A Predictive Environmental Assessment Method for Construction Operations: Application to a Northeast China Case Study
Abstract
1. Introduction
2. Literature Review
2.1. Uncertainty and Dynamics in Construction
2.2. LCA and DES in Construction Applications
3. The DES-pLCA Framework
| Algorithm 1. Pseudocode for DES-pLCA automatic calculation procedure. |
| procedure DES-pLCA while assessed scenario m < total feasible scenario M, do LCI while simulation replication n < minimum times N, do run DES-based simulation n<--n+1 return impact sources and quantities Qn of each replication with data channel end LCIA pollutant emissions: En<--Qn×e (e is emission factor, automatically identifies related Q) environmental indicator value: EIn<-- En×c (c is characterization factor) m<--m+1 return environmental indicator average value EIm<--∑EIn / m and variation end |
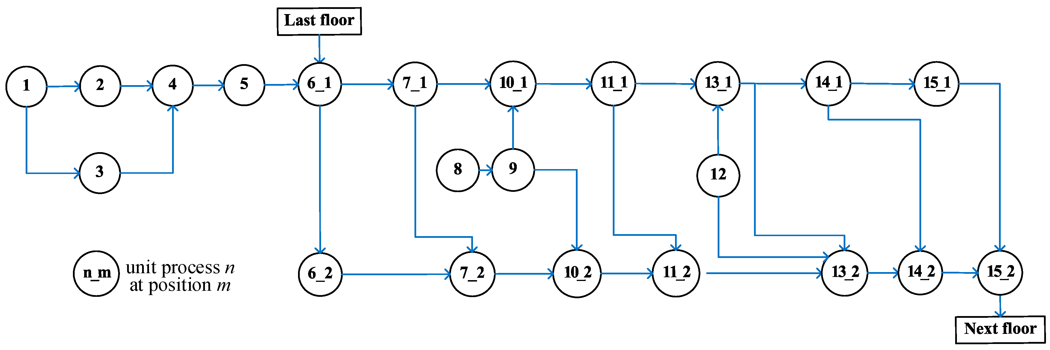
3.1. DES Model of Construction
3.1.1. Identify the Simulation’s Purpose and Scope
3.1.2. Build the Conceptual Model
3.1.3. Build the Simulation Model
3.1.4. Validation
3.2. Process-Based LCA for Construction
3.3. DES and pLCA Integration for Decision Support
4. Prototype and Application
4.1. DES Model Production
4.2. LCA Assessment
4.3. Application Results
4.3.1. The Base Scenario and Impact Sources Analysis
4.3.2. Alternative Scenarios
4.3.3. Sensitivity Analysis
5. Discussion
6. Conclusions
- Quantify variations in environmental indicators due to uncertain factors and dynamic effects.
- Assess the environmental impact of a base scenario for the identification of important impact sources.
- Compare construction scenarios for the selection of the best options for impact reduction.
- Identify the most crucial factors for construction management from a sensitivity analysis.
Author Contributions
Funding
Conflicts of Interest
Appendix A. Simulation Model Validation
| Impact Sources | Real Construction Quantity Survey (Full Working Hours or Tonnes) | Simulation (Full Working Hours or Tonnes) |
|---|---|---|
| Crane tower | 14 | 13.04 |
| Lift | 1 | 0.46 |
| Concrete pump | 34 | 35.64 |
| Vibrating screen | 77 | 87.16 |
| Trailer for steel HPB235 | 18 | 26.01 |
| Trailer for steel HRB335/HRB400 | 805 | 827.38 |
| Steel straightener | 40 | 40.00 |
| Steel bender | 70 | 69.85 |
| Steel cutter | 106 | 105.66 |
| Threading machine | 64 | 64.24 |
| Concrete mixer truck | 1542 | 1672.00 |
| Formwork cutter | 66 | 66.15 |
| Formwork truck | 20 | 17.92 |
| Plywood | 77 | 75.45 |
| Steel tube | 2.035 | 1.976 |
| Joint | 8.110 | 7.876 |
| Bolt | 5.951 | 5.779 |
| Iron wire | 16.925 | 18.022 |
| Batten | 0.179 | 0.174 |
| Water | 8.211 | 6.590 |
| PVC | 0.617 | 0.827 |
| Null Hypothesis | Test | Sig. | Decision |
|---|---|---|---|
| The median of differences between the real construction and the simulation equals 0. | Related-samples Wilcoxon signed-rank test | 0.959 | Retain the null hypothesis. |
References
- Bilec, M.; Ries, R.; Matthews, H.S.; Sharrard, A.L. Example of a hybrid life-cycle assessment of construction processes. J. Infrastruct. Syst. 2006, 12, 207–215. [Google Scholar] [CrossRef]
- Devi, L.P.; Palaniappan, S. A study on energy use for excavation and transport of soil during building construction. J. Clean. Prod. 2017, 164, 543–556. [Google Scholar] [CrossRef]
- Hiwase, P.; Raman, N.; Hajare, H. Critical factor of large township building and its relevance in environmental audit: A critical evaluation. Environ. Dev. Sustain. 2018, 20, 433–449. [Google Scholar] [CrossRef]
- Trafikverket Klimatkrav. Available online: https://www.trafikverket.se/for-dig-i-branschen/miljo---for-dig-i-branschen/energi-och-klimat/klimatkrav/ (accessed on 24 October 2018).
