Next Article in Journal
Trends and Applications of Principal Component Analysis in Forestry Research: A Literature and Bibliometric Review
Next Article in Special Issue
Modernizing Romanian Forest Management by Integrating Geographic Information System (GIS) for Smarter, Data-Informed Decision-Making
Previous Article in Journal
Implementation Potential of the SILVANUS Project Outcomes for Wildfire Resilience and Sustainable Forest Management in the Slovak Republic
Previous Article in Special Issue
GIS-Based Multi-Criteria Analysis for Urban Afforestation Planning in Semi-Arid Cities
 
 
Font Type:
Arial Georgia Verdana
Font Size:
Aa Aa Aa
Line Spacing:
Column Width:
Background:
Article

Early Response of Post-Fire Forest Treatments Across Four Iberian Ecoregions: Indicators to Maximize Its Effectiveness by Remote Sensing

by
Javier Pérez-Romero
1,2,*,
Manuel Esteban Lucas-Borja
3,4,
Demetrio Antonio Zema
5,
Rocío Soria
3,
Isabel Miralles
6,
Laura Blanco-Cano
1,
Cristina Fernández
7 and
Antonio D. del Campo García
1
1
Research Group in Forest Science and Technology (Re-ForeST), Departamento Ingeniería Hidráulica y Medio Ambiente, Universitat Politécnica de Valencia, Cami de Vera s/n, 46022 Valencia, Spain
2
Campus de Rabanales, Universidad de Córdoba, 14071 Córdoba, Spain
3
Department of Agroforestry Technology, Science and Genetics, School of Advanced Agricultural and Forestry Engineering, Campus Universitario s/n, Castilla-La Mancha University, 02071 Albacete, Spain
4
Campus Universitario s/n, Instituto Botánico, University of Castilla-La Mancha, 02071 Albacete, Spain
5
Department AGRARIA, Mediterranean University of Reggio Calabria, Località Feo di Vito, 89122 Reggio Calabria, Italy
6
Department of Agronomy & Center for Intensive Mediterranean Agrosystems and Agri-Food Biotechnology (CIAIMBITAL), University of Almeria, 04120 Almería, Spain
7
Misión Biológica de Galicia, Nacional Spanish Research Council (MBG-CSIC), Carballeira, 8. Salcedo, 36143 Pontevedra, Spain
*
Author to whom correspondence should be addressed.
Forests 2025, 16(7), 1154; https://doi.org/10.3390/f16071154
Submission received: 2 June 2025 / Revised: 7 July 2025 / Accepted: 10 July 2025 / Published: 12 July 2025

Abstract

Remote sensing techniques that use spectral indices (SIs) are essential for monitoring vegetation recovery after wildfires. However, there is a critical gap in the comparability of SI responses across ecoregions due to ecological variability. In this study, a meta-analysis was conducted to evaluate the capacity of different SIs (GCI, MSI, NBR, NDVI, NDII, and EVI2) to reflect the effect of post-wildfire emergency works on early recovery of vegetation in four Spanish ecoregions. It compared vegetation regrowth between treated and untreated sites, identifying the most sensitive SI for monitoring this recovery. All indices except EVI2 detected significantly better recovery in treated areas; among these, GCI was the most sensitive and NDII the least. The effect of treatment on recovery measured through SI is influenced by site covariates (fire severity, physiography, post-fire action period, post-fire climate, and edaphic characteristics). Finally, random mixed models showed that annual precipitation lower than 700 mm, diurnal temperature over 21 °C, soils with finer texture, and water content under 33% are quantitative limits of the treatment effectiveness on vegetation recovery. Overall, the study highlighted the importance of immediate interventions after fires, especially in the first six months, and advocated context-specific management strategies based on fire severity, ecoregion, soil properties, and climate to optimize vegetation recovery.

1. Introduction

Restoration and rehabilitation techniques are essential actions to support quick recovery in forest ecosystems affected by severe wildfires [1]. These post-fire measures are applied to limit the effects of runoff and erosion in severely burned areas [2]. There are many post-fire management techniques [3], and they often use vegetal residues (e.g., straw or woodchips), burned and felled trees, and other natural materials in the areas that are most prone to erosion. Besides their aim at reducing post-fire hydrological risk, these measures can also influence vegetation recovery. Previous studies have shown contrasting effectiveness of post-fire management techniques on vegetation recovery in wildfire-affected forests, from non-significant effects reported by some authors [4,5,6] to higher recovery rates compared to non-treated areas of other investigations [5,6,7,8,9].
Monitoring post-fire vegetation recovery is an essential task for forest managers and land planners to verify the effectiveness of the different actions after post-fire management on the forest ecosystem and to elaborate criteria for locating future post-fire emergency works in a specific ecoregion.
However, monitoring post-fire vegetation recovery in the field is delicate since it is generally expensive and time-consuming. Furthermore, the results of the monitoring studies are not comparable due to the use of different and non-standardised methods for data collection and processing [10,11]. Therefore, drawing useful indications from systematic data across different ecoregions is difficult. In contrast, the dynamics of vegetation recovery after forest fires can be efficiently and easily studied using remote sensing (RS) techniques and satellite imagery, such as Landsat images [12]. Spectral trajectories are a reliable proxy of vegetation recovery on variable temporal and spatial scales thanks to meaningful vegetation indices [13]. Detailed reviews [13,14] are available about sensors, methods, indices, and metrics. This has provided clear evidence of the potential usefulness and power of satellite imagery.
Several factors have been identified as crucial issues of RS for post-fire monitoring [13]. One concern is the temporal mismatch between ecological processes and RS information. Consistent connections might require variable time scales for different ecoregions [15], which suggests minimizing this mismatch. Other issues are the applicability of the spectral indices (SIs) proposed for monitoring post-fire vegetation [14,16]; heterogeneous plant communities with similar ground cover or Leaf Area Index (LAI) values can yield different values of the same index [17]. Several SIs have been proposed for monitoring post-fire vegetation recovery [13,18], such as NDVI-related indices, indices that include the short-wave infrared spectral (SWIR) domain, Normalized Burn Ratio (NBR), and Green Chlorophyll Index (GCI). However, the consistency of the spectral responses, even in the same index, can be negatively influenced by interferences between vegetation and other ground cover, according to fire severity, vegetation diversity and phenology, and topography [19]. For instance, communities of different vegetation may be interspersed with black-burned areas covered by charcoal and ashes [20,21]. This means that SIs detecting changes in vegetation cover after the fire and post-fire management techniques must show proper sensitivity in the treated areas. Despite their widespread use in a variety of climatic and geomorphological conditions, the results of many applications of RS techniques and SIs are often contradictory. Their applicability is also debated and therefore remains unclear [22,23]. This indicates a pressing need for more research to identify the most suitable SI for monitoring the effectiveness of post-fire management works for vegetation recovery in fire-affected forests. As of now, no meta-analysis at a regional scale has coped with the inherent differences among sites, fires, and treatments, which would give indications to support post-fire forest management.
To fill this gap, the present study aims to compare the effectiveness of post-wildfire emergency works on early vegetation recovery between treated and untreated soils in four ecoregions in Spain using a meta-analysis to identify key moderators and conditions for increasing earlier vegetation recovery. To achieve this general objective, different goals were pursued, including answering the following questions: Which SIs are more sensitive to detect the changes associated with vegetation recovery after the emergency works are performed? What types of moderators of different nature (ecoregion, soil properties, physiography, climate, and time elapsed from fire and treatment) influence the response of those SIs and what is their importance on the recovery process? Management implications stem from the four case studies of real-world projects carried out by different regional forestry administrations with a contrasting technical background.

2. Materials and Methods

2.1. Study Area

The contrasting Iberian “ecoregions” included in this study are Iberian sclerophyllous and semi-deciduous forests, Iberian conifer forests, Atlantic mixed forests, and Northeastern Spanish Mediterranean forests [24]. In each ecoregion, four fire events were monitored and post-fire management actions were undertaken as emergency works to protect soil from erosion without disturbing natural vegetation recovery: (i) in 2005, conifer forests, Cazorla (Jaén, Andalusia); (ii) in 2012, sclerophyllous forests, Hellín (Albacete, Castilla-La Mancha); (iii) in 2016, Atlantic forests, Arbo (Pontevedra, Galicia); and (iv) in 2018, Mediterranean forests, Lluxent (Valencia, Comunidad Valenciana) (Figure 1).

2.1.1. Cazorla (J_Ca)

This wildfire started after a lightning storm and was active from 7 to 11 August 2005, burning 5889 ha. The wildfire burned an Iberian conifer forest ecoregion in the surroundings of Tranco de Beas reservoir located in Sierras de Cazorla, Segura and Las Villas Natural Park (796 to 1532 m above sea level). The climate is Csa to Csb according to the Köppen–Geiger classification [25]. Summer is the warmest and driest season with heatwaves of over 40 °C (which favors wildfire occurrence) with an almost total absence of rain. In the other seasons, rainfall is unevenly distributed with an average annual value of 882 mm. The area is characterized by karstic processes and the soils are developed over limestones and dolomites. According to the Spanish map of potential vegetation (Rivas Martínez, 1987) [26], this area is covered by a supra-meso-Mediterranean series of Quercus faginea Lambert and Q. ilex L. The pre-fire cover was composed of Spanish black pine (Pinus nigra Arnold subsp. salzmannii (Dunal) Franco) at the higher elevations (>1000 m) and patches of pine reforestations—mainly with Aleppo pine (Pinus halepensis Mill.) and sometimes maritime pine (Pinus pinaster Ait.)—at lower altitudes (<1000 m above sea level). with native vegetation patches of Quercus ilex L. at both elevations. Understory vegetation consisted of shrub species, such as Quercus coccifera L., Juniperus oxycedrus L., Daphne gnidium L., Ulex parviflorus Pourr., Berberis hispanica Boiss. & Reut., Pistacia lentiscus L., Pistacia terebinthus L., and Salvia rosmarinus Spenn, among others.

2.1.2. Hellín (Al_He)

This fire took place between 1 and 6 July 2012, burning 6500 ha with a high rate of spread due to weather conditions and the high fuel load (90% of the area was burnt in the first seven hours after ignition). The burned area in the sclerophyllous forest ecoregion is in the Sierra Seca and Los Donceles in the municipality of Hellín (314 m and 808 m above sea level), although the fire also spread 1370 ha in the Sierra de Pajares and Cubillas (Moratalla, Region of Murcia). The climate is typical of cold semi-arid climate or steppe (BSk, according to Köppen–Geiger) with an average annual temperature of 15.9 °C and scarce annual precipitation (326 mm). July is the warmest (26.3 °C) and the driest month (6 mm). Limestone materials, almost dolomitized with marls and clays, yielded soils with loamy–clay texture. Hillslopes with variable steepness form a landscape of plains and hills, where fields of crops and natural vegetation alternate. The pre-fire vegetation showed a strong anthropogenic influence, with Aleppo pine forests (Pinus halepensis Mill.) either of natural origin or from reforestation. The thickets, either as the main vegetation or as accompanying the Aleppo pine, correspond to tussock grass, rosemary and thyme, with the presence of thermophilic species (Helictotrichon filifolium (Lag.) Henrard, Stipa tenacissima L., Rosmarinus officinalis L., Anthyllis cytisoides L., Cistus clusii Dunal, etc.).

2.1.3. Arbo (Po_Ar)

Two wildfires were lit in this location, one started on 2 August 2016, burning 112 ha. The second wildfire occurred on 10 August 2016, and after three days almost completely burned 1992 ha. Both wildfires together burned a total area of 2106 ha in the municipality of Arbo (Pontevedra) (300 and 515 m above sea level, respectively). The fire was blown towards all directions due to strong and changing winds, and was favored by the complex orography. The climate is temperate oceanic with mild summers (Csb, according to Köppen–Geiger) with noticeable precipitation (1593 mm/year), even in the driest month (July, 41 mm). The average annual temperature is 14 °C, and August is the hottest month (18.9 °C). Soils are developed on granite with a sandy loam texture. Topography is characterized by moderate to steep slopes. Pre-fire vegetation of thickets and stands of Maritime pine (Pinus pinaster Ait.) and eucalyptus (Eucalyptus globulus L.) of non-commercial size. The dominant shrub species are Ulex europaeus L., Erica cinerea L., and Pterospartum trdidentatum (L.) Willk.

2.1.4. Lluxent (V_Ll)

This wildfire occurred on 6 August 2018, burning the Serpis Basin across seven municipalities close to Lluxent (200 and 750 m above sea level). The total burned area was 3270 ha, mostly forest (60%) and agricultural–forest interface. The area, at high erosion risk due to high rainfall intensity, shows a typical Mediterranean climate (Csa, Kö-ppen-Geiger) with an average annual temperature of 16.4 °C and rainfall of approximately 604 mm/year, with July being the driest and warmest month. Soils, mostly developed on limestones and dolomites with a very permeable lithology (forming part of an active karst system), are very stony and shallow due to a superficial skeleton that deepens in the fissures. In valleys, the soil is generally with eluvial and illuvial horizons. Topography is variable, showing steep slopes (>45%) and a dense drainage network of narrow and deep ravines. Following [26], the phytosociological formations correspond to thermo-meso-mediterranean belts and series of holm and cork oaks. Pre-fire vegetation consisted of shrublands and tree forests, alternating patches of thickets of oak-pine formations (Q. coccifera L., Q. ilex L., P. pinaster Ait. and P. halepensis Mill.), pines (P. pinaster and P. halepensis), and hardwood stands (Q. suber L. and Q. ilex L.). The burned area was mostly (70%) covered with scrub (0.3–1.2 m in height), grassland-scrub (20%, <1.2 m), and scrub under the canopy of Cork oak, Maritime, and Aleppo pines [27].

