Mapping the HPV Landscape in South African Women: A Systematic Review and Meta-Analysis of Viral Genotypes, Microbiota, and Immune Signals
Abstract
1. Introduction
2. Methodology
2.1. Study Design and Search Strategy
2.2. Search Terms
2.2.1. PubMed
2.2.2. Scopus
2.2.3. Web of Science
2.3. Eligibility Criteria
2.4. Data Extraction
2.5. Study Quality and Bias Assessment
2.6. Statistical Analysis
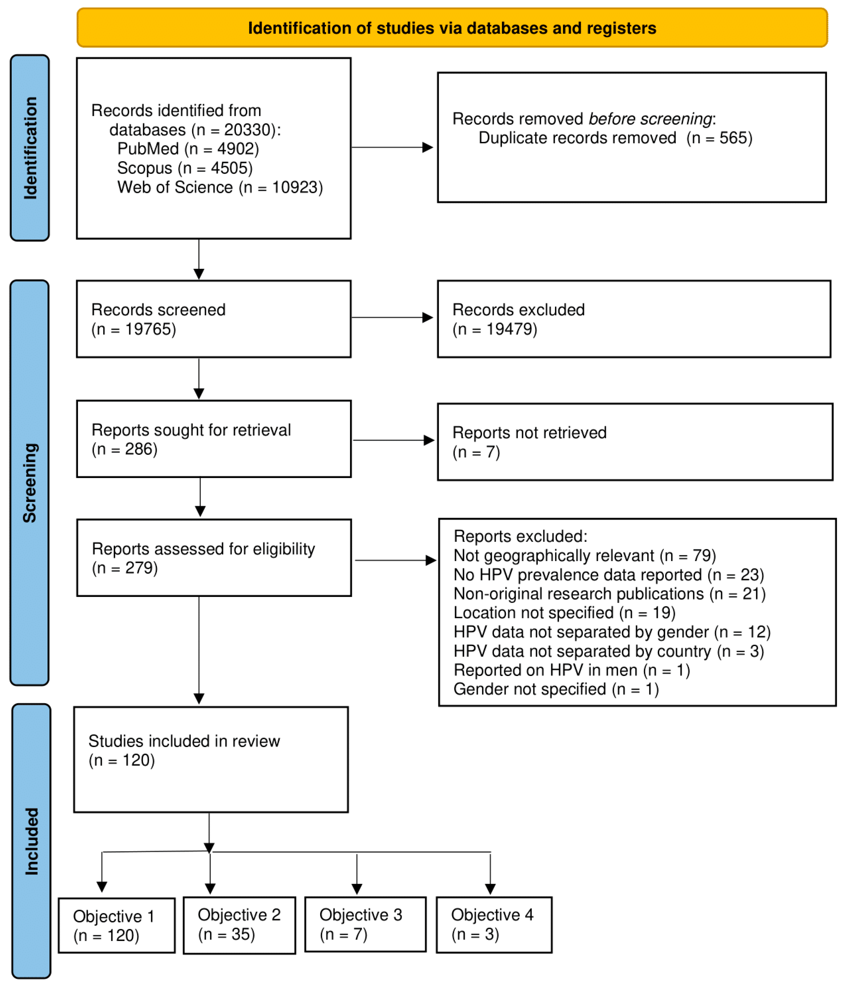
3. Results
3.1. Study and Population Characteristics
3.2. Pooled Prevalence of HPV Infection in South Africa
3.3. Pooled Prevalence of HPV Infection by Province
3.4. Geographic Distribution of the Sample Types Studied Among South African Provinces
3.5. Pooled Prevalence of HPV Infection by Sample Type
3.6. Pooled Prevalence of HPV Infection by HIV Status
3.7. Overall HR-HPV Genotype Prevalence
3.8. The Trends in the Detection of the Most Prevalent HR-HPV Genotypes Studied (16, 18, 35, and 52) from 2005 to 2024
3.9. HR-HPV Genotype Prevalence in Female Genital Tract and Upper Respiratory Tract
3.10. Overall LR-HPV Genotype Prevalence
3.11. LR-HPV Genotype Prevalence in Female Genital Tract and Upper Respiratory Tract Sample Types
3.12. Prevalence of HR and LR-HPV Genotypes Stratified by HIV Status
3.13. Association Between Cervicovaginal Microbiota and HPV Infection
3.14. HPV Infection Association with Cervicovaginal Cytokine Profile
3.15. Publication Bias Analysis
3.16. Risk of Bias Assessment
4. Discussion
5. Limitations
6. Conclusions
Supplementary Materials
Author Contributions
Funding
Conflicts of Interest
References
- Okunade, K.S. Human papillomavirus and cervical cancer. J. Obstet. Gynaecol. 2020, 40, 602–608. [Google Scholar] [CrossRef] [PubMed]
- Stuebs, F.A.; Gass, P.; Dietl, A.K.; Schulmeyer, C.E.; Adler, W.; Geppert, C.; Hartmann, A.; Knöll, A.; Beckmann, M.W.; Koch, M.C. Human papilloma virus genotype distribution in women with premalignant or malignant lesions of the uterine cervix. Arch. Gynecol. Obstet. 2021, 304, 751–758. [Google Scholar] [CrossRef] [PubMed]
- Ferlay, J.; Colombet, M.; Soerjomataram, I.; Parkin, D.M.; Piñeros, M.; Znaor, A.; Bray, F. Cancer statistics for the year 2020: An overview. Int. J. Cancer 2021, 149, 778–789. [Google Scholar] [CrossRef]
- Sung, H.; Ferlay, J.; Siegel, R.L.; Laversanne, M.; Soerjomataram, I.; Jemal, A.; Bray, F. Global cancer statistics 2020: GLOBOCAN estimates of incidence and mortality worldwide for 36 cancers in 185 countries. CA A Cancer J. Clin. 2021, 71, 209–249. [Google Scholar] [CrossRef]
- Jedy-Agba, E.; Joko, W.Y.; Liu, B.; Buziba, N.G.; Borok, M.; Korir, A.; Masamba, L.; Manraj, S.S.; Finesse, A.; Wabinga, H.; et al. Trends in cervical cancer incidence in sub-Saharan Africa. Br. J. Cancer 2020, 123, 148–154. [Google Scholar] [CrossRef]
- Bogale, A.L.; Belay, N.B.; Medhin, G.; Ali, J.H. Molecular epidemiology of human papillomavirus among HIV infected women in developing countries: Systematic review and meta-analysis. Virol. J. 2020, 17, 179. [Google Scholar] [CrossRef]
- Clarke, M.A.; Wentzensen, N. Strategies for screening and early detection of anal cancers: A narrative and systematic review and meta-analysis of cytology, HPV testing, and other biomarkers. Cancer Cytopathol. 2018, 126, 447–460. [Google Scholar] [CrossRef]
- Kim, S.M. Human papilloma virus in oral cancer. J. Korean Assoc. Oral Maxillofac. Surg. 2016, 42, 327–336. [Google Scholar] [CrossRef]
- Campisi, G.; Panzarella, V.; Giuliani, M.; Lajolo, C.; Di Fede, O.; Falaschini, S.; Di Liberto, C.; Scully, C.; Muzio, L.L. Human papillomavirus: Its identikit and controversial role in oral oncogenesis, premalignant and malignant lesions. Int. J. Oncol. 2007, 30, 813–823. [Google Scholar] [CrossRef]
- de Sanjosé, S.; Bruni, L.; Alemany, L. HPV in genital cancers (at the exception of cervical cancer) and anal cancers. La Presse Médicale 2014, 43, e423–e428. [Google Scholar] [CrossRef] [PubMed]
- Moscicki, A.-B.; Darragh, T.M.; Berry-Lawhorn, J.M.; Roberts, J.M.M.; Khan, M.J.; Boardman, L.A.M.; Chiao, E.; Einstein, M.H.M.; Goldstone, S.E.; Jay, N.; et al. Screening for anal cancer in women. J. Low. Genit. Tract Dis. 2015, 19, S27–S42. [Google Scholar] [CrossRef]
- Mbulawa, Z.Z.; Johnson, L.F.; Marais, D.J.; Coetzee, D.; Williamson, A.-L. Risk factors for oral human papillomavirus in heterosexual couples in an African setting. J. Infect. 2013, 68, 185–189. [Google Scholar] [CrossRef] [PubMed]
- Parkin, D.M.; Bray, F. The burden of HPV-related cancers. Vaccine 2006, 24, S11–S25. [Google Scholar] [CrossRef] [PubMed]
- Gillison, M.L.; Broutian, T.; Pickard, R.K.L.; Tong, Z.-Y.; Xiao, W.; Kahle, L.; Graubard, B.I.; Chaturvedi, A.K. Prevalence of oral HPV infection in the United States, 2009–2010. JAMA 2012, 307, 693–703. [Google Scholar] [CrossRef]
- He, W.-Q.; Li, C. Recent global burden of cervical cancer incidence and mortality, predictors, and temporal trends. Gynecol. Oncol. 2021, 163, 583–592. [Google Scholar] [CrossRef]
- Luo, Q.; Zeng, X.; Luo, H.; Pan, L.; Huang, Y.; Zhang, H.; Han, N. Epidemiologic characteristics of high-risk HPV and the correlation between multiple infections and cervical lesions. BMC Infect. Dis. 2023, 23, 667. [Google Scholar] [CrossRef] [PubMed]
- Trama, J.P.; Trikannad, C.; Yang, J.J.; Adelson, M.E.; Mordechai, E. High-risk HPV genotype distribution according to cervical cytology and age. In Open Forum Infectious Diseases; Oxford University Press US: New York, NY, USA, 2022. [Google Scholar] [CrossRef]
- Pérez-González, A.; Cachay, E.; Ocampo, A.; Poveda, E. Update on the epidemiological features and clinical implications of human papillomavirus infection (HPV) and human immunodeficiency virus (HIV) coinfection. Microorganisms 2022, 10, 1047. [Google Scholar] [CrossRef]
- Mbulawa, Z.Z.; Phohlo, K.; Garcia-Jardon, M.; Williamson, A.-L.; Businge, C.B. High human papillomavirus (HPV)-35 prevalence among South African women with cervical intraepithelial neoplasia warrants attention. PLoS ONE 2022, 17, e0264498. [Google Scholar] [CrossRef]
- Panwar, K.; Godi, A.; Cocuzza, C.E.; Andrews, N.; Southern, J.; Turner, P.; Miller, E.; Beddows, S. Binding antibody levels to vaccine (HPV6/11/16/18) and non-vaccine (HPV31/33/45/52/58) HPV antigens up to 7 years following immunization with either Cervarix® or Gardasil® vaccine. Vaccine 2022, 40, 1198–1202. [Google Scholar] [CrossRef]
- Williamson, A.-L. Recent developments in human papillomavirus (HPV) vaccinology. Viruses 2023, 15, 1440. [Google Scholar] [CrossRef]
- Mbulawa, Z.Z.A.; Somdyala, N.I.; Mabunda, S.A.; Williamson, A.-L. High human papillomavirus prevalence among females attending high school in the Eastern Cape Province of South Africa. PLoS ONE 2021, 16, e0253074. [Google Scholar] [CrossRef] [PubMed]
- Sharma, R. HPV vaccine: A breakthrough in prevention of cervical cancer. Apollo Med. 2012, 9, 87–90. [Google Scholar] [CrossRef]
- Ntuli, L.; Mtshali, A.; Mzobe, G.; Liebenberg, L.J.; Ngcapu, S. Role of immunity and vaginal microbiome in clearance and persistence of human papillomavirus infection. Front. Cell. Infect. Microbiol. 2022, 12, 927131. [Google Scholar] [CrossRef] [PubMed]
- Squillace, N.; Cogliandro, V.; Ranzani, A.; Bana, N.B.; Bonfanti, P. Human Papilloma Virus Related Cancers in People Living with HIV. Current Infectious Dis. Rep. 2023, 25, 151–167. [Google Scholar] [CrossRef]
- Gyane, F.A.; Modey, E.; Maya, E.; Bonney, E.Y.; Abaidoo-Myles, A.; Paintsil, E.; Torpey, K. Prevalence and risk factors associated with high-risk human papillomavirus infection among women living with HIV (WLWH) at a tertiary health facility in Accra, Ghana. PLoS ONE 2024, 19, e0303535. [Google Scholar] [CrossRef]