- Collyer, S.; Warren, C.M. Project management approaches for dynamic environments. Int. J. Proj. Manag. 2009, 27, 355–364. [Google Scholar] [CrossRef]
- Nguyen, L.D.; Ogunlana, S.O. Modeling the dynamics of an infrastructure project. Comput. Aided Civ. Infrastruct. Eng. 2005, 20, 265–279. [Google Scholar] [CrossRef]
- Ghasri, M.; Maghrebi, M.; Rashidi, T.H.; Waller, S.T. Hazard-based model for concrete pouring duration using construction site and supply chain parameters. Autom. Constr. 2016, 71, 283–293. [Google Scholar] [CrossRef]
- Moret, Y.; Einstein, H.H. Construction cost and duration uncertainty model: Application to high-speed rail line project. J. Constr. Eng. Manag. 2016, 142, 05016010. [Google Scholar] [CrossRef]
- Zhang, H. Discrete-Event Simulation for Estimating Emissions from Construction Processes. J. Manag. Eng. 2015, 31, 04014034. [Google Scholar] [CrossRef]
- Dixit, M.K.; Fernández-Solís, J.L.; Lavy, S.; Culp, C.H. Identification of parameters for embodied energy measurement: A literature review. Energy Build. 2010, 42, 1238–1247. [Google Scholar] [CrossRef]
- Langston, Y.L.; Langston, C.A. Reliability of building embodied energy modelling: An analysis of 30 Melbourne case studies. Constr. Manag. Econ. 2008, 26, 147–160. [Google Scholar] [CrossRef]
- Hong, J.; Shen, G.Q.; Feng, Y.; Lau, W.S.-T.; Mao, C. Greenhouse gas emissions during the construction phase of a building: A case study in China. J. Clean. Prod. 2015, 103, 249–259. [Google Scholar] [CrossRef]
- Asbjornsen, O.A. Quality assurance and control (QAC) of uncertainty models and simulations of life cycle assessment (LCA). In Proceedings of the 3rd International Symposium on Uncertainty Modeling and Analysis and Annual Conference of the North American Fuzzy Information Processing Society, College Park, MD, USA, 17–20 September 1995; pp. 252–257. [Google Scholar]
- Löfgren, B.; Tillman, A.M. Relating manufacturing system configuration to life-cycle environmental performance: Discrete-event simulation supplemented with LCA. J. Clean. Prod. 2011, 19, 2015–2024. [Google Scholar] [CrossRef]
- Gidado, K. Project complexity: The focal point of construction production planning. Constr. Manag. Econ. 1996, 14, 213–225. [Google Scholar] [CrossRef]
- Lu, W.; Olofsson, T. Building information modeling and discrete event simulation: Towards an integrated framework. Autom. Constr. 2014, 44, 73–83. [Google Scholar] [CrossRef]
- Love, P.E.; Holt, G.D.; Shen, L.Y.; Li, H.; Irani, Z. Using systems dynamics to better understand change and rework in construction project management systems. Int. J. Proj. Manag. 2002, 20, 425–436. [Google Scholar] [CrossRef]
- Segerstedt, A.; Olofsson, T. Supply chains in the construction industry. Supply Chain Manag. Int. J. 2010, 15, 347–353. [Google Scholar] [CrossRef]
- Wang, C.; Zhang, S.; Du, C.; Pan, F.; Xue, L. A Real-Time Online Structure-Safety Analysis Approach Consistent with Dynamic Construction Schedule of Underground Caverns. J. Constr. Eng. Manag. 2016, 142, 04016042. [Google Scholar] [CrossRef]
- Costa, A.L.; Sousa, R.L.; Einstein, H.H. Probabilistic 3D alignment optimization of underground transport infrastructure integrating GIS-based subsurface characterization. Tunn. Undergr. Space Technol. 2018, 72, 233–241. [Google Scholar] [CrossRef]
- Gosling, J.; Naim, M.; Towill, D. Identifying and categorizing the sources of uncertainty in construction supply chains. J. Constr. Eng. Manag. 2012, 139, 102–110. [Google Scholar] [CrossRef]
- Liu, J.; Lu, M. Constraint Programming Approach to Optimizing Project Schedules under Material Logistics and Crew Availability Constraints. J. Constr. Eng. Manag. 2018, 144, 04018049. [Google Scholar] [CrossRef]
- Pena-mora, F.; Park, M. Dynamic Planning for Fast—Tracking Building Construction Porject. J. Constr. Eng. Manag. 2001, 127, 445–457. [Google Scholar] [CrossRef]
