Rare Variants of Immune-Related Genes Increase Susceptibility to Autoimmune Encephalitis: An Association Study
Abstract
1. Introduction
2. Material and Methods
2.1. Ascertainment of Subjects
2.2. Whole-Exome Sequencing and Bioinformatics Analysis
2.3. Structural Analysis
3. Results
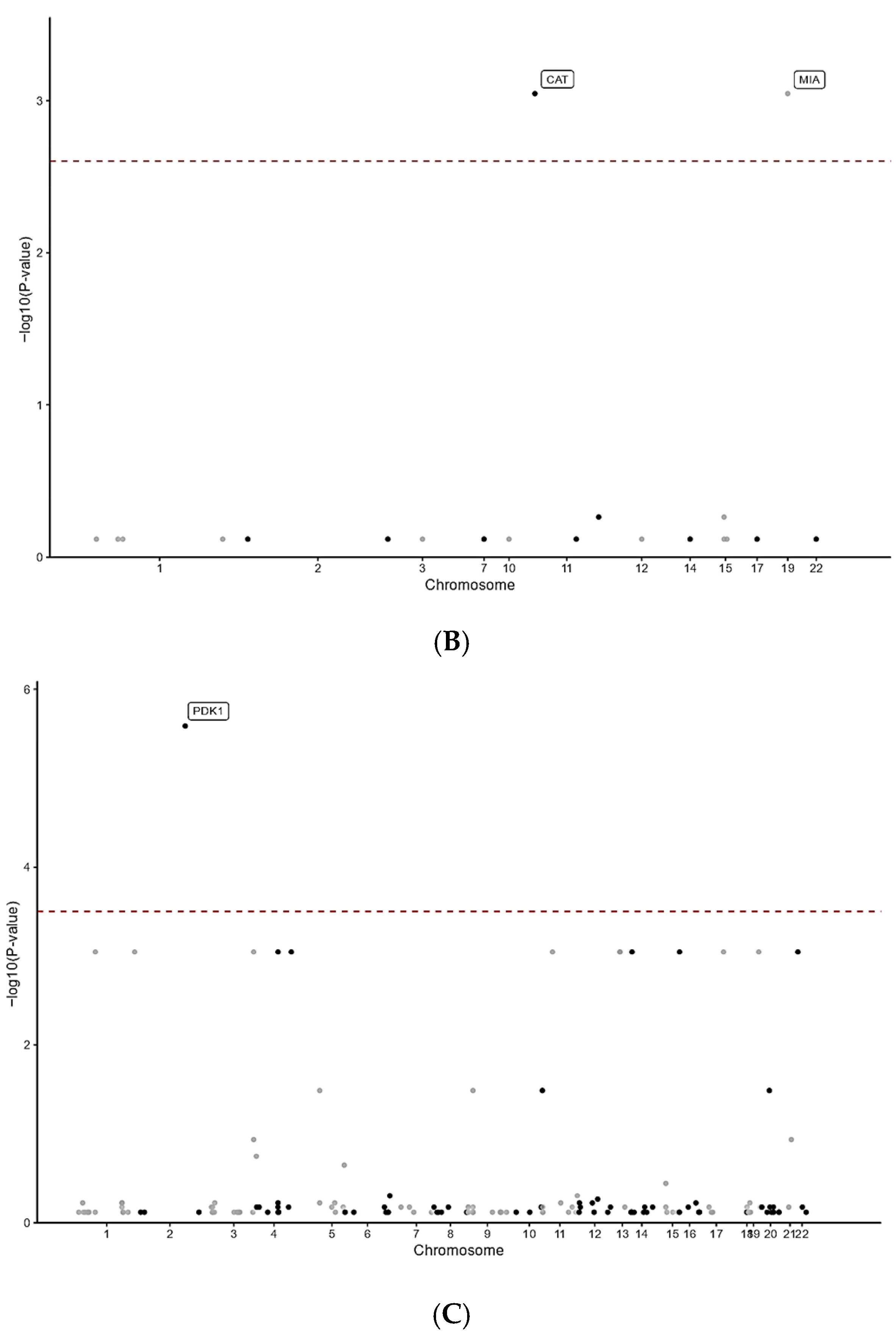
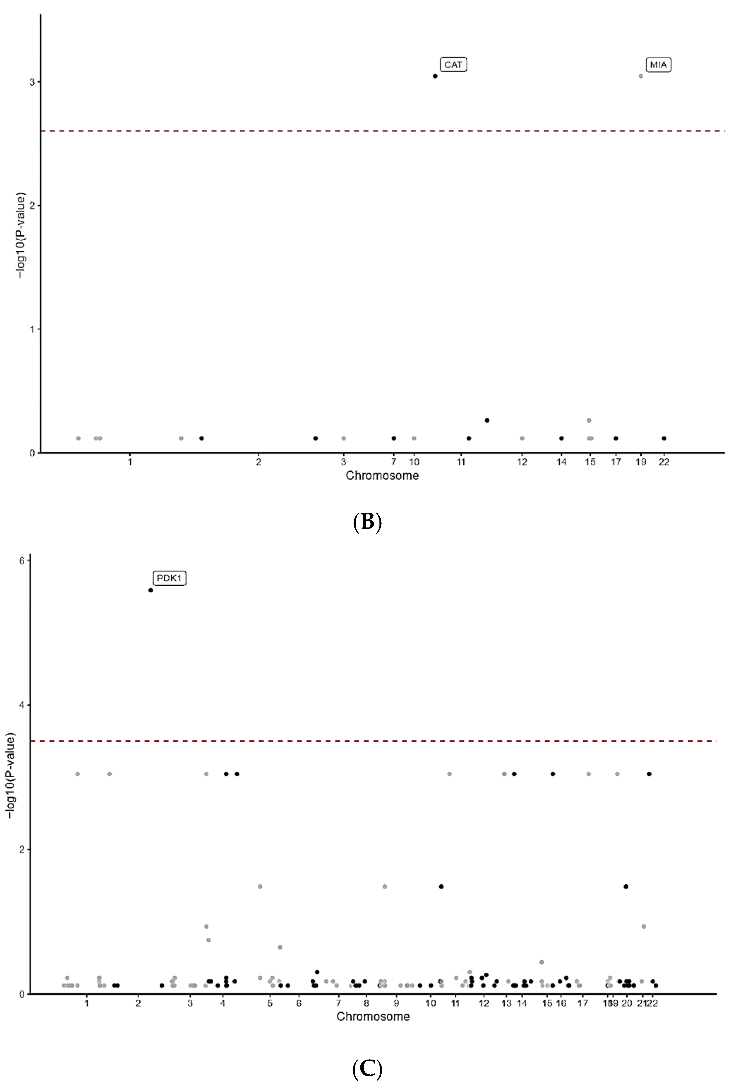
3.1. Distribution of Rare Deleterious Variants (RDVs) Between Patients and Controls
3.2. Burden Analysis of Immunological Genes
3.3. Structure Analysis of the Affected Protein
4. Discussion
5. Conclusions
Supplementary Materials
Author Contributions
Funding
Institutional Review Board Statement
Informed Consent Statement
Data Availability Statement
Conflicts of Interest
References
- Dalmau, J.; Geis, C.; Graus, F. Autoantibodies to Synaptic Receptors and Neuronal Cell Surface Proteins in Autoimmune Diseases of the Central Nervous System. Physiol. Rev. 2017, 97, 839–887. [Google Scholar] [CrossRef] [PubMed]
- Dutra, L.A.; Abrantes, F.; Toso, F.F.; Pedroso, J.L.; Barsottini, O.G.P.; Hoftberger, R. Autoimmune encephalitis: A review of diagnosis and treatment. Arq. Neuro-Psiquiatr. 2018, 76, 41–49. [Google Scholar] [CrossRef] [PubMed]
- Graus, F.; Titulaer, M.J.; Balu, R.; Benseler, S.; Bien, C.G.; Cellucci, T.; Cortese, I.; Dale, R.C.; Gelfand, J.M.; Geschwind, M.; et al. A clinical approach to diagnosis of autoimmune encephalitis. Lancet Neurol. 2016, 15, 391–404. [Google Scholar] [CrossRef]
- Gable, M.S.; Gavali, S.; Radner, A.; Tilley, D.H.; Lee, B.; Dyner, L.; Collins, A.; Dengel, A.; Dalmau, J.; Glaser, C.A. Anti-NMDA receptor encephalitis: Report of ten cases and comparison with viral encephalitis. Eur. J. Clin. Microbiol. Infect. Dis. 2009, 28, 1421–1429. [Google Scholar] [CrossRef]
- Spatola, M.; Novy, J.; Du Pasquier, R.; Dalmau, J.; Rossetti, A.O. Status epilepticus of inflammatory etiology: A cohort study. Neurology 2015, 85, 464–470. [Google Scholar] [CrossRef]
- Dalmau, J.; Graus, F. Diagnostic criteria for autoimmune encephalitis: Utility and pitfalls for antibody-negative disease. Lancet Neurol. 2023, 22, 529–540. [Google Scholar] [CrossRef] [PubMed]
