Next Article in Journal
Simulation and Experimental Validation of a 1D Cabin Thermal Model for Electric Trucks with Enhanced Insulation and Heating Panels
Previous Article in Journal
Electric Vehicle Range Prediction Models: A Systematic Review of Machine Learning, Mathematical, and Simulation Approaches
 
 
Font Type:
Arial Georgia Verdana
Font Size:
Aa Aa Aa
Line Spacing:
Column Width:
Background:
Article

Optimisation and Evaluation of a Fuzzy-Based One-Pedal Driving Strategy for Enhancing Energy Efficiency and Driving Comfort

1
Department of Mechanical Engineering, Technische Universität Ilmenau, 98693 Ilmenau, Germany
2
Smart Vehicle Systems Working Group, Thuringian Center for Innovation in Mobility (ThIMo), Technische Universität Ilmenau, 98693 Ilmenau, Germany
*
Author to whom correspondence should be addressed.
These authors contributed equally to this work.
World Electr. Veh. J. 2025, 16(11), 608; https://doi.org/10.3390/wevj16110608
Submission received: 28 August 2025 / Revised: 25 September 2025 / Accepted: 15 October 2025 / Published: 4 November 2025

Abstract

Electric Vehicles (EVs) are still facing prejudices about limited range, making them unattractive for many customers. However, their locally emission-free operation and the ability to recover kinetic energy during braking manoeuvres are significant advances against conventional drivetrains. Especially the function of one-pedal driving (OPD) can further reduce the energy consumption of EVs if properly realized and tuned. In this research, the optimisation and evaluation of an adaptive OPD strategy for a battery electric vehicle (BEV) with the aim of improving energy efficiency and driving comfort, which was previously introduced by the authors, is presented. Therefore, an adaptive pedal curve was designed first and extended through the integration of a fuzzy controller that considers the trade-off between efficient operation and driver intention based on vehicle speed and the drive pedal position signals. The strategy was extended by the incorporation of another input to represent the traffic area. The efficiency was evaluated in a proband study using virtual driving tests in a static simulator, in which different configurations were analysed and rated. It was found that the optimised strategy achieved the best overall result. Compared to pure regenerative braking as the benchmark, energy consumption as well as the amount of pedal changes were reduced by 8.45% as well as 62.27%, respectively, and the rate of energy recovery was increased by 67.8%.

1. Introduction

The energy efficiency of EVs is essential for the further development of sustainable mobility. Compared to combustion engines, BEVs facilitate emission-free operation and offer a high level of electric drivetrain efficiency. However, the gravimetric energy density of liquid fuels is significantly higher than that of lithium batteries. Consequently, conventional vehicles achieve greater ranges despite being notably less efficient. This is a salient issue, as the limited range of BEVs is still a crucial argument against purchasing these vehicles [1], and therefore leads to fundamental acceptance problems for electric mobility. Thus, it is imperative to optimise energy consumption in order to increase BEVs’ range. A particularly advantageous feature of electric drives is their ability to recover electrical energy from kinetic energy, a process known as recuperation, which can be used to recharge the traction battery during vehicle operation. In many cases, this regeneration can account for up to 30% of the total range, as stated in [2,3]. During the process, the braking torque is distributed between the friction and regenerative brake system. This is known as brake torque blending and one way of maximising energy recovery [4]. In addition to blending, recuperation can be performed using drag torque emulation when no pedal is applied. The vehicle then decelerates entirely regeneratively, without the actuation of the brake pedal. In the simplest case, this is achieved by applying a constant brake torque. The approach was analysed in [5] and demonstrated its potential to generally reduce the total energy consumption compared to pure recuperation in braking mode. This study concludes that several recuperation stages are useful for reasons of efficiency and driving comfort, depending on the driving situation and thus the operating point. One approach is the so-called one-pedal driving, which allows the driver to control the acceleration and deceleration of the vehicle with just one pedal. This enables continuous adjustment of the regenerative torque according to the driving situation. Applying this strategy results in less frequent friction braking, improving brake wear behaviour and energy recovery [3,6].
To implement OPD, the accelerator pedal curve enables three separate modes depending on its current position: regeneration, sailing or coasting and acceleration. Considering the research of Dimitrov and Pavlov [7], who performed experiments with an available series BEV with OPD, vehicle speed is often considered as a control input too. Cortès et al. [8] have found, that the area for sailing grows with increasing vehicle speed, referring to information from BMW [9]. This allows the driver to perform a full stop just by regenerative braking and triggered through the complete release of the accelerator pedal. Moayyedi [10] compared five different OPD settings. The velocity-adaptive one showed a notable improvement in driving comfort due to a lower number of necessary changes between accelerator and brake pedal. This meets expectations since the studies of Sugimoto et al. [11] found that OPD can increase the driving experience and lower the driver’s mental workload. Evidence was given by electroencephalographic measurements for objective evaluation of brain activity in combination with questionnaires for the interpretation of subjective experience. Furthermore, there are approaches to adapt the energy recovery individually to the traffic situation or area. Special interest was paid to cooperative vehicle motion control featuring OPD together with adaptive cruise control (ACC) as shown by Kubaisi [12] or Schafer, Lamantia, and Chen [13] and their performance in vehicle platoons as showcased by the work of Su et al. [14].
Besides the pure functionality of OPD and its adaptivity to vehicle states and traffic situations, the human factor plays a vital role in the development. Needless to say, higher regenerative torques result in higher recovery rates but could influence driving comfort, as already investigated by the authors [5]. Every driver has different priorities (e.g., agility, efficiency, safety, etc.) and therefore the reactions will differ. Hence, the driver’s intention should also be considered. The work of Kwak et al. [15] introduced a personalized OPD feature based on the chosen desired distance information from the ACC, which showed reliable and human-like performance. He [16] proposed a model-predictive control (MPC), which considers constraints that were extracted from more than 450 driving data sets. In contrast, Ahmed et al. [17] used reinforced learning to adjust the control parameters. Both methods, MPC and machine learning, require good knowledge of the plant, of possible cross-correlations, as well as intensive and complex tuning to achieve desired performance.
Summarising previous works highlights open research points. There are several articles that are dealing with OPD realisation and testing. Most of them show adaptivity to the vehicle speed but lacked a consideration of the driver’s intension. On the other hand, the algorithms doing so require intensive training/tuning with a lot of a priori knowledge. In both cases, the optimisation was coupled with specialized radar or laser distance sensors from the ACC. Not every vehicle provides this kind of sensors or control, so another method is required. He et al. [18] proposed a method for an adaptive recuperation strategy via fuzzy control that integrates the driver’s intention in an easier way.
Lastly, only the work reported in [11,16,19] included proband studies on a driving simulator to receive subjective feedback. The other publications were about open-loop simulations in Matlab®/Simulink® [10,17] or in a co-simulation with other tools like CarMaker [16] and/or GT Suite [8,16].
The present study aims to close the gap between previously reported work and open research topics. The authors have already integrated the described aspects into a complete concept for an OPD strategy with fuzzy-based efficiency optimisation algorithm in their recent work [20]. The fundamental strategy is based on the constant adjustment of the electric torque to achieve operating points with high efficiency. However, this could lead to a conflict between energy balance and individual driving preferences. One possible solution is to implement a situation-dependent prioritisation that considers the driver’s intentions and the surrounding environment. This is essential to ensure acceptance of the system’s intervention. Consequently, an adaptive control strategy is required based on these factors. This methodology provides the basis for further developments and optimisations, which are described in the following. Besides the improvement of the driver’s intention, the extended fuzzy system is capable of considering the traffic area (city, rural, highway) by an additional control input. This approach enables a more precise determination of the driving situation. To make the testing more realistic, a proband study was carried out using driving simulation. Finally, integration and initial tests in the real vehicle are presented.