- Alvanchi, A.; Lee, S.; AbouRizk, S. Dynamics of working hours in construction. J. Constr. Eng. Manag. 2011, 138, 66–77. [Google Scholar] [CrossRef]
- Alzraiee, H.; Zayed, T.; Moselhi, O. Dynamic planning of construction activities using hybrid simulation. Autom. Constr. 2015, 49, 176–192. [Google Scholar] [CrossRef]
- Park, M. Model-based dynamic resource management for construction projects. Autom. Constr. 2005, 14, 585–598. [Google Scholar] [CrossRef]
- Liu, C.; An, X.; Ahn, C.R.; Lee, S. Integrated evaluation of cost, schedule and emission performance on rock-filled concrete dam construction operation using discrete event simulation. In Proceedings of the 2013 Winter Simulation Conference: Simulation: Making Decisions in a Complex World, Washington, DC, USA, 8–11 December 2013; pp. 3109–3120. [Google Scholar]
- Pasquet, V.; Behary, N.; Perwuelz, A. Environmental impacts of chemical/ecotechnological/biotechnological hydrophilisation of polyester fabrics. J. Clean. Prod. 2014, 65, 551–560. [Google Scholar] [CrossRef]
- Shadram, F.; Johansson, T.D.; Lu, W.; Schade, J.; Olofsson, T. An integrated BIM-based framework for minimizing embodied energy during building design. Energy Build. 2016, 128, 592–604. [Google Scholar] [CrossRef]
- Wang, Y.; Feng, K.; Lu, W. An environmental assessment and optimization method for contractors. J. Clean. Prod. 2017, 142 Pt 4, 1877–1891. [Google Scholar] [CrossRef]
- Blom, I.; Itard, L.; Meijer, A. LCA-based environmental assessment of the use and maintenance of heating and ventilation systems in Dutch dwellings. Build. Environ. 2010, 45, 2362–2372. [Google Scholar] [CrossRef]
- Li, X.; Zhu, Y.; Zhang, Z. An LCA-based environmental impact assessment model for construction processes. Build. Environ. 2010, 45, 766–775. [Google Scholar] [CrossRef]
- Fu, F.; Sun, J.; Pasquire, C. Carbon emission assessment for steel structure based on lean construction process. J. Intell. Robot. Syst. 2015, 79, 401–416. [Google Scholar] [CrossRef]
- Ortiz, O.; Castells, F.; Sonnemann, G. Sustainability in the construction industry: A review of recent developments based on LCA. Constr. Build. Mater. 2009, 23, 28–39. [Google Scholar] [CrossRef]
- Gámez-García, D.; Gómez-Soberón, J.; Corral-Higuera, R.; Saldaña-Márquez, H.; Gómez-Soberón, M.; Arredondo-Rea, S. A Cradle to Handover Life Cycle Assessment of External Walls: Choice of Materials and Prognosis of Elements. Sustainability 2018, 10, 2748. [Google Scholar] [CrossRef]
- De Lassio, J.; França, J.; Espirito Santo, K.; Haddad, A. Case Study: LCA Methodology Applied to Materials Management in a Brazilian Residential Construction Site. J. Eng. 2016, 2016, 8513293. [Google Scholar] [CrossRef]
- Reza, B.; Sadiq, R.; Hewage, K. Emergy-based life cycle assessment (Em-LCA) of multi-unit and single-family residential buildings in Canada. Int. J. Sustain. Built Environ. 2014, 3, 207–224. [Google Scholar] [CrossRef]
- Feng, K.; Wang, Y.; Lu, W. Weakness of Embodied Energy Assessment on Construction: A Literature Review. In Proceedings of the International Conference on Construction and Real Estate Management, Edmonton, AB, Canada, 29 September–1 October 2016. [Google Scholar]
- Ding, G.K.C. The Development of a Multi-Criteria Approach for the Measurement of Sustainable Performance for Built Projects and Facilities. Ph.D. Thesis, University of Technology Sydney, Ultimo, Australia, 2004. [Google Scholar]
- Crawford, R.H.; Treloar, G.J. Validation of the use of Australian input-output data for building embodied energy simulation. In Proceedings of the Eighth International Building Performance Simulation Association Conference on Building Simulation: For better Building Design, Eindhoven, The Netherlands, 1–14 August 2003; pp. 235–242. [Google Scholar]
- Ahmed, B.M.A.; Nassar, K. Discrete-Event Activity Simulation for Predicting Occupants’ Movements in Buildings. In Proceedings of the Fourth Joint International Symposium on Information Technology in Civil Engineering, Nashville, TN, USA, 15–16 November 2003; pp. 1–10. [Google Scholar]
