Abstract
Blackberry pomace represents a valuable but underused byproduct of juice manufacturing. Its further applicability in various food systems is facilitated by detailed knowledge of its own bioactive potential. This study was focused on the investigation of the polyphenolic compound profile, total phenolic and ascorbic acid content, as well as 1,1-diphenyl-2-picrylhydrazyl (DPPH) radical scavenging activity of blackberries (Rubus fruticosus L.) coming from spontaneous flora of two different areas of Romania, Paltinis (Sibiu County) and Zugau (Arad County) and their fractions, juice and pomace, resulting from home-scale processing. To ensure a satisfactory shelf life, the blackberry pomace was subjected to convective drying (60 °C for 12 hours) and the impact of this treatment on the antioxidant properties was evaluated. No significant differences in the investigated characteristics according to the place of origin were recorded. However, a slight increase in the antioxidant properties of fruits and fractions from the Zugau region, characterized by higher temperatures and a lower precipitation regime, was noticed compared with samples derived from the Paltinis area. The drying of blackberry byproducts led to losses of 10–23% in the content of the investigated bioactive compounds and DPPH radical scavenging activity. A significant correlation between DPPH radical scavenging activity and the total phenolic content has been recorded. Our findings are of interest in blackberry selection to enhance the level of bioactive compounds in the targeted products. The obtained results confirm that the blackberry processing byproducts may be regarded as a promising source of high-quality bioactive compounds and a proven radical scavenging capacity, representing a starting point for further analyses. This study responds to a global issue regarding fruit byproduct management in order to ensure the sustainable development of a circular economy.
1. Introduction
In the last few years, the interest of science in wild forest fruits, such as blackberries (Rubus fruticosus L.), has considerably increased due to their high amounts of bioactive compounds [1,2]. Wild fruits exhibit antioxidant properties as a result of their high amount of phenolic compounds, which include phenolic acids and flavonoids such as flavonols, flavanols, flavonones, flavones and anthocyanins. Moreover, stilbenes, tannins and lignans have been identified [3,4,5].
Annually, huge amounts of blackberry pomace are generated from agro-food processing procedures, with this vegetable waste representing an important source of antioxidants and others natural bioactive compounds with human health benefits [6,7,8,9].
Typically, processing the berries into juice leads to about 70–80% of target product, while 20–30% represents the generated byproduct [7]. The waste from berry juice processing, commonly called pomace, contain high amounts of dietary fiber as well as bioactive compounds with recognized health-promoting effects [10]. It was pointed out that a significant amount of valuable nutritional compounds such as many phenolic compounds located in the seeds and peels of the berry are lost when pomace is removed from the food chain after juice extraction [11,12,13]. After berry processing to obtain juice, the peels and seeds remain in the pomace and also the fractions of bioactive compounds that are associated with cell wall constituents [7].
These large amounts of vegetable waste may create environmental and economic problems due to their sensitivity to microbial degradation. For this reason, natural compounds recovered from fruit byproducts are important for their high biological value, as well as for their economic impact [14,15]. Nowadays, a main concern is to obtain viable solutions in converting by products into carrier agents of bioactive compounds [9,16]. The efficient recovery of biologically active compounds from plant waste and their implementation in industrial production will mark a new age in the food industry [16,17,18,19]. The recycling vegetable of waste and its application in different industrial sectors can lead to the development of new functional products with improved features [20].
The application of unconventional components, such as vegetable byproducts that constitute real deposits of natural bioactive compounds, may be adapted in the food sector, as well as the pharmaceutical and cosmetic fields [20,21]. The processing of berries results in high amounts of waste materials such as peels and seeds, which, due to their bioactive compounds with antioxidant properties, may be designated as valuable ingredients in food applications [9,22].
Exploiting the potential of bioactive compounds recovered from blackberry byproducts in various industrial sectors may solve some concerns from ecological, financial and economic standpoints, taking into account that vegetable waste management represents an important issue from ecological point of view. The use of bioactive compounds derived from berry byproducts in food applications may lead to the development of novel functional products with reduced costs. Due to their convenience, accessibility and low costs, blackberry processing byproducts may be considered a sustainable measure to increase the health attributes of foods. Blackberry processing byproducts could be successfully used in the food industry to enrich the functional properties and to improve the oxidative stability of various food products, such as pastries and bakery products, dairy products and fruit products [9].
Until now, among the products obtained by blackberry processing, the juices and jams have been the most popular on the food market. Although, after fruit juice extracting, a significant amount of byproducts remain, no well-documented valorisation in this regard has been taken into account thus far. Home-scale juice processing generally leads to low extraction yields of polyphenols, with high amounts of these bioactive compounds being retained in the generated byproducts. Considering the high moisture content of berry pomace (about 50%), it is highly susceptible to microbial spoilage. Therefore, an initial processing of pomace is imperative to ensure a satisfactory shelf life. To obtain shelf-stable berry pomace with a high level of bioactive compound preservation, it is important to set out the processing parameters during drying to avoid the substantial losses in antioxidant properties [9,23]. Thus, new aspects concerning the antioxidant properties of blackberry processing waste for further exploitation as food additives or ingredients have gained an increasingly interest because they are products with a high nutritional value and their recovery may be economically attractive [19].
The content of antioxidant compounds in berries and processing wastes has been investigated in several studies with attention to the distribution of different bioactive compounds and their behavior in response to juice processing, but, so far, limited information is available on the bioactive properties of blackberry processing byproducts. In this regard, only a few data are available on how processing and conditioning can influence the antioxidant properties of blackberry byproducts.
A deep knowledge of the antioxidant properties of berry processing byproducts promotes a sustainable approach for their further exploitation as a valuable source of biological active compounds, responding at the same time to a global contemporary issue regarding fruit byproduct management, which is challenged to move from a linear economy to a circular one in order to ensure a sustainable development.
In the light of the abovementioned considerations, the purpose of this study is to address two important practical issues: (1) to assess the bioactive compounds in terms of total phenolic and ascorbic acid content, polyphenolic compound profile and the antioxidant activity expressed as the DPPH radical scavenging activity of blackberries coming from the spontaneous flora of two different areas of Romania and their fractions, juice and pomace, resulting from small-scale blackberry processing; (2) to investigate the influence of blackberry processing byproduct conditioning by convective drying at a moderate temperature of 60 °C for 12 hours on the antioxidant properties. The results derived from this study are important because they provide subsidiary information about the antioxidant properties of blackberries and their processing fractions, as well as concerning the impact of the origin area, in climatic terms, on the investigated properties. Moreover, the changes in the bioactive compounds and the antioxidant activity of blackberry processing byproducts occurring in response to convective drying are of interest for its further use as value-added food ingredient.
2. Materials and Methods
2.1. Blackberry Processing and Sample Preparation
Blackberries (Rubus fruticosus L.) were collected from two different Romanian regions, Paltinis, Sibiu County (45°39′10″ North, 23°55′55″ East) and Zugau, Arad County (46°18′55″ North, 22°04′38″ East), at the beginning of August 2018. In relation to their Zugau or Paltinis origins, blackberry samples were registered as ZB and PB, respectively. The climate aspect of the blackberry’s origin areas for the 2018 harvest year, according to Romanian National Institute of Metrology, is shown in Table 1. The influence of the place of origin on the investigated properties was assessed climactically in terms of annual average maximum/minimum temperatures (°C) and the amount of annual average precipitation expressed in mm.
Table 1.
Geographical and climatic characteristics of Zugau and Paltinis area
Blackberries were manually harvested at the mature stage (fully ripe fruit). Fruits without imperfections and external damage were selected, separated of any impurities, washed, aired and stored in sealed plastic containers at a freezing temperature of −20 °C until further use. Some berries, including blackberries, have a content of pectin that could make the process of juice obtaining difficult, mostly depending on the extraction method [24]. Generally, the pectin content in fruit is higher when the fruit is just barely ripe and decreases during the fruit ripening from fully ripe to overripe due to the fact that the process of ripening involves the breakdown of pectin chains, which results in fruit softening. Applying an enzymatic treatment on blackberries using pectolytic enzymes degrades pectin substances in order to assure the easier separation of the juice [24]. This procedure is mostly required in the hot processing method applied at the industrial scale for juice obtaining [25]. In our study, blackberry juice was obtained in laboratory conditions from frozen blackberries using a centrifugal juice extractor (MES3500, 700 W, Bosch GmbH, Stuttgart, Germany) following a simple procedure, usually applied at household level. The result was a clear juice with a fresh fruit flavor.
The obtained fractions, blackberry juice (BJ) and blackberry byproducts (BB), consisting of seeds and peels, were expressed according to the place of origin, as ZBJ, PBJ, ZBB and PBB. The blackberry juice samples were kept in sterilized, airtight bottles stored at 4 °C until further investigation. Prior to analyses, the juice samples were filtered through a 0.45 µm polytetrafluoroethylene (PTFE) membrane filter.
