Abstract
Soil nitrous oxide (N2O) emissions are influenced by land use adjustment and management practices. To meet the increasing socioeconomic development and sustainable demands for food supply, forestland conversion to cropland occurs around the world. However, the effects of forestland conversion to cropland as well as of tillage and fertilization practices on soil N2O emissions are still not well understood, especially in subtropical regions. Therefore, field experiments were carried out to continuously monitor soil N2O emissions after the conversion of forestland to cropland in a subtropical region in Southwest China. One forestland site and four cropland sites were selected: forestland (CK), short-term croplands (tillage with and without fertilization, NC-TF and NC-T), and long-term croplands (tillage with and without fertilization, LC-TF and LC-T). The annual cumulative N2O flux was 0.21 kg N ha−1 yr−1 in forestland. After forestland conversion to cropland, the annual cumulative N2O flux significantly increased by 76–491%. In the short-term and long-term croplands, tillage with fertilization induced cumulative soil N2O emissions that were 94% and 235% higher than those from tillage without fertilization. Fertilization contributed 63% and 84% to increased N2O emissions in the short-term and long-term croplands, respectively. A stepwise regression analysis showed that soil N2O emissions from croplands were mainly influenced by soil NO3− and NH4+ availability and WFPS (water-filled pore space). Fertilization led to higher soil NH4+ and NO3− concentrations, which thus resulted in larger N2O fluxes. Thus, to reduce soil N2O emissions and promote the sustainable development of the eco-environment, we recommend limiting the conversion of forestland to cropland, and meanwhile intensifying the shift from grain to green or applying advanced agricultural management practices as much as possible.
1. Introduction
Nitrous oxide (N2O) has been recognized as an important non-CO2 greenhouse gas, with 298 times greater global warming potential than that of CO2 based on a 100-year time horizon [1]. In the past 150 years, atmospheric N2O concentrations have greatly increased from 270 to 324 ppb [1], and the terrestrial biosphere is still a net source of atmospheric N2O [2]. Agricultural soils are the largest N2O source, contributing about 60% of global anthropogenic N2O emissions [1,3]. To guarantee a secure food supply for global human population growth, agriculture intensification might cause more N2O emission increases in the future [4,5]. Soil N2O is mainly produced by microbial nitrification and denitrification [6,7], and strongly affected by substrate availability (e.g., NH4+ and NO3− concentrations) and environmental conditions (e.g., temperature and moisture) [6,8,9,10,11].
Many previous studies have proven that N2O emissions are greatly impacted by different land uses and management strategies [12,13]. In particular, the adjustment of land use is viewed as a crucial anthropogenic N2O emission source via its significant influences on N substrates and environmental conditions [1,9,12,13]. The existing studies focusing on the effects of land use change on N2O emissions mainly address rice paddy conversion to vegetable fields or citrus orchards [3,9,14], forest conversion to tea plantations [11,15], forest conversion to pasture or cropland [12], and cropland conversion to forestland [16,17]. Forestland converting to agricultural land has generally led to significant N2O emissions owing to deforestation and management practices (e.g., fertilizer application and tillage) [11,12,13,18]. In response to increasing socioeconomic development and demands for food, the specific land use change of forestland to cropland still occurs often around the world [11,12]. Although there have been a few N2O flux measurements since this type of conversion was published [12], the influence of forest conversion to cropland on N2O fluxes and their driving mechanisms are still not fully understood in many regions.
Tillage and fertilization are the most important management practices after the conversion of forestland to cropland; they significantly affect soil properties as well as soil carbon (C) and nitrogen (N) availability and ultimately regulate the production and emission of N2O [9,10,11,19,20]. However, tillage and fertilization have different driving mechanisms that affect N2O emissions. Tillage can influence the soil’s physical structure (e.g., aggregation, bulk density and aeration), moisture, temperature, and C and N availability [19,21], which likely influence the microbial community and activity and thus N2O emissions [9,22]. Grandy and Robertson reported that in initial cultivation, tillage practices significantly disturbed the soil structure and released large amounts of organic C and N from macroaggregates, thus accelerating the soil N2O fluxes [18]. Fertilization has been widely understood to significantly increase N2O emissions, mainly through supplying more inorganic N concentrations and sufficient substrates (NH4+ and NO3−) for nitrification and denitrification [8,11,23,24,25]. Bouwman et al. analyzed 139 N2O studies from agricultural regions and found that N2O emissions generally increase with N application rates, especially above the application rates of 100 kg N ha−1 [26]. Recently, Chen et al. reported that forest conversion to tea fields significantly triggered substantial N2O emissions in the first year due to a high basal fertilizer input and intense tillage [11]. Previous studies have made great progress in explaining how tillage and fertilization practices drive N2O emissions in agricultural lands [10,19,24,26]. More studies are still needed to quantify the relative contributions of tillage and fertilization to increased N2O emissions when specifically converting forestland to cropland, which would be helpful for developing suggestions on how to reduce N2O emissions in the transformed croplands.
The Sichuan Basin is the largest agricultural region in Southwest China, accounting for 7% of the total cropland and supplying 10% of the total agricultural products of China [27]. In recent years, many studies have paid attention to the N2O fluxes from agricultural soils and obtained some significant observations in the Sichuan Basin [24,25,28,29]. However, previous studies mainly focused on the influence of fertilizer application (e.g., type and rate), which has resulted in agricultural lands having more N2O emissions compared to other land uses. Driven by afforestation policies and increasing food demand, land use conversion between forestland and cropland often occurs in this region. A recent study investigated the effects of afforestation on soil N2O emissions and found that afforestation significantly decreased N2O fluxes compared to those in cropland [17]. However, the effect of forestland conversion to cropland on soil N2O emissions and its underlying mechanisms are still uncertain in this region. Understanding the effects of tillage and fertilization practices on soil N2O emissions after forestland conversion to cropland will be beneficial for evaluating the environmental impacts of land use change on soil N2O emissions in the Sichuan Basin, and thus for suggesting appropriate technological approaches to mitigate these effects.
In this study, we measured N2O emissions and environmental variables from forest soils (as control), new croplands converted from forest (tillage with and without fertilization), and long-term croplands (tillage with and without fertilization) in the Sichuan Basin of Southwest China. The specific aims were (1) to quantify the influences of tillage and fertilization on soil N2O emissions after land use conversion of forestland to cropland, (2) to evaluate the short-term and long-term land use change impacts on soil N2O emissions, and (3) to identify the potential mechanisms driving the increased soil N2O emissions induced by tillage and fertilization after land use conversion.
