In Vitro Biological Evaluation of Aprepitant Based 177Lu-Radioconjugates
Abstract
:1. Introduction
2. Materials and Methods
2.1. Syntheses and Characterization of Aprepitant-Based Conjugates
2.1.1. General Procedure of Syntheses of Aprepitant Derivatives with Alkyl Linker
2.1.2. General Procedure of Syntheses of Aprepitant Conjugates with DOTA
2.2. Preparation of Radioconjugates
2.2.1. 68Ga Radiolabeling
2.2.2. 177Lu Radiolabeling
2.2.3. Preparation of Non-Radioactive References
2.3. Physiochemical Evaluation of Radioconjugates
2.3.1. Stability Study
2.3.2. Lipophilicity Study
2.4. Cell Culture
2.5. Binding Affinity Determination
2.6. Docking
3. Results and Discussion
3.1. Syntheses and Characterization of Aprepitant-Based Radioconjugates
3.1.1. Syntheses of Aprepitant Derivative Conjugates
3.1.2. Preparation of Radioconjugates and Labeling Optimization
3.2. Physiochemical Evaluation of Radioconjugates
3.2.1. Stability Study
3.2.2. Lipophilicity Study
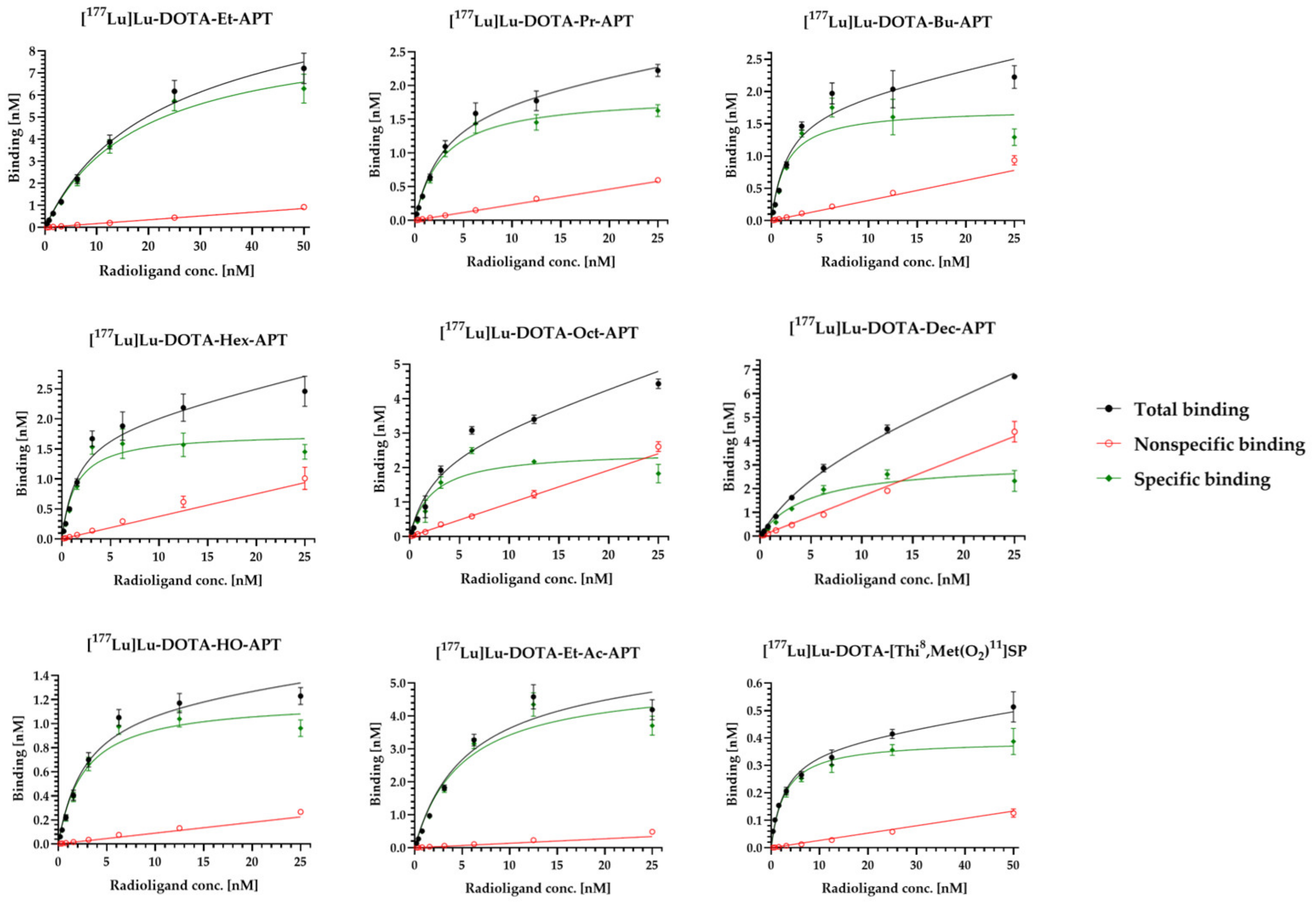
3.3. Binding Affinity
3.4. Molecular Modelling Study
4. Conclusions
Supplementary Materials
Author Contributions
Funding
Institutional Review Board Statement
Informed Consent Statement
Data Availability Statement
Acknowledgments
Conflicts of Interest
Abbreviations
| 6HLO | accession code of coordinates and structure factors in PDB |
| APT | aprepitant |
| BMAX | maximal binding parameter |
| CHO | Chinese hamster ovaries cell line |
| D | distribution coefficient |
| DMF | dimethylformamide |
| DOTA | 1,4,7,10-tetraazacyclododecane-1,4,7,10-tetraacetic acid |
| DPBS | Dulbecco’s phosphate-buffered saline buffer |
| ECL | extracellular loop |
| ESI | electrospray ionization |
| hNK1R | human neurokinin 1 receptor |
| HS | human serum |
| Kd | dissociation constant |
| logD | logarithm of the distribution coefficient |
| MS | mass spectrometry |
| NHS | N-hydroxysuccinimide moiety |
| NK1R | neurokinin 1 receptor, tachykinin 1 receptor |
| PDB | Protein Data Bank |
| RCY | radiochemical yield |
| SD | standard deviation |
| SP | Substance P |
| TFA | trifluoroacetic acid |
| TM | transmembrane helix |
| tR | retention time |
References
- Halik, P.K.; Lipiński, P.F.J.; Matalińska, J.; Koźmiński, P.; Misicka, A.; Gniazdowska, E. Radiochemical synthesis and evaluation of novel radioconjugates of neurokinin 1 receptor antagonist aprepitant dedicated for NK1R-Positive tumors. Molecules 2020, 25, 3756. [Google Scholar] [CrossRef] [PubMed]
