategies for a Circular Economy. IOP Conf. Ser. Earth Environ. Sci. 2019, 323, 012027. [Google Scholar] [CrossRef]
- Núñez-Cacho, P.; Górecki, J.; Molina-Moreno, V.; Corpas-Iglesias, F.A. What Gets Measured, Gets Done: Development of a Circular Economy Measurement Scale for Building Industry. Sustainability 2018, 10, 2340. [Google Scholar] [CrossRef]
Publisher’s Note: MDPI stays neutral with regard to jurisdictional claims in published maps and institutional affiliations. |
© 2020 by the authors. Licensee MDPI, Basel, Switzerland. This article is an open access article distributed under the terms and conditions of the Creative Commons Attribution (CC BY) license (http://creativecommons.org/licenses/by/4.0/).