2. Strategy Optimisation

2.1. Driver Intention Indication

The key input for the proposed control strategy is the longitudinal dynamics intention. There are multiple indicators that can be used for identification, as shown in [12], and these include vehicle speed, pedal position, pedal speed and distance to the lead vehicle, for example. As operating the accelerator pedal represents an interface between human and machine, driver intention can be deduced from accelerator pedal movements. This interaction allows the driver’s intention with relation to acceleration or deceleration to be interpreted and integrated into the system. Since the OPD map already takes pedal position into account, it makes sense to use pedal speed as an indicator, as applied in [18,21]. This signal is easily accessible for vehicles with drive-by-wire technology. It enables the driver’s intentions to be detected without the need for complex sensor technology, such as distance detection. For instance, a prompt depression of the accelerator pedal may indicate the driver’s intention to accelerate rapidly, while a swift release could signify a desire for more pronounced deceleration. The pedal speed signal is generated by numerical differentiation of the pedal position ( s ped ). The problem is that a value for pedal speed is available only at discrete points in time. Furthermore, the period during which the pedal moves is very short and does not correspond to the duration of the driver’s intention or manoeuvre. This aspect was also recognised in a previous implementation in [20], which only used pedal speed and should be optimised accordingly. Therefore, the raw signal must be converted into a substitute variable to better describe the driver’s intention and overcome the aforementioned challenges. The methodology for generating this variable is illustrated in Figure 1 and is described in the following.
First, the pedal speed ( v ped ) is determined by the numerical differentiation of the pedal position. The time for each simulation step corresponds to Δ t = 1 ms. The signal is then separated into its positive and negative components. To ensure a continuous reduction of v ped , the magnitude of the decay rate ( | v ˙ ped | ) is limited to prevent the signal from decreasing infinitely fast. The decay rate is therefore adapted to the current magnitude of the signal, ensuring that it degrades within a defined time horizon ( t th ) of five seconds. In contrast, the magnitude of the increase is not limited and can occur instantaneously, allowing the driver’s intention to be detected without delay.
The decay rate is calculated dynamically. As soon as a local extremum ( v ped , e x ) is recognised, i.e., when the current time step value is greater than the previous one, the decay rate is updated. This is achieved by dividing the magnitude of the extremum by the time horizon. Otherwise, the last calculated decay rate is used. The positive component is allowed to rise immediately, i.e., without limit, while the fall (negative) is limited. On the other hand, the negative component is permitted to fall without limit, while the rise (positive) is limited. It is important to note that only the larger of the two components (positive or negative) is realised. This means that a transition from a positive to a negative signal (or vice versa) is only permitted if the new magnitude exceeds the previous one.
The resulting time curve ( I DI , 0 ) is then filtered using the moving average of the last 0.1 seconds. This procedure results in the signal I DI , an indicator of driver intention. The conversion of pedal speed into I DI is illustrated in Figure 2. The signal of the pedal position comes from the pedal set used in the simulator setup, which is described later.