- Zhang, H.; Kanduluru, A.K.; Desai, P.; Ahad, A.; Carlin, S.; Tandon, N.; Weber, W.A.; Low, P.S. Synthesis and evaluation of a novel 64Cu- and 67Ga-labeled neurokinin 1 receptor antagonist for in vivo targeting of NK1R-Positive tumor xenografts. Bioconjug. Chem. 2018, 29, 1319–1326. [Google Scholar] [CrossRef] [PubMed]
- Kanduluru, A.K.; Srinivasarao, M.; Wayua, C.; Low, P.S. Evaluation of a neurokinin-1 receptor–targeted technetium-99m conjugate for neuroendocrine cancer imaging. Mol. Imaging Biol. 2019, 22, 377–383. [Google Scholar] [CrossRef] [PubMed]
- Matalińska, J.; Kosińska, K.; Halik, P.K.; Koźmiński, P.; Lipiński, P.F.J.; Gniazdowska, E.; Misicka, A. Novel NK1R-targeted 68Ga-/177Lu-radioconjugates with potential application against glioblastoma multiforme: Preliminary exploration of structure–activity relationships. Int. J. Mol. Sci. 2022, 23, 1214. [Google Scholar] [CrossRef] [PubMed]
- Kneifel, S.; Cordier, D.; Good, S.; Ionescu, M.C.S.; Ghaffari, A.; Hofer, S.; Kretzschmar, M.; Tolnay, M.; Apostolidis, C.; Waser, B.; et al. Local targeting of malignant gliomas by the diffusible peptidic vector 1,4,7,10-tetraazacyclododecane-1-glutaric acid-4,7,10-triacetic acid-substance P. Clin. Cancer Res. 2006, 12, 3843–3850. [Google Scholar] [CrossRef] [PubMed] [Green Version]
- Królicki, L.; Bruchertseifer, F.; Kunikowska, J.; Koziara, H.; Królicki, B.; Jakuciński, M.; Pawlak, D.; Apostolidis, C.; Mirzadeh, S.; Rola, R.; et al. Safety and efficacy of targeted alpha therapy with 213Bi-DOTA-substance P in recurrent glioblastoma. Eur. J. Nucl. Med. Mol. Imaging 2018, 46, 614–622. [Google Scholar] [CrossRef] [PubMed]
- Królicki, L.; Kunikowska, J.; Bruchertseifer, F.; Koziara, H.; Królicki, B.; Jakuciński, M.; Pawlak, D.; Rola, R.; Morgenstern, A.; Rosiak, E.; et al. 225Ac- and 213Bi-substance P analogues for glioma therapy. Semin. Nucl. Med. 2020, 50, 141–151. [Google Scholar] [CrossRef]
- De Araújo, E.B.; Pujatti, P.B.; Mengatti, J. Radiolabeling of substance P with lutetium-177 and biodistribution study in AR42J pancreatic tumor xenografted nude mice. Cell. Mol. Biol. 2010, 56, 12–17. [Google Scholar]
- Bossaller, C.; Reither, K.; Hehlert-Friedrich, C.; Auch-Schwelk, W.; Graf, K.; Gräfe, M.; Fleck, E. In vivo measurement of endothelium-dependent vasodilation with substance P in man. Herz 1992, 17, 284–290. [Google Scholar]
- Muñoz, M.; Coveñas, R. Involvement of substance P and the NK-1 receptor in cancer progression. Peptides 2013, 48, 1–9. [Google Scholar] [CrossRef]