- Mondatore, D.; Bai, F.; Augello, M.; Giovenzana, M.; Ceretti, A.P.; Bono, V.; Opocher, E.; Monforte, A.D.; Marchetti, G.C.; Tincati, C. Persistence of high percentage of peripheral activated CD8+ T cells predict cytologic HPV-related dysplasia in cART-Treated, HIV-Positive Subjects. In Open Forum Infectious Diseases; Oxford University Press US: New York, NY, USA, 2022. [Google Scholar] [CrossRef]
- Gardella, B.; Pasquali, M.F.; La Verde, M.; Cianci, S.; Torella, M.; Dominoni, M. The complex interplay between vaginal microbiota, HPV infection, and immunological microenvironment in cervical intraepithelial neoplasia: A literature review. Int. J. Mol. Sci. 2022, 23, 7174. [Google Scholar] [CrossRef]
- Liu, Y.; Wang, S.; Liu, J.; Su, M.; Diao, X.; Liang, X.; Zhang, J.; Wang, Q.; Zhan, Y. Characteristics of vaginal microbiota in various cervical intraepithelial neoplasia: A cross-sectional study. J. Transl. Med. 2023, 21, 816. [Google Scholar] [CrossRef]
- Alimena, S.; Davis, J.; Fichorova, R.N.; Feldman, S. The vaginal microbiome: A complex milieu affecting risk of human papillomavirus persistence and cervical cancer. Curr. Probl. Cancer 2022, 46, 100877. [Google Scholar] [CrossRef]
- Qingqing, B.; Jie, Z.; Songben, Q.; Juan, C.; Lei, Z.; Mu, X. Cervicovaginal microbiota dysbiosis correlates with HPV persistent infection. Microb. Pathog. 2020, 152, 104617. [Google Scholar] [CrossRef]
- López-Filloy, M.; Cortez, F.J.; Gheit, T.; Cruz, O.C.Y.; Cruz-Talonia, F.; Chávez-Torres, M.; Arteaga-Gómez, C.; Mancilla-Herrera, I.; Montesinos, J.J.; Cortés-Morales, V.A.; et al. Altered vaginal microbiota composition correlates with human papillomavirus and mucosal immune responses in women with symptomatic cervical ectopy. Front. Cell. Infect. Microbiol. 2022, 12, 884272. [Google Scholar] [CrossRef]
- Łaniewski, P.; Cui, H.; Roe, D.J.; Chase, D.M.; Herbst-Kralovetz, M.M. Vaginal microbiota, genital inflammation, and neoplasia impact immune checkpoint protein profiles in the cervicovaginal microenvironment. npj Precis. Oncol. 2020, 4, 22. [Google Scholar] [CrossRef] [PubMed]
- Page, M.J.; McKenzie, J.E.; Bossuyt, P.M.; Boutron, I.; Hoffmann, T.C.; Mulrow, C.D.; Shamseer, L.; Tetzlaff, J.M.; Akl, E.A.; Brennan, S.E.; et al. The PRISMA 2020 statement: An updated guideline for reporting systematic reviews. BMJ 2021, 372, 71. [Google Scholar] [CrossRef]
- Munn, Z.; Moola, S.; Lisy, K.; Riitano, D.; Tufanaru, C. Methodological guidance for systematic reviews of observational epidemiological studies reporting prevalence and cumulative incidence data. JBI Evid. Implement. 2015, 13, 147–153. [Google Scholar] [CrossRef]
- Higgins, J.P.T.; Thomas, J.; Chandler, J.; Cumpston, M.; Li, T.; Page, M.J.; Welch, V.A. Cochrane Handbook for Systematic Reviews of Interventions; Wiley: Hoboken, NJ, USA, 2019. [Google Scholar]
- Higgins, J.P.T.; Thompson, S.G.; Deeks, J.J.; Altman, D.G. Measuring inconsistency in meta-analyses. BMJ 2003, 327, 557–560. [Google Scholar] [CrossRef]
- Williamson, A.-L.; Dehaeck, C.M.C.; Soeters, R. Typing of human papillomaviruses in cervical intraepithelial neoplasia grade 3 biopsies from Cape Town. J. Med. Virol. 1989, 28, 146–149. [Google Scholar] [CrossRef]
- Cooper, K.; Herrington, C.S.; Graham, A.K.; Evans, M.F.; O’McGee, J. In situ evidence for HPV 16, 18, 33 integration in cervical squamous cell cancer in Britain and South Africa. J. Clin. Pathol. 1991, 44, 406–409. [Google Scholar] [CrossRef] [PubMed]
- Cooper, K.; Herrington, C.S.; Graham, A.K.; Evans, M.F.; McGee, J.O. In situ human papillomavirus (HPV) genotyping of cervical intraepithelial neoplasia in South African and British patients: Evidence for putative HPV integration in vivo. J. Clin. Pathol. 1991, 44, 400–405. [Google Scholar] [CrossRef]
- Johnson, J.E.; Dehaeck, C.M.C.; Soeters, R.; Williamson, A. Typing and molecular characterization of human papillomaviruses in genital warts from South African women. J. Med. Virol. 1991, 33, 39–42. [Google Scholar] [CrossRef]
- Padayachee, A.; van Wyk, C.W. Human papillomavirus (HPV) DNA in focal epithelial hyperplasia by in situ hybridization. J. Oral Pathol. Med. 1991, 20, 210–214. [Google Scholar] [CrossRef]
- Cooper, K.; Herrington, C.S.; Lo, E.S.; Evans, M.F.; O’McGee, J. Integration of human papillomavirus types 16 and 18 in cervical adenocarcinoma. J. Clin. Pathol. 1992, 45, 382–384. [Google Scholar] [CrossRef]
- Padayachee, A.; Prescott, C. Relationship between the clinical course and HPV typing of recurrent laryngeal papillomatosis. The Red Cross War Memorial Children’s Hospital Experience 1982–1988. Int. J. Pediatr. Otorhinolaryngol. 1993, 26, 141–147. [Google Scholar] [CrossRef] [PubMed]
- Williamson, A.-L.; Brink, N.S.; Dehaeck, C.M.C.; Ovens, S.; Soeters, R.; Rybicki, E.P. Typing of human papillomaviruses in cervical carcinoma biopsies from Cape Town. J. Med. Virol. 1994, 43, 231–237. [Google Scholar] [CrossRef]
- Wright, C.A.; Taylor, L.; Cooper, K. HPV typing of vulvovaginal condylomata in children. S. Afr. Med. J. Suid-Afr. Tydskr. Vir Geneeskd. 1995, 85 (Suppl. S10), 1096–1101. [Google Scholar]
- Grayson, W.; Taylor, L.; Cooper, K. Detection of integrated high risk human papillomavirus in adenoid cystic carcinoma of the uterine cervix. J. Clin. Pathol. 1996, 49, 805–809. [Google Scholar] [CrossRef]
- Ramesar, J.E.; Dehaeck, C.M.; Soeters, R.; Williamson, A.L. Human papillomavirus in normal cervical smears from Cape Town. S. Afr. Med. J. 1996, 86, 1402–1405. [Google Scholar]
- Chetty, R.; Bramdev, A.; Aguirre-Arteta, A.; Pegoraro, R.J.; Sataar, N. Relation between retinoblastoma and p53 proteins in human papilloma viruses 16/18 positive and negative cancers of the uterine cervix. J. Clin. Pathol. 1997, 50, 413–416. [Google Scholar] [CrossRef] [PubMed]
- Denny, L.; Kuhn, L.; Risi, L.; Richart, R.M.; Pollack, A.; Lorincz, A.; Kostecki, F.; Wright, T.C. Two-stage cervical cancer screening: An alternative for resource-poor settings. Am. J. Obstet. Gynecol. 2000, 183, 383–388. [Google Scholar] [CrossRef]
- Kuhn, L.; Denny, L.; Pollack, A.; Lorincz, A.; Richart, R.M.; Wright, T.C. Human papillomavirus DNA testing for cervical cancer screening in low-resource settings. JNCI J. Natl. Cancer Inst. 2000, 92, 818–825. [Google Scholar] [CrossRef]
- Wright, T.C., Jr.; Denny, L.; Kuhn, L.; Pollack, A.; Lorincz, A. HPV DNA testing of self-collected vaginal samples compared with cytologic screening to detect cervical cancer. JAMA 2000, 283, 81–86. [Google Scholar] [CrossRef]
- Kay, P.; Meehan, K.; Williamson, A.-L. The use of nested polymerase chain reaction and restriction fragment length polymorphism for the detection and typing of mucosal human papillomaviruses in samples containing low copy numbers of viral DNA. J. Virol. Methods 2002, 105, 159–170. [Google Scholar] [CrossRef]
- Passmore, J.S.; Burch, V.C.; Shephard, E.G.; Marais, D.J.; Allan, B.; Kay, P.; Rose, R.C.; Williamson, A. Single-cell cytokine analysis allows detection of cervical T-cell responses against human papillomavirus type 16 L1 in women infected with genital HPV. J. Med. Virol. 2002, 67, 234–240. [Google Scholar] [CrossRef] [PubMed]
- Kay, P.; Soeters, R.; Nevin, J.; Denny, L.; Dehaeck, C.M.; Williamson, A. High prevalence of HPV 16 in South African women with cancer of the cervix and cervical intraepithelial neoplasia. J. Med. Virol. 2003, 71, 265–273. [Google Scholar] [CrossRef] [PubMed]
- Kay, P.; Allan, B.; Denny, L.; Hoffman, M.; Williamson, A.-L. Detection of HPV 16 and HPV 18 DNA in the blood of patients with cervical cancer. J. Med. Virol. 2005, 75, 435–439. [Google Scholar] [CrossRef] [PubMed]
- Allan, B.R.; Marais, D.J.; Denny, L.; Hoffman, M.; Shapiro, S.; Williamson, A.-L. The agreement between cervical abnormalities identified by cytology and detection of high-risk types of human papillomavirus. S. Afr. Med. J. 2006, 96, 1186–1190. [Google Scholar] [PubMed]