2.2. Fuzzy Control Extension

The process of determining the driver’s intention from the accelerator signal and the driving situation is characterised by a certain degree of uncertainty. Consequently, the resulting assessment of the true situation is an assumption based on the subjective nature of the driver’s situational interpretation and due to uncertainties in sensor accuracy. Therefore, it is necessary to develop a concept that considers these uncertainties [22]. A fuzzy controller is well suited to integrate this uncertainty into an adaptive strategy, as it can model human decision-making processes and incorporate fuzzy inputs, such as slow or fast pedal actuation. Decision rules can be derived based on expert knowledge or empirical values for various combinations of these fuzzy inputs [23]. Its suitability was already shown in [18]. Further, as presented in [20], this approach is effective in combining driver acceptance and increased energy efficiency.
The overall driving situation depends on the driver’s intentions, which are influenced by the traffic area. To better understand this situation, it is advantageous to characterise the surrounding, as this can lead to different intervention strategies. Electric motor efficiency depends on its rotational speed and therefore relates to the vehicle’s speed, which also highlights the importance of representing the traffic area.
Identification of the surrounding is fundamental to the operation of numerous assisted driving functions. The sensor technology used for this purpose includes camera systems that recognise signs or identify road markings, as well as radar or lidar sensors for distance detection. Data from navigation systems may also serve as a further source of information. In [24], the reader is introduced to a traffic space classifier based on a fuzzy controller. By utilising the vehicle speed, this system is able to identify whether being operated in an urban, rural or highway environment. The investigations by Guth, Wursthorn and Keller [25] show a similar method, illustrating how the value ranges can be adapted depending on the utilisation context. To demonstrate this, traffic data from specific countries or regions can be evaluated in order to precisely adapt the value range to the respective traffic situation.
In this study, vehicle speed is used too. The advantage of this methodology is that it does not require any of the aforementioned environmental sensors, thereby reducing the complexity of the system in terms of the necessary hardware and data processing. The signal of the vehicle’s longitudinal speed ( v x ) is segmented into three fuzzy subsets, namely “City”, “Rural” and “Highway”. The membership functions are illustrated in Figure 3.
The speed range classifications were derived from regulation 2016/427 of the European Commission about the measurement of real-driving emissions (RDE) in the field. This regulation defines the maximum speed thresholds for different traffic areas: v < 60 km/h (city), 60 v < 90 km/h (rural roads), and v 90 km/h (highway). The transition between the subsets was chosen to be equidistant to create continuous functions. It must be said, that there are additional limits in accordance with the specified maximum permissible speeds for all three areas as outlined in the German road traffic regulations [26].

2.3. Correction Function

As stated in [20], the fuzzy logic calculates an initial weighting factor ( W init [ 0 , 1 ] ) for shifting the electric torques towards efficient operating points. The higher this value, the more the efficient torque ( T eff ) is favoured. Once the weighting factor has been determined, it is limited to prevent excessively rapid changes. A correction is made to ensure the coasting functionality. The pedal curve parameter B indicates the starting point, while C is the width of the coasting area. In this area ( B s ped B + C ), the torque requested from the driver ( T req ) is zero. Weighting must not be permitted here, as this would result in non-zero torques, which would prevent coasting. However, switching the weighting factor abruptly to zero when transitioning to the coasting range would cause sharp changes in the torque curve. This should be avoided for safety and comfort reasons, as well as to prevent excessive wear on the actuator. For this purpose, the initial weighting factor is multiplied by a correction factor F corr , which depends on the pedal position s ped , see Equation (1). This function decreases on both sides as the coasting area is reached and is defined as zero within. This ensures a continuous progression of the weighting factor during the transition to the coasting area. In the direction of the maximum pedal position, the correction function also drops to zero so that the maximum possible drive torque can be applied. Otherwise, weighting would inevitably correct this downward. Parameters X and Y were determined empirically.
f corr ( s ped ) = { tanh B s ped 4 X s ped < B 0 B s ped B + C tanh s ped X ( B + C ) 4 B + C < s ped Y tanh 100 s ped 4 X Y < s ped 100
with X = B 56 ; Y = 100 + B + C 2
The specific design of the correction function can be chosen freely as long as the described functionality is guaranteed. Figure 4 illustrates this with a discontinuous rectangular function, a sine/cosine function, and the implemented tangent-hyperbolic correction function. Beyond the coasting area, it should be noted that a correction function value of less than one necessarily results in an incomplete realisation of the initial weighting factor, meaning that potential efficiency remains unrealised. For this reason, the hyperbolic tangent function of Equation (1) offers the optimal compromise between a smooth torque curve and the maximum realisation of the efficiency weighting.
The corrected weighting factor, as defined by Equation (2), is multiplied by Δ T to calculate the torque demand for the electric machines T em (Equation (3)). The resulting amount is limited upward to the maximum possible torque and downward to the maximum regeneration torque. Latter one is defined as a function of the current driving resistance, ensuring that deceleration does not exceed 1.3 m s 2 , as this would require the activation of the brake lights, see [27].
W corr = f corr W init
T em = W corr Δ T + T req

2.4. Extended Control Strategy Structure

If the explanations of the implemented strategy are summarised in a complete structure, the proposed extensions to the initial block scheme shown in [20] can be illustrated according to the extensions shown in Figure 5. This provides an overview of all the relevant components, including their inputs and outputs, as well as the interfaces with the vehicle model and driver.
It represents an open control of the vehicle by the driver alongside an internal control by fuzzy logic. The fuzzy rules were derived by the developers on the basis of scenario-based driving manoeuvres and expert knowledge. Furthermore, these rules were pre-tested and tuned by carrying out virtual test drives with the simulation environment described as follows.

3. Evaluation

3.1. Simulation Environment

For virtual assessment, a co-simulation is used: The controller was realized in Simulink®, while vehicle dynamics, test scenarios, road conditions etc. are simulated and visualized in CarMaker from IPG Automotive GmbH. In order to evaluate the strategy, specific driving manoeuvres can be performed with an exact driver input. Therefore, a complete vehicle model, with the same parameters as shown in [20], was used. The model is computed on a SCALEXIO real-time unit from dSPACE GmbH.
To evaluate the strategy in a more realistic way, the variable driver must be incorporated into the simulation environment (closed-loop). For this purpose, a static driving simulator, featuring a force-feedback steering wheel and pedals (Logitech G923) as well as a screen for visualisation, was used (Figure 6, left). The software ControlDesk® from dSPACE GmbH is used as graphical user interface, enabling the real-time adaptation of variables in the controller model and the implementation of driver inputs.
The evaluation process involved the execution of a virtual driving cycle (Figure 6, right hand), including urban, rural, and highway sections, where the white circles mark the start and finish points, respectively. The cycle that has previously been used in [5], but was shortened for this study. The “new” cycle is approximately 13.17 km long with an average speed of 48 km/h. Each traffic area accounts for one third of the total distance. To create a realistic design, the road was supplemented with a real altitude profile obtained via GPS. Additionally, the sound of a typical BEV drivetrain was integrated to enable auditory perception of torque and speed conditions.
The integration of other road users, traffic signs, and traffic lights, as well as detailed environmental modelling, were not factored into the study. Nevertheless, a reference cycle was recorded to ensure a reproducible test procedure. This cycle was integrated into the simulation as a non-interactable object (shadow vehicle) to determine a reference speed. This user-centric approach (human-in-the-loop) reduces the need for complex driver and scenario modelling. In addition to objective key performance indicators (KPIs), it enables subjective evaluation based on the driver’s impressions in the form of a proband study, see Section 3.3.

