Mucilage-Based and Calcium Ascorbate Edible Coatings Improve Postharvest Quality and Storability of Minimally Processed Cactus Pear Fruit Stored under Passive Atmosphere
Abstract
1. Introduction
2. Materials and Methods
2.1. Fruit Sample
2.2. Edible Coating Preparation and Application
2.2.1. Opuntia ficus-indica Mucilage Based Edible Coating
2.2.2. Calcium Ascorbate Edible Coating
- -
- distilled water (500 mL) with 2% calcium ascorbate (ASC) and 50 mL of glycerol used as plasticizer.
2.3. Quality Parameters: Soluble Solid Content, Titratable Acidity, Carbohydrate, Color, and Weight Loss
2.4. Headspace Gas Composition
2.5. Nutraceutical Attributes
2.5.1. Quantitation of Betalains in Fruit Extracts
2.5.2. Total Phenolic Content
2.5.3. DPPH Assay
2.5.4. Ascorbic Acid Content
2.6. Sensory Analysis and Visual Score
2.7. Microbiological Analyses
2.8. Statistical Analyses
3. Results and Discussion
3.1. Quality Parameters: Soluble Solid Content, Titratable Acidity and Carbohydrate
3.2. Total Phenolic Content, Ascorbic Acid, Betalains, and Antioxidant Activity
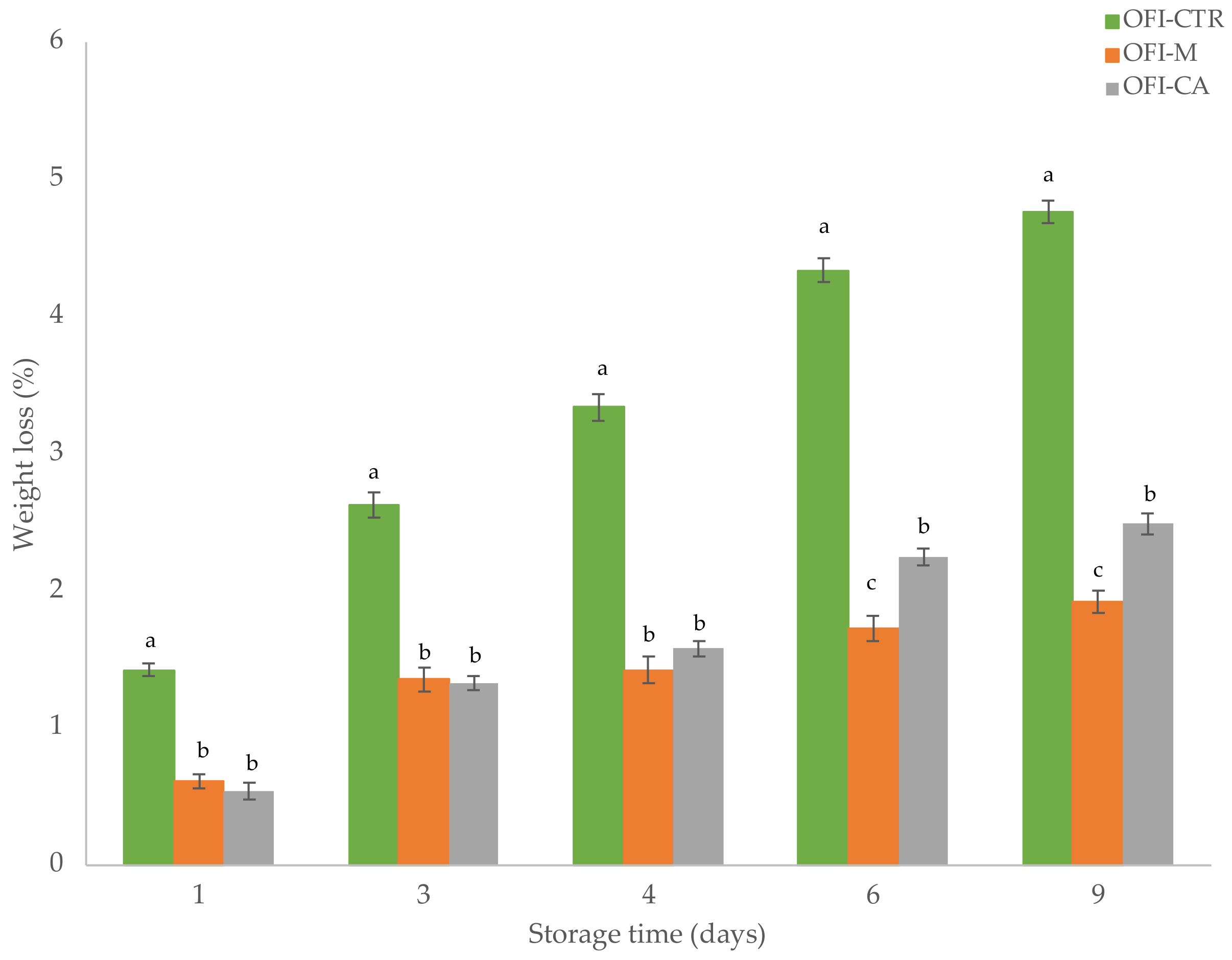
3.3. Quality Parameters: Weight Loss and Color
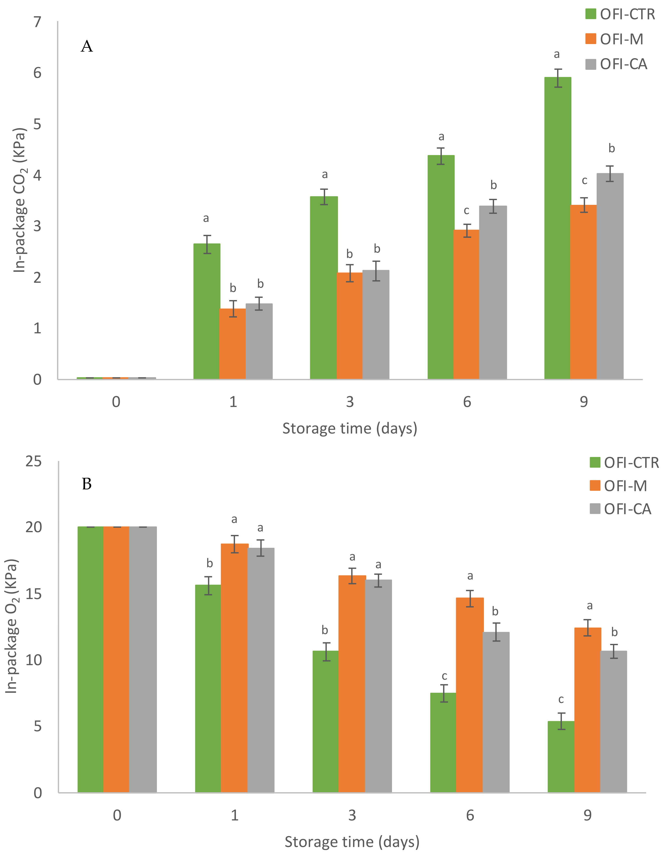
3.4. Headspace Gas Composition
3.5. Sensory Analysis and Visual Score
3.6. Evolution of Microbiological Parameters
4. Conclusions
Author Contributions
Funding
Data Availability Statement
Acknowledgments
Conflicts of Interest
References
- Potgieter, J.; D’Aquino, S. Fruit production and post-harvest management. In Crop Ecology, Cultivation and Used of Cactus Pear; Inglese, P., Mondragon, C., Nefzaoui, A., Saenz, C., Eds.; FAO and ICARDA: Rome, Italy, 2017; pp. 51–69. [Google Scholar]
- Piga, A.; D’Aquino, S.; Agabbio, M.; Emonti, G.; Farris, G. Influence of Storage Temperature on Shelf-life of Minimally Processed Cactus Pear Fruits. LWT 2000, 33, 15–20. [Google Scholar] [CrossRef]
- Cefola, M.; Renna, M.; Pace, B. Marketability of ready-to-eat cactus pear as affected by temperature and modified atmosphere. J. Food Sci. Technol. 2014, 51, 25–33. [Google Scholar] [CrossRef] [PubMed]