2.2. Description of Post-Fire Management Techniques

In the first months after the fire emergency, the public services of the four regions implemented post-fire management actions in the areas burned at the highest erosion risk. In more detail, in Cazorla (J_Ca), Hellín (Al_He), and Lluxent (V_Ll), logging of burned and felled trees and construction of contour-felled log debris (CFD) barriers for slope stabilization were carried out. These barriers were built along the contour lines using branches and woody residues left by fires. Thus, contour-felled log debris consists of collecting branches and felling small burned trees and laying them on the ground along the slope contour. The mean density of CFD was between 10 and 20 CFD/ha with a mean length of 25–50 meters/CFD. In Arbo (Po_Ar); the selection of the areas to be treated was based on the analysis of fire severity on vegetation and soil simultaneously [28]. The treatment areas presented high values of fire severity in the soil and high values of fire severity in vegetation and soil. The untreated areas included areas of high fire severity in vegetation but not in soil so the erosion risk was considered low and did not need treatment due to the high potential for regeneration of natural vegetation in the area (Fernández and Vega, 2016) [4]. To reduce the risk of post-fire soil erosion, helimulching with cereal straw was carried out. A helicopter applied cereal straw mulching at a rate of 2.5–3.0 Mg ha−1. The initial mulch depth was 3–5 cm. Other management actions such as salvage logging were not carried out in any case, except for the trees used in the construction of CFD.
In the four sites, treated and untreated areas were analyzed, the latter being considered as a control, with both having been ecologically similar pre-fire and therefore comparable. Although two types of treatments were applied, they were not analyzed separately but studied as a whole, since each one represents a widely used practice in its respective ecoregion. Hence, the term treatment is used here as synonymous of emergency works. This study does not aim to compare the effectiveness between treatments, but rather to evaluate their effect in relation to the absence of intervention (control).

2.3. Classification of the Burned Areas

Google Earth Engine (GEE) platform was used to quickly and easily classify burned areas and minimize systematic processing errors. GEE also allows the replicability and incorporation of new data using the same methodology.

2.3.1. Classification of Fire Severity Based on dNBR Values

Images from Landsat missions 5, 7, and 8 covering the time span of fires (2005, 2012, 2016, and 2018) were generated and georeferenced. A set of cloud-free images was filtered for each study area (Hellín, Cazorla, Arbo, and Lluxent) and then split by date into two sub-sets of images before and after each fire, respectively. Each dataset was integrated to cover two months before and after the fire by appending three to four images of the affected area.
The dNBR (differenced Normalized Burn Ratio) index was calculated from NBR (Normalized Burn Ratio) related to the pre- and post-fire images in order to detect the change in greenness in the study areas. The pixels with a value over 0.1 indicate that the surface changes due to the fire and post-fire disturbances. Finally, the dNBR values were reclassified into three categories of ground damage due to fire severity: (i) low (0.1–0.27); (ii) medium (0.27–0.6); and (iii) high (>0.6) severity (Figure 2c), joining in the medium class moderate–low and moderate–high severity as a simplification of [29]. This reclassification was automatically and similarly carried out for each fire using the BADE tool [30].

2.3.2. Classification of Physiographic Variables Using DEM

The SRTM Digital Elevation Data V.4 Digital Elevation Model (DEM) produced by NASA (30 m resolution) was used after georeferencing to calculate and classify the slope and aspect in each burned area, adopting the following classes (Figure 2):
-
Low (<15%), Medium (15 to 30%), and High (>30%) for the slope according to FAO slope categories, related sensitivity to soil erosion [31], and the review of effect of slope by Çellek [32].
-
South (90° to 270°) and North (<90° and >270°) for the aspect due to radiation demand is a key factor in these regions by water limitations [33].

2.3.3. Zoning Areas by Physiography and Fire Severity

The images classified by physiography and fire severity as above were overlapped, and 18 potential combinations of classes (2 aspects × 3 slopes × 3 fire severities) were achieved (Figure 3). The overlapped images of some sites did not contain all the potential classes, while some classes may be found in control and treated areas for some sites.

2.3.4. Vectorization of Burned Areas

The different combinations of physiographic and fire severity classes in each study area (both for treated, T, and control, C, sites) were georeferenced and then vectorized to generate different geometric features (patches) for the subsequent calculation of SIs. The patches included in this process had an area over 900 m2 (Landsat pixel) to calculate the correct mean of each element. Moreover, the digital spatial information about the areas treated by the different forest services overlapped on those vectorial images after their quality check. Figure 4 depicts the distribution of patches in C and T sites by area in each of the 18 combinations of classes and shows large areas in C sites compared to T. Only the areas being simultaneously in T and C patches classes were considered for comparisons.

2.4. Spectral Indices of Vegetation

Vegetation recovery in the short term after the fires was evaluated using GEE based on SIs that detect the greenness and water content of plants. First, six SIs (i.e., NBR, NDVI, NDII, MSI, GCI, EVI2, see below for the acronym meaning) (Table 1) were calculated for the whole burned area in the study areas for vectorized patches of both C and T sites. Each SI was calculated at three dates after the fire: (i) 2nd to 4th month (hereafter indicated as “3 months”); (ii) 5th to 7th month (“6 months”); and (iii) 8th to 10th month (“9 months”). The duration of these time windows yielded representative information in all the pixels (avoiding clouds and gaps of each image to prevent noise by using Landsat’s proprietary “CFMask” algorithm [34]) by time averages over the study areas, which consider the different phenological according to the seasons [35]. More specifically, NBR, equal to the ratio between NIR (near infrared) and SWIR2 (ShortWave InfraRed 2), is often used to identify burned areas and burn severity. Normalized Difference Vegetation Index (NDVI), i.e., the ratio between the red (R) and near-infrared (NIR) values, quantifies the vegetation greenness and thus vegetation density and changes in plant health. Normalized Difference Infrared Index (NDII), which uses a normalized difference instead of a simple ratio and increases with the water content of the plant, measures the reflectance and is sensitive to changes in the water content of plant canopies. Also, the Moisture Stress Index (MSI) measures the reflectance but is sensitive to the water content of canopy leaves and decreases with lower water stress and higher water content. Green Chlorophyll Index (GCI), a chlorophyll index, measures the total chlorophyll content of leaves and is consistent across most species. Enhanced Vegetation Index 2 (EVI2) is sensitive to areas with high biomass while minimizing soil and atmosphere influences (Table 1). All the SIs used are widely applied to assess vegetation recovery after a fire [36].

2.5. Environmental Covariates

In addition to the specific ecoregion and time elapsed from fire, other physiographic, soil, and climatic factors were considered as environmental covariates or moderators to capture the biogeoclimatic differences among sites due to natural drivers. Eleven factors were adopted and derived from open-access and globally distributed databases in the GEE platform to allow method replicability and extension for future work:
-
physiographic factors (elevation, soil slope, and aspect), derived from DEMs (see Section 2.3.2);
-
pedologic factors (texture type, sand, and clay contents, pH, volumetric water content, and bulk density), derived from 250 m resolution maps;
-
climatic factors (monthly precipitation and average monthly diurnal temperature, period 2000–2017, 1000 m resolution).

2.6. Data Analysis

A meta-analysis was adopted to explore the complex interactions among the aforementioned factors on large spatial patterns. Meta-analysis is commonly used to evaluate the effects of forest treatments [45].
This analysis was carried out according to the following steps: (i) overlapping the covariates in each site; (ii) calculation of the effect size between pairs of T vs. C sites; (iii) meta-analysis estimating the true effect size and its heterogeneity between T and C areas in burned areas in effect sizes; and (iv) identification of causes of heterogeneity due to covariates.
In more detail, in the first step, for each combination of the physiography severity class, site, SI, and date, the mean value, standard deviation, and sample size (number of patches) of both T and C were calculated. For example, in the Hellín site, we calculated 15 classes × 3 dates × 6 indices × 2 conditions (T and C), totaling 540 cases, 90 per index, or 45 C vs. T comparisons per index that are the basis for analyzing the effect size of the post-fire treatments.
In the second step, the effect size was calculated. This variable provides information on the direction and magnitude of the standardized and unbiased effect of post-fire management works, whilst its sampling variance expresses the precision of the estimation.
In the third step, the Metafor package (version 4.8-0) in R software [45,46] was used for meta-analysis applied to the effect size using random and mixed-effects models. The estimators for the true effects were obtained via weighted least squares and the Wald-type test and confidence intervals were obtained. The effect size metric selected was the response mean difference (MD) i.e., the difference between the Mean of Control and the Mean of Treatment sites, as frequently used in ecological meta-analysis [45]. A negative number means a larger value for the treatment and positive number means a larger value for the control. If the 95% confidence intervals (Cis) of the effect size do not cover zero, the responses of Sis to post-fire treatments are considered statistically significant.
The amount of residual heterogeneity (the τ2 statistic) among the true effects of MD was estimated with the restricted maximum-likelihood estimator (REML) which is known for producing unbiased estimates of between-study variance under a random-effects framework. The null hypothesis (Ho: τ2 = 0) was tested using Cochran’s Q-test. The I2 and H2 statistics [47] were used to further interpret the estimated amount of heterogeneity. I2 estimates the percentage of the total variability in the effect size estimates (which consist of heterogeneity and sampling variability) that can be attributed to heterogeneity among the true effects, with thresholds often Interpreted as low (25%), moderate (50%), and high (75%) heterogeneity. H2 represents the ratio of the total amount of variability in the observed outcomes to the amount of sampling variability. It provides an alternative way to quantify excess variability when τ2 = 0 (H2 = 1), indicating that all variability can be explained by within-study error alone. Part of the heterogeneity in the true effects may be caused by the influence of moderators, which was assessed by fitting mixed-effect models that included either categorical or interval-defined moderators (Table 2). When the model shows a significant omnibus test (QM), it suggests that at least one moderator contributes significantly to explaining variability in effect sizes, calculating the coefficients of the moderators estimated as mentioned above.
In the fourth and final step, the analysis of reasons for variation in the effect size due to covariates or moderators was carried out, this being the common goal of meta-analyses. The list of selected moderators to test post hoc analysis is shown in Table 2.

3. Results

3.1. Effects of Post-Fire Treatments on Vegetation Recovery from Spectral Indices

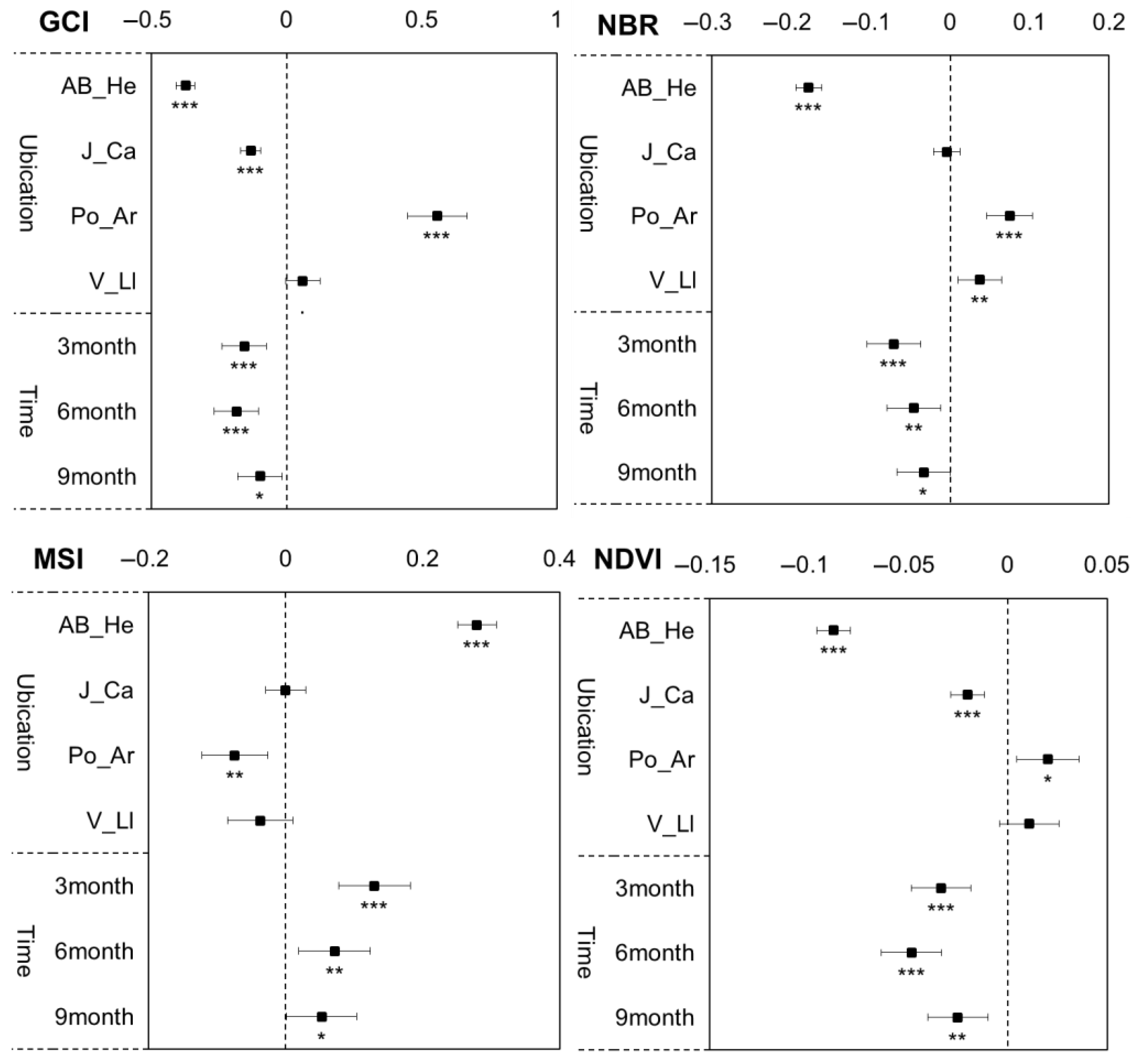
The spectral indices showed a response to treatment with the exception of EVI2 (Table 3), which was excluded by the following analysis. After comparing the six indices to identify the most sensitive indicator of contrasts between C and T sites, we found that the effect sizes were higher for GCI, MSI, NBR, NDVI, and NDII in this order, indicating a significant vegetation recovery in the treated patches. As expected, MSI showed an opposite pattern to the other SIs.
The descriptive statistics reported in Table 1 show that the values of NBR and NDII indices are very similar, which suggests the use of NBR (preferably used for studies about forest fires) rather than both NBR and NDII. It is also worth mentioning the different recovery rates of the SIs before and after the fires, shown by the comparison of mean values (Table 3). The post-fire GCI index, for instance, is 70% of the pre-fire value in the control (1.36/1.88), and 95% in the treated sites (1.47/1.55), while NBR post-fire recovery is between 11% in the control (0.026/0.24) and 36% in the treated site (0.07/0.2) relative to pre-fire baseline (averaged over 3 years before).
All SIs are higher in the treated sites compared to those without any post-fire treatment, except MSI (since this index, higher values are more stressful). Moreover, those indexes increased over time in both sites, and this increase was higher for GCI and lower for NBR in the last 3-month period compared to the time window immediately after the fire. In contrast, MSI, lower in T sites compared to the control, always decreases over time (Figure 5a).
A separate analysis of the SIs site by site shows that GCI, NBR, and NDVI are higher for all treated sites. While MSI is only lower in Al_He, V_Ll and J_Ca are similar and the Po_Ar treated area is slightly higher (Figure 5b).