3.2. Key Performance Indicators

Relevant key performance indicators (KPIs) are defined to enable objective comparison. Energy efficiency is assessed using the cumulated electric energy ( E cum ), which is computed by the integral of the electrical power as the product of the electric machines’ torques ( T em ) and their rotational speeds ( ω em ), taking into account the drivetrain efficiency, consisting of the efficiency of the electric machines ( η em ) and the inverter efficiency ( η inv ). In addition, a normalisation to 100 km ( E cum , 100 ) was carried out to improve comparability.
E cum [ kWh ] = t 1 t 2 P el d t = t 1 t 2 T em ω em η tot d t
with η tot = η em η inv
The recovery index ( R I ) is the percentage ratio of recovered to consumed electrical energy, providing information on recuperation potentials.
R I [ % ] = E rec E cons 100 = E cum + + E cum E cons 100
Due to the OPD’s ability to decelerate in a controlled manner, it can be assumed that the brake pedal will be depressed less and therefore the frequency of pedal changes will decrease, too. This can have a positive effect on driving comfort, particularly during long journeys. The following algorithm is used to quantify these pedal changes. Firstly, a signal is generated from the recorded values for the position of the accelerator and brake pedals. This signal is zero when no pedal is pressed, one when the accelerator pedal is pressed, and two when the brake pedal is pressed. The zeros are then removed from this signal to produce the vector P S (pedal status). After the numerical differentiation of PS, the resulting vector is checked for non-zero elements. The sum of all those indicates the total number of pedal changes ( P C ), as shown in Equation (6).
P C [ # ] = P S [ n ] P S [ n 1 ] Δ t 0
The mean value and standard deviation are then determined for each of the aforementioned KPIs. Additional subjective indicators are analysed from the participants’ feedback in the proband study, that is described in the following.

