Cationic Cyclodextrin-Based Carriers for Drug and Nucleic Acid Delivery
Abstract
1. Introduction
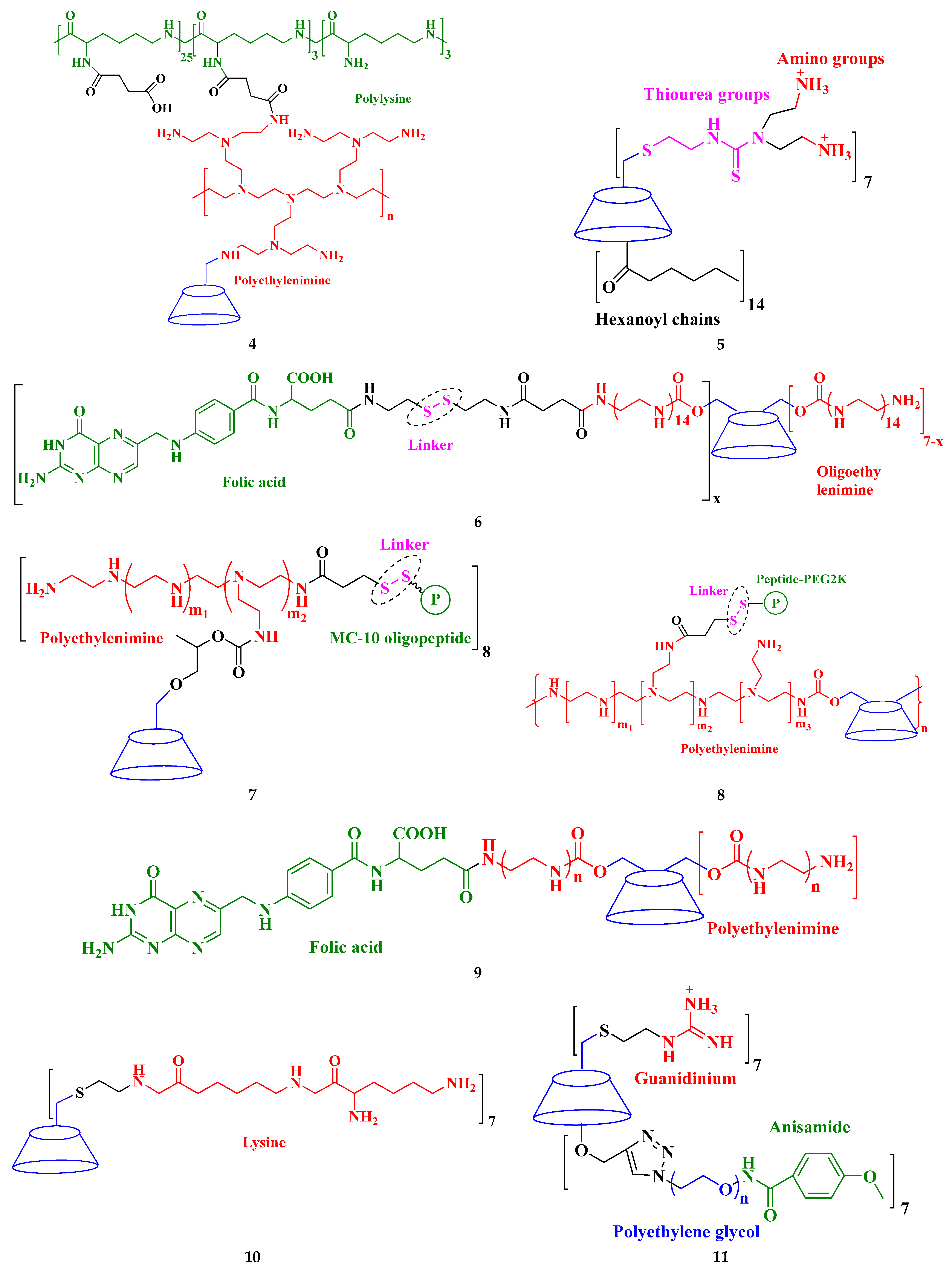
2. Cyclodextrin: Types and Functionalization with Cationic Moieties
3. Cationic Cyclodextrins for Small-Molecule Drug Delivery
3.1. Anticancer Drugs
3.2. Anti-Inflammatory Drugs
3.3. Antibacterial Drugs
3.4. Antidiabetic Drugs
3.5. Miscellaneous Drugs
4. Cationic Cyclodextrins for Nucleic Acid Delivery
4.1. DNA
4.2. RNA
5. Cationic Cyclodextrins for Combinatorial Delivery of Drugs and Nucleic Acids
6. Challenges and Research Gaps Associated with Cationic Cyclodextrin-Based Delivery Systems
7. Conclusions
Supplementary Materials
Author Contributions
Funding
Conflicts of Interest
References
- Cordaro, A.; Zagami, R.; Malanga, M.; Venkatesan, J.K.; Alvarez-Lorenzo, C.; Cucchiarini, M.; Piperno, A.; Mazzaglia, A. Cyclodextrin cationic polymer-based nanoassemblies to manage inflammation by intra-articular delivery strategies. Nanomaterials 2020, 10, 1712. [Google Scholar] [CrossRef] [PubMed]
- Singh, R.P.; Hidalgo, T.; Cazade, P.-A.; Darcy, R.; Cronin, M.F.; Dorin, I.; O’Driscoll, C.o.M.; Thompson, D. Self-assembled cationic β-cyclodextrin nanostructures for siRNA delivery. Mol. Pharm. 2019, 16, 1358–1366. [Google Scholar] [CrossRef] [PubMed]
- Naidoo, K.J.; Chen, J.Y.J.; Jansson, J.L.; Widmalm, G.; Maliniak, A. Molecular properties related to the anomalous solubility of β-cyclodextrin. J. Phys. Chem. B 2004, 108, 4236–4238. [Google Scholar] [CrossRef]
- Bilensoy, E.; Hincal, A.A. Recent advances and future directions in amphiphilic cyclodextrin nanoparticles. Expert Opin. Drug Deliv. 2009, 6, 1161–1173. [Google Scholar] [CrossRef]
- Malanga, M.; Bálint, M.; Puskás, I.; Sohajda, T.; Jicsinszky, L.; Szente, L.; Fenyvesi, É. Synthetic strategies for the fluorescent labeling of epichlorohydrin-branched cyclodextrin polymers. Beilstein J. Org. Chem. 2014, 10, 3007–3018. [Google Scholar] [CrossRef]
- Li, J.; Xiao, H.; Li, J.; Zhong, Y. Drug carrier systems based on water-soluble cationic β-cyclodextrin polymers. Int. J. Pharm. 2004, 278, 329–342. [Google Scholar] [CrossRef]
- Xin, J.; Guo, Z.; Chen, X.; Jiang, W.; Li, J.; Li, M. Study of branched cationic β-cyclodextrin polymer/indomethacin complex and its release profile from alginate hydrogel. Int. J. Pharm. 2010, 386, 221–228. [Google Scholar] [CrossRef]
- Xu, C.; Yu, B.; Qi, Y.; Zhao, N.; Xu, F.J. Versatile types of cyclodextrin-based nucleic acid delivery systems. Adv. Healthc. Mater. 2021, 10, 2001183. [Google Scholar] [CrossRef]
- Mousazadeh, H.; Pilehvar-Soltanahmadi, Y.; Dadashpour, M.; Zarghami, N. Cyclodextrin based natural nanostructured carbohydrate polymers as effective non-viral siRNA delivery systems for cancer gene therapy. J. Control. Release 2021, 330, 1046–1070. [Google Scholar] [CrossRef] [PubMed]
- Díaz-Moscoso, A.; Le Gourriérec, L.; Gómez-García, M.; Benito, J.M.; Balbuena, P.; Ortega-Caballero, F.; Guilloteau, N.; Di Giorgio, C.; Vierling, P.; Defaye, J. Polycationic amphiphilic cyclodextrins for gene delivery: Synthesis and effect of structural modifications on plasmid DNA complex stability, cytotoxicity, and gene expression. Chem. Eur. J. 2009, 15, 12871–12888. [Google Scholar] [CrossRef] [PubMed]
- Haley, R.M.; Gottardi, R.; Langer, R.; Mitchell, M.J. Cyclodextrins in drug delivery: Applications in gene and combination therapy. Drug Deliv. Transl. Res. 2020, 10, 661–677. [Google Scholar] [CrossRef]
- Varan, G.; Benito, J.M.; Mellet, C.O.; Bilensoy, E. Development of polycationic amphiphilic cyclodextrin nanoparticles for anticancer drug delivery. Beilstein J. Nanotechnol. 2017, 8, 1457–1468. [Google Scholar] [CrossRef]
- Ahmadi, D.; Zarei, M.; Rahimi, M.; Khazaie, M.; Asemi, Z.; Mir, S.M.; Sadeghpour, A.; Karimian, A.; Alemi, F.; Rahmati-Yamchi, M. Preparation and in-vitro evaluation of pH-responsive cationic cyclodextrin coated magnetic nanoparticles for delivery of methotrexate to the Saos-2 bone cancer cells. J. Drug Deliv. Sci. Technol. 2020, 57, 101584–101593. [Google Scholar] [CrossRef]
- Gharib, R.; Fourmentin, S.; Charcosset, C.; Greige-Gerges, H. Effect of hydroxypropyl-β–cyclodextrin on lipid membrane fluidity, stability and freeze-drying of liposomes. J. Drug Deliv. Sci. Technol. 2018, 44, 101–107. [Google Scholar] [CrossRef]
- Gidwani, B.; Vyas, A. A comprehensive review on cyclodextrin-based carriers for delivery of chemotherapeutic cytotoxic anticancer drugs. Biomed Res. Int. 2015, 2015, 198268. [Google Scholar] [CrossRef]
- Rivero-Barbarroja, G.; Benito, J.M.; Ortiz Mellet, C.; García Fernández, J.M. Cyclodextrin-based functional glyconanomaterials. Nanomaterials 2020, 10, 2517. [Google Scholar] [CrossRef] [PubMed]
- Santos, A.C.; Costa, D.; Ferreira, L.; Guerra, C.; Pereira-Silva, M.; Pereira, I.; Peixoto, D.; Ferreira, N.R.; Veiga, F. Cyclodextrin-based delivery systems for in vivo-tested anticancer therapies. Drug Deliv. Transl. Res. 2021, 11, 49–71. [Google Scholar] [CrossRef] [PubMed]
- Szente, L.; Puskás, I.; Csabai, K.; Fenyvesi, É. Supramolecular proteoglycan aggregate mimics: Cyclodextrin-assisted biodegradable polymer assemblies for electrostatic-driven drug delivery. Chem. Asian J. 2014, 9, 1365–1372. [Google Scholar] [CrossRef] [PubMed]
- Lin, Y.K.; Show, P.L.; Yap, Y.J.; Ariff, A.; Annuar, M.S.B.M.; Lai, O.M.; Ling, T.C.; Ng, E.P. Extractive bioconversion of gamma-cyclodextrin and recycling of cyclodextrin glycosyltransferase in liquid biphasic system using thermo-separating polymer. Front. Chem. 2018, 6, 448–454. [Google Scholar] [CrossRef]
- Kashani, E.; Maghsoudi, S.; Rezania, H.; Yarazavi, M.; Hajiabbas, M.; Benkovics, G.; Bilensoy, E.; Lacík, I.; Heydari, A. Cyclodextrin polymers containing ionizable and ionic groups: A comprehensive review from classifications and synthesis methods to applications. Mater. Today Chem. 2024, 39, 102186–102213. [Google Scholar] [CrossRef]