A part of the raw blackbery byproducts was stored in sealed plastic containers at a freezing temperature of −20 °C until further analyses, while other parts of ZBB and PBB were subjected to convective drying using an electric oven (Esmach SpA-Ali Group/Italy, 1200 W, 50 Hz) to ensure the satisfactory shelf life of blackberry byproducts. The byproduct drying was performed at a moderate temperature of 60 °C for 6 h daily, two days in a row, to limit the bioactive compound degradation by overheating the samples. After drying, the dried Zugau blackberry byproducts (DZBB) and dried Paltinis blackberry byproducts (DPBB) were stored in sealed plastic containers at 4 °C until further investigation.
2.2. Moisture Content
The moisture content of the investigated samples, such as blackberries and raw and dried byproducts, respectively, was determined according to the method 925.09 of the AOAC [26].
2.3. Extraction Procedure
In order to perform the mentioned investigations, the hydroalcoholic extracts were prepared from blackberries as well as raw and dried processed byproducts. To obtain antioxidant-rich extracts, a maceration solvent extraction was performed. During the extraction period, the mixture obtained by putting the solvent into contact with the solute was periodically stirred to break the cell wall and discharge soluble phytochemicals [27,28].
Prior to the extraction procedure, the blackberries and raw byproducts were crushed, while the dried byproduct samples were grinded with a laboratory mill, Grindomix GM200 (Retsch, Haan, Germany), until a powder granulation was obtained [29]. The size reduction in the solute led to a better mass transfer produced by the increased affinity between solute and solvent, resulting in an effective bioactive compound extraction [30,31]. The ethanol/water mixture (1:1, v/v) was used as the extraction solvent and the solid:solvent extraction ratio was 1:10 (w/v). The extraction was carried out at a temperature of 20 °C for 48 hours.
After extraction, the mixtures were percolated to separate the exhausted solid material from the extract. The obtained extract was filtered through a 0.45-µm PTFE membrane filter and the clear liquid fraction was used in further analyses.
2.4. L-Ascorbic Acid Content (L-AsAc)
The content of L-Ascorbic acid (L-AsAc) or vitamin C was evaluated following the 2,6-dichlorophenolindophenol titrimetric method [32]. For this purpose, 2 g of blackberries and their raw and dried byproducts were mixed with 20 mL bidistilled water for 2 h at 25 °C and the obtained mixtures were filtered. Furthermore, 10 mL of each previously obtained extract from the clear blackberry juice samples was diluted with 10 mL oxalic acid 2% (Sigma-Aldrich) and the mixtures were filtered through Whatman filter paper. Then, 1 mL hydrochloric acid 1N was added to 10 mL of each diluted juice extract, and the obtained mixtures were subjected to titration with 2,6-dichlorophenolindophenol sodium salt solution 1 mM (Sigma-Aldrich) in an acid medium (pH = 4). The results were expressed in mg/L for juices and mg/100 g of dried substance (d.s) for blackberries and their byproducts.
2.5. Total Phenolic Content (TPC)
Total phenolic content (TPC) was spectrophotometrically evaluated according to the Folin–Ciocalteu procedure [33,34,35]. For this purpose, an aliquot of 1 mL of each obtained extract of blackberry juice, dilluted 1:25 with distilled water, was blended with 0.5 mL Folin–Ciocalteu reagent. Then, 2 mL of 20% Na2CO3 and 5 mL of distilled water were added and the mixture was stirred and incubated in the dark for 90 minutes. The absorbance was measured at 765 nm against a blank sample prepared in similar conditions, using a double-beam UV–VIS spectrophotometer (Specord 200, Analytik Jena Inc., Jena, Germany). The calibration curve was prepared using gallic acid (GA) as a standard in the range of concentrations of 20–200 mg gallic acid equivalents (GAE)/L. The results were expressed in mg GAE/100 g of dried substance (d.s) for blackberries and their byproducts and mg GAE/L for blackberry juice samples. All analyses were performed in triplicate and the results were reported as mean ± standard deviation (SD).
2.6. DPPH Assay
The antioxidant activity of blackberry juice and previously obtained extracts from raw and dried blackberry processing byproducts was evaluated using a 1,1-diphenyl-2-picrylhydrazyl (DPPH) radical scavenging activity assay. For this purpose, the investigated samples were tested for their ability to scavenge 1,1-diphenyl-2-picrylhydrazyl radical (DPPH•) using a spectrophotometric method [34,36]. Briefly, 3 mL of 0.2 mM DPPH• solution in ethanol 96% (v/v) was mixed with 0.1 mL extract or blackberry juice, using a horizontal stirrer (Heidolph Promax 1020 Germany). This mixture was kept in the dark for 60 minutes. Then, the absorbance was measured against a blank consisting of 96% (v/v) ethanol at 517 nm using a UV–VIS double-beam spectrophotometer (Specord 200, Analytik Jena Inc., Jena, Germany). As a reference, positive controls in the range of concentrations 2.5–50 mg/L gallic acid, were prepared in 96% (v/v) ethanol. The DPPH radical scavenging activity was expressed as mg GAE/100 g d.s for blackberries and byproduct samples and mg GAE/L for juice samples.
The percentage of DPPH• inhibition I (%) was calculated according to the relation displayed in Equation (1):
where Acontrol represents the absorbance of a control sample consisting of 0.2 mM DPPH• solution in ethanol 96% (v/v) and Asample represents the absorbance of the investigated samples (blackberry juice extracts).
All analyses were performed in triplicate and the results were reported as mean ± SD.
2.7. Evaluation of Polyphenolic Compounds Profile by Chromatographic Analysis
The polyphenolic compound profile of blackberry juice from previously obtained extracts was investigated by chromatographic analysis using a Shimadzu Nexera X2 (Tokyo, Japan) ultra-high-performance liquid chromatograph (UHPLC) equipped with a M30A Shimadzu (Tokyo, Japan) diode array detector and a Nucleosil 100-3-C18 reverse phase column (125 mm column length × 4 mm inner diameter × 3 µm particle size, Macherey-Nagel GmbH, Düren, Germany) [37,38]. The column temperature was maintained at 30 °C and the flow rate at 1 mL/min. The solvents used for the chromatographic elution consisted of 0.1% aqueous solution of trifluoroacetic acid, pH = 3 (A) and acetonitrile (B). The chromatographic elution program used in this analysis was as follows: 95% A and 5% B, then the linear gradient grew to 35% B and was maintained for 5 minutes, followed by a linear gradient of 42% B in 30 minutes. Thereafter, the eluent was changed to the initial composition consisting of 95% A and 5% B linear gradient for 5 min. The measurements have been done in the wavelength range of 200–600 nm. The calibration curve for identified compounds was adjusted in mg/L and the results were expressed as mg/100 g d.s for blackberries and processing byproducts and mg/L for blackberry juice samples.
2.8. Statistical Data Analysis
All values were obtained from three independent analyses and each sample was analyzed in triplicate. The results are shown as average values followed by the SD of three replicates. A one-way analysis of variance (ANOVA) test was used for statistical data analysis. Computations of Tukey post-hoc means comparisons and Levene’s test for equal variance were included to evaluate the statistical significance of the recorded differences among means. Data within the same column or row for tables or bars (in the case of charts), sharing the same superscripts or letters, are not significantly different at p < 0.05. Data within the same column, row or bars, sharing different superscripts or letters, are significantly different at p < 0.05. The statistical data processing was performed using JASP (version 0.11.1, 2019) computer software (JASP Team, University of Amsterdam, Amsterdam, The Netherlands).
3. Results and Discussion
3.1. Moisture Content
As observed from Table 2, the blackberry byproducts have a high moisture content of about 50%, being highly prone to microbial spoilage. High moisture content leads to an increased perishability promoted by microbial and enzymatic degradation and also has a negative impact on further byproduct recovery [39].
Table 2.
Moisture content of blackberries and processing byproducts.
Consequently, an initial processing of blackberry pomace is necessary to ensure a satisfactory shelf life. Convective drying is a regular technique used in plant byproduct preservation to reduce the water activity to values that are inconvenient for fermentation and microbiological processes [7]. Nevertheless, special attention must be paid to the conditioning regime in terms of duration and temperature, since natural bioactive compounds are very sensitive to long exposures at high and even moderate temperatures.
Convective drying at a temperature of 60 °C limits the byproducts’ degradation and ensures the preservation of their bioactive potential, as this procedure is recommended for retaining the high content of bio-compounds with antioxidant properties [40].