3.2. Influence of Physiography and Fire Severity on the Spectral Response of Post-Fire Treatments

As shown by the I2 statistic, Q test, and p-value, the true effects of the mean difference between the treated and control sites (MD) in the SIs were noticeable and significant when analyzed using random-effects models (Table 4). The inclusions of covariates/moderators by mixed-effects models resulted in a reduction in the total heterogeneity, shown by a significant omnibus test (QM) either for categorical or interval-defined moderators (Table 4).
In the mixed-effects models applied to the factors related to physiography, fire severity, ecoregion, and time elapsed from fire, the total amount of heterogeneity (τ2) did not substantially change compared to single random-effects models, basically due to their underlying role in the definition of the cases in the total sample.
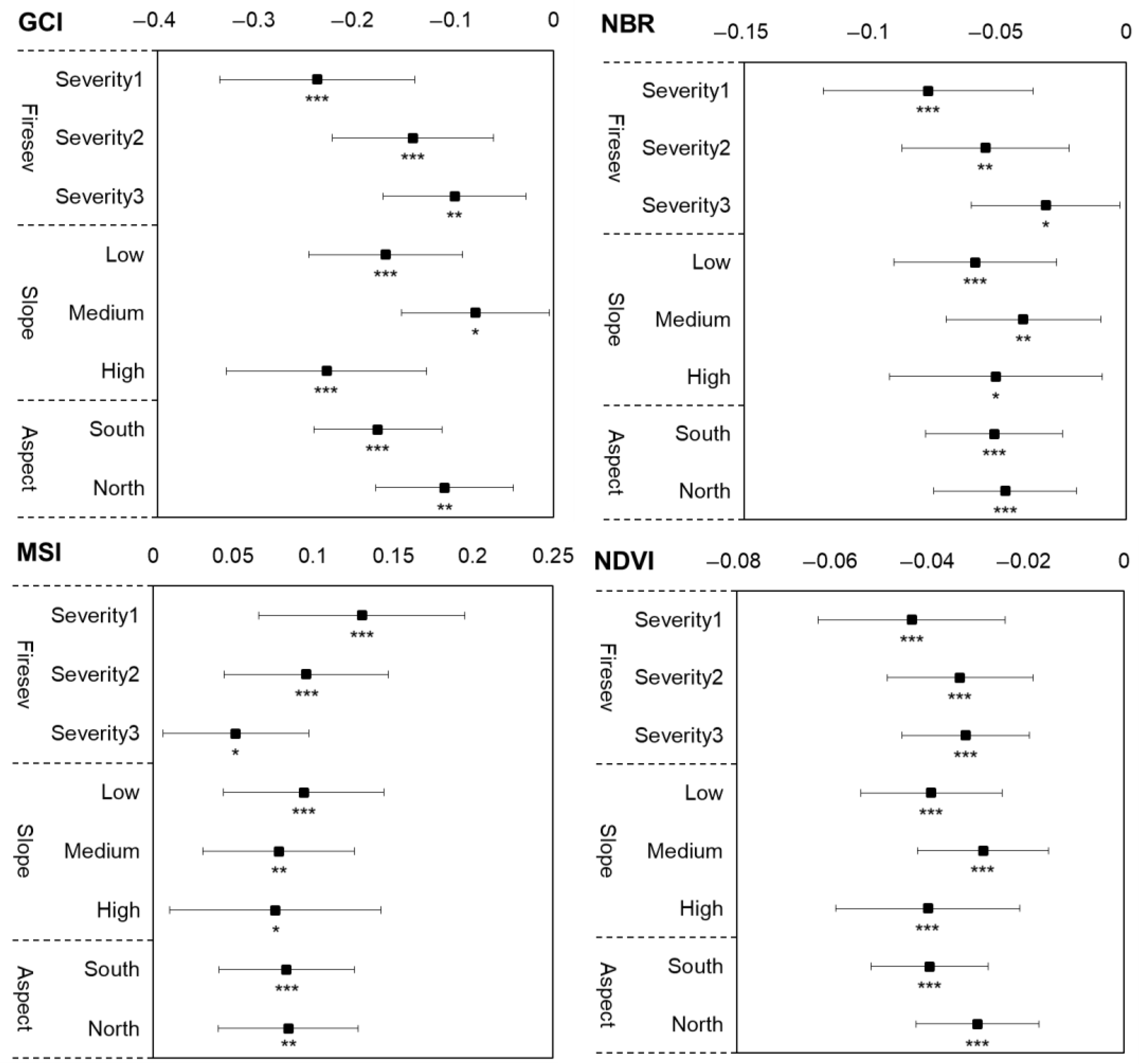
The results emphasize the higher or lower significance of the effect size according to the different categories, and highlight how, for most indices, the post-fire management works were more effective for lower fire severities (Firesev: Low in all indices, Figure 6) and on south-facing slopes (GCI, MSI, and NDVI, Figure 6). The improvement in site conditions due to the soil stabilization treatments, indicated by the mean difference between treatment (T) and control (C) (Figure 6 and Table 3) for Severity 1 (low), was between approx. 10% for MSI and 300% for NBR, while GCI and NDVI were close to the lower difference (about 15% for both). However, vegetation recovery was significantly improved compared to the control for all classes.

3.3. Influence of Ecoregion and Time Elapsed from Fire on the Spectral Response of Post-Fire Treatments

The amount of residual heterogeneity among the true effects of effect size was considerably reduced when the ecoregion was included as a moderator (between 70% and 82%, depending on the index), as revealed by the τ2 value for random and mixed models (Table 4). This indicates a considerable effect of the ecoregion on the vegetation recovery. In more detail, the sclerophyllous forest (Al_He site) and the Atlantic forest ecoregions (Po_Ar) showed contrasting and significant effect sizes regardless of the SI, with a higher vegetation recovery in the control areas of the latter case study (Figure 7). The other two ecoregions showed intermediate behavior, with the Lluxent fire (V_Ll, Mediterranean forests) closer to Po_Ar (NBR, Figure 7) and the Cazorla fire (J_Ca, conifer forests) to Al_He (GCI and NDVI, Figure 7).
Regarding the time elapsed from fire, the treatments were more effective in the short term (up to six months, Figure 7), despite the low difference in τ2 statistic between the mixed (including this moderator) and the random models (Table 4). This indicates the need for a prompt implementation of post-fire management works immediately after the fire occurrence.

3.4. Influence of Climate and Soil Properties on the Spectral Response of Post-Fire

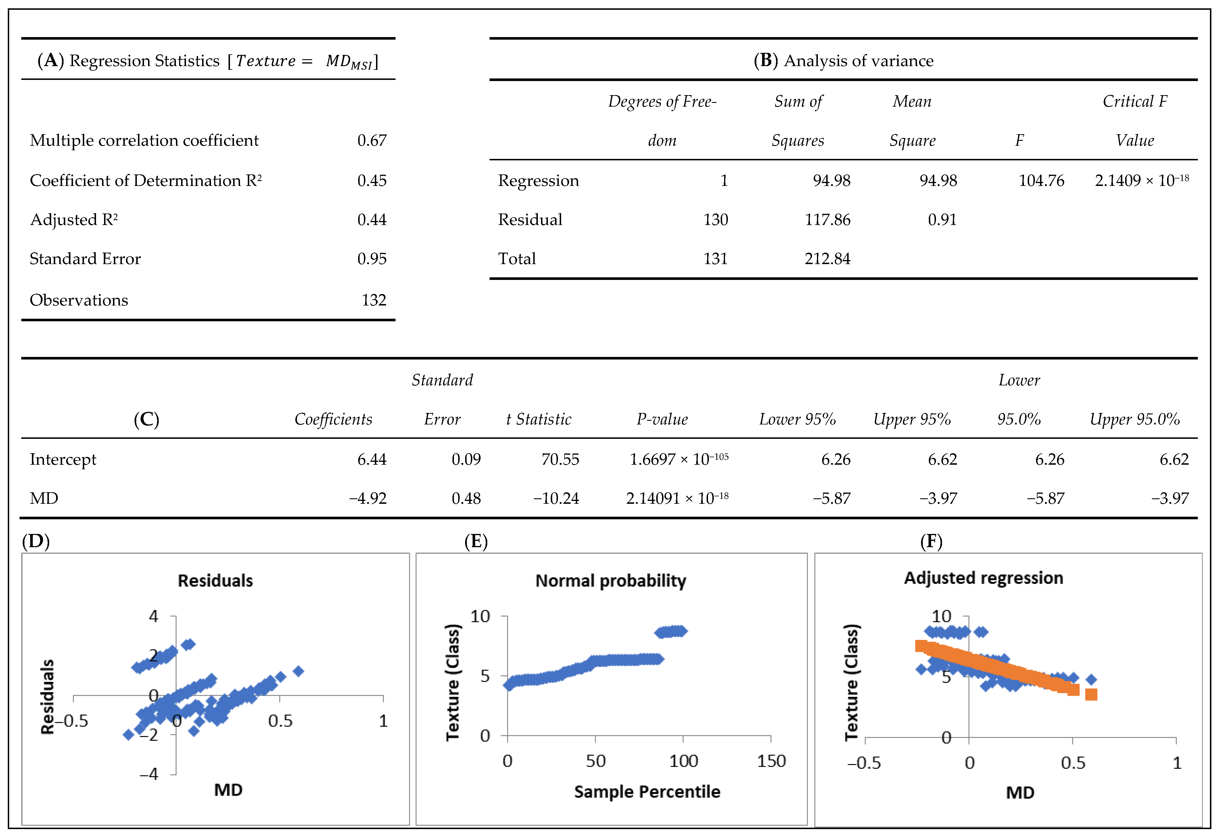
The significant omnibus test (QM) and R2 values for the mixed-effects models demonstrated a noticeable influence of soil and climatic covariates on the total amount of heterogeneity (Table 5). To be more specific, the moderators of soil texture (type, clay, and sand contents) played a high influence on vegetation recovery, as shown by the change in spectral indices. Fine-textured soils are more sensitive to the treatments (R2 ranging between 57% and 64% for GCI, respectively) (Table 5). Moreover, soil pH also explained a considerable amount of heterogeneity in the treatment effect (R2-value between 40% for MSI and 79% for GCI) and higher pH was associated with a higher post-fire recovery in the treated areas (Table 2). Climatic variables also noticeably contributed to the mean effect size, explaining up to 71% of the total heterogeneity of GCI for precipitation and about 65% in NBR and MSI for temperature.
Figure 8 depicts the regression models between the MD in the four spectral indices between control and treated sites, considered independent variables, and precipitation, temperature, soil water content, and texture as dependent variables. All values of SIs are positives, except MSI, which means a negative value of the MD for each moderator is a higher value for the treatment in all indices except MSI, that is opposite when the positive value of MD for MSI indicates the same. The intercepts of the regression models interpolating the effect size (MD) and the interval-defined moderators for the different indices are zero, which indicates the threshold for the treatment effect (Figure 8, Table 6). For instance, an annual precipitation lower than 700 mm, a diurnal temperature over 21.4 °C, soils with texture finer than sandy clay loam (six in the adopted classification), and water content under 33% are quantitative limits of the treatment impact on vegetation recovery as exploratory approximations thresholds.

4. Discussion

4.1. Effects of Post-Fire Treatments on Vegetation Recovery from Spectral Indices

Post-fire treatments significantly increased vegetation recovery after the wildfires, as clearly indicated by the significant differences in all SIs between treated and untreated sites for all study areas. This result implies that the post-fire treatments are beneficial for the short-term restoration of the ground cover in burned sites.
Among the six SIs adopted in this study, GCI showed the highest differences be-tween treated and control areas, which indicates that this index is the most sensitive to the post-fire treatments. According to other studies [43,48], GCI is very robust in capturing the differences in vegetation, leaf structure, and canopy architectures since this index is well correlated with the chlorophyll content of vegetation and green LAI.
While EVI2 has demonstrated lower sensitivity in detecting differences in vegetation greenness between control and treated areas, this may be attributed to the absence of the blue band, which reduces sensitivity when soil backgrounds are heterogeneous [44]. Various studies have shown that EVI2 tends to saturate more rapidly, limiting its ability to discriminate subtle variations in chlorophyll content or leaf area index [49]. Furthermore, its formulation lacks the structural sensitivity of indices such as GCI, which leverage the green band to enhance chlorophyll detection and are less affected by soil reflectance interference [50]. Consequently, although EVI2 offers cross-sensor compatibility and robustness over snow-covered or highly reflective surfaces, its performance in post-fire vegetation recovery or early regrowth stages is generally inferior to indices with broader spectral coverage and higher chlorophyll sensitivity.
Post-fire vegetation recovery can be disentangled in semi-burned areas by a com-bination of completely burned and vegetated pixels defining the spectral space. In these cases, the NIR, Red, and SWIR are the most important channels for estimating the alternating burned and vegetation areas in fire-affected soils [20]. NIR ground reflectance plays a more significant role in estimating the distribution of burned areas, while SWIR seems more effective at estimating the vegetation cover. Moreover, pixels of completely burned areas show low and high variance in NIR and SWIR, respectively, whereas the opposite conditions are observed in completely vegetated areas. Both satellite spectral vegetation indices have demonstrated a good capacity to characterize forest dynamics after wildfires. The presence of bare soil in burned areas alters the spectral signals, increasing the spectral similarity between uncovered areas (in NIR) on one side and vegetated or burned areas (in SWIR) on the other side. Given these spectral characteristics, GCI (that uses NIR and Green) is the most suitable index for assessing post-fire recovery due to its high sensitivity to green vegetation in our study. In contrast, NBR (that uses NIR and SWIR) is more oriented to assess fire severity [51], and NDVI can be affected by soil background and the presence of non-vegetation spaces [52,53].
The different performance of the analyzed SI indexes is in close agreement with [54], who found that differential spectral response of both soil and vegetation types affect the selection of widely used SIs. According to this author, NDVI is sensitive to soil background and produces larger values for the same vegetation amount over dark backgrounds [54]. This could have affected the difference in the means of our analysis since the burned areas with more dark patches of soil can have a higher NDVI value compared to the adjacent treated areas. Therefore, GCI, by focusing on active green vegetation, minimizes the interference between the soil and non-vegetative cover, resulting in a more reliable indicator for vegetation recovery in our study.
The temporal analysis of control and treated soils shows that all SIs indicate increasing recovery of greenness over time. This is expected because grass covers the ground immediately after the fire [55]. In the first and second temporal surveys (three and six months after the fire), the SIs show the greatest differences between treated and untreated areas (Figure 5). In spring (i.e., nine months after the fire), the solar radiation over the soil enhances seed bank germination in both areas. These fire-adapted systems can withstand fire in treated and untreated areas [56]. All SIs well reproduce the post-fire greening-up of soil, but GCI shows the best capacity over the whole period. Good performances are also observed for this index when SIs are separately evaluated by ecoregions since GCI shows the greatest difference between control and treated sites. There is a possibility that the data derived from Landsat imagery may present certain biases due to pixel size and landscape heterogeneity. To minimize this, comparisons were made between classes with similar physiographic conditions (aspect and slope) and fire severity. In addition, the images used in each case and the outputs generated by the masking algorithm were carefully reviewed [34].