- Varan, G.; Varan, C.; Erdoğar, N.; Hıncal, A.A.; Bilensoy, E. Amphiphilic cyclodextrin nanoparticles. Int. J. Pharm. 2017, 531, 457–469. [Google Scholar] [CrossRef] [PubMed]
- Haimhoffer, Á.; Rusznyák, Á.; Réti-Nagy, K.; Vasvári, G.; Váradi, J.; Vecsernyés, M.; Bácskay, I.; Fehér, P.; Ujhelyi, Z.; Fenyvesi, F. Cyclodextrins in drug delivery systems and their effects on biological barriers. Sci. Pharm. 2019, 87, 33. [Google Scholar] [CrossRef]
- Abolmaali, S.S.; Tamaddon, A.; Yousefi, G.; Javidnia, K.; Dinarvand, R. Sequential optimization of methotrexate encapsulation in micellar nano-networks of polyethyleneimine ionomer containing redox-sensitive cross-links. Int. J. Nanomed. 2014, 9, 2833–2848. [Google Scholar]
- Mazzaglia, A.; Scala, A.; Sortino, G.; Zagami, R.; Zhu, Y.; Sciortino, M.T.; Pennisi, R.; Pizzo, M.M.; Neri, G.; Grassi, G. Intracellular trafficking and therapeutic outcome of multiwalled carbon nanotubes modified with cyclodextrins and polyethylenimine. Colloids Surf. B Biointerfaces 2018, 163, 55–63. [Google Scholar] [CrossRef] [PubMed]
- Dehshahri, A.; Oskuee, R.K.; Shier, W.T.; Hatefi, A.; Ramezani, M. Gene transfer efficiency of high primary amine content, hydrophobic, alkyl-oligoamine derivatives of polyethylenimine. Biomaterials 2009, 30, 4187–4194. [Google Scholar] [CrossRef]
- Plesselova, S.; Garcia-Cerezo, P.; Blanco, V.; Reche-Perez, F.J.; Hernandez-Mateo, F.; Santoyo-Gonzalez, F.; Giron-Gonzalez, M.D.; Salto-Gonzalez, R. Polyethylenimine–bisphosphonate–cyclodextrin ternary conjugates: Supramolecular systems for the delivery of antineoplastic drugs. J. Med. Chem. 2021, 64, 12245–12260. [Google Scholar] [CrossRef] [PubMed]
- Yuan, Z.; Ye, Y.; Gao, F.; Yuan, H.; Lan, M.; Lou, K.; Wang, W. Chitosan-graft-β-cyclodextrin nanoparticles as a carrier for controlled drug release. Int. J. Pharm. 2013, 446, 191–198. [Google Scholar] [CrossRef] [PubMed]
- Norouzi, Z.; Abdouss, M. Electrospun nanofibers using β-cyclodextrin grafted chitosan macromolecules loaded with indomethacin as an innovative drug delivery system. Int. J. Biol. Macromol. 2023, 233, 123518. [Google Scholar] [CrossRef]
- Liao, R.; Liu, Y.; Lv, P.; Wu, D.; Xu, M.; Zheng, X. Cyclodextrin pendant polymer as an efficient drug carrier for scutellarin. Drug Deliv. 2020, 27, 1741–1749. [Google Scholar] [CrossRef] [PubMed]
- Xiong, Q.; Zhang, M.; Zhang, Z.; Shen, W.; Liu, L.; Zhang, Q. Anti-tumor drug delivery system based on cyclodextrin-containing pH-responsive star polymer. in vitro and in vivo evaluation. Int. J. Pharm. 2014, 474, 232–240. [Google Scholar]
- Keshavarz, A.H.; Montazer, M.; Soleimani, N. In situ synthesis of polyamidoamine/β-cyclodextrin/silver nanocomposites on polyester fabric tailoring drug delivery and antimicrobial properties. React. Funct. Polym. 2020, 152, 104602. [Google Scholar] [CrossRef]
- Liu, T.; Li, G.; Wu, X.; Chen, S.; Zhang, S.; Han, H.; Zhang, H.; Luo, X.; Cai, X.; Ma, D. β-cyclodextrin-graft-poly (amidoamine) dendrons as the nitric oxide deliver system for the chronic rhinosinusitis therapy. Drug Deliv. 2021, 28, 306–318. [Google Scholar] [CrossRef] [PubMed]
- Jafar, M.; Salahuddin, M.; Kayed, T.S.; Ahmad, N.; Al-Eid, H.A.; Al-Qarros, A.H. Buoyant in situ gels of meloxicam-β-cyclodextrintriethanolamine ternary complex for oral delivery; from a box-behnken experimental design to in vivo activity detail. Asian J. Chem. 2017, 29, 1275–1284. [Google Scholar] [CrossRef]
- Pattanaik, S.; Nandi, S.; Sahoo, R.N.; Nanda, A.; Swain, R.; Das, S.; Mallick, S. Budesonide-cyclodextrin in hydrogel system: Impact of quaternary surfactant on in vitro-in vivo assessment of mucosal drug delivery. Rev. Chim. 2020, 71, 332–345. [Google Scholar] [CrossRef]
- Mohammed-Saeid, W.; Karoyo, A.H.; Verrall, R.E.; Wilson, L.D.; Badea, I. Inclusion complexes of melphalan with gemini-conjugated β-cyclodextrin: Physicochemical properties and chemotherapeutic efficacy in in-vitro tumor models. Pharmaceutics 2019, 11, 427. [Google Scholar] [CrossRef] [PubMed]
- Choukaife, H.; Doolaanea, A.A.; Alfatama, M. Cationic β-cyclodextrin-insulin loaded alginate nanoparticles for oral delivery. Curr. Trends Biotechnol. Pharm. 2023, 17, 1–11. [Google Scholar]
- Gil, E.S.; Li, J.; Xiao, H.; Lowe, T.L. Quaternary ammonium β-cyclodextrin nanoparticles for enhancing doxorubicin permeability across the in vitro blood−brain barrier. Biomacromolecules 2009, 10, 505–516. [Google Scholar] [CrossRef] [PubMed]
- Li, B.L.; Zhang, J.; Jin, W.; Chen, X.Y.; Yang, J.M.; Chi, S.M.; Ruan, Q.; Zhao, Y. Oral administration of pH-responsive polyamine modified cyclodextrin nanoparticles for controlled release of anti-tumor drugs. React. Funct. Polym. 2022, 172, 105175–105187. [Google Scholar] [CrossRef]
- Zhang, M.; Xiong, Q.; Chen, J.; Wang, Y.; Zhang, Q. A novel cyclodextrin-containing pH-responsive star polymer for nanostructure fabrication and drug delivery. Polym. Chem. 2013, 4, 5086–5095. [Google Scholar] [CrossRef]
- Gil, E.S.; Wu, L.; Xu, L.; Lowe, T.L. β-Cyclodextrin-poly (β-amino ester) nanoparticles for sustained drug delivery across the blood–brain barrier. Biomacromolecules 2012, 13, 3533–3541. [Google Scholar] [CrossRef]
- Hervé, F.; Ghinea, N.; Scherrmann, J.M. CNS delivery via adsorptive transcytosis. AAPS J. 2008, 10, 455–472. [Google Scholar] [CrossRef] [PubMed]
- Khoshgard, K.; Ahmadi, N.; Jaymand, M. Stimuli-responsive “theranostic” nanocomposite hydrogels based on β-cyclodextrin containing Fe3O4 and Bi2O3 nanoparticles for targeted delivery of methotrexate. Carbohydr. Polym. Technol. Appl. C 2023, 6, 100369. [Google Scholar] [CrossRef]