3.3. Proband Study

In the beginning of the study, individual surveys were performed with every participant to record demographic data and information relevant to driving experience. In total, 18 subjects had participated in the study. Although this sample size strikes a balance between representativeness and practicability, it should be noted that a larger sample size is generally preferable for statistical reasons. Figure 7 shows extracts from the data and provides information on various aspects of the participants’ driving experience.
In a next step, some instructions were provided and the general procedure was described, as well as the basic function of the OPD being explained. Specifically, the fact that the accelerator pedal enables controlled acceleration and deceleration was highlighted. During the study, four different configurations, as listed below, have been tested and compared towards their individual performance based on the objective KPIs and subjective feedback. No information about each configuration was addressed in the briefing, including the entire strategy using fuzzy logic, in order to ensure the impartiality of the participants.
  • Without OPD, regenerative braking with blending
  • OPD without fuzzy controller
  • OPD with fuzzy controller (two input variables: I DI and Δ T )
  • OPD with fuzzy controller (three input variables: I DI , Δ T , and v x )
After further explaining the simulation environment, a test cycle with configuration II was performed by every participant to familiarise them with the OPD functionality and get them used to the conditions. The test subjects were instructed to follow the aforementioned shadow vehicle (see Section 3.1) at an appropriate distance that feels comfortable to them and reflects their normal driving behaviour. The four configurations were then completed in one driving cycle each, during which relevant vehicle and controller signals were recorded with ControlDesk®. The order was determined randomly for each subject to minimise the influence of any training effects. Configuration III was used to evaluate a strategy that did not take the traffic area into account, to investigate the extent of the third input. The fuzzy rules of rural roads were used, as they represent a medium speed range.
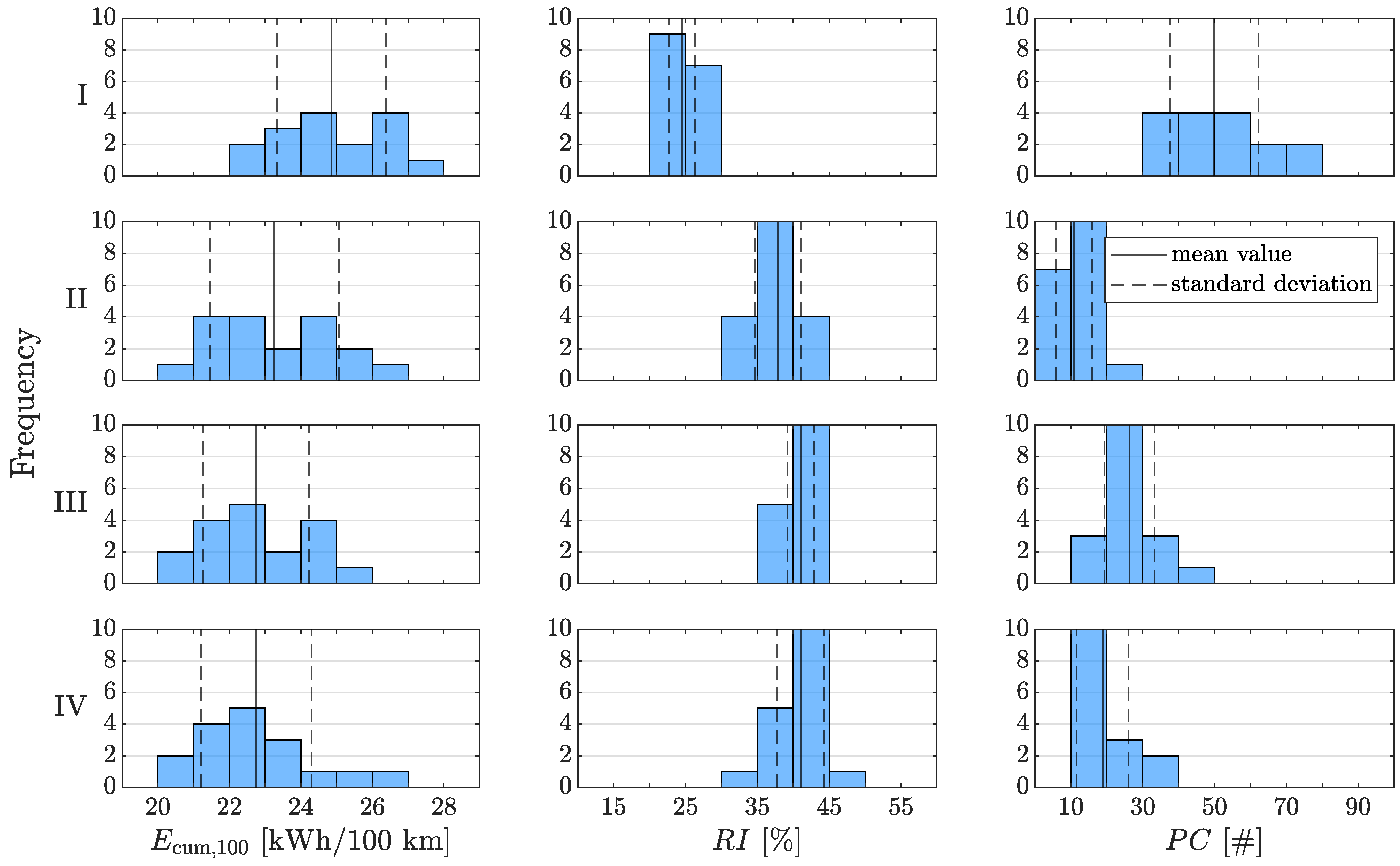
The histograms in Figure 8 illustrate the performance of the configurations tested in the study, showing the distribution of the driving cycle’s objective KPIs as well as their respective mean values and standard deviations. In terms of energy consumption, configuration II demonstrates clearly improved performance compared to configuration I, with a reduction of 6.40%. Configurations III and IV achieve an almost identical average energy consumption, demonstrating an efficiency improvement of 8.59% (III) and 8.64% (IV), respectively, compared to configuration I. The distribution of the recovery index confirms this improvement. The proportion of recovered energy has increased by 67.8% in a relative comparison between configuration I and IV. As intended, using the OPD resulted in a reduction of pedal changes. Compared to configuration I (PC = 48.88), the same KPI lies at 10.89 in configuration II. That equals to a reduction of 78.17%, providing the greatest increase in comfort. The configurations with fuzzy strategy show a slight increase of 15.44 (III) and 7.93 (IV) pedal changes compared to configuration II. However, this still represents a remarkable reduction of 47.21% and 62.27% compared to configuration I. Further, it illustrates the challenge of finding an optimal balance between drive comfort, usability and energy efficiency; a higher weighting towards efficiency results in lower regeneration torques, meaning the driver has to apply the brake pedal more often.
In addition to these KPIs, a questionnaire was answered by every participant after each driving cycle to evaluate the configuration subjectively. Finally, a follow-up survey was conducted in which the test subjects were questioned about their overall impression. The subjective evaluation is based on these information. As depicted in Figure 9, the possibility to decelerate the vehicle with the accelerator pedal was answered with clear approval for configurations II and IV. Regarding the acceleration and deceleration ratios’ dosability, a high level of agreement was found for both configurations as well. Contrarily, the results for configuration III showed a lower level of agreement. The subjects reported a notable reduction in perceived longitudinal dynamics, resulting in a lower predictability of the accelerator pedal behaviour. Contrarily, configuration IV was found to improve dosability. This shows the advantageousness of taking the traffic area into account for the adaptation of the regenerative torques. It should be also noted that no sudden or unpredictable pedal behaviour was detected and the vehicle remained safely controllable. Therefore, it can be concluded that the control system did not over-tune the driver, which was a fundamental criterion of the strategy. Another key finding is the perceived reduction in the frequency of brake pedal applications. This is reflected in the objective KPI PC, which indicates an increase in comfort.
Verifying a strategy that influences longitudinal dynamic driving behaviour requires an experience of movement. The subjects agreed with this statement and confirmed that driving a real vehicle would be advantageous for the better subjective evaluation of the strategy. Therefore, some preliminary vehicle tests were carried out as follows.