- Wang, P.W.; Abourizk, A.R.M. Large-scale simulation modeling system for industrial construction. Can. J. Civ. Eng. 2009, 36, 1517–1529. [Google Scholar] [CrossRef]
- Chunna, L.; Ahn, C.R.; Xuehui, A.; Sanghyun, L. Integrated evaluation of cost, schedule and emission performance on rock-filled concrete dam construction operation using discrete event simulation. In Proceedings of the 2013 Winter Simulation Conference, Washington, DC, USA, 8–11 December 2013; pp. 3109–3120. [Google Scholar]
- Nassar, K.; Al-Kaisy, A. Assessing sign occlusion in buildings using discrete event simulation. Autom. Constr. 2008, 17, 799–808. [Google Scholar] [CrossRef]
- Aziz, Z.; Qasim, R.M.; Wajdi, S. Improving productivity of road surfacing operations using value stream mapping and discrete event simulation. Constr. Innov. 2017, 17, 294–323. [Google Scholar] [CrossRef]
- Larsson, J.; Lu, W.; Krantz, J.; Olofsson, T. Discrete Event Simulation Analysis of Product and Process Platforms: A Bridge Construction Case Study. J. Constr. Eng. Manag. 2016, 142, 04015097. [Google Scholar] [CrossRef]
- Zhang, H. Simulation-based estimation of fuel consumption and emissions of asphalt paving operations. J. Comput. Civ. Eng. 2014, 29, 04014039. [Google Scholar] [CrossRef]
- González, V.; Echaveguren, T. Exploring the environmental modeling of road construction operations using discrete-event simulation. Autom. Constr. 2012, 24, 100–110. [Google Scholar] [CrossRef]
- Golzarpoor, H.; González, V.; Shahbazpour, M.; O’Sullivan, M. An input-output simulation model for assessing production and environmental waste in construction. J. Clean. Prod. 2017, 143, 1094–1104. [Google Scholar] [CrossRef]
- Tolk, A.; Turnitsa, C.D. Conceptual modeling of information exchange requirements based on ontological means. In Proceedings of the Conference on Winter Simulation: 40 Years! the Best Is Yet to Come, Washington, DC, USA, 9–12 December 2007; pp. 1100–1107. [Google Scholar]
- Mohamed, Y.; AbouRizk, S.M. A hybrid approach for developing special purpose simulation tools. Can. J. Civ. Eng. 2011, 33, 1505–1515. [Google Scholar] [CrossRef]
- Farzaneh, S.; Yasser, M. An ontology-driven framework for enhancing reusability of distributed simulation modeling of industrial construction processes. Can. J. Civ. Eng. 2013, 40, 917–926. [Google Scholar]
- El-Diraby, T.; Lima, C.; Feis, B. Domain taxonomy for construction concepts: Toward a formal ontology for construction knowledge. J. Comput. Civ. Eng. 2005, 19, 394–406. [Google Scholar] [CrossRef]
- El-Diraby, T.E.; Osman, H. A domain ontology for construction concepts in urban infrastructure products. Autom. Constr. 2011, 20, 1120–1132. [Google Scholar] [CrossRef]
- Fischer, M.; Lacasse, M.A.; Vanier, D.J.; Aalami, F.; Kuhne, C.; Ripberger, A. Cost-loaded production model for planning and control cost-loaded production model. In Durability of Building Materials and Components 8; Lacasse, M.A., Vanier, D.J., Eds.; NRC Press: Ottawa, ON, Canada, 1999. [Google Scholar]
- Cheng, M.Y.; Tran, D.H. Integrating Chaotic Initialized Opposition Multiple-Objective Differential Evolution and Stochastic Simulation to Optimize Ready-Mixed Concrete Truck Dispatch Schedule. J. Manag. Eng. 2015, 32, 04015034. [Google Scholar] [CrossRef]
- Banks, J. Handbook of Simulation: Principles, Methodology, Advances, Applications, and Practice; John Wiley & Sons: Hoboken, NJ, USA, 1998. [Google Scholar]
- International Organization for Standardization. Environmental Management: Life Cycle Assessment: Principles and Framework; ISO: Geneva, Switzerland, 1997; Volume 14040. [Google Scholar]
- Sustainability of Construction Works–Environmental Product Declarations–Core Rules for the Product Category of Construction Products; EN 15804:2012+A1:2013; European Committee for Standardization: Brussels, Belgium, 2013.