2. Materials and Methods
2.1. Study Area
This study was carried out at the Yanting Agro-Ecological Station of Purple Soil of the Chinese Academy of Sciences (31°16′ N, 105°27′ E), located in the central Sichuan Basin of Southwest China with an altitude of 400 to 600 m [27]. It exhibits a moderate subtropical monsoon climate, with a mean annual precipitation and temperature of 836 mm and 17.3 °C (30-year mean). The widely distributed soil in the study region is called purple soil locally and is classified by the FAO soil classification as a Eutric Regosol and as a Pup-Orthic Entisol by the Chinese soil taxonomy [27]. The study area is an intensive agricultural production region in China. The sloping croplands have relatively thin soil thicknesses of 30–80 cm and slopes of 3–15%, and wheat (Triticum aestivum L.)-maize (Zea mays L.) rotation is the main cropping pattern in this region [17].
2.2. Experimental Design
The selected forestland is dominated by Cupressus funebris with a mean diameter of 13.2 cm at breast height, a mean height of 16 m, and a density of 1595 stems ha−1 [30]. In late July 2016, a portion of the forestland was cleared of trees and roots and then converted to cropland. To assess the short-term effects of management practices on soil N2O emissions, the newly converted croplands were cultivated from November 2016. In new croplands, two treatments of tillage—without fertilization (NC-T) and with fertilization (NC-TF)—were established with three replicates in a randomized block design (size 3 m × 3 m). The long-term croplands (tillage without fertilization, LC-T, and tillage with fertilization, LC-TF), which were adjacent to the newly converted croplands, were also established with three replicates in a randomized block design (size 4 m × 6 m). The long-term croplands converted from forestland have been cultivated since 2003. Moreover, the selected forestland was used as the control (CK) and had three replicate plots (size 3 m × 3 m). All the treatments had the same soil type (Regosols) and slope (5%).
Following the local cropping regimes, croplands were conventionally cultivated under a wheat-maize rotation system (winter wheat from November to May rotating with summer maize from June to October). Tillage practice involved conventional tillage with harrowing (approximately 20 cm deep) twice a year before sowing. The mineral N fertilization (urea) rates were 130 kg N ha−1 and 150 kg N ha−1 for wheat and maize with fertilization treatments, respectively [23]. All the fertilizers were manually applied and incorporated into the topsoil (0–20 cm) together with harrowing. Then, wheat and maize seeds were directly drilled into the soil. No irrigation was applied during the growth of either wheat or maize.
2.3. Measurements of N2O Emissions
Soil N2O emissions were continuously monitored using the static chamber-gas chromatography technique as described by Zhou et al. [5] and Zheng et al. [31] from November 2016 to October 2017 (a whole wheat-maize rotation season). Briefly, prior to the measurements, stainless-steel base collars with a uniform area of 0.25 m2 were inserted into topsoil (10 cm in depth) and kept in place throughout the whole measurement period. The equipped chambers, with a circulating fan and an adjustable height according to the crop growth, can guarantee the chamber headspace uniformly mixed and minimize temperature changes when conducting the measurements. After tillage or fertilization practices, soil N2O emissions were continuously observed for 7 days, and then were measured every other day of the following week. For the remaining experimental period, the measurements were conducted twice a week. For each measurement, five gas samples were collected using 50-mL volume plastic syringes after the chamber closure. Considering the low N2O flux in the forest, the sampling intervals were 7 min in the cropland treatments (0, 7, 14, 21 and 28 min) and 15 min in the forest treatment (0, 15, 30, 45 and 60 min). The measurements were uniformly performed between 9:00 and 10:00 am local time to calculate a daily average N2O flux. To minimize the enclosure effects of the chambers on plant growth and environmental conditions, they were immediately removed after gas sampling.
Immediately after sampling at each site, the collected gas samples were analyzed to obtain N2O concentrations using a gas chromatograph (Agilent-7890A; Agilent Technologies, Palo Alto, CA, USA) rigged with an electron capture detector (ECD) at the research station. The soil N2O fluxes were determined by the linear or nonlinear relationships between the gas concentration and the chamber closure time, as described in detail by Wang et al. [32]. Seasonal and annual cumulative N2O fluxes were calculated by linear interpolation of the daily fluxes between the gas sampling dates [25]. Yield-scaled N2O emissions (kg N Mg−1 grain) were calculated using annual cumulative N2O emissions (kg N ha−1) divided by the mean grain yield (Mg grain ha−1) [10].
2.4. Crop Yield Measurements
For each cropland plot, three quadrats, 0.5 × 0.5 m2 for wheat and 1 × 1 m2 for maize, were randomly selected to measure crop yields. After the crop harvesting, the grains were collected separately and then oven dried at 70 °C for 48 h to constant weight to calculate the grain yield (Mg ha−1).
2.5. Auxiliary Measurements of Soil Parameters
Throughout the experimental period, soil moisture, temperature, inorganic N (NO3− and NH4+), and dissolved organic C (DOC) concentrations were simultaneously measured for all the plots when gas samples were collected. The measurement procedures strictly followed the previous study of Zhou et al. [17]. For each plot, the topsoil moisture and temperature (5 cm in depth) were measured by a portable frequency domain reflector probe (RDS Technology Co. Ltd., Nanjing, Jiangsu, China) and a manual thermocouple thermometer (JM624, Tianjin Jinming Instrument Co. Ltd., Tianjin, China) with three replicates, respectively. Then the water-filled pore space (WFPS) was calculated based on the measured soil volumetric water content, bulk density and particle density (2.65 g cm−3). At each plot, three soil cores (0–20 cm) were also randomly collected and completely mixed into one bulk sample. Then a 20 g fresh soil sample and 100 mL of 0.5 M K2SO4 were used to extract soil NH4+, NO3−, and DOC, and an AA3 continuous flow analyzer (Bran + Lubbe, Norderstedt, Germany) was employed to colorimetrically analyze the filtered extracts. During the entire experiment period, the daily rainfall and mean air temperature were automatically observed using a meteorological station.
After the maize season, for each plot, topsoil samples (0–20 cm) were also collected to measure soil properties (soil pH, total N content [TN], soil organic carbon content [SOC], soil bulk density [BD], soil particle composition), following soil agro-chemical analysis procedures [33]. In detail, soil pH was measured in a 1:2.5 (soil-to-water [w/v]) water suspension using a DMP-2 mV/pH detector (Quark Ltd., Nanjing, China). SOC content was determined by wet digestion with H2SO4–K2Cr2O7, and TN content was determined by semi-micro Kjeldahl digestion using Se, CuSO4 and K2SO4 as catalysts. Soil BD was determined by the volumetric ring method. The pipette method was used to determine soil texture. Furthermore, soil aggregates were measured according to the methods reported by Six et al. [34], in which soils were separated into four aggregate size classes (<0.053, 0.053–0.25, 0.25–2, and >2 mm) by wet sieving, and the aggregate stability was quantified by the mean weight diameter (MWD) [35].
2.6. Contribution Rates of Tillage and Fertilization to Increased Soil N2O Emissions
To quantify the effects of tillage and fertilization on increasing soil N2O emissions after land use conversion, the contribution rates of tillage and fertilization to increased soil N2O emissions were calculated as follows.
where CRtillage and CRfertilization are the relative contributions of tillage and fertilization to increased soil N2O emissions (%), respectively. NE0, NET, and NETF are the measured soil N2O emissions from the baseline forestland (CK) and the tillage without fertilization (NC-T and LC-T) and with fertilization (NC-TF and LC-TF) treatments, respectively.