- Boy, S.; Van Rensburg, E.J.; Engelbrecht, S.; Dreyer, L.; van Heerden, M.; van Heerden, W. HPV detection in primary intra-oral squamous cell carcinomas—Commensal, aetiological agent or contamination? J. Oral Pathol. Med. 2006, 35, 86–90. [Google Scholar] [CrossRef] [PubMed]
- Passmore, J.S.; Milner, M.; Denny, L.; Sampson, C.; Marais, D.J.; Allan, B.; Gumbi, P.P.; Hitzeroth, I.I.; Rybicki, E.P.; Williamson, A. Comparison of cervical and blood T-cell responses to human papillomavirus-16 in women with human papillomavirus-associated cervical intraepithelial neoplasia. Immunology 2006, 119, 507–514. [Google Scholar] [CrossRef]
- Jones, H.E.; Allan, B.R.; van de Wijgert, J.H.H.M.; Altini, L.; Taylor, S.M.; de Kock, A.; Coetzee, N.; Williamson, A.-L. Agreement between self- and clinician-collected specimen results for detection and typing of high-risk human papillomavirus in specimens from women in Gugulethu, South Africa. J. Clin. Microbiol. 2007, 45, 1679–1683. [Google Scholar] [CrossRef] [PubMed][Green Version]
- Passmore, J.S.; Marais, D.J.; Sampson, C.; Allan, B.; Parker, N.; Milner, M.; Denny, L.; Williamson, A. Cervicovaginal, oral, and serum IgG and IgA responses to human papillomavirus type 16 in women with cervical intraepithelial neoplasia. J. Med. Virol. 2007, 79, 1375–1380. [Google Scholar] [CrossRef] [PubMed]
- Allan, B.; Marais, D.J.; Hoffman, M.; Shapiro, S.; Williamson, A.-L. Cervical human papillomavirus (HPV) infection in South African women: Implications for HPV screening and vaccine strategies. J. Clin. Microbiol. 2008, 46, 740–742. [Google Scholar] [CrossRef]
- Denny, L.; Boa, R.; Williamson, A.-L.; Allan, B.; Hardie, D.; Stan, R.; Myer, L. Human papillomavirus infection and cervical disease in human immunodeficiency virus-1-infected women. Obstet. Gynecol. 2008, 111, 1380–1387. [Google Scholar] [CrossRef]
- Marais, D.J.; Passmore, J.S.; Denny, L.; Sampson, C.; Allan, B.R.; Williamson, A. Cervical and oral human papillomavirus types in HIV-1 positive and negative women with cervical disease in South Africa. J. Med. Virol. 2008, 80, 953–959. [Google Scholar] [CrossRef] [PubMed]
- Marais, D.J.; Constant, D.; Allan, B.; Carrara, H.; Hoffman, M.; Shapiro, S.; Morroni, C.; Williamson, A.-L. Cervical human papillomavirus (HPV) infection and HPV type 16 antibodies in South African women. J. Clin. Microbiol. 2008, 46, 732–739. [Google Scholar] [CrossRef] [PubMed]
- Richter, K.L.; Van Rensburg, E.J.; Van Heerden, W.F.P.; Boy, S.C. Human papilloma virus types in the oral and cervical mucosa of HIV-positive South African women prior to antiretroviral therapy. J. Oral Pathol. Med. 2008, 37, 555–559. [Google Scholar] [CrossRef] [PubMed]
- Firnhaber, C.; Zungu, K.; Levin, S.; Michelow, P.; Montaner, L.J.; McPhail, P.; Williamson, A.-L.; Allan, B.R.; Van der Horst, C.; Rinas, A.; et al. Diverse and high prevalence of human papillomavirus associated with a significant high rate of cervical dysplasia in human immunodeficiency virus-infected women in Johannesburg, South Africa. Acta Cytol. 2009, 53, 10–17. [Google Scholar] [CrossRef]
- Mbulawa, Z.Z.A.; Coetzee, D.; Marais, D.J.; Kamupira, M.; Zwane, E.; Allan, B.; Constant, D.; Moodley, J.R.; Hoffman, M.; Williamson, A. Genital human papillomavirus prevalence and human papillomavirus concordance in heterosexual couples are positively associated with human immunodeficiency virus coinfection. J. Infect. Dis. 2009, 199, 1514–1524. [Google Scholar] [CrossRef][Green Version]
- Moodley, J.R.; Constant, D.; Hoffman, M.; Salimo, A.; Allan, B.; Rybicki, E.; Hitzeroth, I.; Williamson, A.-L. Human papillomavirus prevalence, viral load and pre-cancerous lesions of the cervix in women initiating highly active antiretroviral therapy in South Africa: A cross-sectional study. BMC Cancer 2009, 9, 275. [Google Scholar] [CrossRef] [PubMed]
- Said, H.; Ahmed, K.; Burnett, R.; Allan, B.; Williamson, A.-L.; Hoosen, A. HPV genotypes in women with squamous intraepithelial lesions and normal cervixes participating in a community-based microbicide study in Pretoria, South Africa. J. Clin. Virol. 2009, 44, 318–321. [Google Scholar] [CrossRef][Green Version]
- Denny, L.; Kuhn, L.; Hu, C.-C.; Tsai, W.-Y.; Wright, T.C. Human papillomavirus-based cervical cancer prevention: Long-term results of a randomized screening trial. JNCI J. Natl. Cancer Inst. 2010, 102, 1557–1567. [Google Scholar] [CrossRef]
- Firnhaber, C.; Van Le, H.; Pettifor, A.; Schulze, D.; Michelow, P.; Sanne, I.M.; Lewis, D.A.; Williamson, A.-L.; Allan, B.; Williams, S.; et al. Association between cervical dysplasia and human papillomavirus in HIV seropositive women from Johannesburg South Africa. Cancer Causes Control 2010, 21, 433–443. [Google Scholar] [CrossRef]
- Kuhn, L.; Wang, C.; Tsai, W.-Y.; Wright, T.C.; Denny, L. Efficacy of human papillomavirus-based screen-and-treat for cervical cancer prevention among HIV-infected womens. AIDS 2010, 24, 2553–2561. [Google Scholar] [CrossRef]
- Mbulawa, Z.Z.A.; Marais, D.J.; Johnson, L.F.; Boulle, A.; Coetzee, D.; Williamson, A.-L. Influence of human immunodeficiency virus and CD4 count on the prevalence of human papillomavirus in heterosexual couples. J. Gen. Virol. 2010, 91, 3023–3031. [Google Scholar] [CrossRef]
- Moodley, M.; Lindeque, G.; Connolly, C. Human papillomavirus (HPV)-type distribution in relation to oral contraceptive use in women with cervical intraepithelial neoplasia, Durban, South Africa. Eur. J. Gynaecol. Oncol. 2010, 31, 278–283. [Google Scholar]
- Taylor, S.; Wang, C.; Wright, T.C.; Denny, L.; Tsai, W.-Y.; Kuhn, L. Reduced acquisition and reactivation of human papillomavirus infections among older women treated with cryotherapy: Results from a randomized trial in South Africa. BMC Med. 2010, 8, 40. [Google Scholar] [CrossRef] [PubMed]
- Auvert, B.; Marais, D.; Lissouba, P.; Zarca, K.; Ramjee, G.; Williamson, A.-L. High-risk human papillomavirus is associated with HIV acquisition among South African female sex workers. Infect. Dis. Obstet. Gynecol. 2011, 2011, 692012. [Google Scholar] [CrossRef] [PubMed]
- Firnhaber, C.; Evans, D.; Friedman-Khalili, R.; Willliams, S.; Michelow, P.; Matlhagela, K.; Wester, C.; Grinsztejn, B.; Lockman, S. Seroprevalence of HPV vaccine types 6, 11, 16 and 18 in HIV-infected women from South Africa, Brazil and Botswana. J. Clin. Virol. 2011, 52, 265–268. [Google Scholar] [CrossRef] [PubMed]
- Taylor, S.; Wang, C.; Wright, T.C.; Denny, L.; Kuhn, L. A comparison of human papillomavirus testing of clinician-collected and self-collected samples during follow-up after screen-and-treat. Int. J. Cancer 2011, 129, 879–886. [Google Scholar] [CrossRef]
- Wang, C.; Wright, T.C.; Denny, L.; Kuhn, L. Rapid Rise in Detection of Human Papillomavirus (HPV) Infection Soon After Incident HIV Infection Among South African Women. J. Infect. Dis. 2011, 203, 479–486. [Google Scholar] [CrossRef]
- De Vuyst, H.; Ndirangu, G.; Moodley, M.; Tenet, V.; Estambale, B.; Meijer, C.J.; Snijders, P.J.; Clifford, G.; Franceschi, S. Prevalence of human papillomavirus in women with invasive cervical carcinoma by HIV status in Kenya and South Africa. Int. J. Cancer 2011, 131, 949–955. [Google Scholar] [CrossRef] [PubMed]
- Dols, J.A.; Reid, G.; Kort, R.; Schuren, F.H.; Tempelman, H.; Bontekoe, T.R.; Korporaal, H.; Van der Veer, E.; Smit, P.W.; Boon, M.E. PCR-based identification of eight lactobacillus species and 18 hr-HPV genotypes in fixed cervical samples of south african women at risk of HIV and BV. Diagn. Cytopathol. 2011, 40, 472–477. [Google Scholar] [CrossRef]
- Mbulawa, Z.Z.A.; Marais, D.J.; Johnson, L.F.; Coetzee, D.; Williamson, A.-L. Impact of human immunodeficiency virus on the natural history of human papillomavirus genital infection in South African men and women. J. Infect. Dis. 2012, 206, 15–27. [Google Scholar] [CrossRef]