- Bauer, J.; Bien, C.G. Neuropathology of autoimmune encephalitides. Handb. Clin. Neurol. 2016, 133, 107–120. [Google Scholar] [CrossRef]
- Joubert, B.; Dalmau, J. The role of infections in autoimmune encephalitides. Rev. Neurol. 2019, 175, 420–426. [Google Scholar] [CrossRef]
- Jeffery, O.J.; Lennon, V.A.; Pittock, S.J.; Gregory, J.K.; Britton, J.W.; McKeon, A. GABAB receptor autoantibody frequency in service serologic evaluation. Neurology 2013, 81, 882–887. [Google Scholar] [CrossRef]
- Venkatesan, A.; Benavides, D.R. Autoimmune encephalitis and its relation to infection. Curr. Neurol. Neurosci. Rep. 2015, 15, 3. [Google Scholar] [CrossRef]
- Graus, F.; Dalmau, J. Paraneoplastic neurological syndromes: Diagnosis and treatment. Curr. Opin. Neurol. 2007, 20, 732–737. [Google Scholar] [CrossRef] [PubMed]
- Virupakshaiah, A.; Dalakas, M.C.; Desai, N.; Mintzer, S.; Ratliff, J. LGI1 encephalitis with squamous lung-cell carcinoma: Resolution after tumor resection. Neurol. Neuroimmunol. Neuroinflamm. 2021, 8, e905. [Google Scholar] [CrossRef]
- Kim, T.J.; Lee, S.T.; Moon, J.; Sunwoo, J.S.; Byun, J.I.; Lim, J.A.; Shin, Y.W.; Jun, J.S.; Lee, H.S.; Lee, W.J.; et al. Anti-LGI1 encephalitis is associated with unique HLA subtypes. Ann. Neurol. 2017, 81, 183–192. [Google Scholar] [CrossRef]
- van Sonderen, A.; Roelen, D.L.; Stoop, J.A.; Verdijk, R.M.; Haasnoot, G.W.; Thijs, R.D.; Wirtz, P.W.; Schreurs, M.W.; Claas, F.H.; Sillevis Smitt, P.A.; et al. Anti-LGI1 encephalitis is strongly associated with HLA-DR7 and HLA-DRB4. Ann. Neurol. 2017, 81, 193–198. [Google Scholar] [CrossRef]
- Li, X.; Zhu, J.; Peng, Y.; Guan, H.; Chen, J.; Wang, Z.; Zheng, D.; Cheng, N.; Wang, H. Association of Polymorphisms in Inflammatory Cytokines Encoding Genes With Anti-N-methyl-D-Aspartate Receptor Encephalitis in the Southern Han Chinese. Front. Neurol. 2020, 11, 553355. [Google Scholar] [CrossRef]
- Tsai, M.H.; Lin, C.H.; Tsai, K.W.; Lin, M.H.; Ho, C.J.; Lu, Y.T.; Weng, K.P.; Lin, Y.; Lin, P.H.; Li, S.C. S100A6 Promotes B Lymphocyte Penetration Through the Blood-Brain Barrier in Autoimmune Encephalitis. Front. Genet. 2019, 10, 1188. [Google Scholar] [CrossRef]