- Palma, A.; Continella, A.; La Malfa, S.; D’Aquino, S. Changes in physiological and some nutritional, nutraceuticals, chemical–physical, microbiological and sensory quality of minimally processed cactus pears cvs ‘Bianca’, ‘Gialla’ and ‘Rossa’ stored under passive modified atmosphere. J. Sci. Food Agric. 2018, 98, 1839–1849. [Google Scholar] [CrossRef] [PubMed]
- Liguori, G.; Gaglio, R.; Greco, G.; Gentile, C.; Settanni, L.; Inglese, P. Effect of Opuntia ficus-indica Mucilage Edible Coating on Quality, Nutraceutical, and Sensorial Parameters of Minimally Processed Cactus Pear Fruits. Agronomy 2021, 11, 1963. [Google Scholar] [CrossRef]
- Timpanaro, G.; Urso, A.; Spampinato, D.; Foti, V.T. Fresh-cut cactus pear market in Italy: Current scenario and future perspectives. Acta Hortic. 2015, 1067, 399–406. [Google Scholar] [CrossRef]
- Pushpendra, K.; Shruti, S. Edible coating for fresh fruit: A review. Int. J. Curr. Microbiol. Appl. Sci. 2018, 7, 2619–2626. [Google Scholar]
- Kahramanoğlu, İ.; Usanmaz, S.; Okatan, V.; Wan, C. Preserving postharvest storage quality of fresh-cut cactus pears by using different biomaterials. CABI Agric. Biosci. 2020, 1, 7. [Google Scholar] [CrossRef]
- Allegra, A.; Inglese, P.; Guccione, E.; Farina, V.; Sortino, G. Calcium Ascorbate Coating Improves Postharvest Quality and Storability of Fresh-Cut Slices of Coscia and Abate Fétel Pears (Pyrus communis L.). Horticulturae 2022, 8, 227. [Google Scholar] [CrossRef]
- Del Nobile, M.A.; Conte, A.; Scrocco, C.; Brescia, I. New strategies for minimally processed cactus pear packaging. Innov. Food Sci. Emerg. Technol. 2009, 10, 356–362. [Google Scholar] [CrossRef]
- Du Toit, A.; De Wit, M. A Process for Extracting Mucilage from Opuntia Ficus-Indica and Aloe Barbadensis. South Africa Patent No. PA153178/P, 2011. [Google Scholar]
- Passafiume, R.; Gugliuzza, G.; Gaglio, R.; Busetta, G.; Tinebra, I.; Sortino, G.; Farina, V. Aloe-Based Edible Coating to Maintain Quality of Fresh-Cut Italian Pears (Pyrus communis L.) during Cold Storage. Horticulturae 2021, 7, 581. [Google Scholar] [CrossRef]
- Kanner, J.; Harel, S.; Granit, R. Betalains-A new class of dietary cationized antioxidants. J. Agric. Food Chem. 2001, 49, 5178–5185. [Google Scholar] [CrossRef] [PubMed]
- Schwartz, S.J.; von Elbe, J.H. Quantitative determination of individual betacyanin pigments by high-performance liquid chromatography. J. Agric. Food Chem. 1980, 28, 540–543. [Google Scholar] [CrossRef]