More than the water content, water activity is the thermodynamic parameter responsible for the stability of dehydrated products. In a system, the water activity represents a measure of unbound, free water, available to promote the microbial development and to support the enzymatic and chemical reactions leading to the spoilage processes [41]. Most bacteria require a value of water activity in the range 0.9–1.0, while some molds and yeasts continue to grow slowly at a water activity down to about 0.65, at the usual values of temperature allowing microbial growth [42].
Data from Table 2 reveal that the moisture content of blackberry byproducts significantly decreased (p < 0.05) to a value of about 4%, 3.17% for DZBB and 3.86% for DPBB, in response to drying for 12 h at a temperature of 60 °C. According to the Food and Agriculture Organization (FAO) [42], it is considered that most of the water in a food product with a moisture content less 5% is tightly bound, often referred to as an adsorbed mono-molecular layer of water, which corresponds to a water activity of 0.2–0.3 and less. The bound water does not support microbial degradation and any enzymatic reactions, which makes the spoilage processes impossible [41].
3.2. Total Phenolic and L-AsAc Content
The data presented in Table 3 reveal the total phenolic and L-AsAc content in blackberry and blackberry juice, as well as in raw and conditioned blackberry byproducts.
Table 3.
Total phenolic and L-Ascorbic acid (L-AsAc) content of blackberry, blackberry juice and blackberry byproducts.
Struck et al. [7] pointed out that an important amount of the polyphenolic compounds of fresh blueberries, located in the peels and seeds, are retained in the pomace after juice extraction, which indicates a loss of valuable bioactive compounds when pomace leaves the food chain. The molecular structure of phenolic compounds has found to be an important determinant in their antioxidant properties. In this regard, the values of TPC registered for blackberry and pomace highlight a significant TPC retained in blackberry byproducts. A closer look at the recorded data reveals that TPC is higher, with 13.7% in ZB samples originating from a region with moderate precipitation and a warmer climate than those recorded in PB, grown at a higher altitude, where the amount of precipitation is raised and the temperature is lower. It is also noted that phenolic content is higher, with 20% in ZBB compared to PBB.
Our results are in agreement with the data reported by other studies [37,43,44,45]. In this regard, the TPC of wild blackberry byproducts revealed by Jazic et al. [37] was 5016 mg GAE/100 g d.s.
Regarding the TPC of blackberry, Marhuenda et al. [44] registered a value around 4500 mg GAE/100 g, while Celant et al. [45] reported values in the range 800–1500 mg GAE/100 g.
For juice samples, derived from ZB and PB, close TPC values were recorded as follows: 2594.25 and 2561.20 mg GAE/L for ZBJ and PBJ.
In terms of the impact of the raw byproducts conditioning by drying, there were recorded losses in TPC of 14% for DZBB and 23% for DPBB compared to the values found in ZBB and PBB, respectively.
The initial amount of L-AsAc registered in blackberry samples was 206.69 mg/100 g d.s for ZB and 172.30 mg/100 g d.s for PB, following the same trend as TPC, as the recorded values were lower in samples from the Paltinis area.
This finding shows that bioactive compounds content is higher in samples coming from a region with a milder climate in terms of the temperature and amount of precipitation. Our data recorded for the L-AsAc content of fresh blackberry samples are comparable with those reported in different blackberry cultivars by Milosevic et al. [46].
Blackberry raw byproduct conditioning induces a significant decrease in L-AsAc content (p < 0.05). A large amount of vitamin C had been destroyed during thermal treatment applied to blackberry byproduct samples. Thus, about 22% for ZBB and 36% for PBB in vitamin C content was lost in response to drying.
Figure 1 provides information regarding the retention rate of bioactive compounds in raw and dried byproducts relative to the values registered in blackberries. In our study, the retention rate was used as a measure to quantify the degree of preservation of bioactive compounds in response to blackberry processing and the drying of raw byproducts. The retention rate of total phenolic content and L-AsAc content was expressed as the percentage of the mentioned compounds existing in the raw and dried byproducts, relative to the content recorded in blackberries.
Figure 1.
Retention rate of bioactive compounds in raw and dried byproducts relative to the blackberries: (a) total phenolic content (TPC); (b) L-ascorbic acid content (L-AsAc). One-way ANOVA test was used to compare the means differences registered among samples; the values for bars sharing different letters are significantly different (p < 0.05); the values for bars sharing the same letters are not significantly different (p > 0.05). Results are expressed as the average value of three independent analyses ± SD.
Figure 1a reveals that there was recorded a retention rate of 79.89 and 73.63% of TPC in ZBB and PBB, respectively, compared to the corresponding values registered in ZB and PB. In addition, retention rates of 68.63 and 56.69% of TPC were noted in DZBB and DPBB, respectively, compared to ZB and PB.
Data processing by an ANOVA test indicates statistically significant differences in the retention rate of TPC among ZBB, PBB, DZBB and DPBB (p < 0.05), as shown in Figure 1a. The effects of blackberry processing and the drying of raw byproducts on the retention rate of L-AsAc, reported as the value recorded for blackberries, are shown in Figure 1b. Although a large amount of L-AsAc passed into blackberry juice, the raw and dried byproducts still retain about 12-19% of the L-AsAc content found in blackberries.
The data from Figure 1 highlight a significant retention rate of TPC and L-AsAc in the blackberry processing byproduct that justifies their subsequent exploitation as a potential source of high-value bioactive compounds. As revealed by Figure 1b, there were no recorded statistically significant differences between the retention rate of L-AsAc in ZBB and PBB reported for the blackberries (p > 0.05). The statistical analysis of data by the ANOVA test shows that significant differences in retention rate of L-AsAc have been found among raw and dried byproducts (p < 0.05).
Studies performed to evaluate the total polyphenolic content revealed that the presence in the investigated samples of compounds such as reducing sugars and ascorbic acid may interfere with the method used in this purpose [47,48]. The method of Folin–Ciocalteu is largely used to assess the total phenolics content despite all the reported interferences in this assay, since the reagent can also react with other non-phenolic reducing compounds from the analyzed sample [47].
The sugar profile of fruit mainly consists of fructose, glucose and sucrose. These saccharides interfere in the methods used for the assessment of phenolic compounds, resulting in an overvaluation of the content of these compounds. Moreover, ascorbic acid is a reducing agent from fruit and fruit-derived products that could interfere in the Folin–Ciocalteu reaction [47,48].
The blackberries and their processing fractions contain some amounts of these compounds that could lead to an increase in the absorbance values and can give positive errors in the evaluation of the total phenolic content by the Folin–Ciocalteu method.
As reported by Singleton et al. [49], it is possible to evaluate the quantitative impact of saccharides depending on the quantities of the phenolic compounds and saccharides. Thus, for a sample with a total phenolic content of 100 mg/L, we estimated an increase of 5% in the presence of 25 g/L sugars, while for a sample with a total phenolic content in the range 1000–2000 mg/L, the increase was 3% in the presence of 25 g/L sugars. The increase in the total phenolic content becomes double in the presence of 50 g/L sugars [49].
According to the results obtained by Fan-Chiang and Wrolstad [50], glucose and fructose were the dominant sugars present in blackberries in approximately equal amounts, with the glucose:fructose ratio ranging from 0.81 to 1.17. The reported sucrose concentration ranged from ND (not detected) to 1.07 g/100 g. The glucose amounts were found in the range 1.17–6.34 g/100 g and for fructose we found a content from 1.25 to 6.45 g/100 g. The total amount of sugars in blackberry was found to be in the range 2.62–13.86 g/100 g. Based on these data, we appreciate that some over-estimation of the total phenolic content could have occurred during investigations, but further studies are needed in this regard to establish the interference of reducing sugars in the total phenolic content assessment.
3.3. Antioxidant Activity
The obtained results for antioxidant activity assessed by DPPH radical scavenging activity are presented in the Table 4. DPPH radical scavenging activity indicates the hydrogen donating ability of investigated samples, revealing the presence of bioactive compounds with antioxidant potential. Our results reveal that, by blackberry juice processing, an important antioxidant activity is retained in blackberry processing byproducts.
Table 4.
DPPH radical scavenging activity of blackberries, juice and processing byproducts.
According to the data reported by Kalusevic et al. [51], the antioxidant activity of blackberry processing byproducts, evaluated by DPPH radical scavenging activity assay, was 10.9 µmol Trolox/g. Moreover, in another study performed by Huang et al. [52], a DPPH radical scavenging activity of about 95% was reported for an extract concentration of 2.0 mg/mL.
The recorded inhibition data for the DPPH radical scavenging of juice samples show a value of 59.93% or 142.25 mg GAE/L in ZBJ, and 51.62% or 122.54 mg GAE/L in PBJ. Regarding the impact of the origin area, it can be noted that samples coming from the Zugau area had higher values of DPPH radical scavenging activity than those belonging to the Paltinis area. Thus, our data reveal a loss of about 1.5% in the PB sample compared to ZB and a loss of 2.6% in PBB compared to ZBB. Moreover, a decrease of 14% is observed in DPPH radical scavenging activity of PBJ compared to ZBJ.