- Belbekhouche, S.; Oniszczuk, J.; Pawlak, A.; El Joukhar, I.; Goffin, A.; Varrault, G.; Carbonnier, B. Cationic poly (cyclodextrin)/alginate nanocapsules: From design to application as efficient delivery vehicle of 4-hydroxy tamoxifen to podocyte in vitro. Colloids Surf. B 2019, 179, 128–135. [Google Scholar] [CrossRef] [PubMed]
- Lakkakula, J.R.; Matshaya, T.; Krause, R.W.M. Cationic cyclodextrin/alginate chitosan nanoflowers as 5-fluorouracil drug delivery system. Mater. Sci. Eng. C 2017, 70, 169–177. [Google Scholar] [CrossRef]
- Ünal, S.; Aktaş, Y.; Benito, J.M.; Bilensoy, E. Cyclodextrin nanoparticle bound oral camptothecin for colorectal cancer: Formulation development and optimization. Int. J. Pharm. 2020, 584, 119468–119481. [Google Scholar] [CrossRef] [PubMed]
- Liao, R.; Zhao, Y.; Liao, X.; Liu, M.; Gao, C.; Yang, J.; Yang, B. Folic acid-polyamine-β-cyclodextrin for targeted delivery of scutellarin to cancer cells. Polym. Adv. Technol. 2015, 26, 487–494. [Google Scholar] [CrossRef]
- Anirudhan, T.; Dilu, D.; Sandeep, S. Synthesis and characterisation of chitosan crosslinked-β-cyclodextrin grafted silylated magnetic nanoparticles for controlled release of Indomethacin. J. Magn. Magn. Mater. 2013, 343, 149–156. [Google Scholar] [CrossRef]
- Piras, A.M.; Zambito, Y.; Burgalassi, S.; Monti, D.; Tampucci, S.; Terreni, E.; Fabiano, A.; Balzano, F.; Uccello-Barretta, G.; Chetoni, P. A water-soluble, mucoadhesive quaternary ammonium chitosan-methyl-β-cyclodextrin conjugate forming inclusion complexes with dexamethasone. J. Mater. Sci. 2018, 29, 42. [Google Scholar] [CrossRef]
- Choi, J.H.; Park, A.; Lee, W.; Youn, J.; Rim, M.A.; Kim, W.; Kim, N.; Song, J.E.; Khang, G. Preparation and characterization of an injectable dexamethasone-cyclodextrin complexes-loaded gellan gum hydrogel for cartilage tissue engineering. J. Control. Release 2020, 327, 747–765. [Google Scholar] [CrossRef]
- Yan, Y.; Xing, J.; Xu, W.; Zhao, G.; Dong, K.; Zhang, L.; Wang, K. Hydroxypropyl-β-cyclodextrin grafted polyethyleneimine used as transdermal penetration enhancer of diclofenac sodium. Int. J. Pharm. 2014, 474, 182–192. [Google Scholar] [CrossRef]
- Cheng, H.; Fan, X.; Wu, C.; Wang, X.; Wang, L.J.; Loh, X.J.; Li, Z.; Wu, Y.L. Cyclodextrin-based star-like amphiphilic cationic polymer as a potential pharmaceutical carrier in macrophages. Macromol. Rapid Commun. 2019, 40, 1800207. [Google Scholar] [CrossRef]
- Prabaharan, M.; Jayakumar, R. Chitosan-graft-β-cyclodextrin scaffolds with controlled drug release capability for tissue engineering applications. Int. J. Biol. Macromol. 2009, 44, 320–325. [Google Scholar] [CrossRef] [PubMed]
- Volkova, T.; Surov, A.; Terekhova, I. Metal–organic frameworks based on β-cyclodextrin: Design and selective entrapment of non-steroidal anti-inflammatory drugs. J. Mater. Sci. 2020, 55, 13193–13205. [Google Scholar] [CrossRef]
- Delyagina, E.; Agafonov, M.; Garibyan, A.; Terekhova, I. γ-Cyclodextrin Based Metal–Organic Framework As a Niflumic Acid Delivery System. Russ. J. Phys. Chem. A 2022, 96, 1687–1692. [Google Scholar] [CrossRef]
- Dhiman, P.; Bhatia, M. Microwave assisted quaternized cyclodextrin grafted chitosan (QCD-g-CH) nanoparticles entrapping ciprofloxacin. J. Polym. Res. 2021, 28, 1–14. [Google Scholar] [CrossRef]
- Salih, M.; Omolo, C.A.; Agrawal, N.; Walvekar, P.; Waddad, A.Y.; Mocktar, C.; Ramdhin, C.; Govender, T. Supramolecular amphiphiles of beta-cyclodextrin and oleylamine for enhancement of vancomycin delivery. Int. J. Pharm. 2020, 574, 118881. [Google Scholar] [CrossRef] [PubMed]
- Evangelista, T.F.; Andrade, G.R.; Nascimento, K.N.; Dos Santos, S.B.; Santos, M.d.F.C.; D’Oca, C.D.R.M.; Estevam, C.d.S.; Gimenez, I.F.; Almeida, L.E. Supramolecular polyelectrolyte complexes based on cyclodextrin-grafted chitosan and carrageenan for controlled drug release. Carbohydr. Polym. 2020, 245, 116592. [Google Scholar] [CrossRef] [PubMed]
- Agnes, M.; Thanassoulas, A.; Stavropoulos, P.; Nounesis, G.; Miliotis, G.; Miriagou, V.; Athanasiou, E.; Benkovics, G.; Malanga, M.; Yannakopoulou, K. Designed positively charged cyclodextrin hosts with enhanced binding of penicillins as carriers for the delivery of antibiotics: The case of oxacillin. Int. J. Pharm. 2017, 531, 480–491. [Google Scholar] [CrossRef]
- Thomsen, H.; Agnes, M.; Uwangue, O.; Persson, L.; Mattsson, M.; Graf, F.E.; Kasimati, E.-M.; Yannakopoulou, K.; Ericson, M.B.; Farewell, A. Increased antibiotic efficacy and noninvasive monitoring of Staphylococcus epidermidis biofilms using per-cysteamine-substituted γ-cyclodextrin–A delivery effect validated by fluorescence microscopy. Int. J. Pharm. 2020, 587, 119646. [Google Scholar] [CrossRef] [PubMed]
- Wei, Y.; Chen, C.; Zhai, S.; Tan, M.; Zhao, J.; Zhu, X.; Wang, L.; Liu, Q.; Dai, T. Enrofloxacin/florfenicol loaded cyclodextrin metal-organic-framework for drug delivery and controlled release. Drug Deliv. 2021, 28, 372–379. [Google Scholar] [CrossRef] [PubMed]
- Ding, W.Y.; Zheng, S.D.; Qin, Y.; Yu, F.; Bai, J.-W.; Cui, W.-Q.; Yu, T.; Chen, X.-R.; Bello-Onaghise, G.s.; Li, Y.-H. Chitosan grafted with β-cyclodextrin: Synthesis, characterization, antimicrobial activity, and role as absorbefacient and solubilizer. Front. Chem. 2019, 6, 657–661. [Google Scholar] [CrossRef]
- Le-Deygen, I.M.; Skuredina, A.A.; Mamaeva, P.V.; Kolmogorov, I.M.; Kudryashova, E.V. Conjugates of chitosan with β-Cyclodextrins as promising carriers for the delivery of levofloxacin: Spectral and microbiological studies. Life 2023, 13, 272. [Google Scholar] [CrossRef] [PubMed]
- Hada, A.-M.; Potara, M.; Astilean, S.; Cordaro, A.; Neri, G.; Malanga, M.; Nostro, A.; Mazzaglia, A.; Scala, A.; Piperno, A. Linezolid nanoAntiobiotics and SERS-nanoTags based on polymeric cyclodextrin bimetallic core-shell nanoarchitectures. Carbohydr. Polym. 2022, 293, 119736–119745. [Google Scholar] [CrossRef] [PubMed]