- Butera, D.; Tesoriere, L.; Di Gaudio, F.; Bongiorno, A.; Allegra, M.; Pintaudi, A.M.; Kohen, R.; Livrea, M.A. Antioxidant activities of sicilian prickly pear (Opuntia ficus-indica) fruit extracts and reducing properties of its betalains: Betanin and indicaxanthin. J. Agric. Food Chem. 2002, 50, 6895–6901. [Google Scholar] [CrossRef] [PubMed]
- Piattelli, M.; Minale, L.; Prota, G. Isolation structure and absolute configuration of indicaxanthin. Tetrahedron 1964, 20, 2325–2329. [Google Scholar] [CrossRef]
- Liguori, G.; Gentile, C.; Sortino, G.; Inglese, P.; Farina, V. Food Quality, Sensory Attributes and Nutraceutical Value of Fresh “Osteen” Mango Fruit Grown under Mediterranean Subtropical Climate Compared to Imported Fruit. Agriculture 2020, 10, 103. [Google Scholar] [CrossRef]
- Ozgen, M.; Reese, R.N.; Tulio, A.Z.; Scheerens, J.C.; Miller, A.R. Modified 2, 2-azino-bis-3-ethylbenzothiazoline-6-sulfonic acid (ABTS) method to measure antioxidant capacity of selected small fruits and comparison to ferric reducing antioxidant power (FRAP) and 2,2′-diphenyl-1-picrylhydrazyl (DPPH) methods. J. Agric. Food Chem. 2006, 54, 1151–1157. [Google Scholar] [CrossRef]
- Ranganna, S. Manual of Analysis of Fruit and Vegetable Products; McGraw-Hill Publishing Co. Ltd.: New Delhi, India, 1977. [Google Scholar]
- Allegra, A.; Inglese, P.; Sortino, G.; Settanni, L.; Todaro, A.; Liguori, G. The influence of Opuntia ficus-indica mucilage edible coating on the quality of ‘Hayward’ kiwifruit slices. Postharv. Biol. Technol. 2016, 120, 45–51. [Google Scholar] [CrossRef]
- Cheung, M.M.; Kramer, M.; Beauchamp, G.K.; Puputti, S.; Wise, P.M. Characterizing Individual Differences in Sweet Taste Hedonics: Test Methods, Locations, and Stimuli. Nutrients 2022, 14, 370. [Google Scholar] [CrossRef]
- Palma, A.; Mura, D.; D’Aquino, S.; La Malfa, S.; Continella, A.; Schirra, M. Effect of edible coating on ascorbic acid, betalains, organic acid, sugar, polyphenol content and antioxidant activity in minimally processed cactus pear (Opuntia ficus-indica). Acta Hortic. 2015, 1067, 127–133. [Google Scholar] [CrossRef]