4.2. Influence of Physiography and Fire Severity on the Effectiveness of Post-Fire Treatments

The size effect of treatments increased on the steeper and south-facing slopes (GCI and NDVI, Figure 6), underlying different and beneficial impacts of the treatments under harsh conditions for ecosystem recovery. However, similar recovery rates were detected using NBR and MSI on both south- and north-facing slopes regarding the effectiveness of the treatments. In the literature, the effects of soil slope and aspect on post-fire vegetation recovery are characterized by a large spatial variability, showing that vegetation better recovers under wetter conditions and lower radiation [9,19,57,58,59,60]. In the Mediterranean study areas, landscape managers prioritized emergency actions on steeper slopes and south-facing slopes, which are more prone to erosion and other hydrogeological hazards compared to flat areas [9]. This choice enhanced the differences compared to the harsh and non-treated slopes.
Concerning the impacts of fire, higher recovery rates were detected after the treatments regardless of its severity class, although the mean effect decreased with more severe fires. Fire severity is a key factor for the short-term recovery of burned environments. The areas burned with low and medium severity can recover faster in the short term [61], although the opposite effect has also been observed [60]. In this study, the most beneficial effects of the experimental treatments were recorded on ground cover in the ecoregions for the lowest severities. According to the evidence of the study, in areas affected by wildfires with lower severity, the emergency measures promote a higher vegetation recovery in the short term. Moreover, divergent vegetation responses are presumably associated with the different forest types and species in the study areas. Much of this response was recorded in stands with Pinus pinaster Ait. or Pinus halepensis Mill. under different climatic and soil conditions in the Iberian Peninsula.

4.3. Influence of Ecoregion and Time Elapsed from Fire on the Effectiveness of Post-Fire Treatments

Including the ecoregion as a moderator changed the overall pattern in the Atlantic and Mediterranean areas, where the untreated sites did not show any differences in vegetation cover compared to the sites subjected to post-fire treatments. In the Atlantic ecoregion (Po_Ar site), the climate is mild and rainy, and thus vegetation regrowth can be fast regardless of post-fire treatments. Here, the effect size was even higher in the control zones compared to the areas treated with straw mulching. However, the monitoring plots installed in the treated area just after fire did not show a significant effect of the treatment on the recovery of vegetation [62]. This apparently contradictory result is due to the fact that spectral indices do not reflect well soil burn severity [63] and therefore the selection of an untreated control using only the dNBR without taking into account the soil burn severity is not appropriate in this case and may lead to inaccurate results. Moreover, soil burn severity has been found to affect the sprouting process during the first months after fire [64].
In the case of the Mediterranean Ecoregion (V_Ll), no differences between the control and treated areas were found in all indices except NBR, which revealed a higher vegetation cover in the untreated areas. In this case, pre-fire vegetation could have influenced the effectiveness of post-fire treatments [65]. Different plant species react to fire through different traits and mechanisms [13,19,66], such as resprouting or recolonization by seeds. The resprouting ability, whenever buds survive the fire, is the most widespread survival strategy in the Mediterranean [58], and these species are likely more resilient to changing fire regimes [67]. The Lluxent site is subjected to a high-frequency fire regime that has favored the dominance of resprouters, such as kermes and holm oaks. In this mild and wet site, oaks exhibit new vigorous shoots after the fire that engenders a rapid return to pre-fire conditions [14]. The authors of ref. [68], working in the same environment as the site of Hellín, found a fractional cover dominated by re-sprouting oak species, especially kermes oak, a highly fire-adapted species in both treated and untreated areas [58]. The construction of log and branch barriers can adversely affect this species [6].
The response of vegetation in the sclerophyllous (Al_He) and conifer (J_Ca) ecoregions was enhanced by the post-fire treatments, and the surveys revealed different effects between forests of pine (the dominant pre-fire cover) and broadleaved re-sprouting forests of the other ecoregions [19]. This response agrees with previous results reported in studies in the same sites [9].

4.4. Influence of Climate and Soil Properties on the Effectiveness of Post-Fire Treatments

Among the climatic moderators, temperature was the most influential factor. In this regard, this study showed that sites with lower temperatures weakened the effectiveness of treatments (Figure 8). This confirms that sites with milder temperatures exhibit better recovery rates, whereas in sites with higher temperatures, vegetation struggles more to recover; however, the implementation of treatments helps improve those rates [69]. According to [60], post-fire climate is a key driver of vegetation recovery processes. The strongest effect of the treatments in Al_He has biased the temperature moderator towards a direct relationship with their effectiveness. Precipitation influenced the post-fire recovery of vegetation in Ar_Po, where, as shown by the dynamics of GCI, the regrowth of plant communities was faster under the rainy climate. For this reason, the lower precipitation in the remaining ecoregions was related to the effectiveness of the treatments. This indicates that the implementation of post-fire treatments for the specific purpose of increasing plant cover should not be prioritized in the coolest and wet climates, considering the covariates of temperature and precipitation together, since it is well known that it boosts post-fire regeneration compared to warmer and drier conditions [60,70].
Soil properties also impacted the beneficial impacts of post-fire management treatments, especially in sites with fine-textured and drier soils. This underscores the improvement of vegetation regeneration after burning with the treatments, especially under unfavorable conditions for plant growth, such as a combination of clayey texture and dry conditions. The literature has widely explored the influence of post-fire treatments on the physical, chemical, and biological properties, showing that the response of burned areas to post-fire management is site-specific [71,72]. In this regard, the Mediterranean soils, which are generally shallow and poor in organic matter, show a particular sensitivity to fire. Therefore, the choice of the most effective post-fire management technique must be carried out with caution, prioritizing the restoration of organic matter and nutrients the control of post-fire flooding and erosion hazards and favoring a quicker regrowth of vegetation [2,68].

5. Conclusions

The meta-analysis of the effectiveness of post-wildfire emergency works on early vegetation recovery in treated and untreated soils in four Spanish ecoregions showed that post-fire treatments significantly affected all vegetation indices (except EVI2). The index sensitivity was the highest for GCI and the lowest for NDII. All indices indicated a significant recovery of vegetation in the treated sites. The statistical analysis revealed that:
(i)
the post-fire management works were more effective for lower fire severity and on the steepest and south-facing slopes;
(ii)
a considerable effect of the ecoregion on the vegetation recovery was evident;
(iii)
the treatments were more effective in the short term, which indicates the need for a prompt implementation of post-fire management immediately after the fire;
(iv)
post-fire climate is a key driver of vegetation recovery, and sites with lower temperatures and higher precipitation weakened the effectiveness of the treatments;
(v)
soil texture plays a high influence on vegetation recovery, and fine-textured soils are more sensitive to the treatments; higher pH was associated with a higher post-fire recovery in the treated areas;
(vi)
finally, the regression analysis using random-mixed models showed that an annual precipitation lower than 700 mm, a diurnal temperature over 21 °C, soils with texture finer than loamy, and a water content under 33% are quantitative limits of the treatment positive effect on vegetation recovery.
Overall, the study suggested that different forest types and functionally diverging species may show contrasting responses to the same post-fire management strategy. Decisions about the most appropriate management actions to be adopted in burned forest areas should therefore be supported by further studies focusing on this aspect.

Author Contributions

Conceptualization, J.P.-R., M.E.L.-B., R.S., C.F. and A.D.d.C.G.; methodology, J.P.-R., M.E.L.-B., R.S., C.F. and A.D.d.C.G.; software, J.P.-R.; validation, J.P.-R., M.E.L.-B., D.A.Z., R.S., I.M., L.B.-C., C.F. and A.D.d.C.G.; formal analysis, J.P.-R. and A.D.d.C.G.; investigation, J.P.-R.; resources, M.E.L.-B., R.S., C.F. and A.D.d.C.G.; data curation, J.P.-R.; writing—original draft preparation, J.P.-R.; writing—review and editing, J.P.-R., M.E.L.-B., D.A.Z., R.S., I.M., L.B.-C., C.F. and A.D.d.C.G.; visualization, J.P.-R., D.A.Z., I.M. and L.B.-C.; supervision, M.E.L.-B., C.F. and A.D.d.C.G.; project administration, M.E.L.-B., C.F. and A.D.d.C.G.; funding acquisition, M.E.L.-B., C.F. and A.D.d.C.G. All authors have read and agreed to the published version of the manuscript.

Funding

The authors received national and international funding through the following projects: SILVADAPT.NET (RED2018-102719-T), CEHYRFO-MED (CGL2017-86839-C3-2-R), and RESILIENTFORESTS (LIFE17 CCA/ES/000063), as well as MULTIFIRE (PID2021-126946OB-100), FIRESTORM (TED2021-12945B-41), BIOQUALIRES (PID2021-127591OB-i00) and JDC2023-052350-I/AEI/FSE+.

Data Availability Statement

The raw data supporting the conclusions of this article will be made available by the authors on request.

Acknowledgments

We thank the financial support from the “Ministerio de Ciencia e Innovación -Redes de Investigación 2018, Programa Estatal de Generación de Conocimiento y Fortalecimiento Científico y Tecnológico del Sistema de I + D + I”.

Conflicts of Interest

The authors declare no conflicts of interest.

Appendix A

Table A1. Mean ± standard error comparison of spectral indices between the treated and control sites averaged over a 3-month window (0–3, 3–6, 6–9 months).
Table A1. Mean ± standard error comparison of spectral indices between the treated and control sites averaged over a 3-month window (0–3, 3–6, 6–9 months).
Spectral IndicesControlTreatment
0–3 Months 3–6 Months6–9 Months0–3 Months 3–6 Months6–9 Months
GCI1.4 ± 0.411.36 ± 0.491.61 ± 0.41.49 ± 0.211.5 ± 0.251.68 ± 0.21
MSI1.4 ± 0.221.24 ± 0.241.18 ± 0.131.29 ± 0.131.17 ± 0.141.13 ± 0.08
NBR−0.02 ± 0.120.06 ± 0.130.08 ± 0.080.04 ± 0.070.11 ± 0.080.11 ± 0.05
NDVI0.28 ± 0.060.29 ± 0.070.33 ± 0.070.3 ± 0.040.33 ± 0.050.35 ± 0.04
Table A2. Mean ± standard error comparison of spectral indices between the treated and control sites averaged over a 3-month window (0–3, 3–6, 6–9 months) and for each ecoregion.
Table A2. Mean ± standard error comparison of spectral indices between the treated and control sites averaged over a 3-month window (0–3, 3–6, 6–9 months) and for each ecoregion.
Spectral IndicesSitesControlTreatment
0–3 Months 3–6 Months6–9 Months0–9 Months0–3 Months 3–6 Months6–9 Months0–9 Months
GCIAl_He0.64 ± 0.110.63 ± 0.160.9 ± 0.170.72 ± 0.151.05 ± 0.11.09 ± 0.181.13 ± 0.131.09 ± 0.14
J_Ca1.06 ± 0.320.95 ± 0.471.12 ± 0.291.04 ± 0.361.21 ± 0.241.11 ± 0.31.25 ± 0.211.19 ± 0.25
Po_Ar4.05 ± 1.343.73 ± 1.34.25 ± 1.144.01 ± 1.263.59 ± 0.443.32 ± 0.243.89 ± 0.343.6 ± 0.34
V_Ll1.02 ± 0.251.33 ± 0.391.44 ± 0.351.26 ± 0.330.89 ± 0.181.31 ± 0.31.47 ± 0.291.22 ± 0.25
MSIAl_He1.6 ± 0.181.39 ± 0.21.34 ± 0.111.44 ± 0.161.21 ± 0.061.12 ± 0.081.16 ± 0.051.16 ± 0.06
J_Ca1.51 ± 0.31.36 ± 0.351.38 ± 0.161.41 ± 0.271.46 ± 0.211.39 ± 0.211.38 ± 0.131.41 ± 0.18
Po_Ar0.7 ± 0.180.74 ± 0.180.63 ± 0.130.69 ± 0.160.78 ± 0.070.86 ± 0.090.68 ± 0.040.77 ± 0.06
V_Ll1.47 ± 0.151.15 ± 0.161.01 ± 0.121.21 ± 0.141.57 ± 0.121.1 ± 0.130.97 ± 0.091.22 ± 0.12
NBRAl_He−0.17 ± 0.09−0.06 ± 0.11−0.04 ± 0.06−0.09 ± 0.080.07 ± 0.030.12 ± 0.050.08 ± 0.030.09 ± 0.04
J_Ca−0.07 ± 0.150.02 ± 0.17−0.02 ± 0.09−0.02 ± 0.14−0.05 ± 0.110.02 ± 0.11−0.03 ± 0.07−0.02 ± 0.1
Po_Ar0.45 ± 0.150.41 ± 0.130.49 ± 0.120.45 ± 0.130.37 ± 0.050.32 ± 0.050.44 ± 0.030.38 ± 0.05
V_Ll−0.09 ± 0.080.06 ± 0.090.15 ± 0.080.04 ± 0.08−0.16 ± 0.060.06 ± 0.080.15 ± 0.060.02 ± 0.07
NDVIAl_He0.15 ± 0.030.16 ± 0.040.22 ± 0.050.17 ± 0.040.24 ± 0.030.27 ± 0.040.27 ± 0.030.26 ± 0.04
J_Ca0.24 ± 0.060.24 ± 0.090.27 ± 0.070.25 ± 0.070.25 ± 0.040.27 ± 0.060.29 ± 0.060.27 ± 0.05
Po_Ar0.64 ± 0.10.6 ± 0.090.67 ± 0.080.64 ± 0.090.61 ± 0.040.58 ± 0.020.66 ± 0.030.62 ± 0.03
V_Ll0.27 ± 0.050.34 ± 0.080.35 ± 0.070.32 ± 0.070.24 ± 0.040.34 ± 0.060.35 ± 0.060.31 ± 0.05