- Garcia-Recio, S.; Fuster, G.; Fernandez-Nogueira, P.; Pastor-Arroyo, E.M.; Park, S.Y.; Mayordomo, C.; Ametller, E.; Mancino, M.; Farré, X.G.; Russnes, H.G.; et al. Substance P autocrine signaling contributes to persistent HER2 activation that drives malignant progression and drug resistance in breast cancer. Cancer Res. 2013, 73, 6424–6434. [Google Scholar] [CrossRef] [Green Version]
- Muñoz, M.; Coveñas, R. The neurokinin-1 receptor antagonist aprepitant, a new drug for the treatment of hematological malignancies: Focus on acute myeloid leukemia. J. Clin. Med. 2020, 9, 1659. [Google Scholar] [CrossRef]
- Muñoz, M.; Coveñas, R. The neurokinin-1 receptor antagonist aprepitant: An intelligent bullet against cancer? Cancers 2020, 12, 2682. [Google Scholar] [CrossRef]
- Palma, C.; Nardelli, F.; Manzini, S.; Maggi, C.A. Substance P activates responses correlated with tumour growth in human glioma cell lines bearing tachykinin NK1 receptors. Br. J. Cancer 1998, 79, 236–243. [Google Scholar] [CrossRef] [Green Version]
- Akazawa, T.; Kwatra, S.G.; Goldsmith, L.E.; Richardson, M.D.; Cox, E.A.; Sampson, J.H.; Kwatra, M.M. A constitutively active form of neurokinin 1 receptor and neurokinin 1 receptor-mediated apoptosis in glioblastomas. J. Neurochem. 2009, 109, 1079–1086. [Google Scholar] [CrossRef] [Green Version]
- Cordier, D.; Gerber, A.; Kluba, C.; Bauman, A.; Hutter, G.; Mindt, T.L.; Mariani, L. Expression of different neurokinin-1 receptor (NK1R) isoforms in glioblastomamultiforme: Potential implications for targeted therapy. Cancer Biother. Radiopharm. 2014, 29, 221–226. [Google Scholar] [CrossRef]
- Berger, M.; Neth, O.; Ilmer, M.; Garnier, A.; Salinas-Martín, M.V.; de Agustín Asencio, J.C.; von Schweinitz, D.; Kappler, R.; Muñoz, M. Hepatoblastoma cells express truncated neurokinin-1 receptor and can be growth inhibited by aprepitant in vitro and in vivo. J. Hepatol. 2014, 60, 985–994. [Google Scholar] [CrossRef]
- Muñoz, M.; Rosso, M.; Coveñas, R. The NK-1 receptor: A new target in cancer therapy. Curr. Drug Targets 2011, 12, 909–921. [Google Scholar] [CrossRef]
- Muñoz, M.; Coveñas, R.; Esteban, F.; Redondo, M. The substance P/NK-1 receptor system: NK-1 receptor antagonists as anti-cancer drugs. J. Biosci. 2015, 40, 441–463. [Google Scholar] [CrossRef]