- Lin, C.H.; Li, S.C.; Lin, M.H.; Ho, C.J.; Lu, Y.T.; Lin, Y.; Lin, P.H.; Tsai, K.W.; Tsai, M.H. S100A6 participates in initiation of autoimmune encephalitis and is under epigenetic control. Brain Behav. 2023, 13, e2897. [Google Scholar] [CrossRef] [PubMed]
- Lu, Y.T.; Lin, C.H.; Ho, C.J.; Chen, S.Y.; Tsai, M.H. Validating Prediction Tools for Autoimmune Encephalitis in Adult Taiwanese Patients: A Retrospective Study. Biomedicines 2023, 11, 1906. [Google Scholar] [CrossRef]
- Pavlakis, P.P. Rheumatologic Disorders and the Nervous System. Continuum 2020, 26, 591–610. [Google Scholar] [CrossRef]
- McLaren, W.; Gil, L.; Hunt, S.E.; Riat, H.S.; Ritchie, G.R.; Thormann, A.; Flicek, P.; Cunningham, F. The Ensembl Variant Effect Predictor. Genome. Biol. 2016, 17, 122. [Google Scholar] [CrossRef] [PubMed]
- Karczewski, K.J.; Francioli, L.C.; Tiao, G.; Cummings, B.B.; Alfoldi, J.; Wang, Q.; Collins, R.L.; Laricchia, K.M.; Ganna, A.; Birnbaum, D.P.; et al. The mutational constraint spectrum quantified from variation in 141,456 humans. Nature 2020, 581, 434–443. [Google Scholar] [CrossRef]
- Petrovski, S.; Wang, Q.; Heinzen, E.L.; Allen, A.S.; Goldstein, D.B. Genic intolerance to functional variation and the interpretation of personal genomes. PLoS Genet. 2013, 9, e1003709. [Google Scholar] [CrossRef]
- Jaganathan, K.; Kyriazopoulou Panagiotopoulou, S.; McRae, J.F.; Darbandi, S.F.; Knowles, D.; Li, Y.I.; Kosmicki, J.A.; Arbelaez, J.; Cui, W.; Schwartz, G.B.; et al. Predicting Splicing from Primary Sequence with Deep Learning. Cell 2019, 176, 535–548.e24. [Google Scholar] [CrossRef]
- Ioannidis, N.M.; Rothstein, J.H.; Pejaver, V.; Middha, S.; McDonnell, S.K.; Baheti, S.; Musolf, A.; Li, Q.; Holzinger, E.; Karyadi, D.; et al. REVEL: An Ensemble Method for Predicting the Pathogenicity of Rare Missense Variants. Am. J. Hum. Genet. 2016, 99, 877–885. [Google Scholar] [CrossRef]
- Cheng, J.; Novati, G.; Pan, J.; Bycroft, C.; Zemgulyte, A.; Applebaum, T.; Pritzel, A.; Wong, L.H.; Zielinski, M.; Sargeant, T.; et al. Accurate proteome-wide missense variant effect prediction with AlphaMissense. Science 2023, 381, eadg7492. [Google Scholar] [CrossRef] [PubMed]
- Kircher, M.; Witten, D.M.; Jain, P.; O’Roak, B.J.; Cooper, G.M.; Shendure, J. A general framework for estimating the relative pathogenicity of human genetic variants. Nat. Genet. 2014, 46, 310–315. [Google Scholar] [CrossRef] [PubMed]