- U.S. Environmental Protection Agency. Evaluation of Power Systems Research (PSR) Nonroad Population Data Base. Available online: https://www3.epa.gov/otaq/models/nonrdmdl/nrtask1a.pdf (accessed on 30 December 2017).
- U.S. Environmental Protection Agency. Median Life, Annual Activity, and Load Factor Values for Nonroad Engine Emissions Modeling; U.S. Environmental Protection Agency: Washington, DC, USA, 2010.
- Guinée, J.B. Handbook on life cycle assessment operational guide to the ISO standards. Int. J. Life Cycle Assess. 2002, 7, 311. [Google Scholar] [CrossRef]
- IPCC. IPCC Fifth Assessment Report; IPCC: Geneva, Switzerland, 2013. [Google Scholar]
- De Wit, S.; Augenbroe, G. Analysis of uncertainty in building design evaluations and its implications. Energy Build. 2002, 34, 951–958. [Google Scholar] [CrossRef]
- Dehghanimohammadabadi, M.; Keyser, T.K. Intelligent simulation: Integration of SIMIO and MATLAB to deploy decision support systems to simulation environment. Simul. Model. Pract. Theory 2017, 71, 45–60. [Google Scholar] [CrossRef]
- Tam, V.W.; Shen, L.; Tam, C.M. Assessing the levels of material wastage affected by sub-contracting relationships and projects types with their correlations. Build. Environ. 2007, 42, 1471–1477. [Google Scholar] [CrossRef]
- Lorscheid, I.; Heine, B.-O.; Meyer, M. Opening the ‘black box’ of simulations: Increased transparency and effective communication through the systematic design of experiments. Comput. Math. Organ. Theory 2012, 18, 22–62. [Google Scholar] [CrossRef]
- NDRC. Provincial Greenhouse Gas Inventory Guidelines; NDRC: Beijing, China, 2011. (In Chinese)
- Yang, J. Life Cycle Assessment and Application; China Meteorological Press: Beijing, China, 2002. (In Chinese)
- Yang, X. Quantitative Assessment of Environmental Impact on Construction during Planning and Designing Phases. Master’s Thesis, Tsinghua University, Beijing, China, 2003. [Google Scholar]
- Zhou, Y.X.; Su, Y. Assessment of building energy consumption and environmental impact based on life cycle theory. Constr. Manag. Mod. 2009, 23, 109–112. (In Chinese) [Google Scholar]
- Gong, Z. A Quantitative Method to the Assessment of the Life Cycle Embodied Environmental Profile of Building Materials; Tsinghua University: Beijing, China, 2004. (In Chinese) [Google Scholar]
- Gong, Z.; Zhang, Z.H. Quantitative assessment of the embodied environmental profile of building materials. J. Tsinghua Univ. (Sci. Technol.) 2004, 44, 1209–1213. (In Chinese) [Google Scholar]
- Seppälä, J.; Koskela, S.; Melanen, M.; Palperi, M. The Finnish metals industry and the environment. Resour. Conserv. Recycl. 2002, 35, 61–76. [Google Scholar] [CrossRef]
- Yan, P.; Yang, J. Quantitative assessment of the embodied environmental impact of wood products. J. Tsinghua Univ. (Sci. Technol.) 2008, 48, 15–18. (In Chinese) [Google Scholar]
- Lee, J.-S.; Filatova, T.; Ligmann-Zielinska, A.; Hassani-Mahmooei, B.; Stonedahl, F.; Lorscheid, I.; Voinov, A.; Polhill, J.G.; Sun, Z.; Parker, D.C. The complexities of agent-based modeling output analysis. J. Artif. Soc. Soc. Simul. 2015, 18, 4. [Google Scholar] [CrossRef]