2.7. Statistical Analysis
The differences in soil N2O fluxes and soil environmental factors (i.e., soil moisture and temperature, NO3−, NH4+ and DOC concentrations) between the different treatments were detected using one-way ANOVA analysis, followed by Duncan’s range test (p < 0.05). The potential relationships between soil N2O fluxes and environmental factors were evaluated using Pearson’s correlation analysis. However, before the correlation analysis, the soil N2O fluxes and environmental factors were primarily normalized by the ranked cases approach due to the original datasets not being normally distributed [17]. Moreover, multiple stepwise regression analysis was conducted to identify the key factors controlling soil N2O emissions from croplands after land use conversion. All statistical analyses were performed using the SPSS 20.0 software (SPSS Inc., Chicago, IL, USA) and OriginPro 2015 software (OriginLab Corp., Northampton, MA, USA).
3. Results
3.1. Environmental Conditions and Soil Properties
During the whole experimental period, the total precipitation was 639.6 mm, and 67% occurred in the summer maize season (from June to October) (Figure 1). The daily mean air temperature changed from 4 to 31.2 °C with a mean of 16.9 °C.
Figure 1.
Air temperature and precipitation from November 2016 to October 2017.
Forestland conversion to cropland significantly influenced soil WFPS but not soil temperature at 5 cm depth (Figure 2). The WFPS values in the cropland sites (average 41.9%, 42.3%, 47.3% and 47.6% for NC-T, NC-TF, LC-T and LC-TF, respectively) were significantly lower than that in the forestland (average 52.6%) (p < 0.05).
Figure 2.
Temporal variations in soil temperature (a) and WFPS (b) at 5 cm depth. Abbreviations: WFPS, water-filled pore space; CK, control forestland; NC-TF and NC-T, newly converted cropland under tillage with and without fertilization, respectively; LC-TF and LC-T, long-term cropland under tillage with and without fertilization, respectively.
Compared to forestland, tillage in the croplands significantly decreased the average soil NH4+ concentration (average 1.79 and 1.52 mg N kg−1 for NC-T and LC-T, respectively) but significantly increased the average soil NO3− concentration (average 7.23 and 5.54 mg N kg−1 for NC-T and LC-T, respectively) (p < 0.05; Figure 3a,b). However, tillage with fertilization not only significantly increased the average soil NH4+ concentration (average 16.15 and 12.55 mg N kg−1 for NC-TF and LC-TF, respectively) but also significantly increased the average soil NO3− concentration (average 27.74 and 31.10 mg N kg−1 for NC-TF and LC-TF, respectively) compared to forestland (p < 0.05; Figure 3a,b). Following mineral N fertilizer application, the soil NH4+ concentration in the NC-TF and LC-TF treatments quickly reached peaks of 203.14 and 146.16 mg N kg−1 in the wheat season and 23.51 and 27.64 mg N kg−1 in the maize season (Figure 3a), while the soil NO3− concentration in the NC-TF and LC-TF treatments quickly reached peaks of 165.80 and 154.45 mg N kg−1 in the wheat season and 55.19 and 45.70 mg N kg−1 in the maize season (Figure 3b).
Figure 3.
Temporal variations in soil NH4+ (a), NO3− (b) and DOC (c) concentrations. Vertical bars represent standard errors. Abbreviations: CK, control forestland; NC-TF and NC-T, newly converted cropland under tillage with and without fertilization, respectively; LC-TF and LC-T, long-term cropland under tillage with and without fertilization, respectively.
The soil DOC concentration significantly decreased after the conversion of forestland to cropland (p < 0.05, Figure 3c). In particular, long-term cultivation resulted in much lower soil DOC concentration (mean 51.30 and 50.54 mg C kg−1 for LC-T and LC-TF) than that in the short-term croplands (mean 66.37 and 68.30 mg C kg−1 for NC-T and NC-TF) (p < 0.05).
Compared to forestland, land use conversion significantly decreased soil SOC, TN, C/N ratio, and bulk density (p < 0.05, Table 1). Moreover, compared to the newly converted croplands, the long-term croplands had significantly lower SOC and TN contents and C/N ratio but a higher bulk density (p < 0.05, Table 1). Conversion did not induce significant changes in soil texture in the short term; however, long-term conversion increased the clay and silt contents and decreased the sand content (p < 0.05, Table 1). Furthermore, forestland conversion to cropland significantly decreased the proportion of soil macroaggregates (0.25–2 mm and 2–8 mm) and the mean weight diameter (MWD) (p < 0.05, Table 2).
Table 1.
Topsoil properties (mean ± SE) determined after maize harvest.
Table 2.
Aggregate size distribution and mean weight diameter (MWD) (mean ± SE) determined after maize harvest.
3.2. Soil N2O Emissions
Distinct temporal variations in N2O fluxes were observed in both forestland and cropland (Figure 4a). During the summer season, the N2O fluxes were higher than those during the other seasons. Compared to forestland, the N2O fluxes showed much greater temporal variations in the croplands. In the initial period of the wheat and maize season, tillage and fertilization practices induced pulse emissions of N2O that lasted several weeks and then decreased to base levels. For the croplands with only tillage, the peak N2O fluxes were 8.72 and 8.40 μg N m−2 h−1 in the winter wheat season and 43.58 and 33.10 μg N m−2 h−1 in the summer maize season for the NC-T and LC-T treatments, respectively. For the croplands with tillage and fertilization, the peak N2O fluxes were 21.56 and 56.99 μg N m−2 h−1 in the winter wheat season and 185.61 and 152.00 μg N m−2 h−1 in the summer maize season for the NC-TF and LC-TF treatments, respectively. This result indicates that fertilization could induce much higher N2O pulse emissions than tillage after land use conversion from forestland to cropland.
Figure 4.
Temporal variations in soil N2O emissions (a) and cumulative N2O fluxes (b). Vertical bars represent standard errors. Abbreviations: CK, control forestland; NC-TF and NC-T, newly converted cropland under tillage with and without fertilization, respectively; LC-TF and LC-T, long-term cropland under tillage with and without fertilization, respectively.
The N2O fluxes from forestland changed from 0.80 to 7.70 μg N m−2 h−1 over the whole experimental period, with a mean of 2.70 μg N m−2 h−1 (Figure 4a). For the croplands, the mean N2O fluxes were 6.49 and 12.44 μg N m−2 h−1 for NC-T and NC-TF, and 5.76 and 21.59 μg N m−2 h−1 for LC-T and LC-TF, respectively. Forestland conversion to cropland significantly increased the mean N2O fluxes (p < 0.05). Moreover, the average N2O fluxes were significantly greater from tillage with fertilization treatments than those from tillage without fertilization treatments (p < 0.05). This result shows again that tillage with fertilization had a much greater effect on increasing N2O emissions than tillage alone after land use conversion.