Appendix B

The detailed statistics for each regression model presented in Figure 8 and Table 6 are shown below. The regression models were fitted between the effects size (MD, mean difference between control and treatment sites) of four spectral indices and the interval-defined moderators significant in the meta-analyses. The four spectral indices considered were the GCI (Figure A1, Figure A2, Figure A3 and Figure A4), NDVI (Figure A5, Figure A6, Figure A7 and Figure A8), NBR (Figure A9, Figure A10, Figure A11 and Figure A12), and MSI (Figure A13, Figure A14, Figure A15 and Figure A16). And the four moderators studied were precipitation (Precip), temperature (Temp), soil water content (SWC), and soil texture.
Figure A1. Regression model fitted between the size effects of GCI (MD = mean difference between control and treatment sites) and precipitation (Precip, moderator). The basic adjustment statistics (A) are presented, along with the analysis of variance, which indicates the significance of the model (B), the model coefficients, showing the intercept, and the significance of the coefficient for MD, along with standard errors, t-values, and 95% confidence intervals (C). Residuals vs. MD plot (D), Normal probability (Q–Q) plot assessing the normality of residuals (E), and adjusted regression plot illustrating the positive relationship between MD and precipitation (F) are presented graphically.
Figure A1. Regression model fitted between the size effects of GCI (MD = mean difference between control and treatment sites) and precipitation (Precip, moderator). The basic adjustment statistics (A) are presented, along with the analysis of variance, which indicates the significance of the model (B), the model coefficients, showing the intercept, and the significance of the coefficient for MD, along with standard errors, t-values, and 95% confidence intervals (C). Residuals vs. MD plot (D), Normal probability (Q–Q) plot assessing the normality of residuals (E), and adjusted regression plot illustrating the positive relationship between MD and precipitation (F) are presented graphically.
Forests 16 01154 g0a1
Figure A2. Regression model fitted between the size effects of GCI (MD = mean difference between control and treatment sites) and temperature (Temp, moderator). The basic adjustment statistics (A) are presented, along with the analysis of variance, which indicates the significance of the model (B), the model coefficients, showing the intercept and the significance of the coefficient for MD, along with standard errors, t-values, and 95% confidence intervals (C). Residuals vs. MD plot (D), Normal probability (Q–Q) plot assessing the normality of residuals (E), and adjusted regression plot illustrating the negative relationship between MD and temperature (F) are presented graphically.
Figure A2. Regression model fitted between the size effects of GCI (MD = mean difference between control and treatment sites) and temperature (Temp, moderator). The basic adjustment statistics (A) are presented, along with the analysis of variance, which indicates the significance of the model (B), the model coefficients, showing the intercept and the significance of the coefficient for MD, along with standard errors, t-values, and 95% confidence intervals (C). Residuals vs. MD plot (D), Normal probability (Q–Q) plot assessing the normality of residuals (E), and adjusted regression plot illustrating the negative relationship between MD and temperature (F) are presented graphically.
Forests 16 01154 g0a2
Figure A3. Regression model fitted between the size effects of GCI (MD = mean difference between control and treatment sites) and soil water content (SWC, moderator). The basic adjustment statistics (A) are presented, along with the analysis of variance, which indicates the significance of the model (B), the model coefficients, showing the intercept and the significance of the coefficient for MD, along with standard errors, t-values, and 95% confidence intervals (C). Residuals vs. MD plot (D), Normal probability (Q–Q) plot assessing the normality of residuals, (E) and adjusted regression plot illustrating the positive relationship between MD and soil water content (F) are presented graphically.
Figure A3. Regression model fitted between the size effects of GCI (MD = mean difference between control and treatment sites) and soil water content (SWC, moderator). The basic adjustment statistics (A) are presented, along with the analysis of variance, which indicates the significance of the model (B), the model coefficients, showing the intercept and the significance of the coefficient for MD, along with standard errors, t-values, and 95% confidence intervals (C). Residuals vs. MD plot (D), Normal probability (Q–Q) plot assessing the normality of residuals, (E) and adjusted regression plot illustrating the positive relationship between MD and soil water content (F) are presented graphically.
Forests 16 01154 g0a3
Figure A4. Regression model fitted between the size effects of GCI (MD = mean difference between control and treatment sites) and soil texture (Texture, moderator). The basic adjustment statistics (A) are presented, along with the analysis of variance, which indicates the significance of the model (B), the model coefficients, showing the intercept and the significance of the coefficient for MD, along with standard errors, t-values, and 95% confidence intervals (C). Residuals vs. MD plot (D), Normal probability (Q–Q) plot assessing the normality of residuals (E), and adjusted regression plot illustrating the positive relationship between MD and soil texture (F) are presented graphically.
Figure A4. Regression model fitted between the size effects of GCI (MD = mean difference between control and treatment sites) and soil texture (Texture, moderator). The basic adjustment statistics (A) are presented, along with the analysis of variance, which indicates the significance of the model (B), the model coefficients, showing the intercept and the significance of the coefficient for MD, along with standard errors, t-values, and 95% confidence intervals (C). Residuals vs. MD plot (D), Normal probability (Q–Q) plot assessing the normality of residuals (E), and adjusted regression plot illustrating the positive relationship between MD and soil texture (F) are presented graphically.
Forests 16 01154 g0a4
Figure A5. Regression model fitted between the size effects of NDVI (MD = mean difference between control and treatment sites) and precipitation (Precip, moderator). The basic adjustment statistics (A) are presented, along with the analysis of variance, which indicates the significance of the model (B), the model coefficients, showing the intercept and the significance of the coefficient for MD, along with standard errors, t-values, and 95% confidence intervals (C). Residuals vs. MD plot (D), Normal probability (Q–Q) plot assessing the normality of residuals (E), and adjusted regression plot illustrating the positive relationship between MD and precipitation (F) are presented graphically.
Figure A5. Regression model fitted between the size effects of NDVI (MD = mean difference between control and treatment sites) and precipitation (Precip, moderator). The basic adjustment statistics (A) are presented, along with the analysis of variance, which indicates the significance of the model (B), the model coefficients, showing the intercept and the significance of the coefficient for MD, along with standard errors, t-values, and 95% confidence intervals (C). Residuals vs. MD plot (D), Normal probability (Q–Q) plot assessing the normality of residuals (E), and adjusted regression plot illustrating the positive relationship between MD and precipitation (F) are presented graphically.
Forests 16 01154 g0a5
Figure A6. Regression model fitted between the size effects of NDVI (MD = mean difference between control and treatment sites) and temperature (Temp, moderator). The basic adjustment statistics (A) are presented, along with the analysis of variance, which indicates the significance of the model (B), the model coefficients, showing the intercept and the significance of the coefficient for MD, along with standard errors, t-values, and 95% confidence intervals (C). Residuals vs. MD plot (D), Normal probability (Q–Q) plot assessing the normality of residuals (E), and adjusted regression plot illustrating the negative relationship between MD and temperature (F) are presented graphically.
Figure A6. Regression model fitted between the size effects of NDVI (MD = mean difference between control and treatment sites) and temperature (Temp, moderator). The basic adjustment statistics (A) are presented, along with the analysis of variance, which indicates the significance of the model (B), the model coefficients, showing the intercept and the significance of the coefficient for MD, along with standard errors, t-values, and 95% confidence intervals (C). Residuals vs. MD plot (D), Normal probability (Q–Q) plot assessing the normality of residuals (E), and adjusted regression plot illustrating the negative relationship between MD and temperature (F) are presented graphically.
Forests 16 01154 g0a6
Figure A7. Regression model fitted between the size effects of NDVI (MD = mean difference between control and treatment sites) and soil water content (SWC, moderator). The basic adjustment statistics (A) are presented, along with the analysis of variance, which indicates the significance of the model (B), the model coefficients, showing the intercept and the significance of the coefficient for MD, along with standard errors, t-values, and 95% confidence intervals (C). Residuals vs. MD plot (D), Normal probability (Q–Q) plot assessing the normality of residuals (E), and adjusted regression plot illustrating the positive relationship between MD and soil water content (F) are presented graphically.
Figure A7. Regression model fitted between the size effects of NDVI (MD = mean difference between control and treatment sites) and soil water content (SWC, moderator). The basic adjustment statistics (A) are presented, along with the analysis of variance, which indicates the significance of the model (B), the model coefficients, showing the intercept and the significance of the coefficient for MD, along with standard errors, t-values, and 95% confidence intervals (C). Residuals vs. MD plot (D), Normal probability (Q–Q) plot assessing the normality of residuals (E), and adjusted regression plot illustrating the positive relationship between MD and soil water content (F) are presented graphically.
Forests 16 01154 g0a7
Figure A8. Regression model fitted between the size effects of NDVI (MD = mean difference between control and treatment sites) and soil texture (Texture, moderator). The basic adjustment statistics (A) are presented, along with the analysis of variance, which indicates the significance of the model (B), the model coefficients, showing the intercept and the significance of the coefficient for MD, along with standard errors, t-values, and 95% confidence intervals (C). Residuals vs. MD plot (D), Normal probability (Q–Q) plot assessing the normality of residuals (E), and adjusted regression plot illustrating the positive relationship between MD and soil texture (F) are presented graphically.
Figure A8. Regression model fitted between the size effects of NDVI (MD = mean difference between control and treatment sites) and soil texture (Texture, moderator). The basic adjustment statistics (A) are presented, along with the analysis of variance, which indicates the significance of the model (B), the model coefficients, showing the intercept and the significance of the coefficient for MD, along with standard errors, t-values, and 95% confidence intervals (C). Residuals vs. MD plot (D), Normal probability (Q–Q) plot assessing the normality of residuals (E), and adjusted regression plot illustrating the positive relationship between MD and soil texture (F) are presented graphically.
Forests 16 01154 g0a8
Figure A9. Regression model fitted between the size effects of NBR (MD = mean difference between control and treatment sites) and precipitation (Precip, moderator). The basic adjustment statistics (A) are presented, along with the analysis of variance, which indicates the significance of the model (B), the model coefficients, showing the intercept and the significance of the coefficient for MD, along with standard errors, t-values, and 95% confidence intervals (C). Residuals vs. MD plot (D), Normal probability (Q–Q) plot assessing the normality of residuals (E), and adjusted regression plot illustrating the positive relationship between MD and precipitation (F) are presented graphically.
Figure A9. Regression model fitted between the size effects of NBR (MD = mean difference between control and treatment sites) and precipitation (Precip, moderator). The basic adjustment statistics (A) are presented, along with the analysis of variance, which indicates the significance of the model (B), the model coefficients, showing the intercept and the significance of the coefficient for MD, along with standard errors, t-values, and 95% confidence intervals (C). Residuals vs. MD plot (D), Normal probability (Q–Q) plot assessing the normality of residuals (E), and adjusted regression plot illustrating the positive relationship between MD and precipitation (F) are presented graphically.
Forests 16 01154 g0a9
Figure A10. Regression model fitted between the size effects of NBR (MD = mean difference between control and treatment sites) and temperature (Temp, moderator). The basic adjustment statistics (A) are presented, along with the analysis of variance, which indicates the significance of the model (B), the model coefficients, showing the intercept and the significance of the coefficient for MD, along with standard errors, t-values, and 95% confidence intervals (C). Residuals vs. MD plot (D), Normal probability (Q–Q) plot assessing the normality of residuals (E), and adjusted regression plot illustrating the negative relationship between MD and temperature (F) are presented graphically.
Figure A10. Regression model fitted between the size effects of NBR (MD = mean difference between control and treatment sites) and temperature (Temp, moderator). The basic adjustment statistics (A) are presented, along with the analysis of variance, which indicates the significance of the model (B), the model coefficients, showing the intercept and the significance of the coefficient for MD, along with standard errors, t-values, and 95% confidence intervals (C). Residuals vs. MD plot (D), Normal probability (Q–Q) plot assessing the normality of residuals (E), and adjusted regression plot illustrating the negative relationship between MD and temperature (F) are presented graphically.
Forests 16 01154 g0a10
Figure A11. Regression model fitted between the size effects of NBR (MD = mean difference between control and treatment sites) and soil water content (SWC, moderator). The basic adjustment statistics (A) are presented, along with the analysis of variance, which indicates the significance of the model (B), the model coefficients, showing the intercept and the significance of the coefficient for MD, along with standard errors, t-values, and 95% confidence intervals (C). Residuals vs. MD plot (D), Normal probability (Q–Q) plot assessing the normality of residuals (E), and adjusted regression plot illustrating the positive relationship between MD and soil water content (F) are presented graphically.
Figure A11. Regression model fitted between the size effects of NBR (MD = mean difference between control and treatment sites) and soil water content (SWC, moderator). The basic adjustment statistics (A) are presented, along with the analysis of variance, which indicates the significance of the model (B), the model coefficients, showing the intercept and the significance of the coefficient for MD, along with standard errors, t-values, and 95% confidence intervals (C). Residuals vs. MD plot (D), Normal probability (Q–Q) plot assessing the normality of residuals (E), and adjusted regression plot illustrating the positive relationship between MD and soil water content (F) are presented graphically.
Forests 16 01154 g0a11
Figure A12. Regression model fitted between the size effects of NBR (MD = mean difference between control and treatment sites) and soil texture (Texture, moderator). The basic adjustment statistics (A) are presented, along with the analysis of variance, which indicates the significance of the model (B), the model coefficients, showing the intercept and the significance of the coefficient for MD, along with standard errors, t-values, and 95% confidence intervals (C). Residuals vs. MD plot (D), Normal probability (Q–Q) plot assessing the normality of residuals (E), and adjusted regression plot illustrating the positive relationship between MD and soil texture (F) are presented graphically.
Figure A12. Regression model fitted between the size effects of NBR (MD = mean difference between control and treatment sites) and soil texture (Texture, moderator). The basic adjustment statistics (A) are presented, along with the analysis of variance, which indicates the significance of the model (B), the model coefficients, showing the intercept and the significance of the coefficient for MD, along with standard errors, t-values, and 95% confidence intervals (C). Residuals vs. MD plot (D), Normal probability (Q–Q) plot assessing the normality of residuals (E), and adjusted regression plot illustrating the positive relationship between MD and soil texture (F) are presented graphically.
Forests 16 01154 g0a12
Figure A13. Regression model fitted between the size effects of MSI (MD = mean difference between control and treatment sites) and precipitation (Precip, moderator). The basic adjustment statistics (A) are presented, along with the analysis of variance, which indicates the significance of the model (B), the model coefficients, showing the intercept and the significance of the coefficient for MD, along with standard errors, t-values, and 95% confidence intervals (C). Residuals vs. MD plot (D), Normal probability (Q–Q) plot assessing the normality of residuals (E), and adjusted regression plot illustrating the negative relationship between MD and precipitation (F) are presented graphically.
Figure A13. Regression model fitted between the size effects of MSI (MD = mean difference between control and treatment sites) and precipitation (Precip, moderator). The basic adjustment statistics (A) are presented, along with the analysis of variance, which indicates the significance of the model (B), the model coefficients, showing the intercept and the significance of the coefficient for MD, along with standard errors, t-values, and 95% confidence intervals (C). Residuals vs. MD plot (D), Normal probability (Q–Q) plot assessing the normality of residuals (E), and adjusted regression plot illustrating the negative relationship between MD and precipitation (F) are presented graphically.
Forests 16 01154 g0a13
Figure A14. Regression model fitted between the size effects of MSI (MD = mean difference between control and treatment sites) and temperature (Temp, moderator). The basic adjustment statistics (A) are presented, along with the analysis of variance, which indicates the significance of the model (B), the model coefficients, showing the intercept and the significance of the coefficient for MD, along with standard errors, t-values, and 95% confidence intervals (C). Residuals vs. MD plot (D), Normal probability (Q–Q) plot assessing the normality of residuals (E), and adjusted regression plot illustrating the positive relationship between MD and temperature (F) are presented graphically.
Figure A14. Regression model fitted between the size effects of MSI (MD = mean difference between control and treatment sites) and temperature (Temp, moderator). The basic adjustment statistics (A) are presented, along with the analysis of variance, which indicates the significance of the model (B), the model coefficients, showing the intercept and the significance of the coefficient for MD, along with standard errors, t-values, and 95% confidence intervals (C). Residuals vs. MD plot (D), Normal probability (Q–Q) plot assessing the normality of residuals (E), and adjusted regression plot illustrating the positive relationship between MD and temperature (F) are presented graphically.
Forests 16 01154 g0a14
Figure A15. Regression model fitted between the size effects of MSI (MD = mean difference between control and treatment sites) and soil water content (SWC, moderator). The basic adjustment statistics (A) are presented, along with the analysis of variance, which indicates the significance of the model (B), the model coefficients, showing the intercept and the significance of the coefficient for MD, along with standard errors, t-values, and 95% confidence intervals (C). Residuals vs. MD plot (D), Normal probability (Q–Q) plot assessing the normality of residuals (E), and adjusted regression plot illustrating the negative relationship between MD and soil water content (F) are presented graphically.
Figure A15. Regression model fitted between the size effects of MSI (MD = mean difference between control and treatment sites) and soil water content (SWC, moderator). The basic adjustment statistics (A) are presented, along with the analysis of variance, which indicates the significance of the model (B), the model coefficients, showing the intercept and the significance of the coefficient for MD, along with standard errors, t-values, and 95% confidence intervals (C). Residuals vs. MD plot (D), Normal probability (Q–Q) plot assessing the normality of residuals (E), and adjusted regression plot illustrating the negative relationship between MD and soil water content (F) are presented graphically.
Forests 16 01154 g0a15
Figure A16. Regression model fitted between the size effects of MSI (MD = mean difference between control and treatment sites) and soil texture (Texture, moderator). The basic adjustment statistics (A) are presented, along with the analysis of variance, which indicates the significance of the model (B), the model coefficients, showing the intercept and the significance of the coefficient for MD, along with standard errors, t-values, and 95% confidence intervals (C). Residuals vs. MD plot (D), Normal probability (Q–Q) plot assessing the normality of residuals (E), and adjusted regression plot illustrating the negative relationship between MD and soil texture (F) are presented graphically.
Figure A16. Regression model fitted between the size effects of MSI (MD = mean difference between control and treatment sites) and soil texture (Texture, moderator). The basic adjustment statistics (A) are presented, along with the analysis of variance, which indicates the significance of the model (B), the model coefficients, showing the intercept and the significance of the coefficient for MD, along with standard errors, t-values, and 95% confidence intervals (C). Residuals vs. MD plot (D), Normal probability (Q–Q) plot assessing the normality of residuals (E), and adjusted regression plot illustrating the negative relationship between MD and soil texture (F) are presented graphically.
Forests 16 01154 g0a16