- McDonald, A.C.; Denny, L.; Wang, C.; Tsai, W.-Y.; Wright, T.C.; Kuhn, L. Distribution of High-Risk Human Papillomavirus Genotypes among HIV-Negative Women with and without Cervical Intraepithelial Neoplasia in South Africa. PLoS ONE 2012, 7, e44332. [Google Scholar] [CrossRef] [PubMed]
- Meiring, T.L.; Salimo, A.T.; Coetzee, B.; Maree, H.J.; Moodley, J.; Hitzeroth, I.I.; Freeborough, M.-J.; Rybicki, E.P.; Williamson, A.-L. Next-generation sequencing of cervical DNA detects human papillomavirus types not detected by commercial kits. Virol. J. 2012, 9, 164. [Google Scholar] [CrossRef] [PubMed]
- Bere, A.; Tayib, S.; Kriek, J.-M.; Masson, L.; Jaumdally, S.Z.; Barnabas, S.L.; Carr, W.H.; Allan, B.; Williamson, A.-L.; Denny, L.; et al. Altered phenotype and function of NK cells infiltrating Human Papillomavirus (HPV)-associated genital warts during HIV infection. Clin. Immunol. 2013, 150, 210–219. [Google Scholar] [CrossRef] [PubMed]
- Ngou, J.; Magooa, M.P.; Gilham, C.; Djigma, F.; Didelot, M.-N.; Kelly, H.; Yonli, A.; Sawadogo, B.; Lewis, D.A.; Delany-Moretlwe, S.; et al. Comparison of careHPV and hybrid capture 2 assays for detection of high-risk human Papillomavirus DNA in cervical samples from hiv-1-infected African women. J. Clin. Microbiol. 2013, 51, 4240–4242. [Google Scholar] [CrossRef] [PubMed]
- Richter, K.; Becker, P.; Horton, A.; Dreyer, G. Age-specific prevalence of cervical human papillomavirus infection and cytological abnormalities in women in Gauteng Province, South Africa. S. Afr. Med. J. 2013, 103, 313–317. [Google Scholar] [CrossRef]
- Vogt, S.L.; Gravitt, P.E.; Martinson, N.A.; Hoffmann, J.; D’Souza, G. Concordant oral-genital HPV infection in South Africa couples: Evidence for transmission. Front. Oncol. 2013, 3, 303. [Google Scholar] [CrossRef]
- Adler, D.H.; Wallace, M.; Bennie, T.; Mrubata, M.; Abar, B.; Meiring, T.L.; Williamson, A.-L.; Bekker, L.-G. Cervical dysplasia and high-risk human papillomavirus infections among HIV-infected and HIV-uninfected adolescent females in South Africa. Infect. Dis. Obstet. Gynecol. 2014, 2014, 498048. [Google Scholar] [CrossRef]
- Ameur, A.; Meiring, T.L.; Bunikis, I.; Häggqvist, S.; Lindau, C.; Lindberg, J.H.; Gustavsson, I.; Mbulawa, Z.Z.A.; Williamson, A.-L.; Gyllensten, U. Comprehensive profiling of the vaginal microbiome in HIV positive women using massive parallel semiconductor sequencing. Sci. Rep. 2014, 4, 4398. [Google Scholar] [CrossRef]
- Denny, L.; Adewole, I.; Anorlu, R.; Dreyer, G.; Moodley, M.; Smith, T.; Snyman, L.; Wiredu, E.; Molijn, A.; Quint, W.; et al. Human papillomavirus prevalence and type distribution in invasive cervical cancer in sub-Saharan Africa. Int. J. Cancer 2013, 134, 1389–1398. [Google Scholar] [CrossRef]
- McDonald, A.C.; Tergas, A.I.; Kuhn, L.; Denny, L.; Wright, T.C. Distribution of human papillomavirus genotypes among HIV-positive and HIV-negative women in Cape Town, South Africa. Front. Oncol. 2014, 4, 48. [Google Scholar] [CrossRef]
- Adamson, P.C.; Huchko, M.J.; Moss, A.M.; Kinkel, H.F.; Medina-Marino, A. Acceptability and accuracy of cervical cancer screening using a self-collected tampon for HPV messenger-RNA testing among HIV infected women in South Africa. PLoS ONE 2015, 10, e0137299. [Google Scholar] [CrossRef]
- Adler, D.; Wallace, M.; Bennie, T.; Abar, B.; Sadeghi, R.; Meiring, T.; Williamson, A.-L.; Bekker, L.-G. High Risk Human Papillomavirus Persistence Among HIV-infected Young Women in South Africa. Int. J. Infect. Dis. 2015, 33, 219–221. [Google Scholar] [CrossRef] [PubMed][Green Version]
- Lebelo, R.L.; Bogers, J.J.; Thys, S.; Depuydt, C.; Benoy, I.; Selabe, S.; Bida, M.N.; Mphahlele, M. Detection, genotyping and quantitation of multiple hpv infections in south african women with cervical squamous cell carcinoma. J. Med. Virol. 2015, 87, 1594–1600. [Google Scholar] [CrossRef] [PubMed]
- Mbulawa, Z.Z.A.; Coetzee, D.; Williamson, A.-L. Human papillomavirus prevalence in South African women and men according to age and human immunodeficiency virus status. BMC Infect. Dis. 2015, 15, 459. [Google Scholar] [CrossRef] [PubMed]
- Ngou, J.; Gilham, C.; Omar, T.; Goumbri-Lompo, O.; Doutre, S.; Michelow, P.; Kelly, H.; Didelot, M.-N.; Chikandiwa, A.; Sawadogo, B.; et al. Comparison of analytical and clinical performances of the digene HC2 HPV DNA assay and the INNO-LiPA HPV genotyping assay for detecting high-risk HPV infection and cervical neoplasia among HIV-positive African women. Am. J. Ther. 2015, 68, 162–168. [Google Scholar] [CrossRef] [PubMed]
- Tayib, S.; Allan, B.; Williamson, A.-L.; Denny, L. Human papillomavirus genotypes and clinical management of genital warts in women attending a colposcopy clinic in Cape Town, South Africa. S. Afr. Med. J. 2015, 105, 679. [Google Scholar] [CrossRef]
- van Aardt, M.C.; Dreyer, G.; Pienaar, H.F.; Karlsen, F.; Hovland, S.; Richter, K.L.; Becker, P. Unique human papillomavirus-type distribution in South African women with invasive cervical cancer and the effect of human immunodeficiency virus infection. Int. J. Gynecol. Cancer 2015, 25, 919–925. [Google Scholar] [CrossRef]
- Zeier, M.D.; Botha, M.H.; Engelbrecht, S.; Machekano, R.N.; Jacobs, G.B.; Isaacs, S.; van Schalkwyk, M.; van der Merwe, H.; Mason, D.; Nachega, J.B. Combination antiretroviral therapy reduces the detection risk of cervical human papilloma virus infection in women living with HIV. AIDS 2015, 29, 59–66. [Google Scholar] [CrossRef]
- Adler, D.H.; Wallace, M.; Bennie, T.; Abar, B.; Meiring, T.L.; Williamson, A.-L.; Bekker, L.-G. Cumulative Impact of HIV and Multiple Concurrent Human Papillomavirus Infections on the Risk of Cervical Dysplasia. Adv. Virol. 2016, 2016, 7310894. [Google Scholar] [CrossRef]
- Ebrahim, S.; Mndende, X.K.; Kharsany, A.B.M.; Mbulawa, Z.Z.A.; Naranbhai, V.; Frohlich, J.; Werner, L.; Samsunder, N.; Karim, Q.A.; Williamson, A.-L. High burden of human papillomavirus (HPV) infection among young women in KwaZulu-Natal, South Africa. PLoS ONE 2016, 11, e0146603. [Google Scholar] [CrossRef]
- Firnhaber, C.; Goeieman, B.; Faesen, M.; Levin, S.; Williams, S.; Rameotshela, S.; Swarts, A.; Michelow, P.; Omar, T.; Williamson, A.-L.; et al. Prospective one year follow up of HIV infected women screened for cervical cancer using visual inspection with acetic acid, cytology and human papillomavirus testing in Johannesburg South Africa. PLoS ONE 2016, 11, e0144905. [Google Scholar] [CrossRef]
- Kriek, J.-M.; Jaumdally, S.Z.; Masson, L.; Little, F.; Mbulawa, Z.; Gumbi, P.P.; Barnabas, S.L.; Moodley, J.; Denny, L.; Coetzee, D.; et al. Female genital tract inflammation, HIV co-infection and persistent mucosal Human Papillomavirus (HPV) infections. Virology 2016, 493, 247–254. [Google Scholar] [CrossRef]
- Mbatani, N.; Adams, T.; van Wijk, L.; Behrens, C.; Tam, T.; Wright, T.; Stoler, M.; Denny, L. Performance of an human papillomavirus test in samples from women with histolopathologically confirmed invasive cervical cancer. J. Low. Genit. Tract Dis. 2016, 20, 151–153. [Google Scholar] [CrossRef] [PubMed]
- Mbulawa, Z.Z.; Wilkin, T.J.; Goeieman, B.; Swarts, A.; Williams, S.; Levin, S.; Faesen, M.; Smith, J.S.; Chibwesha, C.J.; Williamson, A.-L.; et al. Xpert human papillomavirus test is a promising cervical cancer screening test for HIV-seropositive women. Papillomavirus Res. 2016, 2, 56–60. [Google Scholar] [CrossRef] [PubMed]
- Papasavvas, E.; Surrey, L.F.; Glencross, D.K.; Azzoni, L.; Joseph, J.; Omar, T.; Feldman, M.D.; Williamson, A.-L.; Siminya, M.; Swarts, A.; et al. High-risk oncogenic HPV genotype infection associates with increased immune activation and T cell exhaustion in ART-suppressed HIV-1-infected women. OncoImmunology 2016, 5, e1128612. [Google Scholar] [CrossRef] [PubMed]