The drying of blackberry processing byproducts led to losses in DPPH radical scavenging activity of about 10% and 17%, respectively, in the recorded values for raw byproduct samples for ZBB and PBB. Moreover, we saw a similar trend followed by losses in the DPPH radical scavenging activity registered in response to byproduct drying where a loss of 10.3% mg GAE/100 g d.s was noticed in DPBB versus DZBB.
Concerning the interference of reducing sugars in the methods used to investigate the antioxidant activity, the studies performed by Stratil et al. [48] reveal that the glucose, fructose and sucrose found in fruit interfere in this regard, with the DPPH method being an exception due to the fact that it requires the donation of a hydrogen radical. Instead, L-Ascorbic acid interferes with all methods used for antioxidant activity assessment [48]. In-depth studies are being considered to elucidate this issue.
The correlations obtained after simple linear regression model application for DPPH radical scavenging activity and the TPC of blackberries as well as raw and dried processing byproducts are displayed in Figure 2. We recorded a significant positive correlation between the DPPH radical scavenging activity expressed as I (%) versus TPC (the correlation coefficient R = 0.8936). Thus, the redox properties of phenolic compounds which allow them to act as hydrogen donors and reducing agents are primarily responsible for the DPPH radical scavenging activity.
Figure 2.
The correlation DPPH radical scavenging activity expressed as I (%) versus the total phenolic content of blackberries and blackberries byproducts, TPC (mg GAE/100 g d.s), obtained after simple regression model application
Our results are in agreement with data reported in other studies on berry fruits where high positive correlations between antioxidant activity and total flavonoid or total phenolic content have also been reported [53,54]. Therefore, the obtained results suggest that the phenolic compounds contributed significantly to the antioxidant activity of the investigated samples, but these compounds were not the only antioxidants in the fruits and fruit processing byproducts.
Antioxidant activity may be related to the existence of other compounds such as ascorbic acid and, at a certain level, can be assigned to auxiliary secondary metabolites with antioxidant action [51]. Our data strengthen the findings reported by Oszmianski and Lachowicz [55] and Aly et al. [56] revealing that many bioactive compounds are powerful antioxidants, acting as reactive oxygen inhibitors and free radical scavengers.
3.4. Polyphenolic Compounds Profile
Both the impact of byproduct drying and the origin area in climatic terms, on the polyphenolic profile of blackberries and their main fractions, has been investigated. This study contributes to evaluating the influence of a warmer climate with moderate precipitation, as well as a climate with a higher volume of precipitation and lower temperatures, on the phenolic compound profile of blackberries and their fractions, juices and byproducts.
Table 5 shows the results recorded after a chromatographic analysis of blackberries and their raw and dried byproducts while Table 6 summarizes the content of each polyphenolic compound found in blackberry juice. Moreover, in Figure 3, we present the chromatographic profile of polyphenolic compounds identified in the extracts obtained from ZBB and DZBB.
Table 5.
Polyphenolic compound profiles of blackberries and blackberry byproducts
Table 6.
Polyphenolic compounds profile of blackberry juice.
Figure 3.
Chromatographic profile of polyphenolic compounds identified in the extracts obtained from raw and dried byproducts coming from Zugau blackberry (ZB): (a) Zugau blackberry byproducts (ZBB); (b) dried Zugau blackberry byproducts (DZBB).
A significant difference (p < 0.05) in the phenolic acid amounts has been noted between blackberries and their processing byproducts. The main phenolic acids identified in blackberries and blackberry byproduct samples, depending on the quantity detected, were as follows: GA (gallic acid) < RA (rosmarinic acid) < VA (vanillic acid) < SA (syringic acid) < CA (caffeic acid) < p-CA (p-coumaric acid) for ZB and ZBB.
In PB and PBB samples, the phenolic acids identified were in the following order: GA < RA < VA < CA < p-CA < SA. The recorded data, by HPLC analysis of blackberry juices, showed that SA, CA, VA, p-CA, RA and GA were the main phenolic acids detected in the investigated juice samples. The profile of polyphenolic acids identified in dried byproducts was similar with that of the corresponding raw byproducts and blackberries.
In addition, various phenolic compounds such as PC (pyrocatechol), C (catechin) and R (rutin), and in very small amounts Q (quercetin) and K (kaempferol), have also been detected in blackberries and their byproducts. The phenolic compounds identified in juice samples were Q, K, R, C and PC, in increasing quantity according to the following order: Q < K < R < C < PC.
Among the detected polyphenolic compounds, PC was the most abundant in blackberry juice samples (1393.16 mg/L for ZBJ and 1066.41 mg/L for PBJ), while the least abundant was Q (0.04 mg/L for ZBJ and 0.11 mg/L for PBJ). It can be said that the overall "loss" of polyphenolic compounds in blackberry juice manufacturing is a direct consequence of their abundance in the residual pomace. Our data reveal that the amounts recorded for most of the polyphenolic compounds identified in juice samples are in agreement with the results reported in previous studies on blackberries [52].
Statistical data processing showed that there were no recorded significant differences (p > 0.05) for the amounts of R and RA identified in ZBJ and PBJ. Instead, all the other phenolic compounds were significantly different (p < 0.05) among ZBJ and PBJ samples. A milder climate was favorable for the accumulation of a higher content of K, PC, CA, RA, VA and SA, while a higher amount of precipitations and lower temperatures led to an increased content of R, Q, C, p-CA and GA in blackberry juice.
The phenolic compound identified in the largest quantity was PC, as follows: 1493.43, 1180.76 and 838.42 mg/100 g d.s for ZB, ZBB and DZBB, respectively, and 2719.74, 2262.70 and 1750.61 mg/100 g d.s for PB, PBB and DPBB, respectively.
It was found that the main flavonol identified in blackberries and their byproducts was C, in the following amounts: 1389.26, 1009.19 and 348.59 mg/100 g d.s for ZB, ZBB and DZBB, respectively, and 758.46, 534.55 and 256.05 mg/100 g d.s for PB, PBB and DPBB, respectively.
The phenolic acid detected in the highest level in ZB, ZBB and DZBB samples was p-CA, while SA has been found in the largest quantity in PB, PBB and DPBB samples. The recorded data are consistent with the results of other studies that reported a similar polyphenolic profile by HPLC analysis [37,57,58]. As revealed by the research carried out by Skrovankova et al. [57], a similar profile of flavones, flavonols and phenolic acids was noted in blackberry samples. The obtained values for blackberry pomace extract reported by Jazic et al. [37] were 7.73 mg Qc/g d.s for flavonoids and 6.63 mg Qc/g d.s for flavonols.
The losses in polyphenolic amounts of raw byproducts recorded in response to blackberry juice processing were in the range 17–37% for ZBB, the greatest loss being recorded in RA and the lowest in SA. For PBB sample the losses ranged from 17 to 40%, the lowest loss being noted for PC, while the most consistent loss was recorded for K. It was extensively reported that the polyphenolic profile in various kinds of berries is not significantly changed during processing and manufacturing, relative to the raw fruits [59,60,61].
Regarding the chromatographic profile of polyphenolic compounds, it can be observed that the convective drying of byproducts at a moderate temperature of 60 °C did not induce qualitative differences among the identified compounds in raw and dried byproducts (Figure 3), only changes in their amounts, as seen in Table 5. The losses in polyphenolic compounds in response to byproducts drying were in the range 6–80% for DZBB and 16–86% for DPBB. These large losses, up to 80 and 86% in phenolic compounds via blackberry byproduct conditioning, expose how sensitive bioactive principles are to thermal treatments.
In the blackberry samples from the two regions, as well as in the byproducts derived from their home-scale processing, we identified the same polyphenolic compounds, but in different quantities. It was noted that the amounts of PC, RA and SA were higher in PB and PBB samples than in ZB and ZBB. Moreover, the amount of PC was higher in DPBB than in the DZBB sample. Regarding the other polyphenolic compounds, higher quantities have been found in samples derived from Zugau compared to the values registered for samples coming from the Paltinis region.