The annual cumulative N2O emissions significantly increased after forestland conversion to cropland (p < 0.05, Table 3 and Figure 4b). Compared to forestland, the annual cumulative N2O emissions increased by 124% and 334% in the short-term croplands (NC-T and NC-TF) and by 76% and 491% in the long-term croplands (LC-T and LC-TF), respectively. Moreover, tillage with fertilization (NC-TF and LC-TF) significantly increased cumulative soil N2O emissions by 94% and 235%, compared to those from tillage without fertilization (NC-T and LC-T), respectively (p < 0.05, Table 3). Compared to the short-term conversion (NC-T and NC-TF), long-term tillage (LC-T) significantly decreased cumulative soil N2O emissions by 21%, while long-term tillage with fertilization (LC-TF) greatly increased cumulative soil N2O emissions by 36% (p < 0.05, Table 3).
Table 3.
Cumulative N2O emissions, grain yield, and yield-scaled N2O emissions (mean ± SE).
Yield-scaled N2O emissions from the short-term converted croplands (NC-T and NC-TF) were significantly higher than those from the long-term converted croplands (LC-T and LC-TF) (p < 0.05, Table 3). After long-term plantation, the yield-scaled N2O emissions under tillage with fertilization treatment (LC-TF) were significantly greater than that from only tillage practice (LC-T) (p < 0.05, Table 3).
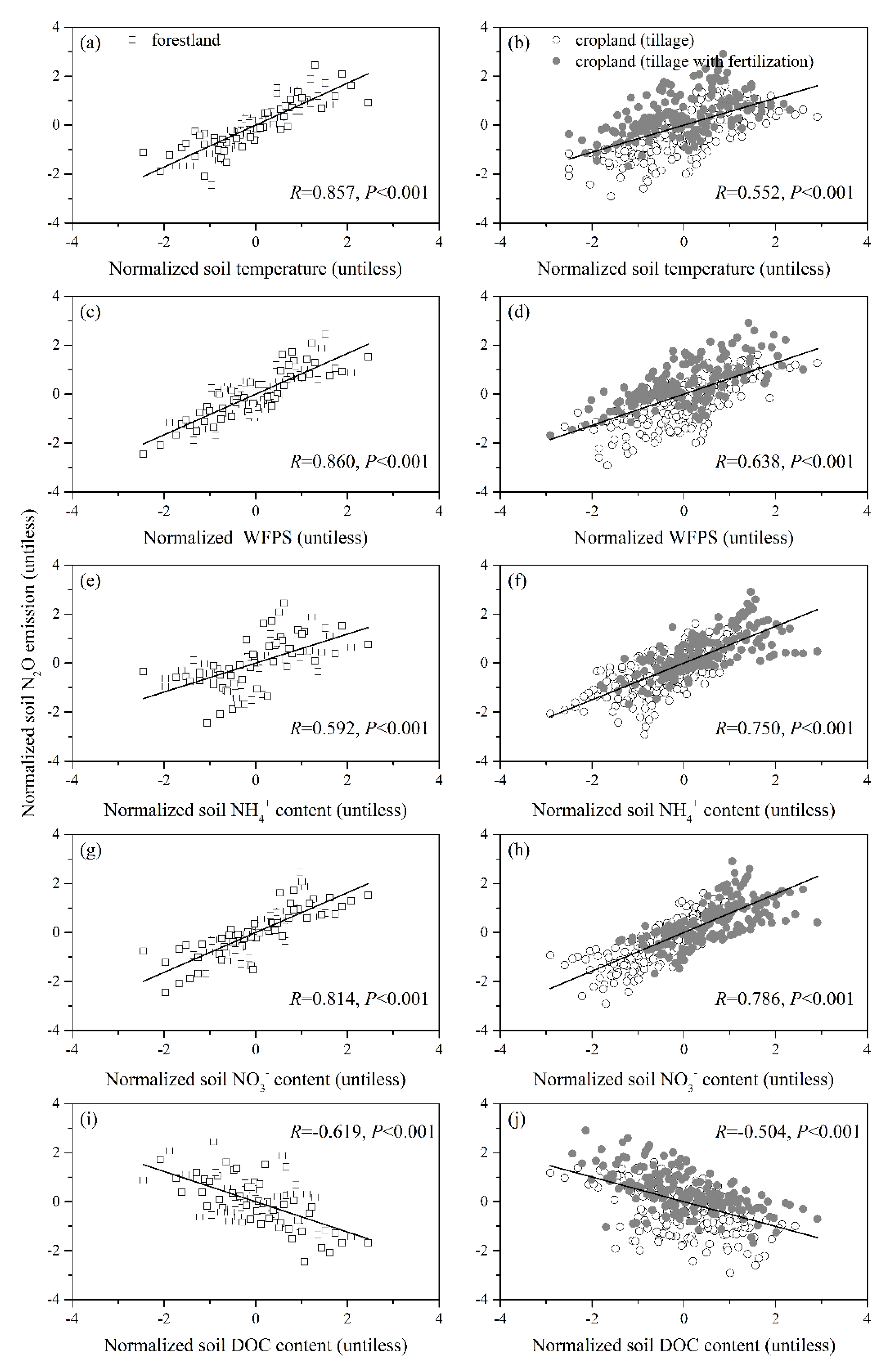
3.3. Relationships between N2O Fluxes and Soil Environmental Variables
The correlations between N2O fluxes and soil environmental variables are presented in Figure 5. The soil N2O fluxes were significantly positively related to soil temperature, WFPS, NH4+ and NO3− concentrations but significantly negatively related to DOC concentration for both forestland and cropland (p < 0.05). The further stepwise regression analysis indicated that variations in N2O fluxes from forestland were mainly regulated by soil WFPS and temperature (82%) (Table 4). However, after land use conversion, soil NO3− and NH4+ availability and soil WFPS were the main factors influencing soil N2O emissions from croplands with only tillage, which explained 78% and 90% of the variations in N2O fluxes from the NC-T and LC-T treatments, respectively (Table 4). For the short-term tillage with fertilization treatment (NC-TF), soil DOC and NH4+ availability and soil WFPS explained 74% of the variation in N2O fluxes (Table 4). While for the long-term tillage with fertilization treatment (LC-TF), N2O emissions were mainly regulated by soil NH4+ and NO3− availability and WFPS, which explained 81% of the variation in N2O fluxes (Table 4).
Figure 5.
The correlations between soil N2O emissions and soil temperature (a,b), soil WFPS (c,d), soil NH4+ (e,f), NO3− (g,h) and DOC (i,j) concentrations for forestland (n = 87) and cropland (n = 348).
Table 4.
Stepwise multiple linear regressions between the soil N2O emissions and environmental factors.