- Krantz, J.; Larsson, J.; Lu, W.; Olofsson, T. Assessing embodied energy and greenhouse gas emissions in infrastructure projects. Buildings 2015, 5, 1156–1170. [Google Scholar] [CrossRef]
- Lasvaux, S.; Habert, G.; Peuportier, B.; Chevalier, J. Comparison of generic and product-specific Life Cycle Assessment databases: Application to construction materials used in building LCA studies. Int. J. Life Cycle Assess. 2015, 20, 1473–1490. [Google Scholar] [CrossRef]
- Häfliger, I.-F.; John, V.; Passer, A.; Lasvaux, S.; Hoxha, E.; Saade, M.R.M.; Habert, G. Buildings environmental impacts’ sensitivity related to LCA modelling choices of construction materials. J. Clean. Prod. 2017, 156, 805–816. [Google Scholar] [CrossRef]
- Hoxha, E.; Habert, G.; Lasvaux, S.; Chevalier, J.; Le Roy, R. Influence of construction material uncertainties on residential building LCA reliability. J. Clean. Prod. 2017, 144, 33–47. [Google Scholar] [CrossRef]
- Kanan, R.; Elhassan, O.; Bensalem, R. An IoT-based autonomous system for workers’ safety in construction sites with real-time alarming, monitoring, and positioning strategies. Autom. Constr. 2018, 88, 73–86. [Google Scholar] [CrossRef]













| Real World | Conceptual World | Simulated World |
|---|---|---|
| Material processing, offsite transportation, onsite construction | Unit process | Server, process |
| Building components | Product | Entity |
| Auxiliary materials, construction equipment | Resource | Resource |
| ID | Unit Process | Product | Resources | Quantity |
|---|---|---|---|---|
| 1 | S-offsite transportation | Unprocessed steel bar | Diesel trailer-25 t | 3 |
| 2 | S-straightening (HPB235) | Processing steel bar | Electric bar straightener | 3 |
| 3 | S-bending (HRB335/HRB400) | Processing steel bar | Electric steel bar bender | 8 |
| 4 | S-cutting | Processing steel bar | Electric steel bar cutter | 9 |
| 5 | S-threading | Processing steel bar | Electric die head threading machine | 5 |
| 6 | S-onsite transportation | Processed steel bar | Electric crane tower/lift | 1/1 |
| 7 | S-installation | Steel bar in component | Iron wire | 3852.34 kg |
| 8 | F-offsite transportation | Unprocessed plywood | Plywood, 12 mm; Diesel truck, 15 t | 64.4 t 1 |
| 9 | F-cutting | Processing plywood | Electric cutting machine | 4 |
| 10 | F-onsite transportation | Processed plywood | Electric crane tower/lift | 1/1 |
| 11 | F-installation | Assemble formwork system | Steel tube Joint Bolt Iron wire Batten | 1695.57 kg 6758.46 kg 4959.22 kg 10,646.57 kg 149.46 m3 |
| 12 | C-offsite transportation | Premixed concrete | Mixer truck, 7 m3 | 5 |
| 13 | C-pumping | Onsite concrete | Electric concrete pump, 80 kW | 4 |
| 14 | C-vibration | Onsite concrete | Electric vibrator, 1.5 kW | 20 |
| 15 | C-curing | Concrete component | Water PVC | 6842.79 m3 514.32 kg |
| Index | Name | Influenced Process | Details |
|---|---|---|---|
| D1 | Traffic conditions | C-offsite transportation | Traffic busy: truck speed = 25 km/h, 0.2961 L/km Traffic idle: truck speed = 30 km/h, 0.2468 L/km |
| D2 | Height of working site | S- and F-onsite transportation | Height = 4 × (complete floor) + 25 |
| U1 | WP of steel vertical transportation | S-onsite transportation | Crane: 1.5/(2 × Height/45 + 1.5 + 1 + 2.5) × Triangular (0.83, 1, 1.17); Lift: 4/(2 × Height/60 + 6) × Triangular (0.83, 1, 1.17) |