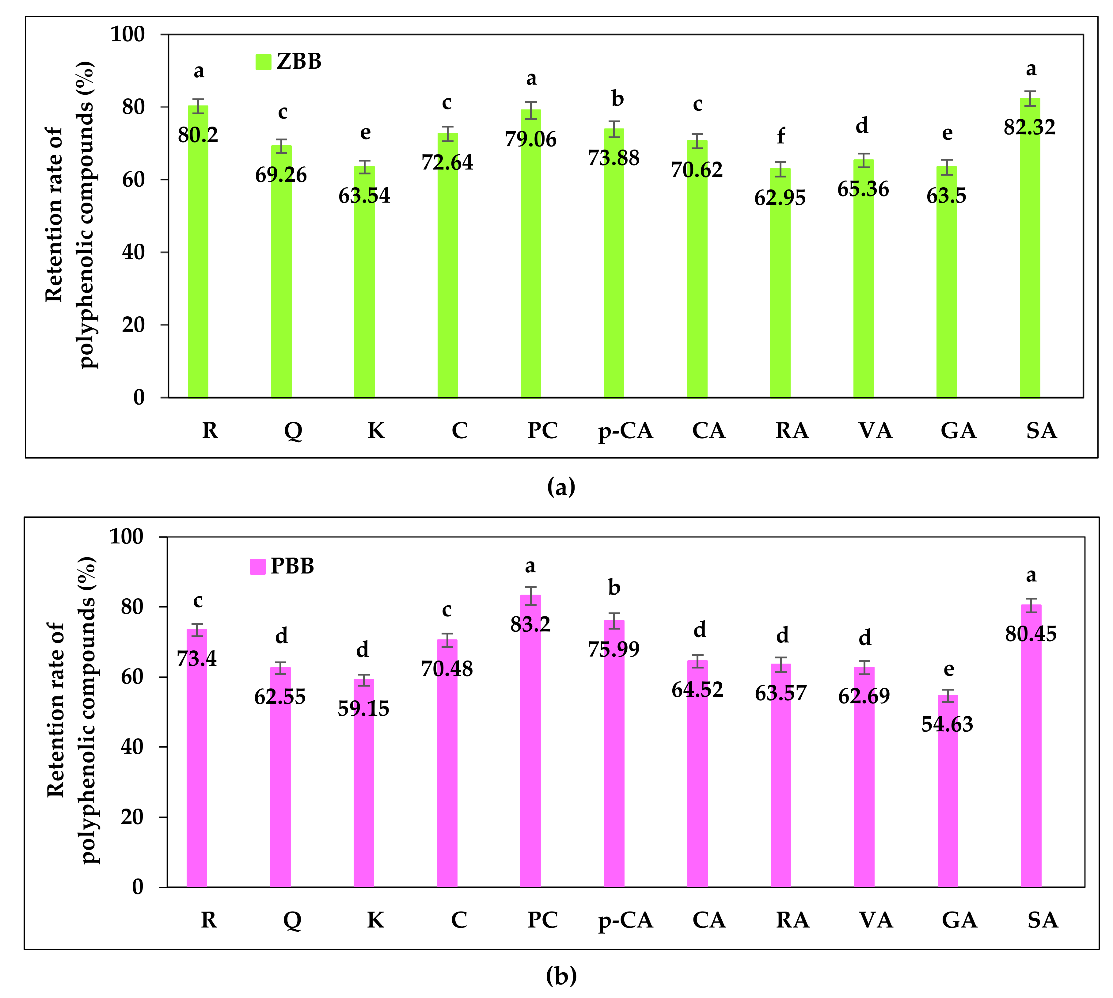
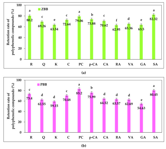
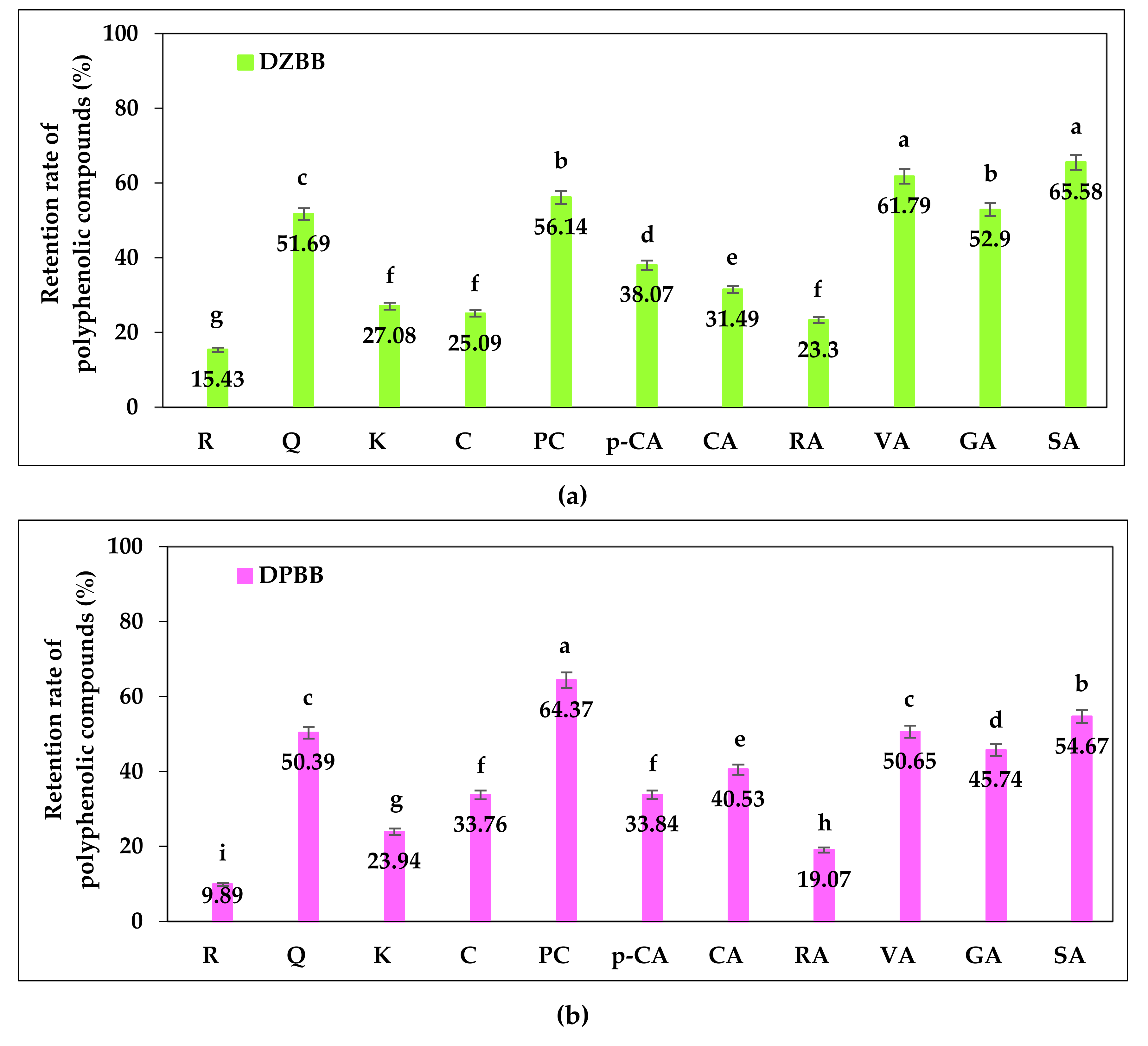
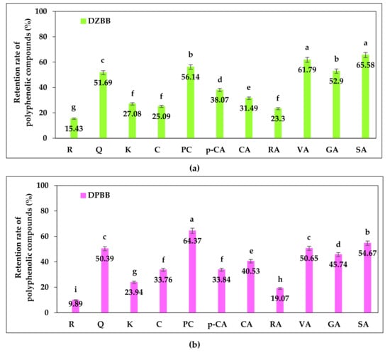
Figure 4 gives a detailed view of the retention rate of polyphenolic compounds in raw byproducts reported in the blackberries, while the retention rate of individual polyphenolic compounds identified in the dried byproducts can be seen in Figure 5.
Figure 4.
Retention rate of polyphenolic compounds in raw byproducts relative to the blackberries: (a) ZBB; (b) PBB. Rutin (R); quercetin (Q); K: kaempferol; catechin (C); pyrocatechol (PC); p-coumaric acid (p-CA); caffeic acid (CA); rosmarinic acid (RA); vanillic acid (VA); gallic acid (GA); syringic acid (SA). One-way ANOVA test was used to compare the means differences registered among the retention rate of individual polyphenolic compounds; the values for bars sharing different letters are significantly different (p < 0.05); the values for bars sharing the same letters are not significantly different (p > 0.05). Results are expressed as the average value of three independent analyses ± SD
Figure 5.
Retention rate of polyphenolic compounds in dried byproducts relative to the blackberries: (a) DZBB; (b) DPBB. Rutin (R); quercetin (Q); K: kaempferol; catechin (C); pyrocatechol (PC); p-coumaric acid (p-CA); caffeic acid (CA); rosmarinic acid (RA); vanillic acid (VA); gallic acid (GA); syringic acid (SA). One-way ANOVA test was used to compare the means differences registered among the retention rate of individual polyphenolic compounds; the values for bars sharing different letters are significantly different (p < 0.05); the values for bars sharing the same letters are not significantly different (p > 0.05). Results are expressed as the average value of three independent analyses ± SD.