4. Discussion
4.1. Effects of Land Use Conversion on Soil N2O Emissions and Yield-Scaled N2O Emissions
In this study, the annual cumulative N2O flux from the forest was 0.21 kg N ha−1 yr−1, which was significantly lower than the average annual N2O flux of the global forest (1.429 kg N ha−1 yr−1) [36]. Land use conversion from forestland to cropland significantly increased the annual cumulative N2O emissions by 76–491% in this study (Table 3). van Lent et al. reviewed the literature and reported that land use conversion from forest to cropland greatly increased the annual cumulative N2O emissions by 330% on average in the tropics and subtropics [13]. These results confirmed that land use change has a profound impact on soil N2O fluxes [9,11,12,13,14], specifically conversion of forestland to cropland. Some studies have proved that tillage and fertilization are the most important management practices increasing soil N2O emissions after land use conversion from forestland to cropland [11,19]. Tillage practices could significantly increase soil aeration conditions. On the one hand, good soil aeration condition enhanced soil organic matter mineralization [34], and subsequent nitrification [3], inducing higher N2O production. On the other hand, good soil aeration condition accelerated the gas exchange between soil and atmosphere, which could promote the diffusivity of N2O from soil into atmosphere [3,14]. Application of mineral N fertilizer could directly increase soil inorganic N concentrations (Figure 3), providing substrates for the two main N2O production processes of nitrification and denitrification [8,9,28]. In this study, the N2O flux from the croplands all showed pulse emissions following tillage and N fertilization events (Figure 4a), thus resulted in much greater cumulative N2O emissions compared to the forestland (Table 3).
Previous studies regarding the effects of forestland conversion to cropland on soil N2O emissions mainly focused on long-term cultivation croplands [12], but few studies have measured N2O emissions from recently transitioned croplands. Our study indicated that forestland conversion to cropland in the first year significantly increased annual cumulative N2O emissions by 124% and 334% (Table 3). Comparably, after two years of conversion of tropical forest to agriculture in French Guiana, the annual cumulative N2O emissions from fertilized croplands increased by 90% [12]. Obviously, the increased extent of N2O emissions in our study was higher than that in the study by Petitjean et al. [12]. This difference might be attributed to the differences in climate, soil properties and amount of N fertilizer [26]. It is remarkable that the high N2O emissions in the initial stage after land use conversion should not be ignored.
In agricultural systems, yield-scaled N2O emissions were widely used as a metric of the important global challenge for guaranteeing food security and reducing N2O emissions [37,38]. In our study, the yield-scaled N2O emissions were 0.16 and 0.19 kg N Mg−1 grain in croplands after long-term cultivation (Table 3), which were similar to the results reported by Bayer et al. [20] and Tang et al. [39] in other subtropical regions. However, the yield-scaled N2O emissions in the new croplands were 21% and 106% higher than that in the long-term converted croplands (Table 3). These results further highlighted the importance of monitoring N2O emissions at the initial stage after land use conversion [3,11]. In the newly converted croplands, the lower crop yields mean a lower uptake of available N by plant, leaving more available N for nitrification and denitrification processes, which promoted the production of N2O. After long-term cultivation, the capacity of plant N uptake was enhanced, inducing a relative lower ratio of available N for N2O production [10,40]. Furthermore, after long-term cultivation in the present study, the increase extent of crop yield was 64% and 66% compared to the new croplands, which were significantly higher than the increase extent of N2O emissions (−21% and 37%), inducing significant decreases of the yield-scaled N2O emissions. Tillage with fertilization practices resulted in yield-scaled N2O emissions 19% higher than only tillage practice in the long-term converted croplands (Table 3). It is obvious that fertilization has induced a much higher increase extent of N2O emissions than that of crop yield. Previous studies showed that the N fertilizer application rate was one of the key factors influencing soil N2O production [26]. Meanwhile, N fertilizer application rate also had considerable impacts on crop yield [41]. Therefore, it is very important to determine a reasonable rate of N fertilizer application in the Sichuan Basin after forestland conversion to cropland, which can simultaneously achieve high yield and mitigate soil N2O emission. In addition, the N fertilizer type (e.g., mineral, organic, or mix of mineral and organic), application time and proportion (e.g., all as base fertilizer, or part as base and other as topdressing), as well as application depth (surface or deep) would also influence N fertilizer efficiency and N2O emission [41].
Overall, land use conversion from forestland to cropland and subsequent tillage and fertilization practices significantly increased the cumulative soil N2O emissions. In particular, the yield-scaled N2O emissions were significantly higher in the newly converted croplands than in the long-term converted croplands. These results further indicate that the effect of land use conversion on soil N2O emissions should not be ignored in the initial years after conversion. Therefore, we strongly recommend limiting the conversion of forestland to cropland as much as possible.
4.2. Factors Regulating the Increased Soil N2O Emissions Induced by Tillage and Fertilization
In this study, tillage in the croplands increased the cumulative N2O emissions by 124% and 76% compared to those from forestland in the short-term and long-term after conversion, respectively (Table 3). This result indicates that tillage could induce significant increases in soil N2O emissions after land use conversion. The statistical analyses showed that tillage significantly decreased the soil bulk density (Table 1), and thus increased soil porosity, while also decreasing the proportion of soil water-stable macroaggregates and MWD by 49% and 61% on average compared to those in forestland (Table 2). The breakage of soil macroaggregates releases more soil organic matter and increases N availability [18,21,34]. This phenomenon was observed through the decrease in the average SOC and TN contents by 49% and 34%, respectively, in croplands under only tillage compared to the contents in forestland (Table 1). Tillage physically disturbs the soil structure and increases soil aeration [34,42], and therefore enhances soil organic N mineralization and microbial activities [3,11,19]. In this study, cropland tillage induced small NH4+ peaks in the initial period of each cropping season that lasted for approximately three weeks (Figure 3a), thus likely increasing the NH4+ to NO3− transformation rate. This possibility was further supported by the higher NO3− concentrations in the tillage treatments compared to those in the forestland (Figure 3b). The increase in soil NO3− would further enhance the denitrification rate [17,23]. Consequently, tillage in the croplands increased soil aeration and promoted soil organic N mineralization, thus inducing N2O pulse emissions that did not occur in the forestland and accounted for approximately 52% of the annual cumulative N2O flux during the experimental period (Figure 4).
Tillage with fertilization significantly increased the cumulative soil N2O emissions by 94% and 235% compared to tillage without fertilization in this study (Table 3). In another subtropical region of China, a previous study found that soil N2O emissions were 405% higher on average in a conventional fertilizer treatment than in a tillage alone treatment after land use conversion [11]. In the current study, tillage with fertilization induced much higher N2O pulse emissions, mainly due to the rapid increases in soil NH4+ and NO3− concentrations after mineral N fertilizer application to the croplands (Figure 3a,b). The high NH4+ and NO3− concentrations following fertilization directly provide sufficient substrates for nitrification and denitrification and thus significantly stimulate soil N2O emissions [8,11,20,23]. This phenomenon has been reported in many previous studies on different croplands [5,10,43]. On average, pulse N2O emissions following fertilization accounted for 67% of the annual cumulative N2O fluxes (Figure 4). Previous study reported that N2O emission pulses following N fertilization contributed to approximately 70% of the annual cumulative N2O fluxes from croplands in the same study area [17].