3.4. Integration and Initial Vehicle Tests

For those vehicle tests, the battery electric demonstrator, which was already outlined in [5], is utilised. This vehicle features an innovative rear-wheel drive, based on two high-torque in-wheel machines and a dual-inverter that combines two power stages with one central control logic for time synchronism and low power demand. The vehicle is permitted to be driven on public roads, so tests were performed with real traffic.
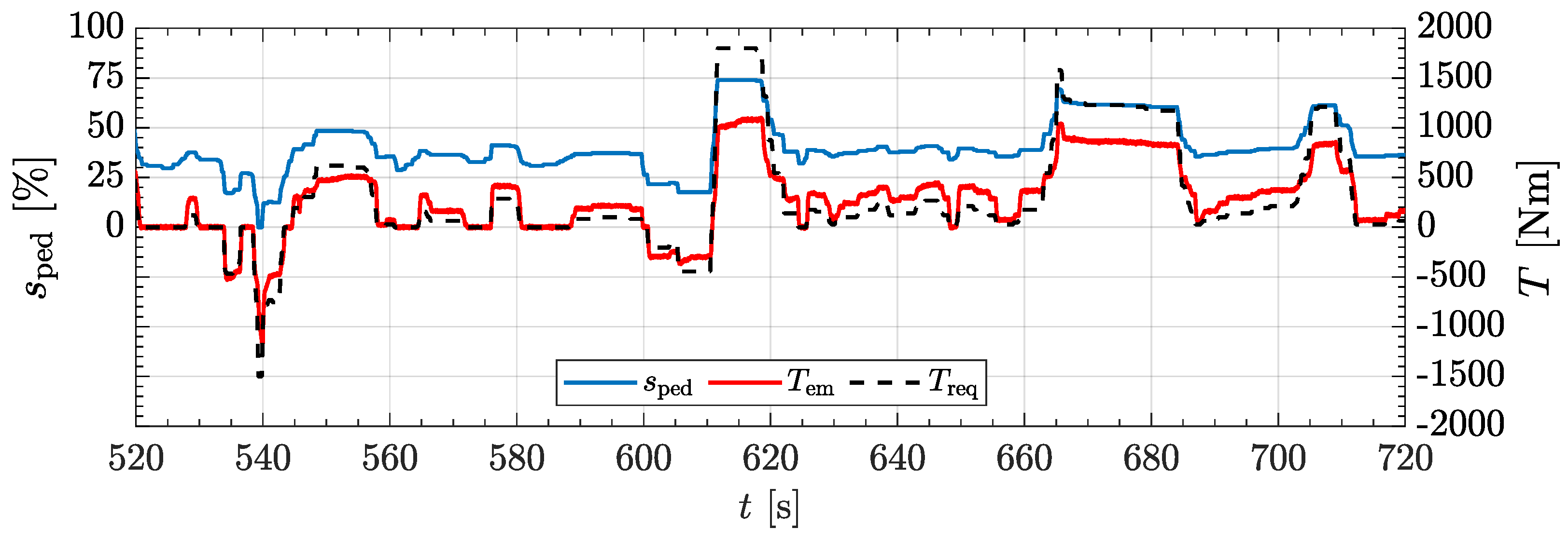
Figure 10 shows the plots of the accelerator pedal position, the torque requested by the driver ( T req ), and the acting torque T em , from a section of the test drive for configuration IV. It is possible to recognise controlled deceleration using the accelerator pedal, as well as the coasting mode and the adjustment of the requested torque by the fuzzy controller.
The experiments showed that the OPD works as intended. According to the driver’s subjective perception, the influence of the fuzzy logic was not notable. There were no negative effects on longitudinal dynamics, no sudden changes in torque, and no excessive override of the driver’s inputs. The driver described this behaviour, coupled with the reduced number of pedal changes, as very comfortable. However, it should be noted that adaptation of the controller to the real vehicle is not completed yet.

4. Conclusions

This article discussed the development and optimisation of an adaptive one-pedal driving strategy for BEVs, and its evaluation in a virtual driving test through a proband study, using objective performance indicators as well as a questionnaire to receive the subjective feedback from the probands. The experiments were carried out on a static driving simulator. The aim was to enhance energy efficiency and driving comfort. All relevant criteria and KPIs are summarised in Table 1 and classified on a rating scale comparable to school grades, ranging from “unsatisfactory” (6) to “very good” (1), to improve comparability. Additionally, Figure 11 shows all four configurations in a spider diagram.
The findings of this study clearly demonstrate the advantages of the developed strategy. Regarding the recovery rate, the OPD configurations (II–IV) outperform the pure regenerative braking (I) by an increase of more than 10% to 15%. Taking aspects of driving comfort and driver stress reduction into account, the consideration of the traffic area is useful. The analysis concludes that configuration IV yields the best results in terms of energy efficiency, since the total consumption was over 8.4% lower than for configuration I during the 13.1 kilometer test cycle. Hence, the fuzzy logic showed its potential to increase energy recovery by adapting the regenerative torque to the most efficient operating point. In summary, it can be concluded that considering the traffic area is advantageous. With regard to driver comfort, expressed by the necessary pedal changes, the total number in configuration IV was over 62.2% lower than for configuration I. In addition, configuration II without fuzzy logic performed the best in this category but showed minor deficits in energy balancing.
Moreover, it was shown that a simple to tune fuzzy logic in combination with all-time available sensor data (vehicle speed and pedal position) can significantly improve the energy balance of a battery electric vehicle, without any need for complex MPC or machine learning. This case study represents a significant advancement in BEV energy management control. With some further research and development on the decision rules for the three traffic areas, the difference in subjective assessment between configuration II and configuration IV might be compensated without a negative impact on energy balance.
Examining the findings from a broader perspective, the controller is able to enhance the total range of fully electric vehicles and further lower driver stress on long-distance trips due to the reduced amount of pedal changes compared to pure regenerative braking. From the environmental side, a less frequent actuation of the friction brakes results in a reduction of non-exhaust particles, e.g., brake wear. This is advantageous with regard to air quality and the lifetime of the brake parts. From the data, it became clear that the effects are not equal for all traffic scenarios. Especially on the highway section, where many drivers use further assistance like (adaptive) cruise control, the controller can be enhanced to work in a cooperative manner. So including additional sensor data, e.g., from camera, radar, or lidar systems, would further improve the reliability and impact of the controller. The feasibility of this is already shown by the work of [12,13,14]. Another interesting point is the transfer to other segments or vehicle classes. While all the previously mentioned studies conducted research using passenger vehicles, research on light commercial vehicles is scarce. Cuma et al. [28] showed results for an electric bus equipped with OPD. Further research in the field of medium- and heavy-duty applications is of interest, since road vehicle electrification is not just about passenger vehicles. These points are fascinating starting points for the continuation of the work already carried out, but they should be addressed in future research.

Author Contributions

Conceptualization, T.H., T.M. and M.H.; Methodology, T.H., T.M. and M.H.; Software, T.H. and T.M.; Formal analysis, T.H. and T.M.; Investigation, T.H. and T.M.; Resources, V.I.; Writing—original draft, T.H. and T.M.; Writing—review & editing, M.H. and V.I.; Visualization, T.H., T.M. and M.H.; Supervision, M.H.; Project administration, M.H. and V.I.; Funding acquisition, V.I. All authors have read and agreed to the published version of the manuscript.

Funding

We acknowledge support for the publication costs by the Open Access Publication Fund of Technische Universität Ilmenau.