Figure 4a shows the retention rate (%) of polyphenolic compounds identified in ZBB relative to the values registered in ZB, while Figure 4b reveals the retention of polyphenolic compounds found in PBB reported to the corresponding values noted in the PB sample. The first thing we noticed about the data from Figure 4 is that, by blackberry juice processing, the generated waste showed a high rate of polyphenolic compound retention (of about 63–82% for ZBB and 55–83% for PBB) compared to the values noted in corresponding fruits ZB and PB. The obtained data reveal different rates of retention of identified polyphenolic compounds in ZBB and PBB. Thus, from Figure 4a, it can be observed that SA displayed the greatest retention rate in ZBB, while RA had the lowest rate of retention in ZB. Figure 4b revealed that GA showed the lowest retention rate and PC was retained at the highest rate in PBB relative to the PB sample. As shown in Figure 4, there were significant differences (p < 0.05) in the retention rate of polyphenolic compounds identified in ZBB (Figure 4a) and PBB (Figure 4b), except for R, PC and SA from ZBB, Q, C and CA from ZBB, PC and SA from PBB, R and C from PBB, Q, K, CA, RA and VA from PBB, where no statistically significant differences were found (p > 0.05). After a careful examination of the changes in polyphenolic compounds in response to the drying of blackberry byproducts, it can be pointed out that the retention rate of these compounds was in the range 15–66% for DZBB and 10–64% for DPBB compared to the values found in ZB and PB, as shown in Figure 5.
Regarding the impact of drying on the retention of individual polyphenolic compounds in blackberry byproducts, it was noted that the highest retention rate was recorded for SA, and the lowest for R in DZBB, Figure 5a, while in the DPBB sample, the most stable polyphenolic compound was PC and the least stable was R, as seen in Figure 5b.
Among the investigated polyphenolic compounds Q, PC, VA, GA and SA have been found in a percentage over 50% after ZBB drying, the retention rate varied in the following order: SA > VA > PC > GA > Q. For the PBB sample, our data reveal that the following polyphenolic compounds show a retention rate over 50% in response to drying: PC > SA > VA > Q. These findings are important because the stability of polyphenolic compounds of blackberry byproducts in response to drying has a strong impact on the expression of their antioxidant properties.
Regarding the significance of the differences found in the retention rate of polyphenolic compounds identified in DZBB (Figure 5a), it can be noted that there were no statistically significant differences (p > 0.05) between VA and SA, PC and GA as well as between K, C and RA. Moreover, for DPBB, as shown in Figure 5b, there were no statistically significant differences (p > 0.05) between Q and VA as well as between C and p-CA. Apart from that, the retention rate of the other polyphenolic compounds identified in DZBB and DPBB was significantly different (p < 0.05).
Both the profile and amount of polyphenolic compounds recorded in the studied samples prove that the area of origin, in climatic terms, influences not only the amount of bioactive substances with antioxidant properties, but also the fact that some biologically active compounds develop better in a climate with higher temperatures and a moderate regime of precipitation, while other compounds progress in a humid climate with lower annual average temperatures. In this regard, our findings are in line with the outcomes reported by Huang et al. [52] and Bobinaite et al. [62], revealing that the bioactive compound profile of berries is mainly affected by various factors, including the fruit variety, environmental factors, maturity stage and storage conditions.
4. Conclusions
Data reported in this study indicate that both blackberries and their fractions, such as juice and byproducts, obtained by home-scale processing, show a high level of bioactive compounds and antioxidant properties. Moreover, the convective drying of blackberry processing byproducts turned out to be an efficient technique regarding the retention of their bioactive properties. Concerning the impact of origin area on the antioxidant attributes, we noticed that bioactive compounds are differently concentrated in blackberries, some of them being favored by a milder climate with moderate precipitation and higher temperatures, while others by a wet climate with lower temperatures. However, some increases in antioxidant characteristics were registered in blackberries from a region with a milder climate and their processing fractions. We revealed the significant retention rate of polyphenolic compounds and L-AsAc in blackberry processing byproducts relative to the blackberries that justify their further exploitation as a source of high-value bioactive compounds. The obtained results reveal statistically significant differences in the retention rate of TPC and L-AsAc among raw and dried byproducts (p < 0.05). A significant positive correlation between DPPH radical scavenging activity and the total phenolic content of blackberries as well as raw and dried processing byproducts has been noted. This finding suggests an important contribution of polyphenolic compounds to the antioxidant activity of the investigated samples, but these compounds were not the only antioxidants in the fruits and fruit processing byproducts. Antioxidant activity may be related to the existence of other compounds, ascorbic acid being one of them. Our results prove that blackberry processing byproducts, due to their high content in biologically active substances, represent a potentially valuable ingredient to develop high value-added food products.
Author Contributions
Conceptualization, M.-A.P. and C.-R.M.U.; methodology, M.-A.P., A.R. and L.O.C.; software, C.-R.M.U., A.I.L., C.M. and A.R.; formal analysis, C.-R.M.U., A.I.L., C.M. and A.R.; investigation, C.-R.M.U., A.I.L., C.M., A.R., L.O.C. and M.-A.P.; resources, C.-R.M.U. and M.-A.P.; data curation, C.-R.M.U., A.I.L. and C.M.; writing—original draft preparation, C.-R.M.U., M.-A.P. and L.O.C.; writing—review and editing, C.-R.M.U. and M.-A.P.; supervision, M.-A.P. and L.O.C. All authors have read and agree to the published version of the manuscript.
Funding
This study was supported by the research project "Enhancing the antioxidant function of vegetable oils used in food processing by adding bioactive natural compounds", received based on the Banat’s University of Agricultural Sciences and Veterinary Medicine “King Michael I of Romania” from Timisoara – 2019 Internal Research Project Competition, contract No. 5019/18.07.2019 as well as by the project "Ensuring excellence in RDI activities within USAMVBT", code 35PFE/2018, financed by the Ministry of Research and Innovation (MCI) through Program 1 - Development of the National Research and Development System, Subprogram 1.2 – Institutional Performance, Institutional Development Projects – Projects to fund excellence in RDI.
Acknowledgments
The authors acknowledge the technical support provided by doctoral research project of the researcher Cristina-Ramona Metzner Ungureanu, PhD supervisor Mariana-Atena Poiana.
Conflicts of Interest
The authors have no conflict of interest regarding the content of this paper. The funders had no role in the design of the study; in the collection, analysis, or interpretation of data; in the writing of the manuscript, or in the decision to publish the results.