- Gómez-Galván, F.; Pérez-Álvarez, L.; Matas, J.; Álvarez-Bautista, A.; Poejo, J.; Duarte, C.M.; Ruiz-Rubio, L.; Vila-Vilela, J.L.; León, L.M. Preparation and characterization of soluble branched ionic β-cyclodextrins and their inclusion complexes with triclosan. Carbohydr. Polym. 2016, 142, 149–157. [Google Scholar] [CrossRef]
- Qian, L.; Guan, Y.; Ziaee, Z.; He, B.; Zheng, A.; Xiao, H. Rendering cellulose fibers antimicrobial using cationic β-cyclodextrin-based polymers included with antibiotics. Cellulose 2009, 16, 309–317. [Google Scholar] [CrossRef]
- Qian, L.; Guan, Y.; Xiao, H. Preparation and characterization of inclusion complexes of a cationic β-cyclodextrin polymer with butylparaben or triclosan. Int. J. Pharm. 2008, 357, 244–251. [Google Scholar] [CrossRef] [PubMed]
- Teng, J.; Chen, S.; Zhang, J.; Yang, J.; Pang, R.; Zhi, X.; Yang, T.; Zhao, Y. pH-responsive nanoparticles based on sodium dodecylbenzene sulfonate and polyamine-modified cyclodextrins for controlled release of metformin hydrochloride. Iran. Polym. J. 2022, 31, 1069–1078. [Google Scholar] [CrossRef]
- Presas, E.; Tovar, S.; Cuñarro, J.; O’Shea, J.P.; O’Driscoll, C.M. Pre-clinical evaluation of a modified cyclodextrin-based nanoparticle for intestinal delivery of liraglutide. J. Pharm. Sci. 2021, 110, 292–300. [Google Scholar] [CrossRef] [PubMed]
- Zhang, H.; Huang, X.; Sun, Y.; Lu, G.; Wang, K.; Wang, Z.; Xing, J.; Gao, Y. Improvement of pulmonary absorption of poorly absorbable macromolecules by hydroxypropyl-β-cyclodextrin grafted polyethylenimine (HP-β-CD-PEI) in rats. Int. J. Pharm. 2015, 489, 294–303. [Google Scholar] [CrossRef]
- Wang, L.; Yang, Y.-W.; Zhu, M.; Qiu, G.; Wu, G.; Gao, H. β-Cyclodextrin-conjugated amino poly (glycerol methacrylate) s for efficient insulin delivery. RSC Adv. 2014, 4, 6478–6485. [Google Scholar] [CrossRef]
- Zhang, N.; Li, J.; Jiang, W.; Ren, C.; Li, J.; Xin, J.; Li, K. Effective protection and controlled release of insulin by cationic β-cyclodextrin polymers from alginate/chitosan nanoparticles. Int. J. Pharm. 2010, 393, 213–219. [Google Scholar] [CrossRef] [PubMed]
- Heydari, A.; Doostan, F.; Khoshnood, H.; Sheibani, H. Water-soluble cationic poly (β-cyclodextrin-co-guanidine) as a controlled vitamin B 2 delivery carrier. RSC Adv. 2016, 6, 33267–33278. [Google Scholar] [CrossRef]
- Soltani, Y.; Goodarzi, N.; Mahjub, R. Preparation and characterization of self nano-emulsifying drug delivery system (SNEDDS) for oral delivery of heparin using hydrophobic complexation by cationic polymer of β-cyclodextrin. Drug Dev. Ind. Pharm. 2017, 43, 1899–1907. [Google Scholar] [CrossRef] [PubMed]
- Otake, H.; Kobayashi, K.; Kadowaki, R.; Kosaka, T.; Itahashi, M.; Tsubaki, M.; Matsuda, M.; Iwakiri, N.; Harata, E.; Nagai, N. Copolymerized polymers based on cyclodextrins and cationic groups enhance therapeutic effect of rebamipide in the n-acetylcysteine-treated dry eye model. Drug Des Devel Ther 2024, 0, 4345–4358. [Google Scholar] [CrossRef] [PubMed]
- Kamiński, K.; Kujdowicz, M.; Kajta, M.; Nowakowska, M.; Szczubiałka, K. Enhanced delivery of daidzein into fibroblasts and neuronal cells with cationic derivatives of gamma-cyclodextrin for the control of cellular glycosaminoglycans. Eur. J. Pharm. Biopharm. 2015, 91, 111–119. [Google Scholar] [CrossRef] [PubMed]
- Bienvenu, C.; Martínez, Á.; Blanco, J.L.J.; Di Giorgio, C.; Vierling, P.; Mellet, C.O.; Defaye, J.; Fernández, J.M.G. Polycationic amphiphilic cyclodextrins as gene vectors: Effect of the macrocyclic ring size on the DNA complexing and delivery properties. Org. Biomol. Chem. 2012, 10, 5570–5581. [Google Scholar] [CrossRef] [PubMed]
- Moncayo, E.M.A.; Guilloteau, N.; Bienvenu, C.; Blanco, J.L.J.; Di Giorgio, C.; Vierling, P.; Benito, J.M.; Mellet, C.O.; Fernández, J.M.G. Cyclodextrin-scaffolded amphiphilic aminoglucoside clusters: Self-assembling and gene delivery capabilities. New J. Chem. 2014, 38, 5215–5225. [Google Scholar] [CrossRef]
- Monfared, Y.K.; Mahmoudian, M.; Cecone, C.; Caldera, F.; Haiaty, S.; Heidari, H.R.; Rahbarghazi, R.; Matencio, A.; Zakeri-Milani, P.; Trotta, F. Hyper-branched cationic cyclodextrin polymers for improving plasmid transfection in 2D and 3D spheroid cells. Pharmaceutics 2022, 14, 2690. [Google Scholar] [CrossRef] [PubMed]
- Agarwal, S.; Zhang, Y.; Maji, S.; Greiner, A. PDMAEMA based gene delivery materials. Mater. Today 2012, 15, 388–393. [Google Scholar] [CrossRef]
- Yang, C.; Li, H.; Goh, S.H.; Li, J. Cationic star polymers consisting of α-cyclodextrin core and oligoethylenimine arms as nonviral gene delivery vectors. Biomaterials 2007, 28, 3245–3254. [Google Scholar] [CrossRef]
- Li, J.; Guo, Z.; Xin, J.; Zhao, G.; Xiao, H. 21-Arm star polymers with different cationic groups based on cyclodextrin core for DNA delivery. Carbohydr. Polym. 2010, 79, 277–283. [Google Scholar] [CrossRef]
- Zhang, Y.; Chen, Y.; Zhang, Y.; Yang, Y.; Chen, J.; Liu, Y. Recycling gene carrier with high efficiency and low toxicity mediated by L-cystine-bridged bis (β-cyclodextrin). Sci. Rep. 2015, 4, 7471–7477. [Google Scholar] [CrossRef] [PubMed]
- Lv, P.; Zhou, C.; Zhao, Y.; Liao, X.; Yang, B. Modified-epsilon-polylysine-grafted-PEI-β-cyclodextrin supramolecular carrier for gene delivery. Carbohydr. Polym. 2017, 168, 103–111. [Google Scholar] [CrossRef] [PubMed]
- Aranda, C.; Urbiola, K.; Ardoy, A.M.; Fernández, J.M.G.; Mellet, C.O.; de Ilarduya, C.T. Targeted gene delivery by new folate–polycationic amphiphilic cyclodextrin–DNA nanocomplexes in vitro and in vivo. Eur. J. Pharm. Biopharm. 2013, 85, 390–397. [Google Scholar] [CrossRef] [PubMed]
- Zhao, F.; Yin, H.; Zhang, Z.; Li, J. Folic acid modified cationic γ-cyclodextrin-oligoethylenimine star polymer with bioreducible disulfide linker for efficient targeted gene delivery. Biomacromolecules 2013, 14, 476–484. [Google Scholar] [CrossRef] [PubMed]