In the newly converted cropland, 37% and 63% of the increased soil N2O emissions could be attributed to tillage and fertilization, respectively, while in the long-term cropland, the corresponding rates were 16% and 84%. This result indicates that fertilization had a much greater effect on increasing soil N2O emissions than tillage after forestland conversion to cropland in the Sichuan Basin, and the effect tended to be larger several years after conversion. Long-term repeated tillage significantly reduced soil structural stability and decreased organic matter (Table 1 and Table 2), resulting in a lower rate of soil organic N mineralization [18,19,20,22]. Long-term mineral N fertilization stimulated the activity and abundance of soil ammonia-oxidizing bacteria in the study area [8], which could promote nitrification and subsequent denitrification [23].
The stepwise regression analysis results indicated that soil WFPS and temperature could explain 82% of the variations in N2O fluxes from forestland (Table 4). Soil temperature and moisture are important factors that influence soil N2O emissions by affecting microbial activities [8,23,44]. The low soil moisture and temperature during the winter wheat season (Figure 2) generally inhibited microbial activities, resulting in low N2O emissions [3,11]. However, the stepwise regression analysis showed that soil N2O emissions from the croplands were mainly influenced by soil NO3− and NH4+ availability and WFPS, which explained 78–90% of the variations in N2O fluxes (Table 4). This result implies that after the conversion of forestland to cropland, the primary factors regulating soil N2O emissions were soil NO3− and NH4+ availability. In the present study, we found the N2O emissions significantly correlated to soil NH4+ and NO3− concentrations in the croplands (Figure 5f,h). The mean soil NH4+ and NO3− concentrations in the tillage with fertilization treatments were 7.7 and 3.7 times greater, on average, than those in the tillage without fertilization treatments. Therefore, after the conversion of forestland to cropland, fertilization only increased soil N2O emissions to a greater degree than tillage, which was mainly attributed to the higher soil inorganic N levels caused by fertilization.
Additionally, the soil DOC concentration significantly decreased after the conversion of forestland to cropland (Figure 3c). The lower level of soil DOC with higher N2O fluxes in the croplands compared to the forestland indicated the negative relationship between soil DOC concentration and N2O fluxes induced by land use conversion (Figure 5j). Several studies have shown that soil DOC is an important factor influencing N2O emissions [9,11,17,44]. The substantial soil DOC availability in the forestland may favor complete denitrification and thus decrease N2O fluxes [17]. Following land use conversion, the decrease in soil DOC concentration could enhance incomplete denitrification, thereby increasing N2O fluxes [44]. In the short-term after conversion, the combination of soil DOC and NH4+ availability and soil WFPS explained 74% of the variation in N2O fluxes from the tillage and fertilization treatment (Table 4).
Applying crop residues with a high C/N ratio (such as maize) combined with synthetic N fertilizer could be an optimal strategy for mitigating N2O emissions in the study area [28,29]. Moreover, in recent years, researchers have developed many new technological approaches to maintain the sustainable development of the agricultural ecosystem. For example, a new Biogeosystem Technique methodology reported by Kalinitchenko et al. [45,46] could improve soil aggregate structure, promote soil organic matter synthesis and reservation, and thus likely reduce greenhouse gas production. Therefore, after the conversion of forestland to cropland in the Sichuan Basin, to guarantee the sustainable food supply and ecosystem development, we also recommend application of mineral fertilizer and crop residues (such as maize), or the adoption of advanced management technologies as potential measures for conserving N in destroyed forest and mitigating N2O emissions in the transformed croplands.
5. Conclusions
This study found that the annual cumulative N2O flux was 0.21 kg N ha−1 yr−1 in the forestland, which significantly increased by 76–491% after land use conversion of forestland to cropland in the Sichuan Basin. In the short-term and long-term croplands, fertilization contributed 63% and 84%, while tillage contributed 37% and 16% to the increased soil N2O emissions, respectively. Fertilization exhibited a much greater effect on increasing soil N2O emissions than tillage after the conversion of forestland to cropland, and the effect tended to be stronger several years after conversion. After forestland conversion to cropland, the soil N2O emissions were mainly regulated by soil NO3− and NH4+ availability. The direct land use conversion without any scientific management practices significantly influenced soil properties and thus stimulated N2O emissions. Tillage disturbed soil structure, decreased bulk density and increased soil aeration in the croplands, thus enhancing soil organic N mineralization, while the application of mineral N fertilizer directly led to rapid increases in soil NH4+ and NO3−concentrations. Tillage and fertilization induced increases in the inorganic N concentration to different extents, which thus resulted in different magnitudes of N2O fluxes. This study primarily suggests limiting the conversion of forestland to cropland in the Sichuan Basin as much as possible. Moreover, we recommend intensifying the shift from grain to green on the premise of ensuring the supply of grain production, and also recommend the adoption of technological approaches to mitigate N2O emissions in both the destroyed forest and transformed croplands for the sustainable development of the ecosystem.
Author Contributions
Conceptualization, X.R. and B.Z.; data curation, X.R.; methodology, X.R., H.B., S.T.R., and B.Z.; writing—original draft, X.R.; writing—review and editing, X.R. and B.Z. All authors have read and agreed to the published version of the manuscript.
Funding
This research was funded by the National Key Research and Development Program of China (Grant No. 2017YFD0200105).
Acknowledgments
The members of the Yanting Agro-Ecological Station of Purple Soil of the Chinese Academy of Sciences are kindly thanked for providing weather data and technical help. The authors greatly appreciated the constructive comments from the reviewers, which greatly helped improve this manuscript.
Conflicts of Interest
The authors declare no conflict of interest.