References
- Zia-Ul-Haq, M.; Riaz, M.; de Feo, V.; Jaafar, H.Z.E.; Moga, M. Rubus-Fruticosus L. Constituents, Biological Activities and Health Related Uses. Molecules 2014, 19, 10998–11029. [Google Scholar] [CrossRef] [PubMed]
- Li, Y.; Zhang, J.-J.; Xu, D.-P.; Zhou, T.; Zhou, Y.; Li, S.; Li, H.-B. Bioactivities and Health Benefits of Wild Fruits. Int. J. Mol. Sci. 2016, 17, 1258. [Google Scholar] [CrossRef] [PubMed]
- Kitryte, V.; Narkeviciute, A.; Tamkute, L.; Syrpas, M.; Pukalskiene, M.; Rimantas-Venskutonis, P. Multistep Fractionation of Blackberry (Rubus fruticosus L.) Pomace into High Value Functional Ingredients. In Proceedings of the EuroFoodChem XX Conference, Porto, Portugal, 17–19 June 2019. [Google Scholar]
- Mirabella, N.; Castellani, V.; Sala, S. Current options for the valorization of food manufacturing waste: A review. J. Clean. Prod. 2014, 65, 28–41. [Google Scholar] [CrossRef]
- Coman, V.; Teleky, B.-E.; Mitrea, L.; Martău, G.A.; Katalin, S.; Călinoiu, L.-F.; Vodnar, D.C.; Martău, A.G. Bioactive potential of fruit and vegetable wastes. Adv. Food Nutr. Res. 2019, 91, 157–225. [Google Scholar] [CrossRef] [PubMed]
- Sagar, N.A.; Pareek, S.; Sharma, S.; Yahia, E.M.; Lobo, M.G. Fruit and Vegetable Waste: Bioactive Compounds, Their Extraction, and Possible Utilization. Compr. Rev. Food Sci. Food Saf. 2018, 17, 512–531. [Google Scholar] [CrossRef]
- Struck, S.; Plaza, M.; Turner, C.; Rohm, H. Berry pomace—A review of processing and chemical analysis of its polyphenols. Int. J. Food Sci. Technol. 2016, 51, 1305–1318. [Google Scholar] [CrossRef]
- Socaci, S.A.; Rugină, D.O.; Diaconeasa, Z.M.; Pop, O.L.; Fărcaș, A.C.; Păucean, A.; Tofană, M.; Pintea, A. Antioxidant Compounds Recovered from Food Wastes. In Functional Food—Improve Health Through Adequate Food; IntechOpen: London, UK, 2017. [Google Scholar]
- Faustino, M.; Veiga, M.; Sousa, P.; Costa, E.; Silva, S.; Pintado, M. Agro-Food Byproducts as a New Source of Natural Food Additives. Molecules 2019, 24, 1056. [Google Scholar] [CrossRef]
- Galanakis, C.M. Emerging technologies to produce nutraceuticals from agricultural by-products: A viewpoint of opportunities and challenges. Food Bioprod. Process. 2013, 91, 575–579. [Google Scholar] [CrossRef]
- Dimou, C.; Karantonis, H.C.; Skalkos, D.; Koutelidakis, A.E. Valorization of Fruits by-products to Unconventional Sources of Additives, Oil, Biomolecules, and Innovative Functional Foods. Curr. Pharm. Biotechnol. 2019, 20, 776–786. [Google Scholar] [CrossRef]
- Lourenço, S.C.; Moldão-Martins, M.; Alves, V.D. Antioxidants of Natural Plant Origins: From Sources to Food Industry Applications. Molecules 2019, 24, 4132. [Google Scholar] [CrossRef]
- Metzner, C.R.; Poiana, M.A. Fruit-based natural antioxidants in edible oils: A review. J. Agroalim. Process. Technol. 2018, 24, 110–117. [Google Scholar]
- Kebede, M.; Admassu, S. Application of Antioxidants in Food Processing Industry: Options to Improve the Extraction Yields and Market Value of Natural Products. Adv. Food Technol. Nutr. Sci. Open J. 2019, 5, 38–49. [Google Scholar] [CrossRef]
- Kalli, E.; Lappa, I.; Bouchagier, P.; Tarantilis, P.A.; Skotti, E. Novel application and industrial exploitation of winery by-products. Bioresour. Bioprocess. 2018, 5, 46. [Google Scholar] [CrossRef]
- Moschona, A.; Ziagova, M.G.; Iliadou, A.; Liakopoulou-Kyriakides, M. Optimization Studies for Selective Recovery of Phenolics from Wine Wastes. Agric. Sci. 2016, 7, 187–195. [Google Scholar] [CrossRef]
- Campos, D.; Gómez-García, R.; Vilas-Boas, A.; Madureira, A.R.; Pintado, M.E. Management of Fruit Industrial By-Products—A Case Study on Circular Economy Approach. Molecules 2020, 25, 320. [Google Scholar] [CrossRef] [PubMed]
- Otero-Pareja, M.J.; Casas, L.; Fernández-Ponce, M.T.; Mantell, C.; de la Ossa, E.J.M. Green Extraction of Antioxidants from Different Varieties of Red Grape Pomace. Molecules 2015, 20, 9686–9702. [Google Scholar] [CrossRef]
- Lohri, C.R.; Diener, S.; Zabaleta, I.; Mertenat, A.; Zurbrügg, C. Treatment technologies for urban solid biowaste to create value products: A review with focus on low- and middle-income settings. Rev. Environ. Sci. Bio/Technol. 2017, 16, 81–130. [Google Scholar] [CrossRef]
- Simitzis, P. Agro-Industrial By-Products and Their Bioactive Compounds—An Ally against Oxidative Stress and Skin Aging. Cosmetics 2018, 5, 58. [Google Scholar] [CrossRef]
- Santos-Buelga, C.; González-Paramás, A.M.; Oludemi, T.; Ayuda-Durán, B.; González-Manzano, S. Plant phenolics as functional food ingredients. Adv. Food Nutr. Res. 2019, 90, 183–257. [Google Scholar] [CrossRef]
- Zafra-Rojas, Q.; Cruz-Cansino, N.D.S.; Delgadillo-Ramírez, A.; Alanís-García, E.; Añorve-Morga, J.; Quintero-Lira, A.; Castañeda-Ovando, A.; Ramírez-Moreno, E. Organic Acids, Antioxidants, and Dietary Fiber of Mexican Blackberry (Rubus fruticosus) Residues cv. Tupy. J. Food Qual. 2018, 1–9. [Google Scholar] [CrossRef]
- Skrede, G.; Wrolstad, R.; Durst, R. Changes in Anthocyanins and Polyphenolics During Juice Processing of Highbush Blueberries (Vaccinium corymbosum L.). J. Food Sci. 2000, 65, 357–364. [Google Scholar] [CrossRef]
- Danalache, F.; Mata, P.; Alves, V.D.; Moldao-Martins, M. Chapter 10: Enzyme-assisted extraction of fruit juices. In Fruit Juices; Rajauria, G., Tiwari, B.K., Eds.; Chennai—Academic Press: Cambridge, MA, USA, 2018; pp. 183–200. [Google Scholar]
- Sahar, A.; Rahman, U.; Ishaq, A.; Munir, M.S.; Aadil, R.M. Chapter 12: Health-promoting perspectives of fruit-based functional energy beverages—Health-promoting prospects of various fruit juices—Blackberry juice. In Sports and Energy Drinks, the Science of Beverage; Grumezescu, A.M., Holban, A.M., Eds.; Elsevier—Woodhead Publishing: Amsterdam, The Netherlands, 2019; pp. 399–438. [Google Scholar]
- Official Methods of Analysis of the AOAC. Anal. Chem. 1980, 52, 148A. [CrossRef]
- Jiménez-Moreno, N.; Volpe, F.; Moler, J.A.; Esparza, I.; Ancín-Azpilicueta, C. Impact of Extraction Conditions on the Phenolic Composition and Antioxidant Capacity of Grape Stem Extracts. Antioxidants 2019, 8, 597. [Google Scholar] [CrossRef] [PubMed]
- Li, Y.; Cao, S.-Y.; Lin, S.-J.; Zhang, J.-R.; Gan, R.-Y.; Li, H.-B. Polyphenolic Profile and Antioxidant Capacity of Extracts from Gordonia axillaris Fruits. Antioxidants 2019, 8, 150. [Google Scholar] [CrossRef] [PubMed]
- Azvanida, N.N. A Review on the Extraction Methods Use in Medicinal Plants, Principle, Strength and Limitation. Med. Aromat. Plants 2015, 4. [Google Scholar] [CrossRef]
- Toledo-Martín, E.M.; García-García, M.D.C.; Font, R.; Moreno-Rojas, J.M.; Salinas-Navarro, M.; Gómez, P.; del Río-Celestino, M. Quantification of Total Phenolic and Carotenoid Content in Blackberries (Rubus Fructicosus L.) Using Near Infrared Spectroscopy (NIRS) and Multivariate Analysis. Molecules 2018, 23, 3191. [Google Scholar] [CrossRef] [PubMed]
- Viera, V.B.; Piovesan, N.; Rodrigues, J.B.; Mello, R.O.; Prestes, R.C.; Santos, R.C.V.; Vaucher, R.A.; Hautrive, T.P.; Kubota, E.H. Extraction of phenolic compounds and evaluation of the antioxidant and antimicrobial capacity of red onion skin (Allium cepa L.). Int. Food Res. J. 2017, 24, 990–999. [Google Scholar]
- AOAC. Vitamin C. Ascorbic acid in vitamin preparations and juices. In Official Methods of Analysis, 15th ed.; Helrich, K., Ed.; AOAC Inc.: Arlington, VA, USA, 2000; pp. 1058–1059. [Google Scholar]
- Baranauskienė, R.; Kazernavičiūtė, R.; Pukalskienė, M.; Maždžierienė, R.; Venskutonis, P.R. Agrorefinery of Tanacetum vulgare L. into valuable products and evaluation of their antioxidant properties and phytochemical composition. Ind. Crop. Prod. 2014, 60, 113–122. [Google Scholar] [CrossRef]
- Lupitu, A.I.; Tomescu, D.; Mot, C.A.; Moisa, C.; Copolovici, D.M.; Copolovici, L. Variation in phenolic content and antioxidant activity of different plant parts of Primula veris. Sci. Bull. Ser. F. Biotechnol. 2018, 22, 50–53. [Google Scholar]
- Kasote, D.; Hegde, M.; Deshmukh, K. Antioxidant Activity of Phenolic Components from n-Butanol Fraction (PC-BF) of Defatted Flaxseed Meal. Am. J. Food Technol. 2011, 6, 604–612. [Google Scholar] [CrossRef]
- Katalinic, V.; Možina, S.S.; Skroza, D.; Generalic, I.; Abramovič, H.; Boban, M.; Ljubenkov, I.; Piskernik, S.; Pezo, I.; Terpinc, P. Polyphenolic profile, antioxidant properties and antimicrobial activity of grape skin extracts of 14 Vitis vinifera varieties grown in Dalmatia (Croatia). Food Chem. 2010, 119, 715–723. [Google Scholar] [CrossRef]
- Jazić, M.; Kukrić, Z.; Vulić, J.; Četojević-Simin, D. Polyphenolic composition, antioxidant and antiproliferative effects of wild and cultivated blackberries (Rubus fruticosus L.) pomace. Int. J. Food Sci. Technol. 2018, 54, 194–201. [Google Scholar] [CrossRef]
- Moisa, C.; Copolovici, L.; Bungau, S.; Pop, G.; Imbrea, I.; Lupitu, A.I.; Nemeth, S.; Copolovici, D. Waste resulting from aromatic plants distillation—Bio-sources of antioxidants and phenolic compounds with biological active principles. Farmacia 2018, 66, 289–295. [Google Scholar]
- González-Centeno, M.; Rosselló, C.; Simal, S.; Garau, M.; López, F.; Femenia, A. Physico-chemical properties of cell wall materials obtained from ten grape varieties and their byproducts: Grape pomaces and stems. LWT 2010, 43, 1580–1586. [Google Scholar] [CrossRef]
- Larrauri, J.A.; Rupérez, P.; Saura-Calixto, F. Effect of Drying Temperature on the Stability of Polyphenols and Antioxidant Activity of Red Grape Pomace Peels. J. Agric. Food Chem. 1997, 45, 1390–1393. [Google Scholar] [CrossRef]
- Beuchat, L.; Komitopoulou, E.; Beckers, H.; Betts, R.P.; Bourdichon, F.; Fanning, S.; Joosten, H.M.; Ter Kuile, B.H. Low–Water Activity Foods: Increased Concern as Vehicles of Foodborne Pathogens. J. Food Prot. 2013, 76, 150–172. [Google Scholar] [CrossRef]
- FAO Agricultural Services Bulletin No.119. Fruit and Vegetable Processing—Ch05 General Procedures for Fruit and Vegetable Preservation. 1995. Available online: http://www.fao.org/3/V5030E/V5030E0b.htm#5.2%20Preservation%20by%20reduction%20of%20water%20content:%20drying/dehydration%20and%20concentration (accessed on 10 July 2020).