- Huang, H.; Yu, H.; Tang, G.; Wang, Q.; Li, J. Low molecular weight polyethylenimine cross-linked by 2-hydroxypropyl-γ-cyclodextrin coupled to peptide targeting HER2 as a gene delivery vector. Biomaterials 2010, 31, 1830–1838. [Google Scholar] [CrossRef] [PubMed]
- Zeng, Y.; Zhou, Z.; Fan, M.; Gong, T.; Zhang, Z.; Sun, X. PEGylated cationic vectors containing a protease-sensitive peptide as a miRNA delivery system for treating breast cancer. Mol. Pharm. 2017, 14, 81–92. [Google Scholar] [CrossRef]
- Li, F.; Cao, D.; Gu, W.; Cui, L.; Qiu, Z.; Liu, Z.; Li, D.; Guo, X. Delivery of miR-34a-5p by folic acid-modified β-cyclodextrin-grafted polyethylenimine copolymer nanocarriers to resist KSHV. ACS Appl. Nano Mater. 2023, 6, 10826–10836. [Google Scholar] [CrossRef]
- Fitzgerald, K.A.; Malhotra, M.; Gooding, M.; Sallas, F.; Evans, J.C.; Darcy, R.; O’Driscoll, C.M. A novel, anisamide-targeted cyclodextrin nanoformulation for siRNA delivery to prostate cancer cells expressing the sigma-1 receptor. Int. J. Pharm. 2016, 499, 131–145. [Google Scholar] [CrossRef] [PubMed]
- Guo, J.; Ogier, J.R.; Desgranges, S.; Darcy, R.; Caitriona, O. Anisamide-targeted cyclodextrin nanoparticles for siRNA delivery to prostate tumours in mice. Biomaterials 2012, 33, 7775–7784. [Google Scholar] [CrossRef] [PubMed]
- Li, J.M.; Wang, Y.Y.; Zhang, W.; Su, H.; Ji, L.N.; Mao, Z.W. Low-weight polyethylenimine cross-linked 2-hydroxypopyl-β-cyclodextrin and folic acid as an efficient and nontoxic siRNA carrier for gene silencing and tumor inhibition by VEGF siRNA. Int. J. Nanomed. 2013, 8, 2101–2117. [Google Scholar] [CrossRef] [PubMed]
- Li, N.; Luo, H.C.; Yang, C.; Deng, J.J.; Ren, M.; Xie, X.Y.; Lin, D.-Z.; Yan, L.; Zhang, L.-M. Cationic star-shaped polymer as an siRNA carrier for reducing MMP-9 expression in skin fibroblast cells and promoting wound healing in diabetic rats. Int. J. Nanomed. 2014, 9, 3377–3387. [Google Scholar] [CrossRef]
- Ooya, T.; Choi, H.S.; Yamashita, A.; Yui, N.; Sugaya, Y.; Kano, A.; Maruyama, A.; Akita, H.; Ito, R.; Kogure, K. Biocleavable polyrotaxane−plasmid DNA polyplex for enhanced gene delivery. J. Am. Chem. Soc. 2006, 128, 3852–3853. [Google Scholar] [CrossRef] [PubMed]
- Li, H.; Peng, E.; Zhao, F.; Li, J.; Xue, J. Supramolecular surface functionalization of iron oxide nanoparticles with α-cyclodextrin-based cationic star polymer for magnetically-enhanced gene delivery. Pharmaceutics 2021, 13, 1884. [Google Scholar] [CrossRef]
- Kulkarni, A.; DeFrees, K.; Schuldt, R.A.; Hyun, S.-H.; Wright, K.J.; Yerneni, C.K.; VerHeul, R.; Thompson, D.H. Cationic α-cyclodextrin: Poly (ethylene glycol) polyrotaxanes for siRNA delivery. Mol. Pharm. 2013, 10, 1299–1305. [Google Scholar] [CrossRef] [PubMed][Green Version]
- Dandekar, P.; Jain, R.; Keil, M.; Loretz, B.; Muijs, L.; Schneider, M.; Auerbach, D.; Jung, G.; Lehr, C.-M.; Wenz, G. Cellular delivery of polynucleotides by cationic cyclodextrin polyrotaxanes. J. Control. Release 2012, 164, 387–393. [Google Scholar] [CrossRef] [PubMed]
- Wan, N.; Huan, M.-L.; Ma, X.-X.; Jing, Z.-W.; Zhang, Y.-X.; Li, C.; Zhou, S.-Y.; Zhang, B.-L. Design and application of cationic amphiphilic β-cyclodextrin derivatives as gene delivery vectors. Nanotechnology 2017, 28, 465101. [Google Scholar] [CrossRef]
- Fan, X.; Cheng, H.; Wu, Y.; Loh, X.J.; Wu, Y.L.; Li, Z. Incorporation of polycaprolactone to cyclodextrin-based nanocarrier for potent gene delivery. Macromol. Mater. Eng. 2018, 303, 1800255. [Google Scholar] [CrossRef]
- Liu, C.-H.; Shih, P.-Y.; Lin, C.-H.; Chen, Y.-J.; Wu, W.-C.; Wang, C.-C. Tetraethylenepentamine-coated β cyclodextrin nanoparticles for dual DNA and siRNA delivery. Pharmaceutics 2022, 14, 921. [Google Scholar] [CrossRef]
- Khazaei Monfared, Y.; Mahmoudian, M.; Zakeri-Milani, P.; Cecone, C.; Hayashi, T.; Ishii, K.J.; Conde, J.; Matencio, A.; Trotta, F. Intratumoural delivery of mRNA loaded on a cationic hyper-branched cyclodextrin-based polymer induced an anti-tumour immunological response in melanoma. Cancers 2023, 15, 3748. [Google Scholar] [CrossRef]
- Seripracharat, C.; Sinthuvanich, C.; Karpkird, T. Cationic cyclodextrin-adamantane poly (vinyl alcohol)-poly (ethylene glycol) assembly for siRNA delivery. J. Drug Deliv. Sci. Technol. 2022, 68, 103052. [Google Scholar] [CrossRef]
- Ping, Y.; Liu, C.; Zhang, Z.; Liu, K.L.; Chen, J.; Li, J. Chitosan-graft-(PEI-β-cyclodextrin) copolymers and their supramolecular PEGylation for DNA and siRNA delivery. Biomaterials 2011, 32, 8328–8341. [Google Scholar] [CrossRef]
- Xiong, Q.; Cui, M.; Bai, Y.; Liu, Y.; Liu, D.; Song, T. A supramolecular nanoparticle system based on β-cyclodextrin-conjugated poly-l-lysine and hyaluronic acid for co-delivery of gene and chemotherapy agent targeting hepatocellular carcinoma. Colloids Surf. B Biointerfaces 2017, 155, 93–103. [Google Scholar] [CrossRef] [PubMed]
- Mousazadeh, H.; Khorsandi, M.; Zarghami, N. Stimulus-responsive nanocarrier from star-shaped polyethyleneimine-β-cyclodextrin coated mesoporous silica for targeted combination cancer therapy. J. Drug Deliv. Sci. Technol. 2023, 88, 104940–104952. [Google Scholar] [CrossRef]
- Zhou, X.; Xu, L.; Xu, J.; Wu, J.; Kirk, T.B.; Ma, D.; Xue, W. Construction of a high-efficiency drug and gene co-delivery system for cancer therapy from a pH-sensitive supramolecular inclusion between oligoethylenimine-graft-β-cyclodextrin and hyperbranched polyglycerol derivative. ACS Appl. Mater. Interfaces 2018, 10, 35812–35829. [Google Scholar] [CrossRef] [PubMed]
- Ma, D.; Zhang, H.B.; Chen, Y.-Y.; Lin, J.T.; Zhang, L.M. New cyclodextrin derivative containing poly (L-lysine) dendrons for gene and drug co-delivery. J. Colloid Interface Sci. 2013, 405, 305–311. [Google Scholar] [CrossRef]