References
- IPCC. Contribution of Working Group I to the Fifth Assessment Report of the Intergovernmental Panel on Climate Change. In Climate Change 2013: The Physical Science Basis; Stocker, T.F., Qin, D.H., Plattner, G.K., Tignor, M., Allen, S.K., Boschung, J., Nauels, A., Xia, Y., Bex, V., Midgley, P.M., Eds.; Cambridge University Press: Cambridge, UK, 2013; p. 1535. [Google Scholar]
- Tian, H.; Lu, C.; Ciais, P.; Michalak, A.M.; Canadell, J.G.; Saikawa, E.; Huntzinger, D.N.; Gurney, K.R.; Sitch, S.; Zhang, B.; et al. The terrestrial biosphere as a net source of greenhouse gases to the atmosphere. Nature 2016, 531, 225–228. [Google Scholar] [CrossRef] [PubMed]
- Wu, L.; Tang, S.; He, D.; Wu, X.; Shaaban, M.; Wang, M.; Zhao, J.; Khan, I.; Zheng, X.; Hu, R.; et al. Conversion from rice to vegetable production increases N2O emission via increased soil organic matter mineralization. Sci. Total Environ. 2017, 583, 190–201. [Google Scholar] [CrossRef] [PubMed]
- FAO. An FAO Perspective. In World Agriculture: Towards 2015/2030; FAO: Rome, Italy, 2003. [Google Scholar]
- Zhou, M.; Zhu, B.; Wang, S.; Zhu, X.; Vereecken, H.; Brüggemann, N. Stimulation of N2O emission by manure application to agricultural soils may largely offset carbon benefits: A global meta-analysis. Glob. Chang. Biol. 2017, 23, 4068–4083. [Google Scholar] [CrossRef] [PubMed]
- Bateman, E.J.; Baggs, E.M. Contributions of nitrification and denitrification to N2O emissions from soils at different water-filled pore space. Biol. Fert. Soil. 2005, 41, 379–388. [Google Scholar] [CrossRef]
- Müller, C.; Laughlin, R.J.; Spott, O.; Rütting, T. Quantification of N2O emission pathways via a 15N tracing model. Soil Biol. Biochem. 2014, 72, 44–54. [Google Scholar] [CrossRef]
- Dong, Z.; Zhu, B.; Hua, K.; Jiang, Y. Linkage of N2O emissions to the abundance of soil ammonia oxidizers and denitrifiers in purple soil under long-term fertilization. Soil Sci. Plant. Nutr. 2015, 61, 799–807. [Google Scholar] [CrossRef]
- Wu, X.; Liu, H.; Fu, B.; Wang, Q.; Xu, M.; Wang, H.; Yang, F.; Liu, G. Effects of land-use change and fertilization on N2O and NO fluxes, the abundance of nitrifying and denitrifying microbial communities in a hilly red soil region of southern China. Appl. Soil Ecol. 2017, 120, 111–120. [Google Scholar] [CrossRef]
- Campanha, M.M.; de Oliveira, A.D.; Marriel, I.E.; Neto, M.M.G.; Malaquias, J.V.; Landau, E.C.; de Albuquerque Filho, M.R.; Ribeiro, F.P.; de Carvalho, A.M. Effect of soil tillage and N fertilization on N2O mitigation in maize in the Brazilian Cerrado. Sci. Total Environ. 2019, 692, 1165–1174. [Google Scholar] [CrossRef]
- Chen, D.; Li, Y.; Wang, C.; Liu, X.; Wang, Y.; Shen, J.; Qin, J.; Wu, J. Dynamics and underlying mechanisms of N2O and NO emissions in response to a transient land-use conversion of Masson pine forest to tea field. Sci. Total Environ. 2019, 693, 133549. [Google Scholar] [CrossRef]
- Petitjean, C.; Hénault, C.; Perrin, A.S.; Pontet, C.; Metay, A.; Bernoux, M.; Jehanno, T.; Viard, A.; Roggy, J.C. Soil N2O emissions in French Guiana after the conversion of tropical forest to agriculture with the chop-and-mulch method. Agr. Ecosyst. Environ. 2015, 208, 64–74. [Google Scholar] [CrossRef]
- van Lent, J.; Hergoualc’h, K.; Verchot, L.V. Reviews and syntheses: Soil N2O and NO emissions from land use and land-use change in the tropics and subtropics: A meta-analysis. Biogeosciences 2015, 12, 7299–7313. [Google Scholar] [CrossRef]
- Liu, H.; Liu, G.; Li, Y.; Wu, X.; Liu, D.; Dai, X.; Xu, M.; Yang, F. Effects of land use conversion and fertilization on CH4 and N2O fluxes from typical hilly red soil. Environ. Sci. Pollut. Res. 2016, 23, 20269–20280. [Google Scholar] [CrossRef] [PubMed]
- Zhou, Z.; Liu, Y.; Zhu, Q.; Lai, X.; Liao, K. Comparing the variations and controlling factors of soil N2O emissions and NO3−-N leaching on tea and bamboo hillslopes. Catena 2020, 188, 104463. [Google Scholar] [CrossRef]
- Sosulski, T.; Szara, E.; Szymańska, M.; Stępień, W.; Rutkowska, B.; Szulc, W. Soil N2O emissions under conventional tillage conditions and from forest soil. Soil Till. Res. 2019, 190, 86–91. [Google Scholar] [CrossRef]
- Zhou, M.; Wang, X.; Ke, Y.; Zhu, B. Effects of afforestation on soil nitrous oxide emissions in a subtropical montane agricultural landscape: A 3-year field experiment. Agric. For. Meteorol. 2019, 266, 221–230. [Google Scholar] [CrossRef]
- Grandy, A.S.; Robertson, G.P. Initial cultivation of a temperate-region soil immediately accelerates aggregate turnover and CO2 and N2O fluxes. Glob. Chang. Biol. 2006, 12, 1507–1520. [Google Scholar] [CrossRef]
- Plaza-Bonilla, D.; Álvaro-Fuentes, J.; Arrúe, J.L.; Cantero-Martínez, C. Tillage and nitrogen fertilization effects on nitrous oxide yield-scaled emissions in a rainfed Mediterranean area. Agric. Ecosyst. Environ. 2014, 189, 43–52. [Google Scholar] [CrossRef]
- Bayer, C.; Gomes, J.; Zanatta, J.A.; Vieira, F.C.B.; de Cássia Piccolo, M.; Dieckow, J.; Six, J. Soil nitrous oxide emissions as affected by long-term tillage, cropping systems and nitrogen fertilization in Southern Brazil. Soil Till. Res. 2015, 146, 213–222. [Google Scholar] [CrossRef]
- Ayoubi, S.; Karchegani, P.M.; Mosaddeghi, M.R.; Honarjoo, N. Soil aggregation and organic carbon as affected by topography and land use change in western Iran. Soil Till. Res. 2012, 121, 18–26. [Google Scholar] [CrossRef]
- Badagliacca, G.; Benítez, E.; Amato, G.; Badalucco, L.; Giambalvo, D.; Laudicina, V.A.; Ruisi, P. Long-term effects of contrasting tillage on soil organic carbon, nitrous oxide and ammonia emissions in a Mediterranean Vertisol under different crop sequences. Sci. Total Environ. 2018, 619, 18–27. [Google Scholar] [CrossRef]
- Dong, Z.; Zhu, B.; Jiang, Y.; Tang, J.; Liu, W.; Hu, L. Seasonal N2O emissions respond differently to environmental and microbial factors after fertilization in wheat-maize agroecosystem. Nutr. Cycl. Agroecosys. 2018, 112, 215–229. [Google Scholar] [CrossRef]