- Piga, A.; Del Caro, A.; Pinna, I.; Agabbio, M. Changes in ascorbic acid, polyphenol content and antioxidant activity in minimally processed cactus pear fruits. Lebensm. -Wiss. Technol. 2003, 36, 257–262. [Google Scholar] [CrossRef]
- Reyes, L.F.; Villareal, J.E.; Cisneros-Zevallos, L. The increase in antioxidant capacity after wounding depends on the type of fruit or vegetable tissue. Food Chem. 2007, 101, 1254–1262. [Google Scholar] [CrossRef]
- Stintzing, F.C.; Herbach, K.M.; Mosshammer, M.R.; Carle, R.; Yi, W.; Sellappan, S. Color, betalain pattern, and antioxidant properties of cactus pear (Opuntia spp.) clones. J. Agric. Food Chem. 2005, 53, 442–451. [Google Scholar] [CrossRef]
- Gheribi, R.; Khwaldia, K. Cactus Mucilage for Food Packaging Applications. Coatings 2019, 9, 655. [Google Scholar] [CrossRef]
- Ochoa-Velasco, C.E.; Guerrero-Beltrán, J. Ángel Postharvest quality of peeled prickly pear fruit treated with acetic acid and chitosan. Postharvest Biol. Technol. 2014, 92, 139–145. [Google Scholar] [CrossRef]
- Allegra, A.; Sortino, G.; Miciletta, G.; Riotto, M.; Fasciana, T.; Inglese, P. The influence of harvest period and fruit ripeness at harvest on minimally processed cactus pears (Opuntia ficus-indica L. Mill.) stored under passive atmosphere. Postharvest Biol. Technol. 2015, 104, 57–62. [Google Scholar] [CrossRef]
- Del Valle, V.; Hernández-Muñoz, P.; Guarda, A.; Galotto, M.J. Development of a cactus-mucilage edible coating (Opuntia ficus indica) and its application to extend strawberry (Fragaria ananassa) shelf-life. Food Chem. 2005, 91, 751–756. [Google Scholar] [CrossRef]
- Allegra, A.; Sortino, G.; Inglese, P.; Settanni, L.; Todaro, A.; Gallotta, A. The effectiveness of Opuntia ficus-indica mucilage edible coating on post-harvest maintenance of ‘Dottato’ fig (Ficus carica L.) fruit. Food Packag. Shelf Life 2017, 12, 135–141. [Google Scholar] [CrossRef]
- Corbo, M.R.; Altieri, C.; D’Amato, D.; Campaniello, D.; Del Nobile, M.; Sinigaglia, M. Effect of temperature on shelf life and microbial population of lightlyprocessed cactus pear fruit. Postharvest Biol. Technol. 2004, 31, 94–104. [Google Scholar] [CrossRef]
- Zhu, Q.; Gooneratne, R.; Hussain, M.A. Listeria monocytogenes in fresh produce: Outbreaks, prevalence and contamination levels. Foods 2017, 6, 21. [Google Scholar] [CrossRef]