- Liu, T.; Xue, W.; Ke, B.; Xie, M.-Q.; Ma, D. Star-shaped cyclodextrin-poly (l-lysine) derivative co-delivering docetaxel and MMP-9 siRNA plasmid in cancer therapy. Biomaterials 2014, 35, 3865–3872. [Google Scholar] [CrossRef]
- Deng, J.; Li, N.; Mai, K.; Yang, C.; Yan, L.; Zhang, L.-M. Star-shaped polymers consisting of a β-cyclodextrin core and poly (amidoamine) dendron arms: Binding and release studies with methotrexate and siRNA. J. Mater. Chem. 2011, 21, 5273–5281. [Google Scholar] [CrossRef]
- Sehgal, V.; Pandey, S.P.; Singh, P.K. Prospects of charged cyclodextrins in biomedical applications. Carbohydr. Polym. 2023, 323, 121348. [Google Scholar] [CrossRef]
- Szejtli, J. Past, present and futute of cyclodextrin research. Pure Appl. Chem. 2004, 76, 1825–1845. [Google Scholar] [CrossRef]
- Kali, G.; Haddadzadegan, S.; Bernkop-Schnürch, A. Cyclodextrins and derivatives in drug delivery: New developments, relevant clinical trials, and advanced products. Carbohydr. Polym. 2024, 324, 121500. [Google Scholar] [CrossRef] [PubMed]
- Li, J.; Loh, X.J. Cyclodextrin-based supramolecular architectures: Syntheses, structures, and applications for drug and gene delivery. Adv. Drug Deliv. Rev. 2008, 60, 1000–1017. [Google Scholar] [CrossRef] [PubMed]













| Drug | Cationic Motif | Type of Cyclodextrin | Type of Formulation | Outcomes | References |
|---|---|---|---|---|---|
| Doxorubicin (DOX) | Polyethylenimine (PEI) | β-cyclodextrin (β-CD) | Ternary conjugates of bisphosphonate and PEI β-CD | In vitro study demonstrated the mitochondrial targeting and potential to induce targeted drug delivery to different bone-related cancer cells, i.e., MG-63 and MDA-MB-231, resulting in superior cytotoxicity. The in vivo evaluation also confirmed the targeting of these conjugates in xenograft mice bearing MG-63 and MDA-MB-23 cells. | [26] |
| Methotrexate (MTX) | Poly (2-(dimethylamino) ethyl methacrylate) (PDMAEMA) | β-cyclodextrin | Hydrogels | Hydrogels showed higher cytotoxicity (IC50 27 μg/mL) towards MCF-7 cells than free MTX (IC50 55 μg/mL) and showed a pH-sensitive drug release profile (32.56% at pH 7.4 vs. 85.3% at pH 5.2). | [42] |
| Doxorubicin (DOX) | Quaternary ammonium | β-cyclodextrin | Nanoparticles (NPs) | Cationic cyclodextrin NPs improved the permeability of DOX across the * BBMVEC monolayer up to 2.2-fold. NPs were less cytotoxic to the BBMVEC monolayer than free DOX. Moreover, NPs killed U87 tumor cells as effectively as bare DOX. | [37] |
| 4-hydroxy-tamoxifen (TMX) | Quaternary ammonium | β-cyclodextrin | Cationic poly(cyclodextrin)/ alginate nanocapsules | In vitro study demonstrated that nanocapsules can efficiently deliver the TMX to immortalized mouse podocyte cells, which mediates Cmip exon 8 deletion. | [43] |
| 5-Fluorouracil (5-FU) | Quaternary ammonium | β-cyclodextrin | Cationic β-CD loaded alginate/chitosan nanoflowers | The nanoformulation showed a pH-dependent and sustained 5-FU release profile up to 24 h. Further, in vivo studies are still in progress to evaluate the effectiveness of these nanoflowers in animal models. | [44] |
| Camptothecin (CPT) | Quaternary ammonium | Polycationic ß-cyclodextrin derivative (PC ßCDC6) | Nanoparticles (NPs) | NPs showed a promising mucus layer penetration rate (73%) and released a smaller CPT content (48%) in ** SGF and *** SIF, hence demonstrating the potential for colon-targeted drug delivery. Moreover, nanoformulation reduced the viability of HT-29 cells (52.44%) to a greater extent than free CPT solution (83.98%) at an equivalent concentration (0.1 µg/mL). | [45] |
| Melphalan (MLP) | Gemini surfactant | β-cyclodextrin | Inclusion complexes | MLP complexes showed a significantly reduced IC50 compared to free MLP (27 µM vs. 98 µM) against A375 cell lines. Hence, the inclusion of MLP with cationic cyclodextrin can improve its efficacy. | [35] |
| Scutellarin (SCU) | Poly(ε-lysine) (ε-PL) | β-cyclodextrin (β-CD) | ε-PL and glycine β-CD (ε-PL-GLY-CD) based inclusion complexes | ε-PL-GLY-C exhibited improved aqueous solubility of SCU (52.82 mg/mL) compared to bare SCU (0.16 mg/mL). Moreover, these inclusion complexes exhibited higher cytotoxicity against HCT116 and LOVO cells (IC50 8.2 and 19.4 µM) as compared to bare SCU (IC50 72.3 and 80.6 µM), respectively. | [29] |
| Scutellarin (SCU) | Triethylenetetramine | β-cyclodextrin | Inclusion complexes | Complexes showed improved water solubility (50.7 mg/mL) over that of free SCU (0.16 mg/mL). Furthermore, the cytotoxic potential of these inclusion complexes was remarkably higher towards HCT116 and LOVO cells (IC50 0.9, 8.3 µM) than that of free SCU (IC50 72.3, 80.6 µM), respectively. | [46] |
| Drug | Cationic Motif | Type of Cyclodextrin | Type of Formulation | Outcomes | References |
|---|---|---|---|---|---|
| Indomethacin (IDM) | Chitosan (CS) | β-cyclodextrin | Electrospun nanofibers | Nanofibers showed a sustained release of IDM and equilibrium was attained within 125 h while ~80% payload was liberated within 300 h. Moreover, nanofibers were biocompatible, as the growth of L929 cells was not inhibited to a significant extent. | [28] |
| Indomethacin (IDM) | Quaternary ammonium | β-cyclodextrin | Hydrogel | The solubility of IDM (0.0615 mmol/L) was 100-fold enhanced after complexation with cationic β-CD (6.5 mmol/L). In simulated gastrointestinal fluid, the hydrogel was completely swollen within 14-16 h and 100% of IDM was released within 21 h. Hence, these hydrogels can serve as a controlled release system for IDM. | [7] |
