Robust Control Design of Active Front-Wheel Steering on Low-Adhesion Road Surfaces
Abstract
:1. Introduction
2. System Modeling
2.1. Active Front-Wheel Steering System
2.2. Vehicle Reference Model and Yaw Velocity Tracker Design
2.3. Tire Model
3. Design of Yaw Moment Controller
3.1. Variable Angle Transmission Ratio Control Strategy
3.2. H2/H∞ Hybrid Robust Control Strategy Based on Vehicle Stability
- (1)
- Sensitivity and complementary sensitivity function
- (2)
- Weighting function selection
- (3)
- H2/H∞ robust controller design
4. Experimental Results and Analysis
4.1. Simulation of Double-Lane Change Condition
4.2. Step Input Simulation
4.3. HIL Experiment
5. Conclusions
- (1)
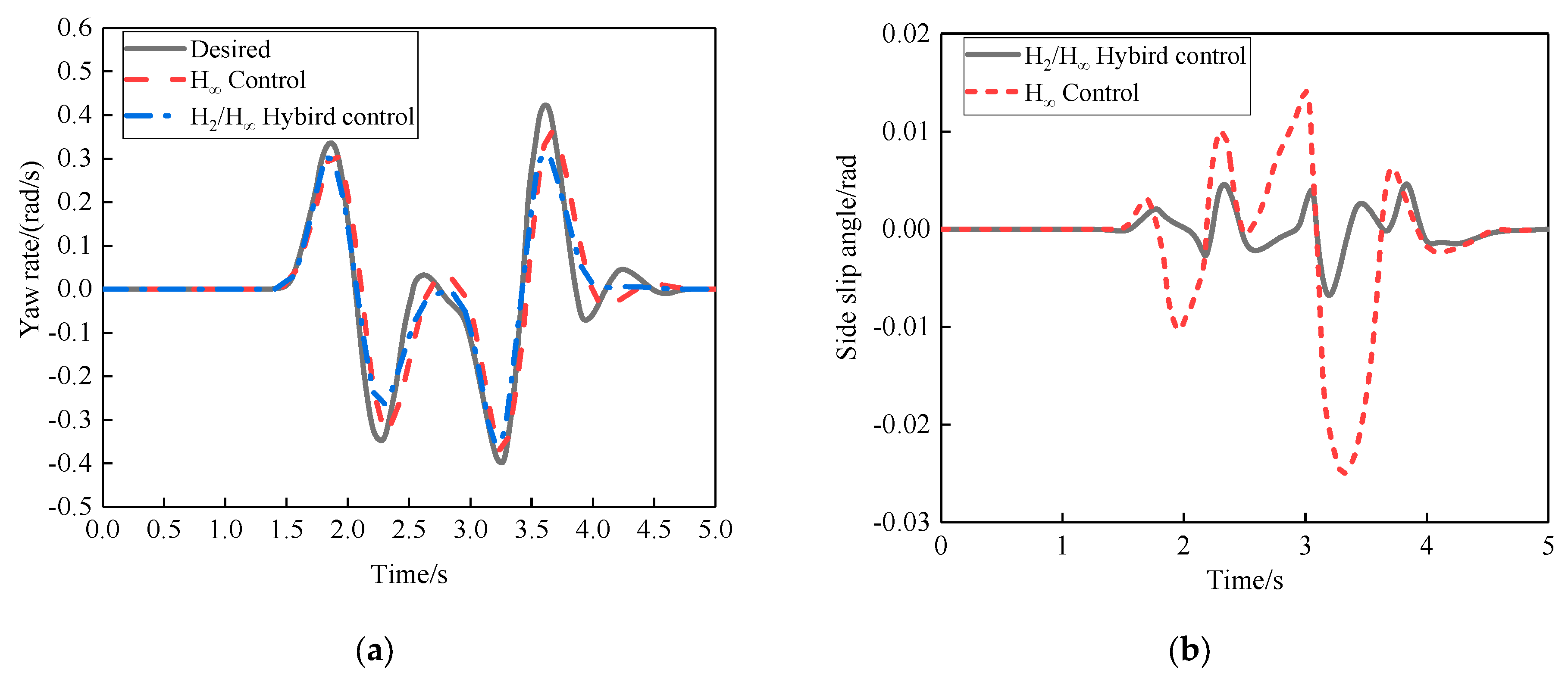
- Based on the AFS-HIL simulation platform, the control algorithm was verified. The simulation results show that under a low-adhesion road, mixed H2/H∞ control and the ideal value are at a minimum, the H∞ control performance is better and H∞ has obvious hysteresis control that is more conservative. The algorithm can effectively control the stability of the vehicle on a low-adhesion road and the real-time performance.