| U2 | WP of steel installation | S-installation | 0.045 × Triangular (0.83, 1, 1.17) |
| U3 | WP of formwork vertical transportation | F-onsite transportation | 1.5/(2 × Height/45 + 1.5 + 1 + 2.5) × Triangular (0.83, 1, 1.17); Lift: 4/(2 × Height/60 + 6) × Triangular (0.83, 1, 1.17) |
| U4 | WP of formwork installation | F-installation | 0.36 × Triangular (0.83, 1, 1.17) |
| U5 | WP of concrete pumping | C-pumping | Triangular (0.83, 1, 1.17) × 104/(7.5 + Height) |
| U6 | WP of concrete vibration | C-vibration | 5 × Triangular (0.83, 1, 1.17) |
| U7 | WR of steel installation | S-installation | Gaussian (7.7%, 0.0385) [66] |
| U8 | WR of formwork installation | F-installation | Gaussian (20%, 0.1) [66] |
| Impact Sources | Unit | Impact Equivalents a by CML 2002 | Reference |
|---|---|---|---|
| Electricity | kWh | GWP: 1.096; AP: 0.0135; EP: 6.51 × 10−4; POCP: 4.86 × 10−4; ADP: 0.176; HTP: 8.79 × 10−3 | [68] b; [69,70] c |
| Diesel | kg | GWP: 0.818; AP: 0.0542; EP: 3.27 × 10−3; POCP: 2.21 × 10−3; ADP: 2.195; HTP: 3.71 × 10−3 | [69,71] c |
| Water | m3 | GWP: 0.213; AP: 2.70 × 10−3; EP: 1.30 × 10−4; POCP: 8.20 × 10−5; ADP: 0; HTP: 1.92 × 10−4 | [70] c |
| PVC | kg | GWP: 0.247; AP: 5.13 × 10−3; EP: 3.28 × 10−4; POCP: 1.91 × 10−4; ADP: 1.08 × 10−5; HTP: 4.74 × 10−3 | [72] c |
| Iron wire | kg | GWP: 7.442; AP: 0.0661; EP: 4.23 × 10−3; POCP: 7.43 × 10−3; ADP: 1.56 × 10−3; HTP: 0.1056 | [73] c |
| Annealed iron wire | kg | GWP: 6.362; AP: 9.9 × 10−3; EP: 1.45 × 10−3 POCP: 6.03 × 10−3; ADP: 1.64 × 10−3; HTP: 0.1075 | [73] c; [74] |
| Plywood | kg | GWP: 1.049; AP: 0.0128; EP: 7.14 × 10−4; POCP: 4.73 × 10−4; ADP: 1.80 × 10−5; HTP: 0.0174 | [75] c |
| Steel tube | kg | GWP: 3.589; AP: 0.0668; EP: 4.27 × 10−3; POCP: 6.39 × 10−3; ADP: 1.57 × 10−3; HTP: 0.107 | [73] c |
| Joint | kg | GWP: 3.589; AP: 0.0668; EP: 4.27 × 10−3; POCP: 6.39 × 10−3; ADP: 1.57 × 10−3; HTP: 0.107 | [73] c |
| Bolt | kg | GWP: 3.589; AP: 0.0668; EP: 4.27 × 10−3; POCP: 6.39 × 10−3; ADP: 1.57 × 10−3; HTP: 0.107 | [73] c |
| Batten | kg | GWP: 1.049; AP: 0.0128; EP: 7.14 × 10−4; POCP: 4.73 × 10−4; ADP: 1.80 × 10−5; HTP: 0.0174 | [75] c |
| Scenario (SC.) | Base and Feasible Scenarios | Detail |
|---|---|---|
| base | C-supplier1 (30 km) with Mixer truck (7 m3) | 180 hp |
| Steel trailer (25 t) | 400 hp | |
| Concrete pump (80 kW) | 1 × 104/(7.5 + Height) m3/h | |
| Crane ST60/15 | 41/4/8 kW, 45 m/min, 1.5 tonnes | |
| Lift SCD200/200V | 56 kW, 60 m/min, 4 tonnes | |
| Crane has priority | ||
| Concrete vibrator (30 mm) | 1.5 kW, 5 m3/h | |
| Iron wire ϕ 0.7 mm | 3.02 kg/km | |
| Concrete supplier | ||
| 2 | C-supplier1 (30 km) with Mixer truck (6 m3) | 130 hp |
| 3 | C-supplier1 (30 km) with Mixer truck (5 m3) | 103 hp |
| 4 | C-supplier2 (18.5 km) with Mixer truck (7 m3) | 180 hp |
| 5 | C-supplier2 (18.5 km) with Mixer truck (6 m3) | 130 hp |
| 6 | C-supplier2 (18.5 km) with Mixer truck (5 m3) | 103 hp |
| Steel transport vehicle | ||
| 7 | Steel truck (6 t) | 160 hp |
| Type of concrete pump | ||
| 8 | Concrete pump (60 kW) | 0.8 × 104/(10 + Height) m3/h |
| 9 | Concrete pump (45 kW) | 0.8 × 104/(20 + Height) m3/h |