References

  1. Robichaud, P.R. Post-Fire Treatment Effectiveness for Hillslope Stabilization; US Department of Agriculture, Forest Service, Rocky Mountain Research Station: Fort Collins, CO, USA, 1998. [Google Scholar]
  2. Girona-García, A.; Vieira, D.C.S.; Silva, J.; Fernández, C.; Robichaud, P.R.; Keizer, J.J. Effectiveness of Post-Fire Soil Erosion Mitigation Treatments: A Systematic Review and Meta-Analysis. Earth-Sci. Rev. 2021, 217, 103611. [Google Scholar] [CrossRef]
  3. Lucas-Borja, M.E. Efficiency of Postfire Hillslope Management Strategies: Gaps of Knowledge. Curr. Opin. Environ. Sci. Health 2021, 21, 100247. [Google Scholar] [CrossRef]
  4. Fernández, C.; Vega, J.A.; Jiménez, E.; Fonturbel, T. Effectiveness of Three Post-Fire Treatments at Reducing Soil Erosion in Galicia (NW Spain). Int. J. Wildland Fire 2011, 20, 104. [Google Scholar] [CrossRef]
  5. López-Vicente, M.; Kramer, H.; Keesstra, S. Effectiveness of Soil Erosion Barriers to Reduce Sediment Connectivity at Small Basin Scale in a Fire-Affected Forest. J. Environ. Manag. 2021, 278, 111510. [Google Scholar] [CrossRef] [PubMed]
  6. Spanos, I.; Raftoyannis, Y. Evaluation of Log and Branch Barriers as Post-Fire Rehabilitation Treatments in a Mediterranean Pine Forest in Greece. Int. J. Wildland Fire 2005, 14, 183. [Google Scholar] [CrossRef]
  7. Badía, D.; Sánchez, C.; Aznar, J.M.; Martí, C. Post-Fire Hillslope Log Debris Dams for Runoff and Erosion Mitigation in the Semiarid Ebro Basin. Geoderma 2015, 237–238, 298–307. [Google Scholar] [CrossRef]
  8. Fernández, C. Effects of Post-Fire Application of Straw Mulch Strips on Soil Erosion, Soil Moisture and Vegetation Regeneration in European Dry Heathlands in NW Spain. Ecol. Eng. 2023, 196, 107095. [Google Scholar] [CrossRef]
  9. Martinez, J.L.; Lucas-Borja, M.E.; Plaza-Alvarez, P.A.; Denisi, P.; Moreno, M.A.; Hernández, D.; González-Romero, J.; Zema, D.A. Comparison of Satellite and Drone-Based Images at Two Spatial Scales to Evaluate Vegetation Regeneration after Post-Fire Treatments in a Mediterranean Forest. Appl. Sci. 2021, 11, 5423. [Google Scholar] [CrossRef]
  10. Gobin, A.; Jones, R.; Kirkby, M.; Campling, P.; Govers, G.; Kosmas, C.; Gentile, A.R. Indicators for Pan-European Assessment and Monitoring of Soil Erosion by Water. Environ. Sci. Policy 2004, 7, 25–38. [Google Scholar] [CrossRef]
  11. Sebastián-López, A.; Salvador-Civil, R.; Gonzalo-Jiménez, J.; SanMiguel-Ayanz, J. Integration of Socio-Economic and Environmental Variables for Modelling Long-Term Fire Danger in Southern Europe. Eur. J. For. Res. 2008, 127, 149–163. [Google Scholar] [CrossRef]
  12. Chen, X.; Chen, W.; Xu, M. Remote-Sensing Monitoring of Postfire Vegetation Dynamics in the Greater Hinggan Mountain Range Based on Long Time-Series Data: Analysis of the Effects of Six Topographic and Climatic Factors. Remote Sens. 2022, 14, 2958. [Google Scholar] [CrossRef]
  13. Pérez-Cabello, F.; Montorio, R.; Alves, D.B. Remote Sensing Techniques to Assess Post-Fire Vegetation Recovery. Curr. Opin. Environ. Sci. Health 2021, 21, 100251. [Google Scholar] [CrossRef]
  14. Gitas, I.; Mitri, G.; Veraverbeke, S.; Polychronaki, A. Advances in Remote Sensing of Post-Fire Vegetation Recovery Monitoring—A Review. Remote Sensing of Biomass-Principles and Applications; IntechOpen: Rijeka, Croatia, 2012; Volume 1, ISBN 978-953-51-0313-4. [Google Scholar]
  15. Ferrara, C.; Chianucci, F.; Bajocco, S. On the Temporal Mismatch between In-Situ and Satellite-Derived Spring Phenology of European Beech Forests. Int. J. Remote Sens. 2023, 44, 1684–1701. [Google Scholar] [CrossRef]
  16. Kurbanov, E.; Vorobev, O.; Lezhnin, S.; Sha, J.; Wang, J.; Li, X.; Cole, J.; Dergunov, D.; Wang, Y. Remote Sensing of Forest Burnt Area, Burn Severity, and Post-Fire Recovery: A Review. Remote Sens. 2022, 14, 4714. [Google Scholar] [CrossRef]
  17. Gao, F.; Morisette, J.T.; Wolfe, R.E.; Ederer, G.; Pedelty, J.; Masuoka, E.; Myneni, R.; Tan, B.; Nightingale, J. An Algorithm to Produce Temporally and Spatially Continuous MODIS-LAI Time Series. IEEE Geosci. Remote Sens. Lett. 2008, 5, 60–64. [Google Scholar] [CrossRef]
  18. Avetisyan, D.; Stankova, N.; Dimitrov, Z. Assessment of Spectral Vegetation Indices Performance for Post-Fire Monitoring of Different Forest Environments. Fire 2023, 6, 290. [Google Scholar] [CrossRef]
  19. Carrari, E.; Biagini, P.; Selvi, F. Early Vegetation Recovery of a Burned Mediterranean Forest in Relation to Post-Fire Management Strategies. For. Int. J. For. Res. 2022, 95, 548–561. [Google Scholar] [CrossRef]
  20. Pleniou, M.; Koutsias, N. Sensitivity of Spectral Reflectance Values to Different Burn and Vegetation Ratios: A Multi-Scale Approach Applied in a Fire Affected Area. ISPRS J. Photogramm. Remote Sens. 2013, 79, 199–210. [Google Scholar] [CrossRef]
  21. Veraverbeke, S.; Gitas, I.; Katagis, T.; Polychronaki, A.; Somers, B.; Goossens, R. Assessing Post-Fire Vegetation Recovery Using Red–near Infrared Vegetation Indices: Accounting for Background and Vegetation Variability. ISPRS J. Photogramm. Remote Sens. 2012, 68, 28–39. [Google Scholar] [CrossRef]
  22. Celebrezze, J.V.; Franz, M.C.; Andrus, R.A.; Stahl, A.T.; Steen-Adams, M.; Meddens, A.J.H. A Fast Spectral Recovery Does Not Necessarily Indicate Post-Fire Forest Recovery. Fire Ecol. 2024, 20, 54. [Google Scholar] [CrossRef]
  23. Fernández-Guisuraga, J.M.; Calvo, L.; Fernández-García, V.; Marcos-Porras, E.; Taboada, Á.; Suárez-Seoane, S. Efficiency of Remote Sensing Tools for Post-Fire Management along a Climatic Gradient. For. Ecol. Manag. 2019, 433, 553–562. [Google Scholar] [CrossRef]
  24. European Environment Agency (EEA). DMEER: Digital Map of European Ecological Regions. 2024. Available online: https://www.eea.europa.eu/en/analysis/maps-and-charts/dmeer-digital-map-of-european-ecological-regions (accessed on 3 February 2025).
  25. Kottek, M.; Grieser, J.; Beck, C.; Rudolf, B.; Rubel, F. World Map of the Köppen-Geiger Climate Classification Updated. Meteorol. Z. 2006, 15, 259–263. [Google Scholar] [CrossRef] [PubMed]
  26. Rivas Martínez, S. Mapa de Las Series de Vegetación de España y Su Memoria; ICONA: Madrid, España, 1986. [Google Scholar]
  27. Soriano Sancho, J.L.; Martínez Botella, M.A.; Cervera Montero, A. Informe Post Incendio Llutxent 06/08/2018 2018. Available online: https://mediambient.gva.es/documents/162905929/163822469/Informe+elaborado+por+el+CEAM+sobre+el+incendio+forestal+de+Llutxent++2018/40db3cbc-62e4-4f21-b044-c261b3facfcd (accessed on 14 December 2024).
  28. Fernández, C.; Fernández-Alonso, J.M.; Keizer, J.J.; Girona-García, A. Guía Para La Evaluación de Campo de La Severidad Del Fuego En El Suelo; Xunta de Galicia: Santiago, Spain, 2021; ISBN 978-84-12-42693-9. [Google Scholar]
  29. Keeley, J.E. Fire Intensity, Fire Severity and Burn Severity: A Brief Review and Suggested Usage. Int. J. Wildland Fire 2009, 18, 116–126. [Google Scholar] [CrossRef]
  30. Pérez-Romero, J.; Lucas-Borjas, M.E.; González-Sanchis, M.; Molina, A.J.; Blanco-Cano, L.; del Campo García, A.D. BADE, a Tool for Burnt Areas Detection & Evolution. In Advances in Forest Fire Research 2022; Coimbra University Press: Coimbra, Portugal, 2022; pp. 99–104. [Google Scholar]
  31. Food and Agriculture Organization. Guidelines for Soil Description, 4th ed.; Food and Agriculture Organization of the United Nations: Rome, Italy, 2006; ISBN 978-92-5-105521-2. [Google Scholar]
  32. Çellek, S. Effect of the Slope Angle and Its Classification on Landslide. Nat. Hazards Earth Syst. Sci. Discuss. 2020, 1–23. [Google Scholar] [CrossRef]
  33. Bilir, T.E.; Fung, I.; Dawson, T.E. Slope-Aspect Induced Climate Differences Influence How Water Is Exchanged Between the Land and Atmosphere. J. Geophys. Res. Biogeosciences 2021, 126, e2020JG006027. [Google Scholar] [CrossRef]
  34. Foga, S.; Scaramuzza, P.L.; Guo, S.; Zhu, Z.; Dilley, R.D.; Beckmann, T.; Schmidt, G.L.; Dwyer, J.L.; Joseph Hughes, M.; Laue, B. Cloud Detection Algorithm Comparison and Validation for Operational Landsat Data Products. Remote Sens. Environ. 2017, 194, 379–390. [Google Scholar] [CrossRef]
  35. Bonannella, C.; Hengl, T.; Heisig, J.; Parente, L.; Wright, M.N.; Herold, M.; De Bruin, S. Forest Tree Species Distribution for Europe 2000–2020: Mapping Potential and Realized Distributions Using Spatiotemporal Machine Learning. PeerJ 2022, 10, e13728. [Google Scholar] [CrossRef]
  36. Stankova, N. Post-Fire Recovery Monitoring Using Remote Sensing: A Review. ARB 2023, 35, 192–200. [Google Scholar] [CrossRef]
  37. Key, C.H.; Benson, N.C. Landscape Assessment (LA); Department of Agriculture, Forest Service, Rocky Mountain Research Station: Fort Collins, CO, USA, 2006; pp. 1–55. [Google Scholar]
  38. Jordan, C.F. Derivation of Leaf-Area Index from Quality of Light on the Forest Floor. Ecology 1969, 50, 663–666. [Google Scholar] [CrossRef]
  39. Stefanov, W.L.; Stefanov, W.L. NDVI (Normalized Difference Vegetation Index) Image of 1975 Landsat MSS Image. LTER Network Information System Repository. LTER Netw. Inf. Syst. Repos. 1975. [Google Scholar] [CrossRef]
  40. Hardisky, M.A.; Daiber, F.C.; Roman, C.T.; Klemas, V. Remote Sensing of Biomass and Annual Net Aerial Primary Productivity of a Salt Marsh. Remote Sens. Environ. 1984, 16, 91–106. [Google Scholar] [CrossRef]
  41. Raymond Hunt, E.; Rock, B.N.; Nobel, P.S. Measurement of Leaf Relative Water Content by Infrared Reflectance. Remote Sens. Environ. 1987, 22, 429–435. [Google Scholar] [CrossRef]
  42. Huntjr, E.; Rock, B. Detection of Changes in Leaf Water Content Using Near- and Middle-Infrared Reflectances☆. Remote Sens. Environ. 1989, 30, 43–54. [Google Scholar] [CrossRef]
  43. Gitelson, A.A.; Gritz, Y.; Merzlyak, M.N. Relationships between Leaf Chlorophyll Content and Spectral Reflectance and Algorithms for Non-Destructive Chlorophyll Assessment in Higher Plant Leaves. J. Plant Physiol. 2003, 160, 271–282. [Google Scholar] [CrossRef] [PubMed]