Data Availability Statement

The original contributions presented in this study are included in the article. Further inquiries can be directed to the corresponding author.

Conflicts of Interest

The authors declare no conflicts of interest.

References

  1. Köllner, C. Deutsche Verbraucher Sind vom BEV Nicht Überzeugt. 2025. Available online: https://www.springerprofessional.de/elektromobilitaet/verkehrswende/deutsche-verbraucher-sind-vom-bev-nicht-ueberzeugt/23915460 (accessed on 16 June 2025).
  2. Audi, A.G. Audi e-tron - Recuperation. 2025. Available online: https://www.audi-technology-portal.de//en/drivetrain/electric-drives/audi-e-tron-recuperation (accessed on 16 June 2025).
  3. Dudenhöffer, F.; Luhn, M. Reichweitensteigerungen bei batterieelektrischen Automobilen. In Mobilität der Zukunft; Siebenpfeiffer, W., Ed.; Springer: Berlin/Heidelberg, Germany, 2021. [Google Scholar]
  4. Lehne, C.; Augsburg, K.; Ivanov, V.; Ricciardi, V.; Büchner, F.; Schreiber, V. Fail-Safe Study on Brake Blending Control. SAE Int. J. Adv. Curr. Pract. Mobil. 2021, 3, 1985–1992. [Google Scholar] [CrossRef]
  5. Heydrich, M.; Mitsching, T.; Gramstat, S.; Lenz, M.; Ivanov, V. Integrated Chassis Control for Energy-Efficient Operation of a 2WD Battery-Electric Vehicle with In-Wheel Propulsion. SAE Int. J. Adv. Curr. Pract. Mobil. 2025, 7, 570–580. [Google Scholar] [CrossRef]
  6. van Boekel, J.J.P.; Besselink, I.J.M.; Nijmeijer, H. Design and Realization of a One-Pedal-Driving Algorithm for the TU/e Lupo EL. World Electr. Veh. J. 2015, 7, 226–237. [Google Scholar] [CrossRef]
  7. Dimitrov, V.; Pavlov, N. Study of the Starting Acceleration and Regenerative Braking Deceleration of an Electric Vehicle at Different Driving Modes. In Proceedings of the 2021 13th Electrical Engineering Faculty Conference (BulEF), Varna, Bulgaria, 8–11 September 2021. [Google Scholar] [CrossRef]
  8. Cortès, S.; Dettman, C.; Heib, J.; Millberg, F. 6. Symposium Simulationstechnik. In Proceedings of the Robustheitsanalyse einer Längsdynamiksimulation auf Basis verschiedener Qualitätskriterien, Vienna, Austria, 25–27 July 2022; pp. 129–137. [Google Scholar] [CrossRef]
  9. Jung, M.; Kessler, F.; Müller, P.; Wahl, S. Fahrzeugintegration und Fahrverhalten des BMW Active E. ATZ-Automob. Ztg. 2012, 114, 808–812. [Google Scholar] [CrossRef]
  10. Moayyedi, A. Analysis and Comparison of One-Pedal Driving Strategies for Electric Vehicles from Consumption and Comfort Point of View. Master’s Thesis, Politecnico di Torino, Turin, Italy, 2020. [Google Scholar]
  11. Sugimoto, F.; Kimura, M.; Takeda, Y.; Akamatsu, M.; Kitazaki, S.; Yajima, K.; Miki, Y. Effects of one-pedal automobile operation on the driver’s emotional state and cognitive workload. Appl. Ergon. 2020, 88, 103179. [Google Scholar] [CrossRef] [PubMed]
  12. Kubaisi, R. Adaptive Regenerative Braking in Electric Vehicles. Ph.D. Thesis, Karlsruhe Institute of Technology (KIT), Karlsruhe, Germany, 2018. [Google Scholar]
  13. Schafer, D.; Lamantia, M.; Chen, P. 2021 American Control Conference (ACC). In Proceedings of the Modeling and Spacing Control for an Electric Vehicle with One-Pedal-Driving Feature, New Orleans, LA, USA, 25–28 May 2021. [Google Scholar] [CrossRef]
  14. Su, Z.; Yang, S.; Chen, P. Adaptive Control and Parameter Estimation for Electric Vehicles with One-Pedal-Driving Feature in Platooning Applications. In Proceedings of the IEEE Conference on Control Technology and Applications (CCTA), Online, 8–11 August 2021. [Google Scholar] [CrossRef]
  15. Kwak, K.; He, Y.; Kim, Y.; Chen, Y.; Fan, S.; Holmer, J.; Lee, J. Desired Relative Distance Model-based Personalized Braking Algorithm for One-pedal Driving of Electric Vehicles. IFAC-PapersOnLine 2022, 55, 62–67. [Google Scholar] [CrossRef]
  16. He, Y. Powertrain and Vehicle Longitudinal Motion Control for Personalized Eco-Driving of P0+P4 Mild Hybrid Electric Vehicles. Ph.D. Thesis, University of Michigan-Dearborn, Dearborn, MI, USA, 2022. [Google Scholar]
  17. Ahmed, S.; Luo, R.; Kwak, K.; Kim, Y.; Holmer, J.; Kim, H.; Chen, Y.; Yim, D.; Link, B. Reinforcement Learning-Based Autonomous Braking Control for One-Pedal Driving. IFAC-PapersOnLine 2022, 59, 1–6. [Google Scholar] [CrossRef]
  18. He, H.; Wang, C.; Jia, H.; Cui, X. An Intelligent Braking System Composed of Single-Pedal and Multi-Objective Optimization Neural Network Braking Control Strategies for Electric Vehicles. Appl. Energy 2020, 259, 114172. [Google Scholar] [CrossRef]
  19. Yan, X.; Allison, C.; Fleming, J.; Stanton, N.; Lot, R. The Benefit of Assisted and Unassisted Eco-Driving for Electrified Powertrains. IEEE Trans.-Hum.-Mach. Syst. 2021, 51, 403–407. [Google Scholar] [CrossRef]
  20. Heydrich, M.; Hammer, T.; Mitsching, T.; Ivanov, V. A New Method for One-Pedal Driving With Fuzzy-Based Efficiency-Optimization Algorithm. In Proceedings of the 2025 IEEE International Conference on Mechatronics (ICM), Wollongong, NSW, Australia, 28 February–2 March 2025; pp. 1–6. [Google Scholar] [CrossRef]
  21. Ning, X.; Wang, Z.; Lin, Y.; Yin, Y.; Wang, J.; Hong, Y. Optimization of Regenerative Braking Control Strategy in Single-Pedal Mode Based on Electro-Mechanical Braking. IEEE Access 2024, 12, 170994–171014. [Google Scholar] [CrossRef]
  22. Schneider, J. Modellierung und Erkennung von Fahrsituationen und Fahrmanövern für Sicherheitsrelevante Fahrerassistenzsysteme. Ph.D. Thesis, Chemnitz University of Technology, Chemnitz, Germany, 2009. [Google Scholar]
  23. Adamy, J. Nichtlineare Systeme und Regelungen; Springer: Berlin/Heidelberg, Germany, 2018. [Google Scholar]
  24. de Rango, F.; Tropea, M.; Serianni, A.; Cordeschi, N. Fuzzy inference system design for promoting an eco-friendly driving style in IoV domain. Veh. Commun. 2022, 34, 100415. [Google Scholar] [CrossRef]
  25. Guth, J.; Wursthorn, S.; Keller, S. Multi-Parameter Estimation of Average Speed in Road Networks Using Fuzzy Control. ISPRS Int. J.-Geo-Inf. (IJGI) 2020, 9, 55. [Google Scholar] [CrossRef]
  26. Straßenverkehrs-Ordnung, § 3 Geschwindigkeit: StVO. 2025. Available online: https://www.gesetze-im-internet.de/stvo_2013/__3.html (accessed on 16 June 2025).
  27. ECE-R13H:2014-02; Uniform Provisision Concerning the Approval of Passenger Cars with Regard to Braking. United Nations Economic Commission for Europe: Geneva, Switzerland, 2014.
  28. Cuma, M.; Ünal, C.; Savrun, M. Design and implementation of algorithms for one pedal driving in electric buses. Eng. Sci. Technol. Int. J. 2021, 24, 138–144. [Google Scholar] [CrossRef]
Figure 1. Flow chart for the signal generation of the driver intention.
Figure 1. Flow chart for the signal generation of the driver intention.
Wevj 16 00608 g001
Figure 2. Signal generation of I DI from s ped .
Figure 2. Signal generation of I DI from s ped .
Wevj 16 00608 g002
Figure 3. Degree of membership for each area.
Figure 3. Degree of membership for each area.
Wevj 16 00608 g003
Figure 4. Comparison of possible correction functions.
Figure 4. Comparison of possible correction functions.
Wevj 16 00608 g004
Figure 5. Schematic of the control strategy.
Figure 5. Schematic of the control strategy.
Wevj 16 00608 g005
Figure 6. Static driving simulator (left) and driving cycle (right).
Figure 6. Static driving simulator (left) and driving cycle (right).
Wevj 16 00608 g006
Figure 7. Results of the participants’ answers from the individual surveys.
Figure 7. Results of the participants’ answers from the individual surveys.
Wevj 16 00608 g007
Figure 8. Results of the proband study for chosen KPIs.
Figure 8. Results of the proband study for chosen KPIs.
Wevj 16 00608 g008
Figure 9. Quantitative representation of the subjective KPIs.
Figure 9. Quantitative representation of the subjective KPIs.
Wevj 16 00608 g009
Figure 10. Accelerator pedal and torque curves of the test vehicle.
Figure 10. Accelerator pedal and torque curves of the test vehicle.
Wevj 16 00608 g010
Figure 11. Spider diagram for KPIs.
Figure 11. Spider diagram for KPIs.
Wevj 16 00608 g011
Table 1. KPI rating scale.
Table 1. KPI rating scale.
KPI123456
E cum , 100 [kWh/100 km]212223242526
R I [%]46.041.236.431.626.822.0
P C [−]6.019.633.246.860.474.0
Dosability [−]654321
Deceleration performance [−]654321
Disclaimer/Publisher’s Note: The statements, opinions and data contained in all publications are solely those of the individual author(s) and contributor(s) and not of MDPI and/or the editor(s). MDPI and/or the editor(s) disclaim responsibility for any injury to people or property resulting from any ideas, methods, instructions or products referred to in the content.