- Venskutonis, P.R. Chapter 5: Berries—Composition of berry pomace—Processing of berry pomace. In Valorisation of Food Processing By-Products; Charis, M., Ed.; Elsevier—Academic Press: Amsterdam, The Netherlands, 2019; pp. 95–180. [Google Scholar]
- Marhuenda, J.; Alemán, M.D.; Gironés-Vilaplana, A.; Pérez, A.; Caravaca, G.; Figueroa, F.; Mulero, J.; Zafrilla, P.; Alemá Marí, N. Phenolic Composition, Antioxidant Activity, and In Vitro Availability of Four Different Berries. J. Chem. 2016, 1–7. [Google Scholar] [CrossRef]
- Celant, V.M.; Braga, G.C.; Vorpagel, J.A.; Salibe, A.B. Phenolic composition and antioxidant capacity of aqueous and ethanolic extracts of blackberries. Rev. Bras. Frutic. 2016, 38. [Google Scholar] [CrossRef]
- Mratinic, M.T. Segregation of blackberry cultivars based on the fruit physico-chemical attributes. Tarım Bilim. Derg. 2012, 18, 100–109. [Google Scholar] [CrossRef]
- Ferreira, I.C.F.R.; Aires, E.; Barreira, J.C.; Estevinho, L.M.; Estevinho, L.M. Antioxidant activity of Portuguese honey samples: Different contributions of the entire honey and phenolic extract. Food Chem. 2009, 114, 1438–1443. [Google Scholar] [CrossRef]
- Stratil, P.; Kubáň, V.; Fojtová, J. Comparison of the phenolic content and total antioxidant activity in wines as determined by spectrophotometric methods. Czech J. Food Sci. 2008, 26, 242–253. [Google Scholar] [CrossRef]
- Singleton, V.L.; Orthofer, R.; Lamuela-Raventos, R.M. [14] Analysis of total phenols and other oxidation substrates and antioxidants by means of folin-ciocalteu reagent. Methods Enzymol. 1999, 299, 152–178. [Google Scholar] [CrossRef]
- Fan-Chiang, H.-J.; Wrolstad, R.E. Sugar and Nonvolatile Acid Composition of Blackberries. J. AOAC Int. 2010, 93, 956–965. [Google Scholar] [CrossRef]
- Kalušević, A.; Salević, A.; Đorđević, R.; Veljović, M.; Nedovic, V. Raspberry and blackberry pomaces as potential sources of bioactive compounds. Ukr. Food J. 2016, 5, 485–491. [Google Scholar] [CrossRef]
- Huang, W.-Y.; Zhang, H.-C.; Liu, W.-X.; Li, C.-Y. Survey of antioxidant capacity and phenolic composition of blueberry, blackberry, and strawberry in Nanjing. J. Zhejiang Univ. Sci. B 2012, 13, 94–102. [Google Scholar] [CrossRef]
- Cho, M.J.; Howard, L.; Prior, R.L.; Clark, J.R. Flavonoid glycosides and antioxidant capacity of various blackberry, blueberry and red grape genotypes determined by high-performance liquid chromatography/mass spectrometry. J. Sci. Food Agric. 2004, 84, 1771–1782. [Google Scholar] [CrossRef]
- Ryu, J.; Kwon, S.-J.; Jo, Y.D.; Jin, C.H.; Nam, B.M.; Lee, S.S.-Y.; Jeong, S.W.; Bin Im, S.; Oh, S.C.; Cho, L.; et al. Comparison of Phytochemicals and Antioxidant Activity in Blackberry (Rubus fruticosus L.) Fruits of Mutant Lines at the Different Harvest Time. Plant Breed. Biotechnol. 2016, 4, 242–251. [Google Scholar] [CrossRef]
- Oszmiański, J.; Lachowicz, S. Effect of the Production of Dried Fruits and Juice from Chokeberry (Aronia melanocarpa L.) on the Content and Antioxidative Activity of Bioactive Compounds. Molecules 2016, 21, 1098. [Google Scholar] [CrossRef]
- Aly, A.A.; Maraei, R.; El-Leel, O.A. Comparative study of some bioactive compounds and their antioxidant activity of some berry types. Potravin. Slovak J. Food Sci. 2019, 13, 515–523. [Google Scholar] [CrossRef]
- Skrovankova, S.; Sumczynski, D.; Mlcek, J.; Jurikova, T.; Sochor, J. Bioactive Compounds and Antioxidant Activity in Different Types of Berries. Int. J. Mol. Sci. 2015, 16, 24673–24706. [Google Scholar] [CrossRef]
- Diaconeasa, Z.; Iuhas, C.I.; Ayvaz, H.; Rugină, D.; Stanilă, A.; Dulf, F.V.; Bunea, A.; Socaci, S.A.; Socaciu, C.; Pintea, A. Phytochemical Characterization of Commercial Processed Blueberry, Blackberry, Blackcurrant, Cranberry, and Raspberry and Their Antioxidant Activity. Antioxidants 2019, 8, 540. [Google Scholar] [CrossRef] [PubMed]
- Tagliani, C.; Perez, C.; Curutchet, A.; Arcia, P.; Cozzano, S. Blueberry pomace, valorization of an industry by-product source of fibre with antioxidant capacity. Food Sci. Technol. 2019, 39, 644–651. [Google Scholar] [CrossRef]
- Čanadanović-Brunet, J.; Šaponjac, V.T.; Stajčić, S.; Ćetković, G.; Čanadanović, V.; Ćebović, T.; Vulić, J.; Stajčić, S. Polyphenolic composition, antiradical and hepatoprotective activities of bilberry and blackberry pomace extracts. J. Berry Res. 2019, 9, 349–362. [Google Scholar] [CrossRef]
- Cetojevic-Simin, D.; Ranitovic, A.; Cvetkovic, D.; Markov, S.; Vincic, M.; Djilas, S. Bioactivity of blackberry (Rubus fruticosus L.) pomace: Polyphenol content, radical scavenging, antimicrobial and antitumor activity. Acta Period. Technol. 2017, 48, 63–76. [Google Scholar] [CrossRef]
- Bobinaite, R.; Viskelis, P.; Venskutonis, P.R. Variation of total phenolics, anthocyanins, ellagic acid and radical scavenging capacity in various raspberry (Rubus spp.) cultivars. Food Chem. 2012, 132, 1495–1501. [Google Scholar] [CrossRef] [PubMed]
© 2020 by the authors. Licensee MDPI, Basel, Switzerland. This article is an open access article distributed under the terms and conditions of the Creative Commons Attribution (CC BY) license (http://creativecommons.org/licenses/by/4.0/).