- Segondy, M.; Kelly, H.; Magooa, M.P.; Djigma, F.; Ngou, J.; Gilham, C.; Omar, T.; Goumbri-Lompo, O.; Michelow, P.; Doutre, S.; et al. Performance of careHPV for detecting high-grade cervical intraepithelial neoplasia among women living with HIV-1 in Burkina Faso and South Africa: HARP study. Br. J. Cancer 2016, 115, 425–430. [Google Scholar] [CrossRef]
- van Aardt, M.C.; Dreyer, G.; Snyman, L.C.; Richter, K.L.; Becker, P.; Mojaki, S.M. Oncogenic and incidental HPV types associated with histologically confirmed cervical intraepithelial neoplasia in HIV-positive and HIV-negative South African women. S. Afr. Med. J. 2016, 106, 617. [Google Scholar] [CrossRef] [PubMed]
- Goeieman, B.J.M.; Firnhaber, C.S.; Jong, E.; Michelow, P.M.; Kegorilwe, P.; Swarts, A.B.; Williamson, A.-L.; Allan, B.M.; Smith, J.S.; Wilkin, T.J. Prevalence of anal HPV and anal dysplasia in HIV-infected women from Johannesburg, South Africa. JAIDS J. Acquir. Immune Defic. Syndr. 2017, 75, e59–e64. [Google Scholar] [CrossRef]
- Kelly, H.A.; Ngou, J.; Chikandiwa, A.; Sawadogo, B.; Gilham, C.; Omar, T.; Lompo, O.; Doutre, S.; Meda, N.; Weiss, H.A.; et al. Associations of Human Papillomavirus (HPV) genotypes with high-grade cervical neoplasia (CIN2+) in a cohort of women living with HIV in Burkina Faso and South Africa. PLoS ONE 2017, 12, e0174117. [Google Scholar] [CrossRef]
- Kelly, H.A.; Sawadogo, B.; Chikandiwa, A.; Segondy, M.; Gilham, C.; Lompo, O.; Omar, T.; Didelot, M.-N.; Nagot, N.; Meda, N.; et al. Epidemiology of high-risk human papillomavirus and cervical lesions in African women living with HIV/AIDS: Effect of anti-retroviral therapy. AIDS 2017, 31, 273–285. [Google Scholar] [CrossRef]
- Mbatha, J.N.; Taylor, M.; Kleppa, E.; Lillebo, K.; Galapaththi-Arachchige, H.N.; Singh, D.; Kjetland, E.F.; Baay, M.F.D.; Mkhize-Kwitshana, Z.L. High-risk human papillomavirus types in HIV-infected and HIV-uninfected young women in KwaZulu-Natal, South Africa: Implications for vaccination. Infect. Dis. 2017, 49, 601–608. [Google Scholar] [CrossRef]
- Mbatha, J.N.; Galappaththi-Arachchige, H.N.; Mtshali, A.; Taylor, M.; Ndhlovu, P.D.; Kjetland, E.F.; Baay, M.F.D.; Mkhize-Kwitshana, Z.L. Self-sampling for human papillomavirus testing among rural young women of KwaZulu-Natal, South Africa. BMC Res. Notes 2017, 10, 702. [Google Scholar] [CrossRef]
- Mbulawa, Z.Z.A.; Wilkin, T.; Goeieman, B.J.; Jong, E.; Michelow, P.; Swarts, A.; Smith, J.S.; Kegorilwe, P.; Firnhaber, C.S.; Williamson, A.-L. Prevalence of Anal Human Papillomavirus (HPV) and Performance of Cepheid Xpert and Hybrid Capture 2 (hc2) HPV Assays in South African HIV-Infected Women. Am. J. Clin. Pathol. 2017, 148, 148–153. [Google Scholar] [CrossRef] [PubMed]
- Rad, A.M.; Sørbye, S.W.; Dreyer, G.; Hovland, S.M.; Falang, B.M.B.; Louw, M.; Skjeldestad, F.E. HPV types in cervical cancer tissue in South Africa A head-to-head comparison by mRNA and DNA tests. Medicine 2017, 96, e8752. [Google Scholar] [CrossRef] [PubMed]
- Barnabas, S.L.; Dabee, S.; Passmore, J.-A.S.; Jaspan, H.B.; Lewis, D.A.; Jaumdally, S.Z.; Gamieldien, H.; Masson, L.; Muller, E.; Maseko, V.D.; et al. Converging epidemics of sexually transmitted infections and bacterial vaginosis in southern African female adolescents at risk of HIV. Int. J. STD AIDS 2017, 29, 531–539. [Google Scholar] [CrossRef]
- Chikandiwa, A.; Kelly, H.; Sawadogo, B.; Ngou, J.; Pisa, P.T.; Gibson, L.; Didelot, M.-N.; Meda, N.; Weiss, H.A.; Segondy, M.; et al. Prevalence, incidence and correlates of low risk HPV infection and anogenital warts in a cohort of women living with HIV in Burkina Faso and South Africa. PLoS ONE 2018, 13, e0196018. [Google Scholar] [CrossRef] [PubMed]
- Kelly, H.; Faust, H.; Chikandiwa, A.; Ngou, J.; Weiss, H.A.; Segondy, M.; Dillner, J.; Delany-Moretlwe, S.; Mayaud, P. Human papillomavirus serology among women living with HIV: Type-Specific seroprevalence, seroconversion, and risk of cervical reinfection. J. Infect. Dis. 2018, 218, 927–936. [Google Scholar] [CrossRef]
- Kremer, W.W.; Van Zummeren, M.; Heideman, D.A.M.; Lissenberg-Witte, B.I.; Snijders, P.J.F.; Steenbergen, R.D.M.; Dreyer, G.; Meijer, C.J.L.M. HPV16-related cervical cancers and precancers have increased levels of host cell DNA methylation in women living with HIV. Int. J. Mol. Sci. 2018, 19, 3297. [Google Scholar] [CrossRef]
- Mbulawa, Z.Z.A.; van Schalkwyk, C.; Hu, N.-C.; Meiring, T.L.; Barnabas, S.; Dabee, S.; Jaspan, H.; Kriek, J.-M.; Jaumdally, S.Z.; Muller, E.; et al. High human papillomavirus (HPV) prevalence in South African adolescents and young women encourages expanded HPV vaccination campaigns. PLoS ONE 2018, 13, e0190166. [Google Scholar] [CrossRef] [PubMed]
- Liebenberg, L.J.P.; McKinnon, L.R.; Yende-Zuma, N.; Garrett, N.; Baxter, C.; Kharsany, A.B.M.; Archary, D.; Rositch, A.; Samsunder, N.; Mansoor, L.E.; et al. HPV infection and the genital cytokine milieu in women at high risk of HIV acquisition. Nat. Commun. 2019, 10, 5227. [Google Scholar] [CrossRef]
- Onywera, H.; Williamson, A.-L.; Mbulawa, Z.Z.; Coetzee, D.; Meiring, T.L. The cervical microbiota in reproductive-age South African women with and without human papillomavirus infection. Papillomavirus Res. 2019, 7, 154–163. [Google Scholar] [CrossRef]
- Papasavvas, E.; Kossenkov, A.V.; Azzoni, L.; Zetola, N.M.; Mackiewicz, A.; Ross, B.N.; Fair, M.; Vadrevu, S.; Ramogola-Masire, D.; Sanne, I.; et al. Gene expression profiling informs HPV cervical histopathology but not recurrence/relapse after LEEP in ART-suppressed HIV+ HPV+ women. Carcinogenesis 2019, 40, 225–233. [Google Scholar] [CrossRef]
- Chambuso, R.; Ramesar, R.; Kaambo, E.; Murahwa, A.T.; Abdallah, M.O.; De Sousa, M.M.; Denny, L.; Williamson, A.-L.; Gray, C.M. Age, absolute CD4 count, and CD4 percentage in relation to HPV infection and the stage of cervical disease in HIV-1-positive women. Medicine (United States). Medicine 2020, 99, e19273. [Google Scholar] [CrossRef]
- Johnson, L.G.; Saidu, R.; Mbulawa, Z.; Williamson, A.; Boa, R.; Tergas, A.; Moodley, J.; Persing, D.; Campbell, S.; Tsai, W.; et al. Selecting human papillomavirus genotypes to optimize the performance of screening tests among South African women. Cancer Med. 2020, 9, 6813–6824. [Google Scholar] [CrossRef] [PubMed]
- Kuhn, L.; Saidu, R.; Denny, L. Assessing the diagnostic value of Xpert HPV—Authors’ reply. Lancet Glob. Health 2020, 8, e998. [Google Scholar] [CrossRef] [PubMed]
- Taku, O.; Businge, C.B.; Mdaka, M.L.; Phohlo, K.; Basera, W.; Garcia-Jardon, M.; Meiring, T.L.; Gyllensten, U.; Williamson, A.-L.; Mbulawa, Z.Z. Human papillomavirus prevalence and risk factors among HIV-negative and HIV-positive women residing in rural Eastern Cape, South Africa. Int. J. Infect. Dis. 2020, 95, 176–182. [Google Scholar] [CrossRef]
- Taku, O.; Meiring, T.L.; Gustavsson, I.; Phohlo, K.; Garcia-Jardon, M.; Mbulawa, Z.Z.A.; Businge, C.B.; Gyllensten, U.; Williamson, A.-L. Acceptability of self- collection for human papillomavirus detection in the Eastern Cape, South Africa. PLoS ONE 2020, 15, e0241781. [Google Scholar] [CrossRef]
- van de Wijgert, J.H.; Gill, A.C.; Chikandiwa, A.; Verwijs, M.C.; Kelly, H.A.; Omar, T.; Delany-Moretlwe, S.; Segondy, M.; Francis, S.; Darby, A.C.; et al. Human papillomavirus infection and cervical dysplasia in HIV-positive women: Potential role of the vaginal microbiota. AIDS 2020, 34, 115–125. [Google Scholar] [CrossRef]
- Wood, N.H.; Makua, K.S.; Lebelo, R.L.; Redzic, N.; Benoy, I.; Vanderveken, O.M.; Bogers, J. Human Papillomavirus Prevalence in Oral and Oropharyngeal Rinse and Gargle Specimens of Dental Patients and of an HIV-Positive Cohort from Pretoria, South Africa. Adv. Virol. 2020, 2020, 2395219. [Google Scholar] [CrossRef]