- Majkowska-Pilip, A.; Halik, P.K.; Gniazdowska, E. The significance of NK1 receptor ligands and their application in targeted radionuclide tumour therapy. Pharmaceutics 2019, 11, 443. [Google Scholar] [CrossRef] [Green Version]
- Merck. Product Information. Emend (Aprepitant). 2003. Available online: https://www.merck.com/product/usa/pi_circulars/e/emend/emend_pi.pdf (accessed on 13 January 2022).
- Majumdar, A.K.; Howard, L.; Goldberg, M.R.; Hickey, L.; Bs, M.C.; Rothenberg, P.L.; Crumley, T.M.; Panebianco, D.; Bradstreet, T.E.; Bergman, A.J.; et al. Pharmacokinetics of aprepitant after single and multiple oral doses in healthy volunteers. J. Clin. Pharmacol. 2006, 46, 291–300. [Google Scholar] [CrossRef]
- Schöppe, J.; Ehrenmann, J.; Klenk, C.; Rucktooa, P.; Schütz, M.; Doré, A.S.; Plückthun, A. Crystal structures of the human neurokinin 1 receptor in complex with clinically used antagonists. Nat. Commun. 2019, 10, 1–11. [Google Scholar] [CrossRef] [Green Version]
- Starnowska, J.; Costante, R.; Guillemyn, K.; Popiolek-Barczyk, K.; Chung, N.N.; Lemieux, C.; Keresztes, A.; Van Duppen, J.; Mollica, A.; Streicher, J.; et al. Analgesic properties of opioid/NK1 multitarget ligands with distinct in vitro profiles in naive and chronic constriction injury (CCI)-mice. ACS Chem. Neurosci. 2017, 8, 2315–2324. [Google Scholar] [CrossRef]
- Heppeler, A.; Froidevaux, S.; Mäcke, H.R.; Jermann, E.; Béhé, M.; Powell, P.; Hennig, M. Radiometal-labelled macrocyclic chelator-derivatised somatostatin analogue with superb tumour-targeting properties and potential for receptor-mediated internal radiotherapy. Chem. Eur. J. 1999, 5, 1974–1981. [Google Scholar] [CrossRef]
- Allen, F.H. The cambridge structural database: A quarter of a million crystal structures and rising. Acta Crystallogr. Sect. B Struct. Sci. 2002, 58, 380–388. [Google Scholar] [CrossRef]
- Morris, G.M.; Huey, R.; Lindstrom, W.; Sanner, M.F.; Belew, R.K.; Goodsell, D.S.; Olson, A.J. AutoDock4 and AutoDockTools4: Automated docking with selective receptor flexibility. J. Comput. Chem. 2009, 30, 2785–2791. [Google Scholar] [CrossRef] [Green Version]
- Kooistra, A.J.; Mordalski, S.; Pándy-Szekeres, G.; Esguerra, M.; Mamyrbekov, A.; Munk, C.; Keserű, G.M.; E Gloriam, D. GPCRdb in 2021: Integrating GPCR sequence, structure and function. Nucleic Acids Res. 2020, 49, D335–D343. [Google Scholar] [CrossRef]
- Schrödinger LLC. The PyMOL Molecular Graphics System. 2018. Available online: https://sourceforge.net/p/pymol/code/HEAD/tree/trunk/pymol/ (accessed on 1 November 2020).
