Influence of Perceptual Range on Human Perceived Restoration
Abstract
1. Introduction
2. Materials and Methods
3. Results
3.1. Redefined Contents of the PRS
3.2. Two Different PRS Scores
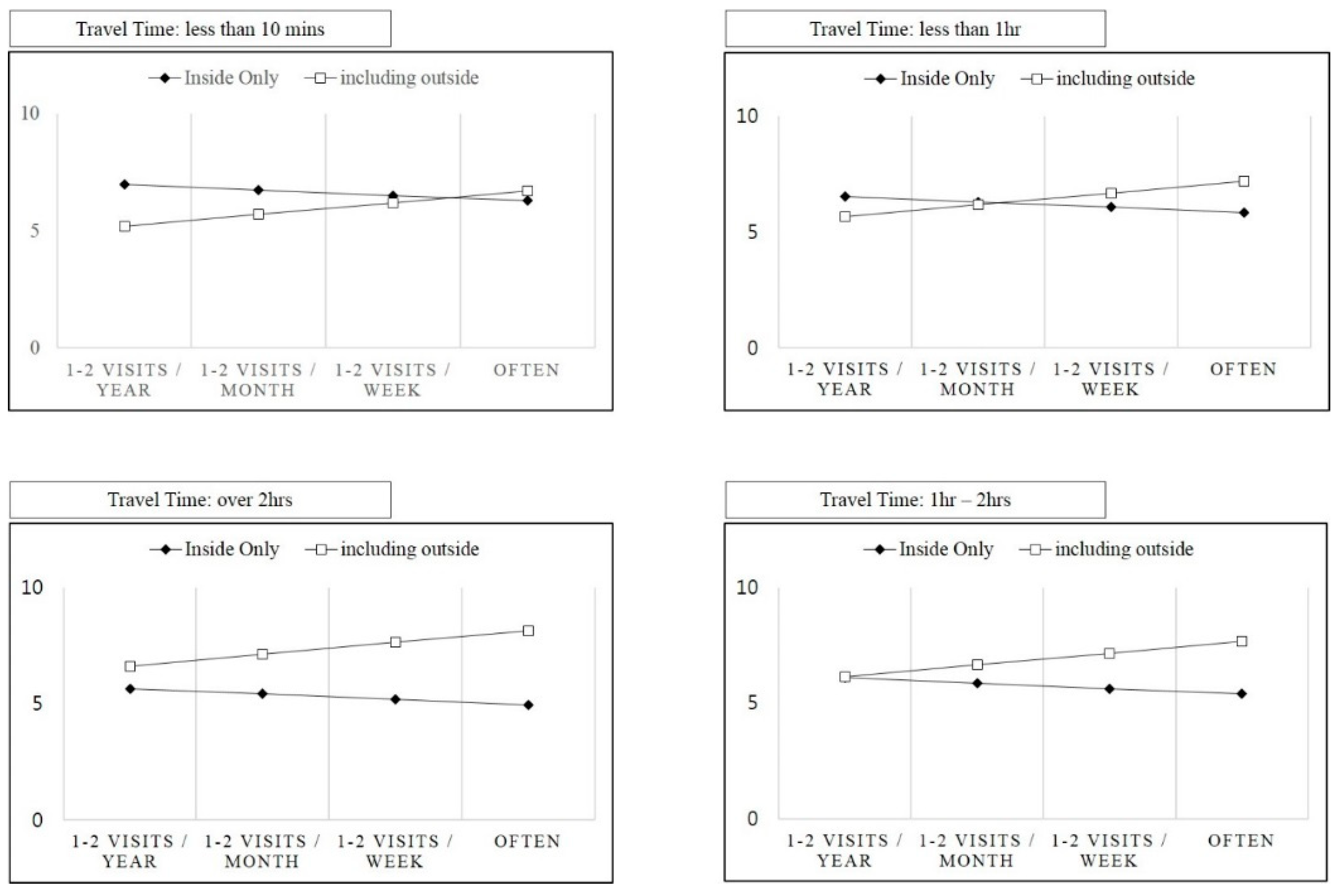
3.3. PRS with Social Context
3.3.1. Overall PRS
3.3.2. Being Away + Compatibility (BA + COM)
3.3.3. Fascination
4. Discussion and Conclusions
Supplementary Materials
Funding
Acknowledgments
Conflicts of Interest
References
- Cohen, D.A.; McKenzie, T.L.; Sehgal, A.; Williamson, S.; Golinelli, D.; Lurie, N. Contribution of public parks to physical activity. Am. J. Public Health 2007, 97, 509–514. [Google Scholar] [CrossRef] [PubMed]
- Floyd, M.F.; Spengler, J.O.; Maddock, J.E.; Gobster, P.H.; Suau, L.J. Park-based physical activity in diverse communities of two US cities: An observational study. Am. J. Prev. Med. 2008, 34, 299–305. [Google Scholar] [CrossRef] [PubMed]
- Hartig, T. Three steps to understanding restorative environments as health resources. In Open Space: People Space; Thompson, C.W., Travlou, P., Eds.; Taylor & Francis: London, UK, 2007; pp. 163–179. [Google Scholar]
- Hill, K. Design and Planning as Healing Arts: The Broader Context of Health and Environment; Island Press: Washington, DC, USA, 2002; Volume 1, pp. 203–214. [Google Scholar]
- Kaplan, R. The role of nature in the urban context. In Behavior and the Natural Environment; Altman, I., Wohlwill, J.F., Eds.; Springer: New York, NY, USA, 1983; pp. 127–161. [Google Scholar]
- Shores, K.A.; West, S.T. Rural and urban park visits and park-based physical activity. Prev. Med. 2010, 50, S13–S17. [Google Scholar] [CrossRef] [PubMed]
- Grahn, P.; Stigsdotter, U.A. Landscape planning and stress. Urban For. Urban Green. 2003, 2, 1–18. [Google Scholar] [CrossRef]
- Kaplan, R.; Kaplan, S. The Experience of Nature: A Psychological Perspective; Cambridge University Press: Cambridge, UK, 1989. [Google Scholar]
- Kaplan, S. The restorative benefits of nature: Toward an integrative framework. J. Environ. Psychol. 1995, 15, 169–182. [Google Scholar] [CrossRef]
- Völker, S.; Kistemann, T. The impact of blue space on human health and well-being–Salutogenetic health effects of inland surface waters: A review. Int. J. Hyg. Environ. Health 2011, 214, 449–460. [Google Scholar] [CrossRef] [PubMed]
- Ulrich, R.S. Natural versus urban scenes some psychophysiological effects. Environ. Behav. 1981, 13, 523–556. [Google Scholar] [CrossRef]
- Hartig, T.; Böök, A.; Garvill, J.; Olsson, T.; Gärling, T. Environmental influences on psychological restoration. Scand. J. Psychol. 1996, 37, 378–393. [Google Scholar] [CrossRef] [PubMed]
- Hartig, T.; Kaiser, F.G.; Bowler, P.A. Further Development of a Measure of Perceived Environmental Restorativeness; Institutet för Bostadsforskning: Fagersta, Sweden, 1997. [Google Scholar]