- Kelly, H.A.; Chikandiwa, A.; Sawadogo, B.; Gilham, C.; Michelow, P.; Lompo, O.G.; Omar, T.; Zan, S.; Magooa, P.; Segondy, M.; et al. Diagnostic accuracy of cervical cancer screening and screening–triage strategies among women living with HIV-1 in Burkina Faso and South Africa: A cohort study. PLOS Med. 2021, 18, e1003528. [Google Scholar] [CrossRef] [PubMed]
- Onywera, H.; Anejo-Okopi, J.; Mwapagha, L.M.; Okendo, J.; Williamson, A.-L. Predictive functional analysis reveals inferred features unique to cervicovaginal microbiota of African women with bacterial vaginosis and high-risk human papillomavirus infection. PLoS ONE 2021, 16, e0253218. [Google Scholar] [CrossRef]
- Saidu, R.; Kuhn, L.; Tergas, A.; Boa, R.; Moodley, J.; Svanholm-Barrie, C.; Persing, D.; Campbell, S.; Tsai, W.-Y.; Wright, T.C.; et al. Performance of Xpert HPV on Self-collected Vaginal Samples for Cervical Cancer Screening among Women in South Africa. J. Low. Genit. Tract Dis. 2020, 25, 15–21. [Google Scholar] [CrossRef]
- Taku, O.; Brink, A.; Meiring, T.L.; Phohlo, K.; Businge, C.B.; Mbulawa, Z.Z.; Williamson, A.-L. Detection of sexually transmitted pathogens and co-infection with human papillomavirus in women residing in rural Eastern Cape, South Africa. PeerJ 2021, 9, e10793. [Google Scholar] [CrossRef] [PubMed]
- Taku, O.; Mbulawa, Z.Z.A.; Phohlo, K.; Garcia-Jardon, M.; Businge, C.B.; Williamson, A.-L. Distribution of human papillomavirus (Hpv) genotypes in hiv-negative and hiv-positive women with cervical intraepithelial lesions in the eastern cape province, south africa. Viruses 2021, 13, 280. [Google Scholar] [CrossRef] [PubMed]
- Tiiti, T.A.; Mashishi, T.L.; Nkwinika, V.V.; Benoy, I.; Selabe, S.G.; Bogers, J.; Lebelo, R.L. High-risk human papillomavirus detection in self-collected vaginal samples compared with healthcare worker collected cervical samples among women attending gynecology clinics at a tertiary hospital in Pretoria, South Africa. Virol. J. 2021, 18, 192. [Google Scholar] [CrossRef] [PubMed]
- Tiiti, T.A.; Mashishi, T.L.; Nkwinika, V.V.; Molefi, K.A.; Benoy, I.; Bogers, J.; Selabe, S.G.; Lebelo, R.L. Evaluation of ILEX SelfCerv for Detection of High-Risk Human Papillomavirus Infection in Gynecology Clinic Attendees at a Tertiary Hospital in South Africa. J. Clin. Med. 2021, 10, 4817. [Google Scholar] [CrossRef] [PubMed]
- Naidoo, K.; Abbai, N.; Tinarwo, P.; Sebitloane, M. BV associated bacteria specifically BVAB 1 and BVAB 3 as biomarkers for HPV risk and progression of cervical neoplasia. Infect. Dis. Obstet. Gynecol. 2022, 2022, 9562937. [Google Scholar] [CrossRef]
- Onywera, H.; Mabunda, S.A.; Williamson, A.-L.; Mbulawa, Z.Z.A. Microbiological and behavioral determinants of genital HPV infections among adolescent girls and young women warrant the need for targeted policy interventions to reduce HPV risk. Front. Reprod. Health 2022, 4, 887736. [Google Scholar] [CrossRef]
- Tiiti, T.A.; Selabe, S.G.; Bogers, J.; Lebelo, R.L. High prevalence of and factors associated with human papillomavirus infection among women attending a tertiary hospital in Gauteng Province, South Africa. BMC Cancer 2022, 22, 854. [Google Scholar] [CrossRef]
- Botha, M.H.; Van der Merwe, F.H.; Snyman, L.C.; Dreyer, G.J.; Visser, C.; Dreyer, G. Utility of Extended HPV Genotyping as Primary Cervical Screen in an Unscreened Population With High HIV Co-Infection Rate. J. Low. Genit. Tract Dis. 2023, 27, 212–216. [Google Scholar]
- Denny, L.; Saidu, R.; Boa, R.; Mbatani, N.; Castor, D.; Moodley, J.; Kuhn, L. Point-of-care testing with Xpert HPV for single-visit, screen-and-treat for cervical cancer prevention: A demonstration study in South Africa. Sci. Rep. 2023, 13, 16182. [Google Scholar] [CrossRef]
- Happel, A.-U.; Balle, C.; Havyarimana, E.; Brown, B.; Maust, B.S.; Feng, C.; Yi, B.H.; Gill, K.; Bekker, L.-G.; Passmore, J.-A.S.; et al. Cervicovaginal Human Papillomavirus Genomes, Microbiota Composition and Cytokine Concentrations in South African Adolescents. Viruses 2023, 15, 758. [Google Scholar] [CrossRef] [PubMed]
- Maroga, N.; Mokoena, T.; Ledibane, N.; Musekiwa, A.; Bida, M.; Kgomo, M.; Lebelo, R. Profile of human papillomavirus genotypes in breast and oesophageal cancer patients in Pretoria, South Africa. S. Afr. Med. J. 2023, 113, 1283–1288. [Google Scholar] [CrossRef]
- Snyman, L.C.; Richter, K.L.; Lukhwareni, A.; Dreyer, G.; Botha, M.H.; Van Der Merwe, F.H.; Visser, C.; Dreyer, G. Cytology compared with Hybrid Capture 2 human papilloma virus cervical cancer screening in HIV positive and HIV negative South African women. Int. J. Gynecol. Cancer 2023, 33, 669–675. [Google Scholar] [CrossRef]
- Sørbye, S.W.; Falang, B.M.; Botha, M.H.; Snyman, L.C.; van der Merwe, H.; Visser, C.; Richter, K.; Dreyer, G. Enhancing Cervical Cancer Prevention in South African Women: Primary HPV mRNA Screening with Different Genotype Combinations. Cancers 2023, 15, 5453. [Google Scholar] [CrossRef] [PubMed]
- Vink, F.J.; Meijer, C.J.L.M.; Lissenberg-Witte, B.I.; Visser, C.; Duin, S.; Snyman, L.C.; Richter, K.L.; van der Merwe, F.H.; Botha, M.H.; Steenbergen, R.D.M.; et al. Validation of ASCL1 and LHX8 Methylation Analysis as Primary Cervical Cancer Screening Strategy in South African Women with Human Immunodeficiency Virus. Clin. Infect. Dis. 2023, 76, 416–423. [Google Scholar] [CrossRef] [PubMed]
- Qulu, W.; Mtshali, A.; Osman, F.; Ndlela, N.; Ntuli, L.; Mzobe, G.; Naicker, N.; Garrett, N.; Rompalo, A.; Mindel, A.; et al. High-risk human papillomavirus prevalence among South African women diagnosed with other STIs and BV. PLoS ONE 2023, 18, e0294698. [Google Scholar] [CrossRef]
- Downham, L.; Rol, M.L.; Forestier, M.; Romero, P.; Mendoza, L.; Mongelos, P.; Picconi, M.A.; Colucci, M.C.; Padin, V.M.; Flores, A.P.; et al. Field experience with the 8-HPV-type oncoprotein test for cervical cancer screening among HPV-positive women living with and without HIV in LMICs. Int. J. Cancer 2024, 155, 816–827. [Google Scholar] [CrossRef]
- Harbor, S.N.; Schneider, J.W.; Solomons, N.; Sanderson, M.; Afrogheh, A.H. An Evaluation of High-Risk HPV in Squamous Cell Carcinomas of the Lip in a South African Cohort. Head Neck Pathol. 2024, 18, 36. [Google Scholar] [CrossRef]
- Maueia, C.; Carulei, O.; Murahwa, A.T.; Taku, O.; Manjate, A.; Mussá, T.; Williamson, A.-L. Identification of HPV16 Lineages in South African and Mozambican Women with Normal and Abnormal Cervical Cytology. Viruses 2024, 16, 1314. [Google Scholar] [CrossRef]
- Sebitloane, H.M.; Forestier, M.; Ginindza, T.G.; Dhlomo, W.; Moodley-Govender, E.; Darragh, T.M.; Baena, A.; Herrero, R.; Almonte, M.; Broutet, N.; et al. Cervical cancer screening and treatment algorithms using human papillomavirus testing—Lessons learnt from a South African pilot randomized controlled trial. Cancer Epidemiol. Biomark. Prev. 2024, 33, 779–787. [Google Scholar] [CrossRef]
- Ogembo, R.K.; Gona, P.N.; Seymour, A.J.; Park, H.S.-M.; Bain, P.A.; Maranda, L.; Ogembo, J.G. Prevalence of human papillomavirus genotypes among African women with normal cervical cytology and neoplasia: A systematic review and meta-analysis. PLoS ONE 2015, 10, e0122488. [Google Scholar] [CrossRef] [PubMed]
- Bouassa, R.-S.M.; Nodjikouambaye, Z.A.; Sadjoli, D.; Adawaye, C.; Péré, H.; Veyer, D.; Matta, M.; Robin, L.; Tonen-Wolyec, S.; Moussa, A.M.; et al. High prevalence of cervical high-risk human papillomavirus infection mostly covered by Gardasil-9 prophylactic vaccine in adult women living in N’Djamena, Chad. PLoS ONE 2019, 14, e0217486. [Google Scholar] [CrossRef]
- Tchouaket, M.C.T.; Ka’e, A.C.; Semengue, E.N.J.; Sosso, S.M.; Simo, R.K.; Yagai, B.; Nka, A.D.; Chenwi, C.A.; Abba, A.; Fainguem, N.; et al. Variability of High-Risk Human Papillomavirus and Associated Factors among Women in Sub-Saharan Africa: A Systematic Review and Meta-Analysis. Pathogens 2023, 12, 1032. [Google Scholar] [CrossRef] [PubMed]