- Bhattacharya, S.; Andorf, S.; Gomes, L.; Dunn, P.; Schaefer, H.; Pontius, J.; Berger, P.; Desborough, V.; Smith, T.; Campbell, J.; et al. ImmPort: Disseminating data to the public for the future of immunology. Immunol. Res. 2014, 58, 234–239. [Google Scholar] [CrossRef] [PubMed]
- Zhan, X.; Hu, Y.; Li, B.; Abecasis, G.R.; Liu, D.J. RVTESTS: An efficient and comprehensive tool for rare variant association analysis using sequence data. Bioinformatics 2016, 32, 1423–1426. [Google Scholar] [CrossRef]
- Li, B.; Leal, S.M. Methods for detecting associations with rare variants for common diseases: Application to analysis of sequence data. Am. J. Hum. Genet. 2008, 83, 311–321. [Google Scholar] [CrossRef]
- Varadi, M.; Bertoni, D.; Magana, P.; Paramval, U.; Pidruchna, I.; Radhakrishnan, M.; Tsenkov, M.; Nair, S.; Mirdita, M.; Yeo, J.; et al. AlphaFold Protein Structure Database in 2024: Providing structure coverage for over 214 million protein sequences. Nucleic Acids Res. 2024, 52, D368–D375. [Google Scholar] [CrossRef]
- Guex, N.; Peitsch, M.C. SWISS-MODEL and the Swiss-PdbViewer: An environment for comparative protein modeling. Electrophoresis 1997, 18, 2714–2723. [Google Scholar] [CrossRef]
- Kochnev, Y.; Ahmed, M.; Maldonado, A.M.; Durrant, J.D. MolModa: Accessible and secure molecular docking in a web browser. Nucleic Acids Res. 2024, 52, W498–W506. [Google Scholar] [CrossRef]
- Jones, G.; Jindal, A.; Ghani, U.; Kotelnikov, S.; Egbert, M.; Hashemi, N.; Vajda, S.; Padhorny, D.; Kozakov, D. Elucidation of protein function using computational docking and hotspot analysis by ClusPro and FTMap. Acta Crystallogr. D Struct. Biol. 2022, 78, 690–697. [Google Scholar] [CrossRef] [PubMed]
- Di Blasio, L.; Gagliardi, P.A.; Puliafito, A.; Primo, L. Serine/Threonine Kinase 3-Phosphoinositide-Dependent Protein Kinase-1 (PDK1) as a Key Regulator of Cell Migration and Cancer Dissemination. Cancers 2017, 9, 25. [Google Scholar] [CrossRef] [PubMed]
- Bayascas, J.R. PDK1: The major transducer of PI 3-kinase actions. Curr. Top Microbiol. Immunol. 2010, 346, 9–29. [Google Scholar] [CrossRef] [PubMed]