- (2)
- The stability of the active front-wheel steering system was simulated by using double-lane change and step input simulation. Based on vehicle stability, this paper established a mathematical model of the active front-wheel steering control system. In order to improve the vehicle handling stability, a H2/H∞ hybrid robust controller based on the linear matrix inequality method was designed. As a result, the actual vehicle model can sufficiently track the ideal vehicle model. Moreover, CarSim and Simulink were used for joint simulation. The simulation results show the following: The system using H2/H∞ hybrid control has a better performance than that using H∞ control on the studied road. Furthermore, it also has a good robust performance against external interference.
- (3)
- In this paper, the H2/H∞ hybrid robust control algorithm only considered the displacement control method of active front steering and did not consider the influence of displacement characteristic control on road sensing. In addition, the feedforward compensation and direct control of the steering wheel torque need to be further improved.
Author Contributions
Funding
Institutional Review Board Statement
Informed Consent Statement
Data Availability Statement
Conflicts of Interest
References
- Li, X.Y.; Zhang, J. AFS Variable Transmission Ratio Design Considering Road Adhesion Coefficient and Speed. J. Automot. Saf. Energy 2020, 11, 329–336. (In Chinese) [Google Scholar]
- Seongjin, Y.; Seungjun, K.; Heesung, Y. Coordinated control with electronic stability control and active front steering using the optimum yaw moment distribution under a lateral force constraint on the active front steering. Proc. Inst. Mech. Eng. Part D J. Automob. Eng. 2016, 230, 581–592. [Google Scholar]
- Li, W.Q.; Wu, X.D. Research on Variable Angle Transmission Ratio Characteristics of Steer-by-wire Vehicle. Mech. Electr. Eng. 2019, 36, 422–427. (In Chinese) [Google Scholar]
- Li, X.; Shi, X.H.; Li, R.C.; Wang, J.C.; Ma, Y. Sliding Mode Control of Active Front Wheel Steering Based on Ideal Variable Transmission Ratio. Automob. Technol. 2019, 6, 47–52. (In Chinese) [Google Scholar]
- Aouadj, N.; Hartani, K.; Fatiha, M. New Integrated Vehicle Dynamics Control System Based on the Coordination of Active Front Steering, Direct Yaw Control, and Electric Differential for Improvements in Vehicle Handling and Stability. SAE Int. J. Veh. Dyn. Stab. NVH 2020, 4, 119–133. [Google Scholar] [CrossRef]
- Saïd, M.; Damien, K. Vehicle Handling Improvement by Active Steering. Veh. Syst. Dyn. 2002, 38, 211–242. [Google Scholar]
- Bian, J.N.; Wu, L.R.; Liu, X.J.; Xuan, Y.B.; Wang, L.H. Hybrid Sensitivity Robust Control of Unmanned Vehicle. Tactical Missile Technol. 2019, 2, 85–90. (In Chinese) [Google Scholar]
- Borrelli, F.; Falcone, P.; Keviczky, T.; Asgari, J.; Hrovat, D. MPC-based approach to active steering for autonomous vehicle systems. Int. J. Veh. Auton. Syst. 2005, 3, 265. [Google Scholar] [CrossRef]