- Purcell, T.; Peron, E.; Berto, R. Why do preferences differ between scene types? Environ. Behav. 2001, 33, 93–106. [Google Scholar] [CrossRef]
- Berto, R. Exposure to restorative environments helps restore attentional capacity. J. Environ. Psychol. 2005, 25, 249–259. [Google Scholar] [CrossRef]
- Chang, C.Y.; Hammitt, W.E.; Chen, P.K.; Machnik, L.; Su, W.C. Psychophysiological responses and restorative values of natural environments in Taiwan. Landsc. Urban Plan. 2008, 85, 79–84. [Google Scholar] [CrossRef]
- Ivarsson, C.T.; Hagerhall, C.M. The perceived restorativeness of gardens–Assessing the restorativeness of a mixed built and natural scene type. Urban For. Urban Green. 2008, 7, 107–118. [Google Scholar] [CrossRef]
- Korpela, K.M.; Hartig, T.; Kaiser, F.G.; Fuhrer, U. Restorative experience and self-regulation in favorite places. Environ. Behav. 2001, 33, 572–589. [Google Scholar] [CrossRef]
- Laumann, K.; Gärling, T.; Stormark, K.M. Rating scale measures of restorative components of environments. J. Environ. Psychol. 2001, 21, 31–44. [Google Scholar] [CrossRef]
- Ulrich, R.S.; Simons, R.F.; Losito, B.D.; Fiorito, E.; Miles, M.A.; Zelson, M. Stress recovery during exposure to natural and urban environments. J. Environ. Psychol. 1991, 11, 201–230. [Google Scholar] [CrossRef]
- Clements, T.L.; Dorminey, S.J. Spectrum matrix landscape design and landscape experience. Landsc. J. 2011, 30, 241–260. [Google Scholar] [CrossRef]
- Devlin, A.S.; Bernstein, J. Interactive way-finding: Map style and effectiveness. J. Environ. Psychol. 1997, 17, 99–110. [Google Scholar] [CrossRef]
- Ward, T.B.; Foley, C.M.; Cole, J. Classifying multidimensional stimuli: Stimulus, task, and observer factors. J. Exp. Psychol. 1986, 12, 211–225. [Google Scholar] [CrossRef]
- Staats, H.; Jahncke, H.; Herzog, T.R.; Hartig, T. Urban options for psychological restoration: Common strategies in everyday situations. PLoS ONE 2016, 11, e0146213. [Google Scholar] [CrossRef] [PubMed]
- Kim, M.; Gim, T.H.T.; Sung, J.S. Applying the Concept of Perceived Restoration to the Case of Cheonggyecheon Stream Park in Seoul, Korea. Sustainability 2017, 9, 1368. [Google Scholar] [CrossRef]
- Herzog, T.R.; Rector, A.E. Perceived danger and judged likelihood of restoration. Environ. Behav. 2009, 41, 387–401. [Google Scholar] [CrossRef]
- Staats, H.; Hartig, T. Alone or with a friend: A social context for psychological restoration and environmental preferences. J. Environ. Psychol. 2004, 24, 199–211. [Google Scholar] [CrossRef]
- Cutt, H.; Giles-Corti, B.; Knuiman, M.; Burke, V. Dog ownership, health and physical activity: A critical review of the literature. Health Place 2007, 13, 261–272. [Google Scholar] [CrossRef] [PubMed]
- Von Lindern, E.; Bauer, N.; Frick, J.; Hunziker, M.; Hartig, T. Occupational engagement as a constraint on restoration during leisure time in forest settings. Landsc. Urban Plan. 2013, 118, 90–97. [Google Scholar] [CrossRef]