- Alegbeleye, O.; Odeyemi, O.A.; Strateva, M.; Stratev, D. Microbial spoilage of vegetables, fruits and cereals. Appl. Food Res. 2022, 2, 100122. [Google Scholar] [CrossRef]
- Kohatsu, D.S.; Zucareli, V.; Brambilla, W.P.; Evangelista, R.M.; Ono, E.O.; da Silva, T.R.B. Storage temperature and quality of red mombin fruits (Spondias purpurea L.). J. Food Agric. Environ. 2011, 9, 20–22. [Google Scholar]
- Zhang, H.; Zhang, Q.; Chen, S.; Zhang, Z.; Song, J.; Long, Z.; Yu, Y.; Fang, H. Enterobacteriaceae predominate in the endophytic microbiome and contribute to the resistome of strawberry. Sci. Total Environ. 2020, 727, 138708. [Google Scholar] [CrossRef] [PubMed]
- Liguori, G.; Greco, G.; Gaglio, R.; Settanni, L.; Inglese, P.; Allegra, A. Influence of Cactus Pear Mucilage-Based Edible Coating on Marketability and Edibility Parameters of Minimally Processed Loquat Fruits. Agronomy 2022, 12, 2120. [Google Scholar] [CrossRef]
- Troyo, R. Effects of calcium ascorbate and calcium lactate on quality of fresh-cut pineapple (Ananas comosus). Int. J. Agric. For. Life Sci. 2019, 3, 143–150. [Google Scholar]






| Storage Time | TA | TSS | Glucose | Fructose | ||||||||
|---|---|---|---|---|---|---|---|---|---|---|---|---|
| (Days) | (g Citric Acid 100 g−1 FW) | (°Brix) | (g 100 g−1) | (g 100 g−1) | ||||||||
| OFI-CTR | OFI-M | OFI-CA | OFI-CTR | OFI-M | OFI-CA | OFI-CTR | OFI-M | OFI-CA | OFI-CTR | OFI-M | OFI-CA | |
| T0 | 0.091 ± 0.03 ns | 0.091 ± 0.03 ns | 0.091 ± 0.03 ns | 14.75 ± 0.18 ns | 14.75 ± 0.18 ns | 14.75 ± 0.18 ns | 8.75 ± 0.11 ns | 8.75 ± 0.11 ns | 8.75 ± 0.11 ns | 5.69 ± 0.18 ns | 5.69 ± 0.18 ns | 5.69 ± 0.18 ns |
| T3 | 0.083 ± 0.02 ns | 0.085 ± 0.02 ns | 0.084 ± 0.01 ns | 14.21 ± 0.23 ns | 14.52 ± 0.21 ns | 14.24 ± 0.18 ns | 8.51 ± 0.13 ns | 8.67± 0.13 ns | 8.63 ± 0.12 ns | 5.32 ± 0.11 ns | 5.43 ± 0.12 ns | 5.41 ± 0.15 ns |
| T6 | 0.082 ± 0.04 ns | 0.084 ± 0.03 ns | 0.084 ± 0.03 ns | 13.51 ± 0.29 b | 14.39 ± 0.19 a | 14.14 ± 0.18 a | 8.04 ± 0.11 b | 8.47 ± 0.12 a | 8.45 ± 0.10 a | 5.01 ± 0.11 b | 5.38 ± 0.09 a | 5.32 ± 0.08 a |
| T9 | 0.078 ± 0.05 ns | 0.083 ± 0.02 ns | 0.082 ± 0.01 ns | 12.46 ± 0.27 b | 14.25 ± 0.22 a | 14.02 ± 0.18a | 7.25 ± 0.11 b | 7.79 ± 0.12 a | 7.51 ± 0.13 a | 4.83 ± 0.12 b | 5.34 ± 0.11 a | 5.29 ± 0.12 a |