  44. Jiang, Z.; Huete, A.; Didan, K.; Miura, T. Development of a Two-Band Enhanced Vegetation Index without a Blue Band. Remote Sens. Environ. 2008, 112, 3833–3845. [Google Scholar] [CrossRef]
  45. Koricheva, J.; Gurevitch, J.; Mengersen, K. Handbook of Meta-Analysis in Ecology and Evolution; Princeton University Press: Princeton, NJ, USA, 2013. [Google Scholar]
  46. Viechtbauer, W. Conducting Meta-Analyses in R with the Metafor Package. J. Stat. Soft. 2010, 36, 1–48. [Google Scholar] [CrossRef]
  47. Higgins, J.P.T.; Thompson, S.G. Quantifying Heterogeneity in a Meta-Analysis. Stat. Med. 2002, 21, 1539–1558. [Google Scholar] [CrossRef]
  48. Viña, A.; Gitelson, A.A.; Nguy-Robertson, A.L.; Peng, Y. Comparison of Different Vegetation Indices for the Remote Assessment of Green Leaf Area Index of Crops. Remote Sens. Environ. 2011, 115, 3468–3478. [Google Scholar] [CrossRef]
  49. Zhen, Z.; Chen, S.; Yin, T.; Gastellu-Etchegorry, J.-P. Globally Quantitative Analysis of the Impact of Atmosphere and Spectral Response Function on 2-Band Enhanced Vegetation Index (EVI2) over Sentinel-2 and Landsat-8. ISPRS J. Photogramm. Remote Sens. 2023, 205, 206–226. [Google Scholar] [CrossRef]
  50. Zou, X.; Mõttus, M. Sensitivity of Common Vegetation Indices to the Canopy Structure of Field Crops. Remote Sens. 2017, 9, 994. [Google Scholar] [CrossRef]
  51. Chuvieco, E.; Aguado, I.; Salas, J.; García, M.; Yebra, M.; Oliva, P. Satellite Remote Sensing Contributions to Wildland Fire Science and Management. Curr. For. Rep. 2020, 6, 81–96. [Google Scholar] [CrossRef]
  52. Hislop, S.; Jones, S.; Soto-Berelov, M.; Skidmore, A.; Haywood, A.; Nguyen, T. Using Landsat Spectral Indices in Time-Series to Assess Wildfire Disturbance and Recovery. Remote Sens. 2018, 10, 460. [Google Scholar] [CrossRef]
  53. White, J.C.; Hermosilla, T.; Wulder, M.A. Pre-Fire Measures of Boreal Forest Structure and Composition Inform Interpretation of Post-Fire Spectral Recovery Rates. For. Ecol. Manag. 2023, 537, 120948. [Google Scholar] [CrossRef]
  54. Bausch, W.C. Soil Background Effects on Reflectance-Based Crop Coefficients for Corn. Remote Sens. Environ. 1993, 46, 213–222. [Google Scholar] [CrossRef]
  55. Chen, X.; Vogelmann, J.E.; Rollins, M.; Ohlen, D.; Key, C.H.; Yang, L.; Huang, C.; Shi, H. Detecting Post-Fire Burn Severity and Vegetation Recovery Using Multitemporal Remote Sensing Spectral Indices and Field-Collected Composite Burn Index Data in a Ponderosa Pine Forest. Int. J. Remote Sens. 2011, 32, 7905–7927. [Google Scholar] [CrossRef]
  56. Santana, V.M.; Alday, J.G.; Baeza, M.J. Effects of Fire Regime Shift in Mediterranean Basin Ecosystems: Changes in Soil Seed Bank Composition among Functional Types. Plant Ecol. 2014, 215, 555–566. [Google Scholar] [CrossRef]
  57. Mitchell, M.; Yuan, F. Assessing Forest Fire and Vegetation Recovery in the Black Hills, South Dakota. GIScience Remote Sens. 2010, 47, 276–299. [Google Scholar] [CrossRef]
  58. Pausas, J.G.; Carbó, E.; Neus Caturla, R.; Gil, J.M.; Vallejo, R. Post-Fire Regeneration Patterns in the Eastern Iberian Peninsula. Acta Oecologica 1999, 20, 499–508. [Google Scholar] [CrossRef]
  59. Tsitsoni, T. Conditions Determining Natural Regeneration after Wildfires in the Pinus halepensis (Miller, 1768) Forests of Kassandra Peninsula (North Greece). For. Ecol. Manag. 1997, 92, 199–208. [Google Scholar] [CrossRef]
  60. Viana-Soto, A.; Aguado, I.; Salas, J.; García, M. Identifying Post-Fire Recovery Trajectories and Driving Factors Using Landsat Time Series in Fire-Prone Mediterranean Pine Forests. Remote Sens. 2020, 12, 1499. [Google Scholar] [CrossRef]
  61. González-De Vega, S.; De Las Heras, J.; Moya, D. Resilience of Mediterranean Terrestrial Ecosystems and Fire Severity in Semiarid Areas: Responses of Aleppo Pine Forests in the Short, Mid and Long Term. Sci. Total Environ. 2016, 573, 1171–1177. [Google Scholar] [CrossRef]
  62. Fernández, C.; Vega, J.A. Is Wood Strand Mulching a Good Alternative to Helimulching to Mitigate the Risk of Soil Erosion and Favour the Recovery of Vegetation in NW Spain? Landscape Ecol. Eng. 2021, 17, 233–242. [Google Scholar] [CrossRef]
  63. Fernández, C.; Fernández-Alonso, J.M.; Vega, J.A.; Fontúrbel, T.; Llorens, R.; Sobrino, J.A. Exploring the Use of Spectral Indices to Assess Alterations in Soil Properties in Pine Stands Affected by Crown Fire in Spain. Fire Ecol. 2021, 17, 2. [Google Scholar] [CrossRef]
  64. Fernández, C.; Vega, J.A.; Fonturbel, T. Does Fire Severity Influence Shrub Resprouting after Spring Prescribed Burning? Acta Oecologica 2013, 48, 30–36. [Google Scholar] [CrossRef]
  65. Espirito-Santo, M.D.; Capelo, J.H.H. Ten Years of Observations after Wildfire on Permanent Plots in Central Mediterranean Portugal. Fire Manag. Landsc. Ecol. 1998, 87–101. [Google Scholar]
  66. Buhk, C.; Meyn, A.; Jentsch, A. The Challenge of Plant Regeneration after Fire in the Mediterranean Basin: Scientific Gaps in Our Knowledge on Plant Strategies and Evolution of Traits. Plant Ecol. 2007, 192, 1–19. [Google Scholar] [CrossRef]
  67. Nolan, R.H.; Collins, L.; Leigh, A.; Ooi, M.K.J.; Curran, T.J.; Fairman, T.A.; Resco De Dios, V.; Bradstock, R. Limits to Post-fire Vegetation Recovery under Climate Change. Plant Cell Environ. 2021, 44, 3471–3489. [Google Scholar] [CrossRef]
  68. Lucas-Borja, M.E.; Fernández, C.; Plaza-Alvarez, P.A.; Carrà, B.G.; Zema, D.A. Variability of Soil Properties with Fire Severity in Pine Forests and Reforested Areas under Mediterranean Conditions. J. Hydrol. Hydromech. 2022, 70, 462–474. [Google Scholar] [CrossRef]
  69. Copeland, S.M.; Munson, S.M.; Bradford, J.B.; Butterfield, B.J. Influence of Climate, Post-Treatment Weather Extremes, and Soil Factors on Vegetation Recovery after Restoration Treatments in the Southwestern US. Appl. Veg. Sci. 2019, 22, 85–95. [Google Scholar] [CrossRef]
  70. Belda, F.; Meliá, J. Relationships between Climatic Parameters and Forest Vegetation: Application to Burned Area in Alicante (Spain). For. Ecol. Manag. 2000, 135, 195–204. [Google Scholar] [CrossRef]
  71. Agbeshie, A.A.; Abugre, S.; Atta-Darkwa, T.; Awuah, R. A Review of the Effects of Forest Fire on Soil Properties. J. For. Res. 2022, 33, 1419–1441. [Google Scholar] [CrossRef]
  72. Certini, G. Effects of Fire on Properties of Forest Soils: A Review. Oecologia 2005, 143, 1–10. [Google Scholar] [CrossRef] [PubMed]
Figure 1. Geographical location and perimeter of burned areas (expressed by dNBR) in the four study areas (source: [24]). Legend: J_Ca (Cazorla, Jaén, Andalusia); Al_He (Hellín, Albacete, Castilla-La Mancha); Po_Ar (Arbo, Pontevedra, Galicia); V_Ll (Lluxent (Valencia, Comunidad Valenciana)).
Figure 1. Geographical location and perimeter of burned areas (expressed by dNBR) in the four study areas (source: [24]). Legend: J_Ca (Cazorla, Jaén, Andalusia); Al_He (Hellín, Albacete, Castilla-La Mancha); Po_Ar (Arbo, Pontevedra, Galicia); V_Ll (Lluxent (Valencia, Comunidad Valenciana)).
Forests 16 01154 g001
Figure 2. Examples of images of study areas (e.g., Hellín) classified by different variables, (a) soil aspect (North: 90–270° or South: 0–90°; 270–360°), (b) soil slope (High: +30%, Medium: 15%–30% or Low: 0%–15%) and (c) fire severity or dNBR (High: +0.6, Medium: 0.27–0.6 or Low: 0.1–0.27), which generates 18 classes (2 × 3 × 3 class).
Figure 2. Examples of images of study areas (e.g., Hellín) classified by different variables, (a) soil aspect (North: 90–270° or South: 0–90°; 270–360°), (b) soil slope (High: +30%, Medium: 15%–30% or Low: 0%–15%) and (c) fire severity or dNBR (High: +0.6, Medium: 0.27–0.6 or Low: 0.1–0.27), which generates 18 classes (2 × 3 × 3 class).
Forests 16 01154 g002
Figure 3. Images classified by physiography and fire severity and then overlapped to show potential combinations of classes (2 aspects × 3 slopes × 3 fire severities) for the four study areas.
Figure 3. Images classified by physiography and fire severity and then overlapped to show potential combinations of classes (2 aspects × 3 slopes × 3 fire severities) for the four study areas.
Forests 16 01154 g003
Figure 4. Distribution of patches in control (C) and treated (T) sites by area in each of the 18 combinations of classes.
Figure 4. Distribution of patches in control (C) and treated (T) sites by area in each of the 18 combinations of classes.
Forests 16 01154 g004
Figure 5. Comparison of spectral indices between the treated and control sites averaged over a 3-month window (0–3, 3–6, 6–9 months), left, and for each ecoregion (see Figure 1), right. Tables added in Appendix A to complement the mean and standard deviation values (a) as shown in Table A1 and (b) as shown in Table A2.
Figure 5. Comparison of spectral indices between the treated and control sites averaged over a 3-month window (0–3, 3–6, 6–9 months), left, and for each ecoregion (see Figure 1), right. Tables added in Appendix A to complement the mean and standard deviation values (a) as shown in Table A1 and (b) as shown in Table A2.
Forests 16 01154 g005
Figure 6. Mean ± standard error of effect size of post-fire management works between treated and control sites on selected spectral indices (GCI, NBR, MSI, and NDVI) by categorical physiographic-severity moderators (fire severity, slope, and aspect). A positive or negative number indicates a larger value for the treatment compared to the control, respectively. Error bars delineate the 95% confidence intervals (CIs). Significance levels: *** ‘< 0.001’; ** ‘< 0.01’; * ‘< 0.05’.
Figure 6. Mean ± standard error of effect size of post-fire management works between treated and control sites on selected spectral indices (GCI, NBR, MSI, and NDVI) by categorical physiographic-severity moderators (fire severity, slope, and aspect). A positive or negative number indicates a larger value for the treatment compared to the control, respectively. Error bars delineate the 95% confidence intervals (CIs). Significance levels: *** ‘< 0.001’; ** ‘< 0.01’; * ‘< 0.05’.
Forests 16 01154 g006