- Fu, T.-C.J.; Hughes, J.P.; Feng, Q.; Hulbert, A.B.; Hawes, S.E.; Xi, L.F.; Schwartz, S.M.; Stern, J.E.; Koutsky, L.A.; Winer, R.L. Epidemiology of human papillomavirus detected in the oral cavity and fingernails of mid-adult women. Sex. Transm. Dis. 2015, 42, 677–685. [Google Scholar] [CrossRef] [PubMed]
- Liu, G.; Sharma, M.; Tan, N.; Barnabas, R.V. HIV-positive women have higher risk of human papilloma virus infection, precancerous lesions, and cervical cancer. AIDS 2018, 32, 795–808. [Google Scholar] [CrossRef]
- Gumbi, P.P.; Nkwanyana, N.N.; Bere, A.; Burgers, W.A.; Gray, C.M.; Williamson, A.-L.; Hoffman, M.; Coetzee, D.; Denny, L.; Passmore, J.-A.S. Impact of mucosal inflammation on cervical human immunodeficiency virus (HIV-1)-specific CD8 T-cell responses in the female genital tract during chronic HIV infection. J. Virol. 2008, 82, 8529–8536. [Google Scholar] [CrossRef]
- Nkwanyana, N.N.; Gumbi, P.P.; Roberts, L.; Denny, L.; Hanekom, W.; Soares, A.; Allan, B.; Williamson, A.; Coetzee, D.; Olivier, A.J.; et al. Impact of human immunodeficiency virus 1 infection and inflammation on the composition and yield of cervical mononuclear cells in the female genital tract. Immunology 2009, 128 (1pt2), e746–e757. [Google Scholar] [CrossRef] [PubMed]
- Olukomogbon, T.; Akpobome, B.; Omole, A.; ACCME Research Group; Adebamowo, C.A.; Adebamowo, S.N. Association Between Cervical Inflammatory Mediators and Prevalent Cervical Human Papillomavirus Infection. JCO Glob. Oncol. 2024, 10, e2300380. [Google Scholar] [CrossRef]
- Couper, K.N.; Blount, D.G.; Riley, E.M. IL-10: The master regulator of immunity to infection. J. Immunol. 2008, 180, 5771–5777. [Google Scholar] [CrossRef]
- Kemp, T.J.; Hildesheim, A.; García-Piñeres, A.; Williams, M.C.; Shearer, G.M.; Rodriguez, A.C.; Schiffman, M.; Burk, R.; Freer, E.; Bonilla, J.; et al. Elevated systemic levels of inflammatory cytokines in older women with persistent cervical human papillomavirus infection. Cancer Epidemiol. Biomark. Prev. 2010, 19, 1954–1959. [Google Scholar] [CrossRef] [PubMed]










| Author | Year | Province | Sample Period | Sample Type | HPV Detection Method | Setting |
|---|---|---|---|---|---|---|
| Williamson et al. [38] | 1989 | Western Cape | # N/A | Cervical | ^ SBH | Clinic |
| Cooper et al. [39] | 1991 | KwaZulu-Natal | 1998 to 1990 | Cervical | ð NISH | Hospital |
| Cooper et al. [40] | 1991 | KwaZulu-Natal | N/A | Cervical | NISH | Hospital |
| Johnson et al. [41] | 1991 | N/A | N/A | Cervical | SBH | N/A |
| Padayachee et al. [42] | 1991 | N/A | N/A | Oral | $ ISH | N/A |
| Cooper et al. [43] | 1992 | KwaZulu-Natal | 1988 | Cervical | NISH | Hospital |
| Padayachee et al. [44] | 1993 | Western Cape | 1982 to 1988 | Laryngeal | ISH | Hospital |
| Williamson et al. [45] | 1994 | Western Cape | N/A | Cervical | SBH | Clinic |
| Wright et al. [46] | 1995 | Gauteng | 1991 to 1993 | Vaginal | NISH | Clinic |
| Grayson et al. [47] | 1996 | N/A | 1974 to 1995 | Cervical | NISH | N/A |
| Ramesar et al. [48] | 1996 | Western Cape | N/A | Cervical | SBH | Clinic and private practices |
| Chetty et al. [49] | 1997 | N/A | N/A | Cervical | * PCR | N/A |
| Denny et al. [50] | 2000 | Western Cape | 1996 | Cervical | α HCII | Clinic |
| Kuhn et al. [51] | 2000 | Western Cape | N/A | Cervical | HCII | Clinic |
| Wright et al. [52] | 2000 | Western Cape | 1998 to 1999 | Vaginal | HCII | Clinic |
| Kay et al. [53] | 2002 | Western Cape | 1997 | Oral | Nested PCR | Clinic |
| Passmore et al. [54] | 2002 | Western Cape | N/A | Cervical | PCR | Clinic |
| Kay et al. [55] | 2003 | Western Cape | 1993 to 1997 | Cervical | & RFLP | Hospital |
| Kay et al. [56] | 2005 | Western Cape | 1998 to 2001 | Cervical and blood | Nested PCR | Urban and peri-urban areas |
| Allan et al. [57] | 2006 | Western Cape | 1998 to 2001 | Cervical | HCII | Hospitals and community health services |
| Boy et al. [58] | 2006 | Gauteng | 1998 to 2003 | Oral | € RT-PCR | Departments of Anatomical and Oral Pathology |
| Passmore et al. [59] | 2006 | Western Cape | N/A | Cervical | ∞ RLA | Clinic |
| Jones et al. [60] | 2007 | Western Cape | 2002 | Cervical | HCII | Community Health centre |
| Passmore et al. [61] | 2007 | Western Cape | N/A | Cervical and oral | HCII | Clinic |
| Allan et al. [62] | 2008 | Western Cape | 1999 to 2001 | Cervical | RLA | Hospitals and community health services |
| Denny et al. [63] | 2008 | KwaZulu-Natal | 2002 to 2003 | Cervical | HCII | Clinics |
| Marais et al. [64] | 2008 | Western Cape | N/A | Cervical and oral | RLA | Clinic |
| Marais et al. [65] | 2008 | Western Cape | N/A | Cervical | ° RLB | Clinic |
| Richter et al. [66] | 2008 | Gauteng | N/A | Cervical and oral | RLA | Hospitals and clinics |
| Firnhaber et al. [67] | 2009 | Gauteng | N/A | Cervical | RLA | Clinic |
| Mbulawa et al. [68] | 2009 | Western Cape | 2006 to 2009 | Cervical | RLA | Investigations of genital HPV transmission |
| Moodley et al. [69] | 2009 | Western Cape | 2007 | Cervical | RLA | Clinic |
| Said et al. [70] | 2009 | Gauteng | N/A | Cervical | RLA | Participating in a phase III microbicide study |
| Denny et al. [71] | 2010 | Western Cape | 2000 to 2002 | Cervical | HCII | community outreach |
| Firnhaber et al. [72] | 2010 | Gauteng | N/A | Cervical | RLA | Clinic |
| Kuhn et al. [73] | 2010 | Western Cape | 2000 to 2002 | Cervical | HCII | Clinics |
| Mbulawa et al. [74] | 2010 | Western Cape | 2006 and 2009 | Cervical | RLA | Investigations of genital HPV transmission |
| Moodley et al. [75] | 2010 | KwaZulu-Natal | N/A | Cervical | RLA | Clinics |
| Taylor et al. [76] | 2010 | Western Cape | 2000 to 2002 | Cervical | HCII | Community education and outreach activities |
| Auvert et al. [77] | 2011 | KwaZulu-Natal | 1996 to 2000 | Vaginal | RLA | Multicentre |
| Firnhaber et al. [78] | 2011 | N/A | N/A | Cervical | ¥ HPV-4cLIA | Clinics |
| Taylor et al. [79] | 2011 | Western Cape | 2000 to 2002 | Cervical | HCII | Clinical trial |
| Wang et al. [80] | 2011 | Western Cape | 2000 to 2002 | Cervical | RLA and HCII | Cervical cancer prevention trial |
| De Vuyst et al. [81] | 2012 | KwaZulu-Natal | 2007 to 2009 | Cervical | Δ EIA | Hospital |
| Dols et al. [82] | 2012 | Limpopo | 2008 | Cervical | ʓ SPF10 PCR-DEIA-LiPA25 | Centre |
| Mbulawa et al. [83] | 2012 | Western Cape | 2006 to 2009 | Cervical | RLA | Centre |
| McDonald et al. [84] | 2012 | Western Cape | 1998 to 1999 | Cervical | HCII | Clinics |
| Meiring et al. [85] | 2012 | Western Cape | N/A | Cervical | Illumina sequencing | Clinic |
| Bere et al. [86] | 2013 | Western Cape | N/A | Genital wart | HPV genotyping | Clinic |
| Ngou et al. [87] | 2013 | Gauteng | 2011 to 2012 | Cervical | HCII | Clinic |
| Richter et al. [88] | 2013 | Gauteng | 2009 to 2011 | Cervical | RealTime | Clinics |
| Vogt et al. [89] | 2013 | Gauteng | 2011 | Cervical and oral | © IBH | Centre |
| Adler et al. [90] | 2014 | Western Cape | 2012 to 2014 | Vaginal | RLA | Centre |
| Ameur et al. [91] | 2014 | Western Cape | 2006 to 2009 | Cervical | RLA | Centre |
| Denny et al. [92] | 2014 | N/A | 2007 to 2010 | Cervical | SPF10 PCR-DEIA-LiPA25 | N/A |
| Mbulawa et al. [12] | 2014 | Western Cape | 2006 to 2009 | Cervical and oral | RLA | Centre |
| McDonald et al. [93] | 2014 | Western Cape | 2000 to 2002 | Cervical | Hybrid Capture II test | Three clinical sites |
| Adamson et al. [94] | 2015 | Gauteng | 2014 | Cervical | Aptima HPV assay | Clinic |
| Adler et al. [95] | 2015 | Western Cape | 2012 to 2014 | Vaginal | RLA | Centre |
| Lebelo et al. [96] | 2015 | Gauteng | 2008 to 2009 | Cervical | TaqMan-based quantitative qPCR | Hospital |