| Significance Storage | ns | ns | ns | * | ns | ns | * | ns | ns | * | ns | ns |
| Storage Time | Total Phenolics | Indicaxantin | Ascorbic Acid | DPPH | ||||||||
|---|---|---|---|---|---|---|---|---|---|---|---|---|
| (Days) | (mg Gallic Acid Equiv. 100 g−1) | (mg 100 g−1 FW) | (mg 100 g−1 FW) | (mmol TE 100 g−1 FW) | ||||||||
| OFI-CTR | OFI-M | OFI-CA | OFI-CTR | OFI-M | OFI-CA | OFI-CTR | OFI-M | OFI-CA | OFI-CTR | OFI-M | OFI-CA | |
| T0 | 92.65 ± 1.51 ns | 92.65 ± 1.51 ns | 92.65 ± 1.51 ns | 8.51 ± 0.19 ns | 8.89 ± 0.20 ns | 8.63 ± 0.22 ns | 26.7 ± 0.15 a | 26.7 ± 0.15 a | 26.7 ± 0.15 a | 5.31 ± 0.32 a | 5.31 ± 0.32 a | 5.31 ± 0.32 a |
| T3 | 90.29 ± 1.36 ns | 91.51 ± 1.17 ns | 91.20 ± 1.14 ns | 6.81 ± 0.28 b | 8.62 ± 0.22 a | 8.22 ± 0.27 a | 22.2 ± 0.13 b | 26.3 ± 0.14 a | 26.1 ± 0.12 a | 4.67 ± 0.18 a | 5.01 ± 0.28 a | 4.98 ± 0.28 a |
| T6 | 87.53 ± 1.53 b | 90.82 ± 1.21 a | 90.55 ± 1.19° | 6.84 ± 0.17 b | 8.56 ± 0.23 a | 8.10 ± 0.31 a | 20.6 ± 0.15 b | 25.1 ± 0.10 a | 24.9 ± 0.11 a | 3.52 ± 0.20 b | 4.95 ± 0.27 a | 4.76 ± 0.27 a |
| T9 | 83.62 ± 1.11 b | 90.45 ± 1.01 a | 90.18 ± 1.23° | 6.83 ± 0.21 b | 8.41 ± 0.18 a | 7.98 ± 0.39 a | 19.7 ± 0.11 b | 24.3 ± 0.14 a | 23.6 ± 0.15 a | 2.41± 0.23 b | 4.90 ± 0.23 a | 4,65 ± 0.21 a |
| SignificanceX Storage | * | ns | ns | * | ns | ns | * | * | * | * | ns | ns |
| Storage Time | Samples | Microbial Loads | ||||
|---|---|---|---|---|---|---|
| TMM | TPM | Pseudomonads | Enterobacteriaceae | Yeasts | ||
| 0 days | OFI-CTR | <2 a | <2 a | <2 a | <1 a | <2 a |
| OFI-M | <2 a | <2 a | <2 a | <1 a | <2 a | |
| OFI-CA | <2 a | <2 a | <2 a | <1 a | <2 a | |
| 3 days | OFI-CTR | 3.54 ± 0.24 a | 2.89 ± 0.22 a | 3.32 ± 0.10 a | <1 a | 3.41 ± 0.23 a |
| OFI-M | 2.57 ± 0.19 b | 2.15 ± 0.11 b | 2.27 ± 0.13 b | <1 a | 2.44 ± 0.14 b | |
| OFI-CA | 2.39 ± 0.15 b | 2.21 ± 0.13 b | 2.10 ± 0.05 b | <1 a | 2.54 ± 0.17 b | |
| 6 days | OFI-CTR | 5.01 ± 0.25 a | 3.52 ± 0.21 a | 4.60 ± 0.21 a | 2.55 ± 0.24 a | 4.39 ± 0.27 a |
| OFI-M | 3.24 ± 0.27 b | 2.55 ± 0.29 b | 3.05 ± 0.13 b | <1 b | 3.02 ±0.23 b | |
| OFI-CA | 3.31 ± 0.24 b | 2.73 ± 0.24 b | 3.00 ± 0.23 b | <1 b | 3.17 ± 0.31 b | |