- Falcone, P.; Eric Tseng, H.; Borrelli, F.; Asgari, J.; Hrovat, D. MPC-based yaw and lateral stabilization via active front steering and braking. Veh. Syst. Dyn. 2008, 46, 611–628. [Google Scholar] [CrossRef]
- Sang, N.; Wei, M.X. Vehicle Active Front Wheel Steering Control Based on ESO and NTSM. J. Nanjing Univ. Aeronaut. Astronaut. 2018, 50, 521–527. (In Chinese) [Google Scholar]
- Ahmadian, N.; Khosravi, A.; Sarhadi, P. Integrated model reference adaptive control to coordinate active front steering and direct yaw moment control. ISA Trans. 2020, 106, 85–96. [Google Scholar] [CrossRef]
- Zhao, J.; Wong, P.K.; Ma, X.B.; Xie, Z.C. Chassis integrated control for active suspension, active front steering and direct yaw moment systems using hierarchical strategy. Veh. Syst. Dyn. 2017, 55, 72–103. [Google Scholar] [CrossRef]
- Zhao, W.; Qin, X. Study on mixed H2/H∞ robust control strategy of four wheel steering system. Sci. Chin. Technol. Sci. 2017, 60, 1–10. [Google Scholar] [CrossRef]
- Zhao, W.; Wang, C. Mixed H2/H∞ road feel control of EPS based on genetic algorithm. Sci. Chin. Technol. Sci. 2012, 55, 72–80. [Google Scholar] [CrossRef]
- Jin, X.; Yu, Z.; Yin, G.; Wang, J. Improving Vehicle Handling Stability Based on Combined AFS and DYC System via Robust Takagi-Sugeno Fuzzy Control. IEEE Trans. Intell. Transp. Syst. 2017, 19, 2696–2707. [Google Scholar] [CrossRef]
- Jing, H.; Wang, R.; Wang, J.; Chen, N. Robust H∞ dynamic output-feedback control for four-wheel independently actuated electric ground vehicles through integrated AFS/DYC. J. Frankl. Inst. 2018, 355, 9321–9350. [Google Scholar] [CrossRef]
- Wang, J.X.; Dai, M.M.; Chen, N. Robust output feedback control of active front wheel steering with uncertain parameters. J. Southeast Univ. Nat. Sci. Ed. 2016, 46, 476–482. (In Chinese) [Google Scholar]
- Ji, P.K.; Shen, B.; Chen, H.; Zhang, T. Research on Robust Control of Active Steering System. Automot. Eng. 2013, 35, 1092–1098. (In Chinese) [Google Scholar] [CrossRef]
- Falcone, P.; Borrelli, F.; Asgari, J.; Tseng, H.E.; Hrovat, D. Predictive active steering control for autonomous vehicle systems. IEEE Trans. Control. Syst. Technol. 2007, 15, 566–580. [Google Scholar] [CrossRef]
- Dong, Q.; Ji, X.W.; Liu, Y.L.; Tao, S.X.; Liu, Y.H. Automatic Tracking of Heavy Commercial Vehicle Based on LPV/H∞ Robust Control. J. Tsinghua Univ. Nat. Sci. Ed. 2021, 1–9. (In Chinese) [Google Scholar] [CrossRef]
- Li, S.S.; Guo, K.H.; Qiu, T.; Chen, H.; Wang, G.D.; Cui, G. Stability control of active front-wheel Steering Vehicle under extreme conditions. J. Automotive Engineering. 2020, 42, 191–198. (In Chinese) [Google Scholar] [CrossRef]
- Wang, R.; Jing, H.; Hu, C.; Yan, F.; Chen, N. Robust H∞ path following control for autonomous ground vehicles with delay and data dropout. IEEE Trans. Intell. Transp. Syst. 2016, 17, 2042–2050. [Google Scholar] [CrossRef]
- Wasim, M.; Kashif, A.S.; Ali, A.; Saleem, F. Integrated AFS and DYC using predictive controller for vehicle handling improvement. In Proceedings of the 2021 International Bhurban Conference on Applied Sciences and Technologies (IBCAST), Islamabad, Pakistan, 12–16 January 2021; pp. 568–573. [Google Scholar] [CrossRef]