- Chelikani, P.; Fita, I.; Loewen, P.C. Diversity of structures and properties among catalases. Cell. Mol. Life Sci. 2004, 61, 192–208. [Google Scholar] [CrossRef]
- Yuzugullu Karakus, Y. Typical Catalases: Function and Structure. In Glutathione System and Oxidative Stress in Health and Disease; Bagatini, M.D., Ed.; IntechOpen: Rijeka, Croatia, 2020. [Google Scholar] [CrossRef]
- Bauer, R.; Humphries, M.; Fassler, R.; Winklmeier, A.; Craig, S.E.; Bosserhoff, A.K. Regulation of integrin activity by MIA. J. Biol. Chem. 2006, 281, 11669–11677. [Google Scholar] [CrossRef]
- Saravia, J.; Raynor, J.L.; Chapman, N.M.; Lim, S.A.; Chi, H. Signaling networks in immunometabolism. Cell Res. 2020, 30, 328–342. [Google Scholar] [CrossRef]
- Okkenhaug, K.; Bilancio, A.; Farjot, G.; Priddle, H.; Sancho, S.; Peskett, E.; Pearce, W.; Meek, S.E.; Salpekar, A.; Waterfield, M.D.; et al. Impaired B and T cell antigen receptor signaling in p110delta PI 3-kinase mutant mice. Science 2002, 297, 1031–1034. [Google Scholar] [CrossRef]
- Denley, A.; Gymnopoulos, M.; Kang, S.; Mitchell, C.; Vogt, P.K. Requirement of phosphatidylinositol(3,4,5)trisphosphate in phosphatidylinositol 3-kinase-induced oncogenic transformation. Mol. Cancer Res. 2009, 7, 1132–1138. [Google Scholar] [CrossRef]
- Calleja, V.; Alcor, D.; Laguerre, M.; Park, J.; Vojnovic, B.; Hemmings, B.A.; Downward, J.; Parker, P.J.; Larijani, B. Intramolecular and intermolecular interactions of protein kinase B define its activation in vivo. PLoS Biol. 2007, 5, e95. [Google Scholar] [CrossRef]
- Hinton, H.J.; Alessi, D.R.; Cantrell, D.A. The serine kinase phosphoinositide-dependent kinase 1 (PDK1) regulates T cell development. Nat. Immunol. 2004, 5, 539–545. [Google Scholar] [CrossRef]
- Baracho, G.V.; Cato, M.H.; Zhu, Z.; Jaren, O.R.; Hobeika, E.; Reth, M.; Rickert, R.C. PDK1 regulates B cell differentiation and homeostasis. Proc. Natl. Acad. Sci. USA 2014, 111, 9573–9578. [Google Scholar] [CrossRef]
- Bayascas, J.R.; Wullschleger, S.; Sakamoto, K.; Garcia-Martinez, J.M.; Clacher, C.; Komander, D.; van Aalten, D.M.; Boini, K.M.; Lang, F.; Lipina, C.; et al. Mutation of the PDK1 PH domain inhibits protein kinase B/Akt, leading to small size and insulin resistance. Mol. Cell. Biol. 2008, 28, 3258–3272. [Google Scholar] [CrossRef]