| 9 days | OFI-CTR | 6.11 ± 0.14 a | 4.62 ± 0.23 a | 5.11 ± 0.33 a | 3.21 ± 0.21 a | 5.72 ± 0.31 a |
| OFI-M | 4.68 ± 0.30 b | 3.77 ± 0.25 b | 4.01 ± 0.27 b | 2.12 ± 0.10 b | 4.17 ± 0.20 b | |
| OFI-CA | 5.01 ± 0.23 b | 3.97 ± 0.15 b | 4.13 ± 0.20 b | 2.33 ± 0.17 b | 4.61 ± 0.24 b | |
Disclaimer/Publisher’s Note: The statements, opinions and data contained in all publications are solely those of the individual author(s) and contributor(s) and not of MDPI and/or the editor(s). MDPI and/or the editor(s) disclaim responsibility for any injury to people or property resulting from any ideas, methods, instructions or products referred to in the content. |
© 2022 by the authors. Licensee MDPI, Basel, Switzerland. This article is an open access article distributed under the terms and conditions of the Creative Commons Attribution (CC BY) license (https://creativecommons.org/licenses/by/4.0/).
Share and Cite
Liguori, G.; Greco, G.; Gaglio, R.; Settanni, L.; Gentile, C.; Inglese, P. Mucilage-Based and Calcium Ascorbate Edible Coatings Improve Postharvest Quality and Storability of Minimally Processed Cactus Pear Fruit Stored under Passive Atmosphere. Horticulturae 2023, 9, 15. https://doi.org/10.3390/horticulturae9010015
Liguori G, Greco G, Gaglio R, Settanni L, Gentile C, Inglese P. Mucilage-Based and Calcium Ascorbate Edible Coatings Improve Postharvest Quality and Storability of Minimally Processed Cactus Pear Fruit Stored under Passive Atmosphere. Horticulturae. 2023; 9(1):15. https://doi.org/10.3390/horticulturae9010015
Chicago/Turabian StyleLiguori, Giorgia, Giuseppe Greco, Raimondo Gaglio, Luca Settanni, Carla Gentile, and Paolo Inglese. 2023. "Mucilage-Based and Calcium Ascorbate Edible Coatings Improve Postharvest Quality and Storability of Minimally Processed Cactus Pear Fruit Stored under Passive Atmosphere" Horticulturae 9, no. 1: 15. https://doi.org/10.3390/horticulturae9010015
APA StyleLiguori, G., Greco, G., Gaglio, R., Settanni, L., Gentile, C., & Inglese, P. (2023). Mucilage-Based and Calcium Ascorbate Edible Coatings Improve Postharvest Quality and Storability of Minimally Processed Cactus Pear Fruit Stored under Passive Atmosphere. Horticulturae, 9(1), 15. https://doi.org/10.3390/horticulturae9010015