- Zhou, M.; Zhu, B.; Butterbach-Bahl, K.; Zheng, X.; Wang, T.; Wang, Y. Nitrous oxide emissions and nitrate leaching from a rain-fed wheat-maize rotation in the Sichuan Basin, China. Plant. Soil 2013, 362, 149–159. [Google Scholar] [CrossRef]
- Zhou, M.; Wang, X.; Wang, Y.; Zhu, B. A three-year experiment of annual methane and nitrous oxide emissions from the subtropical permanently flooded rice paddy fields of China: Emission factor, temperature sensitivity and fertilizer nitrogen effect. Agric. For. Meteorol. 2018, 250, 299–307. [Google Scholar] [CrossRef]
- Bouwman, A.F.; Boumans, L.J.M.; Batjes, N.H. Emissions of N2O and NO from fertilized fields: Summary of available measurement data. Glob. Biogeochem. Cy. 2002, 16, 1058–1071. [Google Scholar] [CrossRef]
- Zhu, B.; Wang, T.; Kuang, F.; Luo, Z.; Tang, J.; Xu, T. Measurements of nitrate leaching from a hillslope cropland in the central Sichuan basin, China. Soil Sci. Soc. Am. J. 2009, 73, 1419–1426. [Google Scholar] [CrossRef]
- Dong, Z.; Zhu, B.; Zeng, Z. The influence of N-fertilization regimes on N2O emissions and denitrification in rain-fed cropland during the rainy season. Environ. Sci. Proc. Imp. 2014, 16, 2545–2553. [Google Scholar] [CrossRef]
- Zhou, M.; Zhu, B.; Brüggemann, N.; Bergmann, J.; Wang, Y.; Butterbach-Bahl, K. N2O and CH4 emissions, and NO3− leaching on a crop-yield basis from a subtropical rain-fed wheat-maize rotation in response to different types of nitrogen fertilizer. Ecosystems 2014, 17, 286–301. [Google Scholar] [CrossRef]
- Wang, X.; Zhou, M.; Li, T.; Ke, Y.; Zhu, B. Land use change effects on ecosystem carbon budget in the Sichuan Basin of Southwest China: Conversion of cropland to forest ecosystem. Sci. Total Environ. 2017, 609, 556–562. [Google Scholar] [CrossRef]
- Zheng, X.; Mei, B.; Wang, Y.; Xie, B.; Wang, Y.; Dong, H.; Xu, H.; Chen, G.; Cai, Z.; Yue, J.; et al. Quantification of N2O fluxes from soil–plant systems may be biased by the applied gas chromatograph methodology. Plant. Soil 2008, 311, 211–234. [Google Scholar] [CrossRef]
- Wang, K.; Zheng, X.; Pihlatie, M.; Vesala, T.; Liu, C.; Haapanala, S.; Mammarella, I.; Rannik, Ü.; Liu, H. Comparison between static chamber and tunable diode laser-based eddy covariance techniques for measuring nitrous oxide fluxes from a cotton field. Agric. For. Meteorol. 2013, 171, 9–19. [Google Scholar] [CrossRef]
- Lu, R. Soil Agro-Chemical Analyses; Agricultural Technical Press of China: Beijing, China, 2000. (In Chinese) [Google Scholar]
- Six, J.; Paustian, K.; Elliott, E.T.; Combrink, C. Soil structure and organic matter I. Distribution of aggregate-size classes and aggregate-associated carbon. Soil Sci. Soc. Am. J. 2000, 64, 681–689. [Google Scholar]
- Whalen, J.K.; Hu, Q.; Liu, A. Compost applications increase water-stable aggregates in conventional and no-tillage systems. Soil Sci. Soc. Am. J. 2003, 67, 1842–1847. [Google Scholar]
- Zhang, K.; Wu, H.; Li, M.; Yan, Z.; Li, Z.; Wang, J.; Zhang, X.; Yan, L.; Kang, X. Magnitude and Edaphic Controls of Nitrous Oxide Fluxes in Natural Forests at Different Scales. Forests 2020, 11, 251. [Google Scholar]
- van Groenigen, J.W.; Velthof, G.L.; Oenema, O.; van Groenigen, K.J.; van Kessel, C. Towards an agronomic assessment of N2O emissions: A case study for arable crops. Eur. J. Soil Sci. 2010, 61, 903–913. [Google Scholar]
- Grassini, P.; Cassman, K.G. High-yield maize with large net energy yield and small global warming intensity. Proc. Natl. Acad. Sci. USA 2012, 109, 1074–1079. [Google Scholar]
- Tang, Y.; Yu, L.; Guan, A.; Zhou, X.; Wang, Z.; Gou, Y.; Wang, J. Soil mineral nitrogen and yield-scaled soil N2O emissions lowered by reducing nitrogen application and intercropping with soybean for sweet maize production in southern China. J. Integr. Agric. 2017, 16, 2586–2596. [Google Scholar]
- Ussiri, D.A.; Lal, R.; Jarecki, M.K. Nitrous oxide and methane emissions from long-term tillage under a continuous corn cropping system in Ohio. Soil Till. Res. 2009, 104, 247–255. [Google Scholar]
- Gao, W.; Bian, X. Evaluation of the agronomic impacts on yield-scaled N2O emission from wheat and maize fields in China. Sustainability 2017, 9, 1201. [Google Scholar]
- Chen, G.; Kolb, L.; Cavigelli, M.A.; Weil, R.R.; Hooks, C.R.R. Can conservation tillage reduce N2O emissions on cropland transitioning to organic vegetable production? Sci. Total Environ. 2018, 618, 927–940. [Google Scholar]
- Pareja-Sánchez, E.; Cantero-Martínez, C.; Álvaro-Fuentes, J.; Plaza-Bonilla, D. Impact of tillage and N fertilization rate on soil N2O emissions in irrigated maize in a Mediterranean agroecosystem. Agric. Ecosyst. Environ. 2020, 287, 106687. [Google Scholar] [CrossRef]
- Grave, R.A.; da Silveira Nicoloso, R.; Cassol, P.C.; da Silva, M.L.B.; Mezzari, M.P.; Aita, C.; Wuaden, C.R. Determining the effects of tillage and nitrogen sources on soil N2O emission. Soil Till. Res. 2018, 175, 1–12. [Google Scholar] [CrossRef]
- Kalinitchenko, V.P.; Glinushkin, A.P.; Sokolov, M.; Batukaev, A.; Minkina, T.M.; Zinchenko, V.; Chernenko, V.; Startsev, V.; Mandzhieva, S.; Sushkova, S.; et al. Biogeosystem Technique for Healthy Soil, Water and Environment. In Proceedings of the ACS Fall 2019 National Meeting & Exposition, Chemistry & Water, San Diego, CA, USA, 25–29 August 2019. [Google Scholar]
- Kalinitchenko, V.P.; Glinushkin, A.P.; Minkina, T.M.; Mandzhieva, S.S.; Sushkova, S.N.; Sukovatov, V.A.; Il’ina, L.P.; Makarenkov, D.A. Chemical soil-biological engineering theoretical foundations, technical means, and technology for environmentally safe intra-soil waste recycling and long-term higher soil productivity. ACS Omega 2020, 5, 17553–17564. [Google Scholar] [CrossRef] [PubMed]
© 2020 by the authors. Licensee MDPI, Basel, Switzerland. This article is an open access article distributed under the terms and conditions of the Creative Commons Attribution (CC BY) license (http://creativecommons.org/licenses/by/4.0/).