Share and Cite

MDPI and ACS Style

Hammer, T.; Mitsching, T.; Heydrich, M.; Ivanov, V. Optimisation and Evaluation of a Fuzzy-Based One-Pedal Driving Strategy for Enhancing Energy Efficiency and Driving Comfort. World Electr. Veh. J. 2025, 16, 608. https://doi.org/10.3390/wevj16110608

AMA Style

Hammer T, Mitsching T, Heydrich M, Ivanov V. Optimisation and Evaluation of a Fuzzy-Based One-Pedal Driving Strategy for Enhancing Energy Efficiency and Driving Comfort. World Electric Vehicle Journal. 2025; 16(11):608. https://doi.org/10.3390/wevj16110608

Chicago/Turabian Style

Hammer, Tim, Thomas Mitsching, Marius Heydrich, and Valentin Ivanov. 2025. "Optimisation and Evaluation of a Fuzzy-Based One-Pedal Driving Strategy for Enhancing Energy Efficiency and Driving Comfort" World Electric Vehicle Journal 16, no. 11: 608. https://doi.org/10.3390/wevj16110608

APA Style

Hammer, T., Mitsching, T., Heydrich, M., & Ivanov, V. (2025). Optimisation and Evaluation of a Fuzzy-Based One-Pedal Driving Strategy for Enhancing Energy Efficiency and Driving Comfort. World Electric Vehicle Journal, 16(11), 608. https://doi.org/10.3390/wevj16110608

Article Metrics

Back to TopTop