- Dirkin, G.R.; Hancock, P.A. Attentional narrowing to the visual periphery under temporal and acoustic stress. Aviat. Space Environ. Med. 1984, 55, 457. [Google Scholar]
- Hancock, P.A.; Szalma, J.L.; Weaver, J.L. The distortion of perceptual space-time under stress. In DoD Multidisciplinary Research Program: MURI Operator Performance Under Stress (OPUS), White Paper; Stanford Medicine: Stanford, CA, USA, 2002. [Google Scholar]
- Koelmel, E. The Interaction between the Physical Environment and Metaphysical States: The Role of Social Anxiety and Stress in Informing Spatial Perception; The College of Wooster Libraries: Wooster, OH, USA, 2013; Available online: http://openworks.wooster.edu/cgi/viewcontent.cgi?article=6439&context=independentstudy (accessed on 5 May 2018).
- Paul, M.; Lech, R.K.; Scheil, J.; Dierolf, A.M.; Suchan, B.; Wolf, O.T. Acute stress influences the discrimination of complex scenes and complex faces in young healthy men. Psychoneuroendocrinology 2016, 66, 125–129. [Google Scholar] [CrossRef] [PubMed]
- Downs, R.M.; Stea, D. Image and Environment: Cognitive Mapping and Spatial Behavior; Aldine Transaction Publishers: Moncton, NB, Canada, 1973. [Google Scholar]
- Han, S.G.; Huh, J.H. Estimate of the heat island and building cooling load changes due to the restored stream in Seoul, Korea. Int. J. Urban Sci. 2008, 12, 129–145. [Google Scholar] [CrossRef]
- Hester, R.T. Design for Ecological Democracy; MIT Press: Cambridge, MA, USA, 2006. [Google Scholar]
- Zweifela, C.; Van Wezemaela, J. Drawing as a qualitative research tool an approach to field work from a social complexity perspective. Tracey J. Draw. Knowl. 2012, 5, 1–16. [Google Scholar]
- Lynch, K. Good city form. In Sensuous Criteria for Highway Design; MIT Press: Cambridge, MA, USA, 1994. [Google Scholar]
- Sacks, H. Lectures on Conversation; Jefferson, G., Schegloff, E.A., Eds.; Wiley-Blackwell: Hoboken, NJ, USA, 1992; Volume 2. [Google Scholar]
- Korpela, K.; Hartig, T. Restorative qualities of favorite places. J. Environ. Psychol. 1996, 16, 221–233. [Google Scholar] [CrossRef]
- Lee, S.H.; Hyun, M.H. The comparison of natural environment and restorative environment in stress-buffering effects. Korean J. Health Psychol. 2004, 9, 609–632. [Google Scholar]
- Hipp, J.A.; Gulwadi, G.B.; Alves, S.; Sequeira, S. The relationship between perceived greenness and perceived restorativeness of university campuses and student-reported quality of life. Environ. Behav. 2016, 48, 1292–1308. [Google Scholar] [CrossRef]






| Contents | Number | % | X2 (p) | |
|---|---|---|---|---|
| Gender | Male | 93 | 45.8 | 0.001 (0.976) |
| Female | 110 | 54.2 | ||
| Age (years) | 11–20 | 24 | 11.8 | 1.552 (0.907) |
| 21–30 | 91 | 44.8 | ||