| Dexamethasone (DXM) | Poly (2-(dimethylamino) ethyl methacrylate) (PDMAEMA) | β-cyclodextrin (β-CD) | β-CD-graft-(poly(ε caprolactone)-block-PDMAEMA) (β-CD-g-(PCL-PDMAEMA)) star-like amphiphilic polymer-based inclusion complex | β-CD-g-(PCL-b-PDMAEMA)-loaded DXM efficiently reduced the lipopolysaccharide-mediated release of cytokines (interleukin-1β, interleukin-6, and interleukin-10) in RAW264.7 macrophages compared to free DXM. | [51] |
| Naproxen (NPX) | Quaternary ammonium | β-cyclodextrin (β-CD) | Inclusion complexes | The cationic β-CD complexation improved the aqueous solubility of NPX up to 120-fold. Conjugates exhibited a faster dissolution rate and higher amount of drug dissolution. Moreover, cationic β-CD exhibited relatively low hemolytic activity compared with parent β-CD, hence confirming the biocompatibility of these drug carriers. | [6] |
| Ketoprofen (KTP) | Chitosan | β-cyclodextrin | Nanoparticles (NPs) | NPs exhibited a sustained KTP release profile in * PBS (at pH 7.4) and attained the equilibrium after 23 h while bare chitosan nanoparticles liberated the entire payload within 9 h. Moreover, NPs were considered biocompatible based on the high viability of L929 cells. | [52] |
| Diclofenac sodium (DCF) | Amino groups | Poly-β-amino-cyclodextrin derivative | Nanoassemblies | PolyCD-based nanoassemblies were efficiently taken up by ** hMSCs (within 2 h) without imparting any cytotoxic impact. Subsequently, interleukin-1β and tumor necrosis factor-α levels were reduced to a significant extent as compared to other treatment groups. Moreover, DCF was released in a controlled manner (~35% within 10 days). | [1] |
| Ibuprofen (IBU) | K+ cations | β-cyclodextrin | Metal–organic frameworks (MOFs) | The aqueous solubility of IBU entrapped in MOFs was improved up to 17-fold. | [53] |
| Niflumic acid (NIF) | K+ cations | γ-cyclodextrin | Metal–organic frameworks (MOFs) | MOFs showed a pH-dependent drug release, i.e., 14% NIF in 1 h and 40% NIF in 6 h at pH 1.6, while 40% NIF was released in 2 h and the remaining amount was completely released in 8 h. NIF incorporated in the frameworks also showed improved solubility. | [54] |
| Ketotifen hydrogenfumarate (KHF) | *** HHDDP surfactant | γ-cyclodextrin (γ-CD) | Hyaluronic acid (HA)/γ-CD/HHDDP polymer assemblies | The water-insoluble polymer matrix released KHF (water-soluble drug) slowly while free KHF was completely dissolved in a physiological saline solution over 35 min. Hence, this delivery system can be employed to attain a sustained release profile for water-soluble drugs. | [18] |
| Drug | Cationic Motif | Type of Cyclodextrin | Type of Formulation | Outcomes | References |
|---|---|---|---|---|---|
| Sulfadiazine (SSD) Sulfamonomethoxine (SMMX) Sulfamethoxazole (SMZ) | Chitosan (CS) | β-cyclodextrin (β-CD) | Inclusion complexes based on CD grafted with β-CD (CD-g-CS) | The aqueous solubilities of free SSD, SMMX, and SMZ were noticed as 0.026, 0.069, and 0.329 mg/mL, respectively. However, CD-g-CS-based SSD, SMMX, and SMZ complexes showed significantly improved solubilities up to 5.6-fold (0.147 mg/mL), 4.1-fold (0.283 mg/mL), and 2.3-fold (0.747 mg/mL), respectively. | [61] |
| Levofloxacin (LVX) | Chitosan (CS) | β-cyclodextrin (β-CD) | CS-β-CD inclusion complexes | Simple β-CD conjugates released 100% LVX in 180 min while CS-β-CD complexes released the complete payload in 800 h. Hence, CS-β-CD complexation provided a fourfold slower drug release in comparison to bare β-CD. These complexes can serve as sustained drug delivery systems. | [62] |
| Linezolid (LZD) | Amino groups | β-cyclodextrin | Au@Ag bimetallic nanoparticles (BMNPs) | MIC values of LZD loaded NPs and free LZD were noticed as 2 vs. 1.95 µg/mL for * MRSA, 2 vs. 0.97 for S. aureus, 2 vs. 15.6 µg/mL for E. coli, and 3.9 vs. 15.6 µg/mL for P. aeruginosa. Hence, LZD nanoformulation showed a broad spectrum of activity than free LZD. | [63] |
| Triclosan (TR) | Quaternary ammonium | β-cyclodextrin | Inclusion complexes | The water solubility of TR increased linearly until the solubility limit was achieved, i.e., 1.4 mg/mL TR with 3.8 mg/mL cationic β-CD. Moreover, cationic β-cyclodextrin polymers were considered biocompatible due to the high viability (99%) of human colon carcinoma Caco-2 cells. | [64] |
| Triclosan (TR) and Butylparaben (BP) | Quaternary ammonium | β-cyclodextrin (β-CD) | Inclusion complexes | The E. coli growth inhibition potential of TR/β-CD was higher than that of BP/β-CD at lower than 0.5% concentration, while above 0.5% concentration, both antibiotics exhibited 100% inhibition of bacterial growth. Hence, TR/β-CD complex was more potent than BP/(β-CD). However, BP complex showed a faster growth inhibition rate than the TR complex in a short contact time (10 min). | [65] |
| Nitric oxide (NO) | Poly(amidoamine) dendron (PAMAM) | β-cyclodextrin (β-CD) | β-CD-PAMAM/NO inclusion complexes | β-CD-PAMAM/NO complexes (50 µg/mL) showed 80% and 94% biofilm inhibition for E. coli and S. aureus within 18 h. Moreover, β-CD-PAMAM/NO exhibited excellent biocompatibility and did not impart any cytotoxic impact on NIH 3T3 cells. | [32] |
| α-mangostin (α-MG) | Quaternary ammonium and chitosan | β-cyclodextrin (β-CD) | Quaternized β-CD-grafted chitosan (QCD-g-CS)-based inclusion complexes | QCD-g-CS/α-MG complexes showed an initial burst release of α-MG (up to 5 h) followed by sustained release (up to 24 h). QCD-g-CS/α-MG showed significantly lower MIC, i.e., 0.6 and 1.25 mg/mL, for Streptococcus mutans and Candida albicans while bare α-MG showed >10 mg/mL MIC for both microbes. | [66] |
| Nucleic Acid | Cationic Motif | Type of Cyclodextrin | Description of Vector | Size of Polyplexes | Outcomes | References |
|---|---|---|---|---|---|---|