| Mbulawa et al. [97] | 2015 | Western Cape | 2006 to 2009 | Cervical | RLA | Centre |
| Ngou et al. [98] | 2015 | Gauteng | 2011 to 2012 | Cervical | A INNO-LiPA | Clinic |
| Tayib et al. [99] | 2015 | Western Cape | 2010 | Cervical | RLA | Clinic |
| van Aardt et al. [100] | 2015 | Gauteng | 2003 to 2011 | Cervical | RLA | Referred for staging and treatment of histologically confirmed invasive cervical cancer |
| Zeier et al. [101] | 2015 | Western Cape | 2009 to2011 | Cervical | RLA | ≠ cART naïve HIV infected women |
| Adler et al. [102] | 2016 | Western Cape | October 2013 & March 2015 | Vaginal | RLA | Youth community centre |
| Ebrahim et al. [103] | 2016 | KwaZulu-Natal | 2004 to 2007 | Vaginal | RLA | Primary health care Clinics |
| Firnhaber et al. [104] | 2016 | Gauteng | March 2010 to August 2013 | Cervical | HCII | HIV treatment clinic |
| Kriek et al. [105] | 2016 | Western Cape | N/A | Cervical | RLA | Centre |
| Mbatani et al. [106] | 2016 | Western Cape | N/A | Cervical | RLA | Women diagnosed with invasive cervical cancer |
| Mbulawa et al. [107] | 2016 | Gauteng | 2009 to 2011 | Cervical | GeneXpert HPV | Clinic |
| Papasavvas et al. [108] | 2016 | Gauteng | N/A | Cervical | RLA | Hospital |
| Segondy et al. [109] | 2016 | Gauteng | 2011 and 2012 | Cervical | INNO-LiPA | Centres and clinics |
| van Aardt et al. [110] | 2016 | Gauteng | 2010 to 2013 | Cervical | RLA | Public healthcare facilities |
| Goeieman et al. [111] | 2017 | Gauteng | N/A | Anal | HCII | Hospital |
| Kelly et al. [112] | 2017 | Gauteng | 2011 to 2012 | Cervical | INNO-LiPA | HIV treatment centres |
| Kelly et al. [113] | 2017 | Gauteng | 2011 to 2012 | Cervical | INNO-LiPA | HIV treatment centres |
| Mbatha et al. [114] | 2017 | KwaZulu-Natal | 2010 and 2013 | Vaginal | EIA | Schools in two rural areas |
| Mbatha et al. [115] | 2017 | KwaZulu-Natal | 2010 and 2013 | Vaginal | EIA | Clinical study |
| Mbulawa et al. [116] | 2017 | Gauteng | 2012 to 2014 | Anal | HCII | Hospital |
| Rad et al. [117] | 2017 | Gauteng | 2008 to 2011 | Cervical | RLB | Institute of Community Medicine (ISM) and Department of Clinical Pathology |
| Barnabas et al. [118] | 2018 | Gauteng and Western Cape | N/A | Cervical | RLA | N/A |
| Chikandiwa et al. [119] | 2018 | Gauteng | 2011 and October 2012 | Cervical | INNO-LiPA | Centres and communities |
| Kelly et al. [120] | 2018 | Gauteng | 2011 to 2012 | Cervical | INNO-LiPA | Centres and communities |
| Kremer et al. [121] | 2018 | Gauteng | 2013 and 2015 | Cervical | ∨ GP5+/6+ PCR enzyme immunoassay | Women with istologically confirmed stages of cervical disease |
| Mbulawa et al. [122] | 2018 | Gauteng | 2013 and 2014 | Cervical | RLA | Communities and community outreach programs |
| Liebenberg et al. [123] | 2019 | KwaZulu-Natal | N/A | Cervical | RLA | Rural and urban areas |
| Onywera et al. [124] | 2019 | Western Cape | N/A | Cervical | RLA | Gugulethu |
| Papasavvas et al. [125] | 2019 | Gauteng | N/A | Cervical | RLA | ™ ART-treated HIV + HPV + coinfected women |
| Chambuso et al. [126] | 2020 | Western Cape | 2016 and 2017 | Cervical | RLA | Clinic and Hospitals |
| Johnson et al. [127] | 2020 | Western Cape | N/A | Cervical | GeneXpert HPV | Clinic |
| Kuhn et al. [128] | 2020 | Western Cape | 2016 and 2016 | Cervical | RLA | Community outreach and clinic |
| Taku et al. [129] | 2020 | Eastern Cape | 2017 to 2019 | Cervical | HCII | Clinics |
| Taku et al. [130] | 2020 | Eastern Cape | 2017 to 2018 | Cervical | HCII | Community health clinic |
| van de Wijgert et al. [131] | 2020 | Gauteng | 2011 and 2012 | Cervical | INNO-LiPA | Centres and communities |
| Wood et al. [132] | 2020 | Gauteng | N/A | Oral | Abbott RealTime | Centre and clinic |
| Kelly et al. [133] | 2021 | Gauteng | 2011 to 2012 | Cervical | INNO-LiPA | ART initiation site |
| Mbulawa et al. [22] | 2021 | Eastern Cape | 2019 | Vaginal | RLA | HPV education intervention |
| Onywera et al. [134] | 2021 | Western Cape | N/A | Cervical | RLA | HPV Couples Cohort |
| Saidu et al. [135] | 2021 | Western Cape | N/A | Cervical | GeneXpert HPV | Screening population and screening population |
| Taku et al. [136] | 2021 | Eastern Cape | 2017 to 2018 | Cervical | HCII | Community health clinic and the referral clinic |
| Taku et al. [137] | 2021 | Eastern Cape | 2017 to 2019 | Cervical | HPV direct-flow chip | Clinic |
| Tiiti et al. [138] | 2021 | Gauteng | 2016 to 2018 | Cervical | Abbott RealTime | Hospital |
| Tiiti et al. [139] | 2021 | Gauteng | 2016 and 2018 | Cervical | Abbott Realtime | Hospital |
| Mbulawa et al. [19] | 2022 | Eastern Cape | 2018 to 2020 | Cervical | RLA | Hospital |
| Naidoo et al. [140] | 2022 | KwaZulu-Natal | 2019 to 2020 | Cervical | GeneXpert HPV | Clinics |
| Onywera et al. [141] | 2022 | Eastern Cape | 2019 | Cervical | RLA | Schools |
| Tiiti et al. [142] | 2022 | Gauteng | 2016 to 2018 | Cervical | Abbott Realtime | Clinics |
| Botha et al. [143] | 2023 | N/A | N/A | Cervical | Onclarity assay | Metropolitan areas |
| Denny et al. [144] | 2023 | Western Cape | 2017 to 2018 | Cervical | GeneXpert HPV | Clinic |
| Happel et al. [145] | 2023 | Western Cape | 2015 to 2017 | Cervical | Shotgun DNA sequencing of purified virions | Youth centre |
| Maroga et al. [146] | 2023 | Gauteng | 2015 to 2019 | Breast tissue | RLA | Hospital |
| Snyman et al. [147] | 2023 | Gauteng | N/A | Cervical | HCII | Clinics and Hospital |
| Sørbye et al. [148] | 2023 | Gauteng and Western Cape | 2016 to 2020 | Cervical | Pre-Tect HPV-Proofer’7 | Clinics |
| Vink et al. [149] | 2023 | Gauteng | 2016 to 2020 | Cervical | Cobas 4800 HPV test | Clinics |
| Qulu et al. [150] | 2023 | KwaZulu-Natal | 2016 to 2017 | Vaginal | RLA | Clinic |
| Downham et al. [151] | 2024 | KwaZulu-Natal | 2019 to 2023 | Cervical | HPV DNA Test | Centre |
| Habour et al. [152] | 2024 | Western Cape | 2009 to 2019 | Oral | HybriSpot HPV Direct Flow Chip | Hospital |
| Maueia et al. [153] | 2024 | Gauteng | 2018 to 2019 | Cervical | HybriSpot HPV Direct Flow Chip | Clinic |
| Sebitloane et al. [154] | 2024 | KwaZulu-Natal | 2019 | Vaginal | GeneXpert HPV | Clinic |
Disclaimer/Publisher’s Note: The statements, opinions and data contained in all publications are solely those of the individual author(s) and contributor(s) and not of MDPI and/or the editor(s). MDPI and/or the editor(s) disclaim responsibility for any injury to people or property resulting from any ideas, methods, instructions or products referred to in the content. |
© 2024 by the authors. Licensee MDPI, Basel, Switzerland. This article is an open access article distributed under the terms and conditions of the Creative Commons Attribution (CC BY) license (https://creativecommons.org/licenses/by/4.0/).
Share and Cite
Maswanganye, C.K.; Mkhize, P.P.; Matume, N.D. Mapping the HPV Landscape in South African Women: A Systematic Review and Meta-Analysis of Viral Genotypes, Microbiota, and Immune Signals. Viruses 2024, 16, 1893. https://doi.org/10.3390/v16121893
Maswanganye CK, Mkhize PP, Matume ND. Mapping the HPV Landscape in South African Women: A Systematic Review and Meta-Analysis of Viral Genotypes, Microbiota, and Immune Signals. Viruses. 2024; 16(12):1893. https://doi.org/10.3390/v16121893
Chicago/Turabian StyleMaswanganye, Carol K., Pamela P. Mkhize, and Nontokozo D. Matume. 2024. "Mapping the HPV Landscape in South African Women: A Systematic Review and Meta-Analysis of Viral Genotypes, Microbiota, and Immune Signals" Viruses 16, no. 12: 1893. https://doi.org/10.3390/v16121893
APA StyleMaswanganye, C. K., Mkhize, P. P., & Matume, N. D. (2024). Mapping the HPV Landscape in South African Women: A Systematic Review and Meta-Analysis of Viral Genotypes, Microbiota, and Immune Signals. Viruses, 16(12), 1893. https://doi.org/10.3390/v16121893