| 10 | Concrete pump (30 kW) | 0.4 × 104/(20 + Height) m3/h |
| Type of crane tower | ||
| 11 | Crane XGT8039-25 | 90/26.1/15 kW, 37.6 m/min, 8 tonnes |
| 12 | Crane XGT8040-25 | 110/27/15 kW, 48.4 m/min, 7.6 tonnes |
| Type of construction lift | ||
| 13 | Lift SC200-200E | 66 kW, 36 m/min, 4 tonnes |
| 14 | Lift SC200-200P | 60 kW, 23 m/min, 4 tonnes |
| Vertical transport strategy | ||
| 15 | Lift has priority | |
| Type of vibrator | ||
| 16 | Vibrator 50 mm | 2.2 kW, 14 m3/h |
| 17 | Vibrator 80 mm | 3.0 kW, 35 m3/h |
| Type of iron wire | ||
| 18 | Annealed iron wire ϕ 1.2 mm | 8.88 kg/km |
| Indicator | Best Individual Scenario on Indictor | Combined Scenarios’ Performance on Indicator | |||||||
|---|---|---|---|---|---|---|---|---|---|
| Concrete Supplier | Steel Transport Vehicle | Concrete Pump Type | Crane Tower Type | Lift Type | Vertical Transport Strategy | Vibrator Type | Iron Wire Type | ||
| GWP | 6 | base | 9 | 12 | base | 15 | 16 | base | 305,604 + 14,258/−17,118 (−2.5%) |
| AP | 6 | 7 | 10 | 11 | base | 15 | 16 | 18 | 3910 + 121/−135 (−21.7%) |
| EP | 6 | 7 | 10 | 11, 12 | base, 13 | 15 | 16 | base | 277 + 10/−10 (−8.2%) |
| POCP | 6 | 7 | 10 | 11, 12 | base | 15 | 16 | base | 329 + 14/−14 (−4.8%) |
| ADP | 6 | 7 | base | 11 | base | 15 | 17 | base | 41,045 + 1056/−811 (−32.5%) |
| HTP | 6 | base | 10 | 12 | base | 15 | 16 | base | 5249 + 233/−221 (−0.9%) |
| Rank | Index | Uncertainty Factor |
|---|---|---|
| 1 | U8 | material wastage rate of formwork installation |
| 2 | U5 | work productivity of concrete pumping |
| 3 | U1 | work productivity of steel vertical transportation |
| 4 | U6 | work productivity of concrete vibration |
| 5 | U3 | work productivity of formwork vertical transportation |
| 6 | U7 | material wastage rate of steel installation |
| 7 | U4 | work productivity of formwork installation |
| 8 | U2 | work productivity of steel installation |
© 2018 by the authors. Licensee MDPI, Basel, Switzerland. This article is an open access article distributed under the terms and conditions of the Creative Commons Attribution (CC BY) license (http://creativecommons.org/licenses/by/4.0/).
Share and Cite
Feng, K.; Lu, W.; Olofsson, T.; Chen, S.; Yan, H.; Wang, Y. A Predictive Environmental Assessment Method for Construction Operations: Application to a Northeast China Case Study. Sustainability 2018, 10, 3868. https://doi.org/10.3390/su10113868
Feng K, Lu W, Olofsson T, Chen S, Yan H, Wang Y. A Predictive Environmental Assessment Method for Construction Operations: Application to a Northeast China Case Study. Sustainability. 2018; 10(11):3868. https://doi.org/10.3390/su10113868
Chicago/Turabian StyleFeng, Kailun, Weizhuo Lu, Thomas Olofsson, Shiwei Chen, Hui Yan, and Yaowu Wang. 2018. "A Predictive Environmental Assessment Method for Construction Operations: Application to a Northeast China Case Study" Sustainability 10, no. 11: 3868. https://doi.org/10.3390/su10113868
APA StyleFeng, K., Lu, W., Olofsson, T., Chen, S., Yan, H., & Wang, Y. (2018). A Predictive Environmental Assessment Method for Construction Operations: Application to a Northeast China Case Study. Sustainability, 10(11), 3868. https://doi.org/10.3390/su10113868