- Biovia Discovery Studio Visualizer, Version 19; Dassault Systèmes: San Diego, CA, USA, 2018.
- Waterhouse, R.N. Determination of lipophilicity and its use as a predictor of blood–brain barrier penetration of molecular imaging agents. Mol. Imaging Biol. 2003, 5, 376–389. [Google Scholar] [CrossRef]
- Wolburg, H.; Noell, S.; Fallier-Becker, P.; Mack, A.F.; Wolburg-Buchholz, K. The disturbed blood–brain barrier in human glioblastoma. Mol. Asp. Med. 2012, 33, 579–589. [Google Scholar] [CrossRef]






| 68Ga3+ | 2 MBq/nmol | 3 MBq/nmol | 4 MBq/nmol | 5 MBq/nmol |
| 10 min | >98% | >98% | 93.5% | 61.2% |
| 30 min | - | - | 93.8% | 67.6% |
| 177Lu3+ | 1 MBq/nmol | 5 MBq/nmol | 7.5 MBq/nmol | 10 MBq/nmol |
| 10 min | >98% | >98% | 87.8% | 21.9% |
| 60 min | - | - | 92.2% | 27.0% |
| Stable Ga/Lu-Conjugate | tR | 68Ga/177Lu-Radioconjugate | tR |
|---|---|---|---|
| Ga-DOTA-Hex-APT | 17.8 min | [68Ga]Ga-DOTA-Hex-APT | 17.8 min |
| Ga-DOTA-Oct-APT | 18.6 min | [68Ga]Ga-DOTA-Oct-APT | 18.6 min |
| Ga-DOTA-Dec-APT | 19.7 min | [68Ga]Ga-DOTA-Dec-APT | 19.7 min |
| Lu-DOTA-Hex-APT | 16.7 min | [177Lu]Lu-DOTA-Hex-APT | 16.7 min |
| Lu-DOTA-Oct-APT | 17.7 min | [177Lu]Lu-DOTA-Oct-APT | 17.7 min |
| Lu-DOTA-Dec-APT | 18.4 min | [177Lu]Lu-DOTA-Dec-APT | 18.5 min |
| Radioconjugate | logD | |
|---|---|---|
| 68Ga- | 177Lu- | |
| APT-Et-DOTA | 0.14 ± 0.02 1 | 0.71 ± 0.02 1 |
| APT-Pr-DOTA | 0.06 ± 0.02 1 | 0.65 ± 0.02 1 |
| APT-Bu-DOTA | 0.29 ± 0.02 1 | 0.78 ± 0.02 1 |
| APT-Hex-DOTA | 0.58 ± 0.03 | 1.23 ± 0.03 |
| APT-Oct-DOTA | 1.32 ± 0.04 | 1.64 ± 0.02 |
| APT-Dec-DOTA | 1.60 ± 0.04 | 1.97 ± 0.02 |
| APT-Ac-HN-NH-DOTA | −1.01 ± 0.02 1 | −0.40 ± 0.02 1 |
| APT-Ac-Et-DOTA | −0.23 ± 0.02 1 | 0.50 ± 0.02 1 |
| 177Lu-Radioconjugate | Kd ± SD 1 [nM] | BMAX ± SD 1 [nM] | Specific Binding 2 [%] |
|---|---|---|---|
| [177Lu]Lu-DOTA-[Thi8,Met(O2)11]SP | 2.74 ± 0.13 | 0.38 ± 0.02 | 85.77 ± 1.44 |
| [177Lu]Lu-DOTA-Et-APT | 18.9 ± 1.4 | 9.16 ± 0.10 | 92.82 ± 0.20 |
| [177Lu]Lu-DOTA-Pr-APT | 2.92 ± 0.31 | 1.89 ± 0.05 | 74.04 ± 0.85 |
| [177Lu]Lu-DOTA-Bu-APT | 1.66 ± 0.19 | 1.84 ± 0.16 | 57.53 ± 1.68 |