- Yang, Y.; Kong, W.; Xia, Z.; Xiao, L.; Wang, S. Regulation mechanism of PDK1 on macrophage metabolism and function. Cell Biochem. Funct. 2016, 34, 546–553. [Google Scholar] [CrossRef] [PubMed]
- Hoffmeister, L.; Diekmann, M.; Brand, K.; Huber, R. GSK3: A Kinase Balancing Promotion and Resolution of Inflammation. Cells 2020, 9, 820. [Google Scholar] [CrossRef]
- Martin, M.; Rehani, K.; Jope, R.S.; Michalek, S.M. Toll-like receptor-mediated cytokine production is differentially regulated by glycogen synthase kinase 3. Nat. Immunol. 2005, 6, 777–784. [Google Scholar] [CrossRef] [PubMed]
- Sies, H.; Jones, D.P. Reactive oxygen species (ROS) as pleiotropic physiological signalling agents. Nat. Rev. Mol. Cell Biol. 2020, 21, 363–383. [Google Scholar] [CrossRef]
- Tang, D.; Shi, Y.; Kang, R.; Li, T.; Xiao, W.; Wang, H.; Xiao, X. Hydrogen peroxide stimulates macrophages and monocytes to actively release HMGB1. J. Leukoc Biol. 2007, 81, 741–747. [Google Scholar] [CrossRef] [PubMed]
- Morad, H.; Luqman, S.; Tan, C.H.; Swann, V.; McNaughton, P.A. TRPM2 ion channels steer neutrophils towards a source of hydrogen peroxide. Sci. Rep. 2021, 11, 9339. [Google Scholar] [CrossRef]
- Schmidt, J.; Bosserhoff, A.K. Processing of MIA protein during melanoma cell migration. Int. J. Cancer 2009, 125, 1587–1594. [Google Scholar] [CrossRef] [PubMed]
- Bosserhoff, A.K.; Hauschild, A.; Hein, R.; Schadendorf, D.; Stockfleth, E.; Bogenrieder, T.; Landthaler, M.; Buettner, R.; Stolz, W. Elevated MIA serum levels are of relevance for management of metastasized malignant melanomas: Results of a German multicenter study. J. Investig. Dermatol. 2000, 114, 395–396. [Google Scholar] [CrossRef]
- Jachimczak, P.; Apfel, R.; Bosserhoff, A.K.; Fabel, K.; Hau, P.; Tschertner, I.; Wise, P.; Schlingensiepen, K.H.; Schuler-Thurner, B.; Bogdahn, U. Inhibition of immunosuppressive effects of melanoma-inhibiting activity (MIA) by antisense techniques. Int. J. Cancer 2005, 113, 88–92. [Google Scholar] [CrossRef] [PubMed]
- Haddad-Mashadrizeh, A.; Mirahmadi, M.; Taghavizadeh Yazdi, M.E.; Gholampour-Faroji, N.; Bahrami, A.; Zomorodipour, A.; Moghadam Matin, M.; Qayoomian, M.; Saebnia, N. Introns and Their Therapeutic Applications in Biomedical Researches. Iran J. Biotechnol. 2023, 21, e3316. [Google Scholar] [CrossRef]