- Zhao, S.E.; Liu, Q.Y. Active Control of Vehicle Steer-by-wire Based on Fractional PID Theory. J. Automot. Saf. Energy 2019, 2, 47–54. (In Chinese) [Google Scholar]
- Sun, X.F.; Zhao, J.B. Design of Front Wheel Active Steering System. Tract. Agric. Transp. 2008, 6, 94–95. (In Chinese) [Google Scholar]
- Bian, J.N.; Feng, S.S.; Shao, Z.Y.; Li, Y.M.; Nie, W.B. Robust Control of Near Surface Longitudinal Motion of Small Vehicle. J. Beijing Inst. Technol. 2015, 10, 41–45. (In Chinese) [Google Scholar]
- Ma, J. Realistic path to promote energy transformation. PetroChina 2020, 2, 14–17. [Google Scholar]
- Li, K.Q.; Dai, F.; Li, S.B.; Bian, M.Y. Development Status and Trend of Intelligent Connected Vehicle (ICV) Technology. J. Automot. Saf. Energy 2017, 1, 14. (In Chinese) [Google Scholar]










| Parameter Names | Numerical Value | Parameter Names | Numerical Value |
|---|---|---|---|
| Width/mm | 1440 | Vehicle height/mm | 1780 |
| Height of center of mass/mm | 540 | The moment of inertia around the x-axis/kg·m2 | 288 |
| Total weight/kg | 1000 | The moment of inertia around the y-axis/kg·m2 | 2031.4 |
| Wheel base/mm | 2600 | The moment of inertia around the z-axis/kg·m2 | 2031.4 |
| The distance from the center of mass to the front axis/mm | 1040 | Reference model front shaft cornering stiffness /N·rad−1 | −53,388 |
| The distance from the center of mass to the back axis/mm | 1560 | Reference model rear shaft cornering stiffness /N·rad−1 | −35,592 |
| The front wheel radius/mm | 311 | Rear wheel radius/mm | 311 |
| Wheel base/mm | 1210 | Tire outside diameter/mm | 580 |
Publisher’s Note: MDPI stays neutral with regard to jurisdictional claims in published maps and institutional affiliations. |
© 2021 by the authors. Licensee MDPI, Basel, Switzerland. This article is an open access article distributed under the terms and conditions of the Creative Commons Attribution (CC BY) license (https://creativecommons.org/licenses/by/4.0/).
Share and Cite
Zhang, C.; Chang, B.; Wang, J.; Li, S.; Zhang, R.; Ma, J. Robust Control Design of Active Front-Wheel Steering on Low-Adhesion Road Surfaces. World Electr. Veh. J. 2021, 12, 153. https://doi.org/10.3390/wevj12030153
Zhang C, Chang B, Wang J, Li S, Zhang R, Ma J. Robust Control Design of Active Front-Wheel Steering on Low-Adhesion Road Surfaces. World Electric Vehicle Journal. 2021; 12(3):153. https://doi.org/10.3390/wevj12030153
Chicago/Turabian StyleZhang, Chuanwei, Bo Chang, Jianlong Wang, Shuaitian Li, Rongbo Zhang, and Jian Ma. 2021. "Robust Control Design of Active Front-Wheel Steering on Low-Adhesion Road Surfaces" World Electric Vehicle Journal 12, no. 3: 153. https://doi.org/10.3390/wevj12030153
APA StyleZhang, C., Chang, B., Wang, J., Li, S., Zhang, R., & Ma, J. (2021). Robust Control Design of Active Front-Wheel Steering on Low-Adhesion Road Surfaces. World Electric Vehicle Journal, 12(3), 153. https://doi.org/10.3390/wevj12030153