| pDNA | Dimethylaminoethyl (DMAE) | α-cyclodextrin (α-CD) | Polyrotaxanes based on cationic α-CD and disulfide-grafted poly(ethylene glycol) (PEG) | 178-189 nm at 0.5 * N/P ratio | The polyrotaxanes formed stable polyplexes at a 0.5 N/P ratio with positive zeta potential (+4.8 mV) while ** LPEI22k was unable to form compact polyplex and showed negative zeta potential. Moreover, polyrotaxane exhibited concentration-dependent transfection efficiency and precluded lysosomal degradation of pDNA due to the proton sponge effect. | [93] |
| pDNA | Oligoethylenimine (OEI) | α-cyclodextrin (α-CD) | Fe3O4 nanoparticles functionalized with α-CD-OEI | 120 nm at 20 N/P ratio | The implication of magnetic field improved the gene transfection efficiency of nanocarriers up to 10-fold. Magnetic field mediated the accumulation of polyplexes on the cell membrane and facilitated their penetration into the cell. | [94] |
| siRNA | N,N′-dimethylethylenediamine (DMEDA) | α-cyclodextrin (α-CD) | α-CD/poly(ethylene glycol) polyrotaxanes | 150–200 nm at 5 N/P ratio | The cationic polyrotaxanes exhibited >102-fold lower cytotoxicity than the standard PEI 25 kDa. Moreover, polyrotaxanes showed comparable gene silencing efficiencies (60–70% reduced *** GFP expression) to those of lipofectamine 2000 and PEI 25 kDa. | [95] |
| siRNA | Ionene | α-cyclodextrin + β-cyclodextrin | Polyrotaxanes | 127 nm at 2 N/P ratio | Polyrotaxanes mediated the siRNA internalization into A549 cell line (10 times higher fluorescence intensity than that of original cells) while exhibiting 60% knockdown efficiency of luciferase gene. | [96] |
| DNA | Polyethylenimine 600 (PEI 600) | β-cyclodextrin (β-CD) | Amphiphilic β-CD-based vectors | 116.6, 96.6, and 100.2 nm at N/P ratio of 5, 10, and 30 | PEI600-β-CD showed better gene transfection efficiency (~110% vs. ~80% relative to control) than that of PEI 25 kDa in 10% serum while both carriers showed almost similar efficiency, i.e., 100% in a serum-free environment. Moreover, PEI600-β-CD were less cytotoxic to 293T cells at all the tested concentrations (10–100 µg/mL), i.e., ~60–90% viability vs. ~50–80%. Polyplexes were up-internalized through caveolae-mediated endocytosis, which could prevent the lysosomal degradation of entrapped genes. | [97] |
| pDNA | Poly(2-(dimethylamino) ethyl methacrylate (PDMAEMA) | β-cyclodextrin (β-CD) | β-CD-grafted poly(ε-caprolactone)–PDMAEMA copolymer-based vectors | 218 nm at 2 N/P ratio | β-CD-based vectors showed significantly higher gene transfection efficiency than that of **** PEI 25 kDa, i.e., 84% vs. 52.9% in HEK293T cells and 23.6% vs. 10.6% in HepG2 liver cancer cells. Moreover, β-CD based vectors were less cytotoxic to both cell lines (up to 67.8% viability) as compared to PEI 25 kDa (12.7% viability). | [98] |
| pDNA | Tetraethylenepentamin (TEPA) | β-cyclodextrin (β-CD) | TEPA-β-CD nanoparticles | ~350 nm at 1.71 N/P ratio | TEPA-BCD-based polyplexes were efficiently internalized by pigment epithelial cell line and a mouse embryonic fibroblast cell line (3T3) through clathrin- and caveolae-mediated endocytosis. TEPA-β-CD/pDNA showed 97% transfection efficiency while maintaining 83% cell viability. | [99] |
| ***** EGFP-mRNA, ****** OVA-mRNA | Quaternary ammonium | β-cyclodextrin | Hyper-branched cyclodextrin-based polymer nanoparticles (Ppoly) | 201, 167, 301 nm at 1:1, 1:5, 1:10 N/P ratio | 77%, 72%, and 26% EGFP-mRNA was taken up by B16–F10 cells at 1:10, 1:5, and 1:1 N/P ratios of Ppoly while 58% lipofectamine-treated EGFP-mRNA was internalized at a 3:1 N/P ratio. As compared to the untreated group, OVA-mRNA exhibited three times higher tumor suppression by triggering a robust adaptive immune response. | [100] |
| siRNA | Spermidine amino acid | β-cyclodextrin (β-CD) | β-CD/adamantane-poly (vinyl alcohol)-poly (ethylene glycol) (β-CD/Ad-PVA-PEG) complexes | 132 nm at 2:1 N/P ratio | The optimized β-CD/Ad-PVA-PEG complexes showed 90.5% siRNA binding efficiency. The complexes showed almost equivalent siRNA uptake to A549 cells and cell viability (67% vs. 65%) to the standard lipofectamine. | [101] |
| siRNA | Polyethylenimine 600 (PEI 600) | β-cyclodextrin (β-CD) | Polyethylene glycol–chitosan-grafted-PEI-β-CD copolymers (PEG-CT-PEI-β-CD) | 80–150 nm at N/P ratio of 8 | Standard PEI 25 kDa/siRNA showed 20–30% luciferase knockdown while CT-PEI-β-CD/siRNA resulted in 60% knockdown in L929 cells. PEGlyation of these carriers resulted in 84% luciferase knockdown, which was comparable to that of commercial DharmaFECT. | [102] |
Disclaimer/Publisher’s Note: The statements, opinions and data contained in all publications are solely those of the individual author(s) and contributor(s) and not of MDPI and/or the editor(s). MDPI and/or the editor(s) disclaim responsibility for any injury to people or property resulting from any ideas, methods, instructions or products referred to in the content. |
© 2025 by the authors. Licensee MDPI, Basel, Switzerland. This article is an open access article distributed under the terms and conditions of the Creative Commons Attribution (CC BY) license (https://creativecommons.org/licenses/by/4.0/).
Share and Cite
Nazli, A.; Malanga, M.; Sohajda, T.; Béni, S. Cationic Cyclodextrin-Based Carriers for Drug and Nucleic Acid Delivery. Pharmaceutics 2025, 17, 81. https://doi.org/10.3390/pharmaceutics17010081
Nazli A, Malanga M, Sohajda T, Béni S. Cationic Cyclodextrin-Based Carriers for Drug and Nucleic Acid Delivery. Pharmaceutics. 2025; 17(1):81. https://doi.org/10.3390/pharmaceutics17010081
Chicago/Turabian StyleNazli, Adila, Milo Malanga, Tamás Sohajda, and Szabolcs Béni. 2025. "Cationic Cyclodextrin-Based Carriers for Drug and Nucleic Acid Delivery" Pharmaceutics 17, no. 1: 81. https://doi.org/10.3390/pharmaceutics17010081
APA StyleNazli, A., Malanga, M., Sohajda, T., & Béni, S. (2025). Cationic Cyclodextrin-Based Carriers for Drug and Nucleic Acid Delivery. Pharmaceutics, 17(1), 81. https://doi.org/10.3390/pharmaceutics17010081