| Type of AE | Number of Patients | Gender (Female/Male) | Age (IQR) |
|---|---|---|---|
| Anti-NMDAR encephalitis | 12 | 10/2 | 25.5 (21.0–32.25) |
| Anti-GABABR encephalitis | 1 | 0/1 | 53.0 |
| Anti-LGI1 encephalitis | 1 | 1/0 | 25.0 |
| Probable antibody-negative AE | 22 | 13/9 | 35.0 (26.0–45.5) |
Disclaimer/Publisher’s Note: The statements, opinions and data contained in all publications are solely those of the individual author(s) and contributor(s) and not of MDPI and/or the editor(s). MDPI and/or the editor(s) disclaim responsibility for any injury to people or property resulting from any ideas, methods, instructions or products referred to in the content. |
© 2025 by the authors. Licensee MDPI, Basel, Switzerland. This article is an open access article distributed under the terms and conditions of the Creative Commons Attribution (CC BY) license (https://creativecommons.org/licenses/by/4.0/).
Share and Cite
Lin, C.-H.; Chen, S.-C.; Ho, C.-J.; Hsu, C.-W.; Chen, S.-Y.; Lu, Y.-T.; Tsai, M.-H. Rare Variants of Immune-Related Genes Increase Susceptibility to Autoimmune Encephalitis: An Association Study. Neurol. Int. 2025, 17, 199. https://doi.org/10.3390/neurolint17120199
Lin C-H, Chen S-C, Ho C-J, Hsu C-W, Chen S-Y, Lu Y-T, Tsai M-H. Rare Variants of Immune-Related Genes Increase Susceptibility to Autoimmune Encephalitis: An Association Study. Neurology International. 2025; 17(12):199. https://doi.org/10.3390/neurolint17120199
Chicago/Turabian StyleLin, Chih-Hsiang, Shiau-Ching Chen, Chen-Jui Ho, Che-Wei Hsu, Shih-Ying Chen, Yan-Ting Lu, and Meng-Han Tsai. 2025. "Rare Variants of Immune-Related Genes Increase Susceptibility to Autoimmune Encephalitis: An Association Study" Neurology International 17, no. 12: 199. https://doi.org/10.3390/neurolint17120199
APA StyleLin, C.-H., Chen, S.-C., Ho, C.-J., Hsu, C.-W., Chen, S.-Y., Lu, Y.-T., & Tsai, M.-H. (2025). Rare Variants of Immune-Related Genes Increase Susceptibility to Autoimmune Encephalitis: An Association Study. Neurology International, 17(12), 199. https://doi.org/10.3390/neurolint17120199