| 31–40 | 47 | 23.2 | ||
| 41–50 | 23 | 11.3 | ||
| 51–60 | 13 | 6.4 | ||
| 60+ | 5 | 2.5 | ||
| Number of companions | 0 | 15 | 7.4 | 2.811 (0.422) |
| 1 | 103 | 50.7 | ||
| 2 | 40 | 19.7 | ||
| 3+ | 45 | 22.2 | ||
| Frequency of visits | once a year | 113 | 55.9 | 2.333 (0.506) |
| once a month | 60 | 29.7 | ||
| once a week | 17 | 8.4 | ||
| twice a week or more | 12 | 5.9 | ||
| Travel time | <10 min | 33 | 16.3 | 4.154 (0.245) |
| 10 min–1 h | 132 | 65.0 | ||
| 1–2 h | 30 | 14.8 | ||
| over 2 h | 8 | 3.9 | ||
| PRS Subclass | Questionnaires | I | II | III |
|---|---|---|---|---|
| Being Away | It is an escape experience. | 0.738 | ||
| Spending time here gives me a good break from my day-to-day routine. | 0.726 | |||
| Fascination | The setting has fascinating qualities. | 0.662 | ||
| My attention is drawn to many interesting things. | 0.687 | |||
| I would like to get to know this place better. | 0.588 | |||
| There is nothing worth looking at here (Reverse). | 0.781 | |||
| This place is boring (Reverse). | 0.680 | |||
| Coherence | There is a great deal of distraction (Reverse). | 0.741 | ||
| It is chaotic here (Reverse) | 0.775 | |||
| Compatibility | Being here suits my personality. | 0.774 | ||
| There is accordance between what I like to do and these surroundings. | 0.760 | |||
| I have a sense that I belong here. | 0.738 | |||
| I can do things I like here. | 0.683 | |||
| I have a sense of oneness with this setting. | 0.716 | |||
| Eigenvalues | 6.811 | 2.113 | 1.144 | |
| Percentage of total variance | 42.570 | 13.207 | 7.147 | |
| Number of test measures | 8 | 4 | 2 |
| Internal Spatial Perception Group N = 153 Mean (Standard Deviation) | External Spatial Perception Group N = 50 Mean (Standard Error) | t-Test | |
|---|---|---|---|
| Overall | 6.34 (1.243) | 5.93 (1.324) | 1.94 * |
| BA + COM | 6.62 (1.381) | 6.01 (1.502) | 2.53 ** |
| FA | 6.02 (1.820) | 5.40 (1.648) | 2.24 ** |
| CH | 5.88 (1.617) | 6.65 (1.782) | −2.70 *** |
© 2018 by the author. Licensee MDPI, Basel, Switzerland. This article is an open access article distributed under the terms and conditions of the Creative Commons Attribution (CC BY) license (http://creativecommons.org/licenses/by/4.0/).
Share and Cite
Kim, M. Influence of Perceptual Range on Human Perceived Restoration. Sustainability 2018, 10, 3139. https://doi.org/10.3390/su10093139
Kim M. Influence of Perceptual Range on Human Perceived Restoration. Sustainability. 2018; 10(9):3139. https://doi.org/10.3390/su10093139
Chicago/Turabian StyleKim, Moohan. 2018. "Influence of Perceptual Range on Human Perceived Restoration" Sustainability 10, no. 9: 3139. https://doi.org/10.3390/su10093139
APA StyleKim, M. (2018). Influence of Perceptual Range on Human Perceived Restoration. Sustainability, 10(9), 3139. https://doi.org/10.3390/su10093139