| [177Lu]Lu-DOTA-Hex-APT | 1.56 ± 0.13 | 1.88 ± 0.11 | 57.90 ± 3.07 |
| [177Lu]Lu-DOTA-Oct-APT | 2.48 ± 0.09 | 2.63 ± 0.03 | 41.67 ± 4.42 |
| [177Lu]Lu-DOTA-Dec-APT | 6.26 ± 0.72 | 3.45 ± 0.10 | 34.44 ± 5.99 |
| [177Lu]Lu-DOTA-NH-NH-Ac-APT | 2.77 ± 0.24 | 1.24 ± 0.05 | 77.97 ± 1.37 |
| [177Lu]Lu-DOTA-Et-Ac-APT | 5.17 ± 0.18 | 5.29 ± 0.25 | 88.52 ± 0.81 |
| Compound | Predicted Binding Energies [kcal/mol] | Number of Poses in the Cluster | |
|---|---|---|---|
| Lowest | Mean | ||
| *DOTA-Et-APT | −12.31 | −11.9 ± 0.1 | 1000 |
| *DOTA-Pr-APT | −13.53 | −12.4 ± 0.5 | 786 |
| *DOTA-Bu-APT | −12.36 | −11.1 ± 0.5 | 9 |
| *DOTA-Hex-APT | −10.82 | −9.1 ± 0.5 | 205 |
| *DOTA-Oct-APT | −9.87 | −9.1 ± 0.3 | 718 |
| *DOTA-Dec-APT | −10.15 | −9.2 ± 0.4 | 16 |
Publisher’s Note: MDPI stays neutral with regard to jurisdictional claims in published maps and institutional affiliations. |
© 2022 by the authors. Licensee MDPI, Basel, Switzerland. This article is an open access article distributed under the terms and conditions of the Creative Commons Attribution (CC BY) license (https://creativecommons.org/licenses/by/4.0/).
Share and Cite
Halik, P.K.; Koźmiński, P.; Matalińska, J.; Lipiński, P.F.J.; Misicka, A.; Gniazdowska, E. In Vitro Biological Evaluation of Aprepitant Based 177Lu-Radioconjugates. Pharmaceutics 2022, 14, 607. https://doi.org/10.3390/pharmaceutics14030607
Halik PK, Koźmiński P, Matalińska J, Lipiński PFJ, Misicka A, Gniazdowska E. In Vitro Biological Evaluation of Aprepitant Based 177Lu-Radioconjugates. Pharmaceutics. 2022; 14(3):607. https://doi.org/10.3390/pharmaceutics14030607
Chicago/Turabian StyleHalik, Paweł K., Przemysław Koźmiński, Joanna Matalińska, Piotr F. J. Lipiński, Aleksandra Misicka, and Ewa Gniazdowska. 2022. "In Vitro Biological Evaluation of Aprepitant Based 177Lu-Radioconjugates" Pharmaceutics 14, no. 3: 607. https://doi.org/10.3390/pharmaceutics14030607
APA StyleHalik, P. K., Koźmiński, P., Matalińska, J., Lipiński, P. F. J., Misicka, A., & Gniazdowska, E. (2022). In Vitro Biological Evaluation of Aprepitant Based 177Lu-Radioconjugates. Pharmaceutics, 14(3), 607. https://doi.org/10.3390/pharmaceutics14030607