Figure 7. Mean ± standard error of effect size of post-fire management works between treated and control sites on selected spectral indices (GCI, NBR, MSI, and NDVI) by categorical physiographic-severity moderators (ecoregion and time elapsed since fire). A positive or negative number indicates a larger value for the treatment compared to the control, respectively. Error bars delineate the 95% confidence intervals (CIs). Significance levels: *** ‘< 0.001’; ** ‘< 0.01’; * ‘< 0.05’.
Figure 7. Mean ± standard error of effect size of post-fire management works between treated and control sites on selected spectral indices (GCI, NBR, MSI, and NDVI) by categorical physiographic-severity moderators (ecoregion and time elapsed since fire). A positive or negative number indicates a larger value for the treatment compared to the control, respectively. Error bars delineate the 95% confidence intervals (CIs). Significance levels: *** ‘< 0.001’; ** ‘< 0.01’; * ‘< 0.05’.
Forests 16 01154 g007
Figure 8. Regression model fit between the effects size (MD is the mean difference between control and treated sites, with a negative number meaning a larger value for the treatment and positive number meaning a larger value for the control) of four spectral indices (GCI, NBR, MSI, and NDVI) and the interval-defined moderators significant in the meta-analyses. Moderators: annual precipitation (Precip), diurnal temperature average 2000–2017 (Temp), soil water content at 33 kpa, field capacity (SWC), and texture class (dependent variables that was coded numerically as 12: sand, 11: loamy sand, 10: silt, 9: sandy loam, 8: silt loam, 7: loam, 6: sandy clay loam, 5: silty clay loam, 4: clay loam, 3: sandy clay, 2: silty clay, 1: clay). Table 6 and Appendix B (full models) provide additional details on the regressions performed.
Figure 8. Regression model fit between the effects size (MD is the mean difference between control and treated sites, with a negative number meaning a larger value for the treatment and positive number meaning a larger value for the control) of four spectral indices (GCI, NBR, MSI, and NDVI) and the interval-defined moderators significant in the meta-analyses. Moderators: annual precipitation (Precip), diurnal temperature average 2000–2017 (Temp), soil water content at 33 kpa, field capacity (SWC), and texture class (dependent variables that was coded numerically as 12: sand, 11: loamy sand, 10: silt, 9: sandy loam, 8: silt loam, 7: loam, 6: sandy clay loam, 5: silty clay loam, 4: clay loam, 3: sandy clay, 2: silty clay, 1: clay). Table 6 and Appendix B (full models) provide additional details on the regressions performed.
Forests 16 01154 g008
Table 1. Spectral indices with relevant equations to evaluate post-fire vegetation recovery in this study.
Table 1. Spectral indices with relevant equations to evaluate post-fire vegetation recovery in this study.
IndexEquationReferences
Normalized Burn Ratio (NBR) N B R = ( N I R S W I R 2 ) ( N I R + S W I R 2 ) [37]
Normalized Difference Vegetation Index (NDVI) N D V I = ( N I R R E D ) ( N I R + R E D ) [38,39]
Normalized Difference Infrared Index (NDII) N D I I = ( N I R S W I R 1 ) ( N I R + S W I R 1 ) [40]
Moisture Stress Index (MSI) M S I = S W I R 1 N I R [41,42]
Green Chlorophyll Index (GCI) G C I = N I R G R E E N 1 [43]
Enhanced Vegetation Index 2 (EVI2) E V I 2 = 2.5 ( N I R R E D ) ( N I R + 2.4 R E D + 1 ) [44]
Notes: NIR: near Infrared; SWIR: short-wave infrared.
Table 2. Covariates or moderators selected to evaluate the effect size of post-fire vegetation regeneration in the four case studies Jaén-Cazorla (J_Ca), Albacete-Hellín (Al_He), Pontevedra-Arbó (Po_Ar), and Valencia-Lluxent (V_Ll). The numbers are the mean values; the range is in square brackets.
Table 2. Covariates or moderators selected to evaluate the effect size of post-fire vegetation regeneration in the four case studies Jaén-Cazorla (J_Ca), Albacete-Hellín (Al_He), Pontevedra-Arbó (Po_Ar), and Valencia-Lluxent (V_Ll). The numbers are the mean values; the range is in square brackets.
Covariates or ModeratorsStudy Areas
Al_HeJ_CaPo_ArV_Ll
Elevation (m above sea level)531.74 [453.72–596.98]1181.68 [1131.48–1246.33]412.83 [367.07–519.21]480.4 [461.55–503.93]
Aspect (°)170.55 [133.93–207.88]146.11 [118.21–194.81]150.75 [72.99–179.94]185.64 [179.62–194.68]
Slope (%)19.29 [7.76–35.64]23.85 [10.57–36.84]20.94 [12.11–32.05]15.21 [9.36–21.22]
Texture *4.77 [4.23–5.34]6.36 [6.28–6.46]8.78 [8.6–9]5.54 [5.21–5.89]
pH (-)7.72 [7.62–7.82]7.16 [7.09–7.23]5.43 [5.29–5.59]7.05 [6.99–7.11]
SWC (%)27.79 [25.66–30.04]35.89 [35.21–37.3]32.15 [30.77–32.72]36.21 [35.45–36.85]
Clay (%)28.64 [27.62–29.3]26.35 [26.2–26.65]13.89 [13.16–14.99]27.57 [26.98–28.13]
Sand (%)32.59 [31.91–34.01]32.68 [31.6–33.53]58.74 [56.65–61]35.29 [35.02–35.53]
Bulk Density (kg/m3)13.98 [13.42–14.65]12.10 [11.87–12.26]12.94 [12.72–13.14]13.26 [13.02–13.43]
Precipitation (mm)331.03 [323.63–338.18]548.71 [533.23–560.26]1452.45 [1430.52–1479.87]518.51 [514.81–523.93]
Temperature (°C)25.39 [25.13–25.63]20.43 [20.12–20.66]20.01 [19.91–20.09]21.92 [21.86–22.01]
Slope ClassLow: slope < 15%, Medium: slope 15%–30% and High: slope > 30%
Aspect ClassNorth: aspect (90–270°) and South: aspect (<90° and >270°)
Fire severityLow: (0.1–0.25 dNBR), Medium: (0.25–0.5 dNBR) and High: (>0.5 dNBR)
Classification1: North, Low, Severity1; 2: North, Low, Severity2; 3: North, Low, Severity3; 4: North, Medium, Severity1; 5: North, Medium, Severity2; 6: North, Medium, Severity3; 7: North, High, Severity1; 8: North, High, Severity2;
9: North, High, Severity3; 10: South, Low, Severity1; 11: South, Low, Severity2; 12: South, Low, Severity3; 13: South, Medium, Severity1; 14: South, Medium, Severity2; 15: South, Medium, Severity3; 16: South, High, Severity1; 17: South, High, Severity2; 18: South, High, Severity3
EcoregionAl_He: Hellín, Schlerophyl. forests, J_Ca: Cazorla, conifer forests Po_Ar: Arbo, Atlantic forests,
V_Ll: LLuxent, Medit. Forests
Time elapse from fire3 months, 6 months and 9 months post-fire
* Texture was coded numerically as follows: 12: sand, 11: loamy sand, 10: silt, 9: sandy loam, 8: silt loam, 7: loam, 6: sandy clay loam, 5: silty clay loam, 4: clay loam, 3: sandy clay, 2: silty clay, 1: clay.
Table 3. Results of the statistical analysis by random effects models applied to multispectral vegetation index in the four study areas.
Table 3. Results of the statistical analysis by random effects models applied to multispectral vegetation index in the four study areas.
Spectral IndexMeanEstimate MDStd. Errorz-ValueCI-lbCI-ub
ControlTreatment
EVI20.217 (0.42)0.218 (0.38)0.00150.00230.6452−0.00310.0061
GCI1.361 (1.88)1.475 (1.55)−0.1460.0243−6.0054 ***−0.1936−0.0983
MSI1.296 (1.00)1.216 (1.04)0.0840.01555.4179 ***0.05360.1144
NBR0.026 (0.24)0.073 (0.20)−0.04970.0099−5.0286 ***−0.0691−0.0303
NDII−0.099 (0.02)−0.077 (−0.01)−0.02450.006−4.0659 ***−0.0363−0.0127
NDVI0.285 (0.42)0.319 (0.38)−0.03550.0045−7.916 ***−0.0442−0.0267
Notes: MD is the mean effect size between C and T sites; CI-lb and CI-ub are the lower and upper boundaries of the confidence intervals, respectively; *** significant mean at p-value < 0.0001; the numbers between brackets are the index averaged over three years before the fire.
Table 4. Statistical analysis results by random-effects models (without moderators) and mixed-effects models (with moderators related to physiography, fire severity, ecoregion, and time elapsed from fire) applied to the spectral indices in the four study sites.
Table 4. Statistical analysis results by random-effects models (without moderators) and mixed-effects models (with moderators related to physiography, fire severity, ecoregion, and time elapsed from fire) applied to the spectral indices in the four study sites.
Spectral IndicesCovariates/Moderatorsτ2I2 (%)H2Qdfp-ValueQMdfp-Value
NBRNo moderators0.0122 (SE = 0.0016)99.2129.816,333131***
Slope class0.0124 (SE = 0.0016)99.2128.615,972129***25.73***
Aspect class0.0123 (SE = 0.0016)99.2128.316,207130***25.12***
Fire severity0.0121 (SE = 0.0016)99.2124.215,974129***293***
Ecoregion0.0029 (SE = 0.0004)96.931.86175128***493.84***
Time elapsed from fire0.0122 (SE = 0.0016)99.2124.213,240129***283***
MSINo moderators0.0297 (SE = 0.0039)98.991.212,025131***
Slope class0.0300 (SE = 0.0039)98.990.111,860130***29.12***
Aspect class0.0301 (SE = 0.0040)98.990.711,817129***29.23***
Fire severity0.0293 (SE = 0.0039)98.987.311,856129***343***
Ecoregion0.0088 (SE = 0.0013)96.427.85312128***384.64***
Time elapsed from fire0.0290 (SE = 0.0038)98.886.39213129***34.63***
GCINo moderators0.069 (SE = 0.0095)98.6694750131***
Slope class0.0688 (SE = 0.0095)98.567.64749130***38.12***
Aspect class0.0688 (SE = 0.0095)98.567.44520129***42.23***
Fire severity0.0682 (SE = 0.0095)98.565.14594129***41.53***
Ecoregion0.0124 (SE = 0.0021)92.513.31937128***609.64***
Time elapsed from fire0.0687 (SE = 0.0095)98.566.44110129***38.63***
NDVINo moderators0.0024 (SE = 0.0003)98.151.27018131***
Slope class0.0024 (SE = 0.0003)9850.67017130***63.82***
Aspect class0.0024 (SE = 0.0003)9850.66360129***63.63***
Fire severity0.0024 (SE = 0.0003)98506797129***62.93***
Ecoregion0.0007 (SE = 0.0001)93.816.22480128***441.64***
Time elapsed from fire0.0023 (SE = 0.0003)148.96629129***68.73***
Notes: τ2 = amount of heterogeneity; I2 and H2 = statistics of the amount of heterogeneity; Q = test for heterogeneity; QM = omnibus test of moderators; df = degrees of freedom (130 and 1 for Q and QM tests, respectively); *** = significant at p-value < 0.0001; SE = standard error; no mod. = no modifications for discretization.
Table 5. Results of statistical analysis by random-effects models (without moderators) and mixed-effects models (with moderators related to soil properties and climate) applied to the spectral indices in the four study sites.
Table 5. Results of statistical analysis by random-effects models (without moderators) and mixed-effects models (with moderators related to soil properties and climate) applied to the spectral indices in the four study sites.
Spectral IndicesCovariates/Moderatorsτ2I2 (%)H2 Qdfp-ValueQMp-Value
NBR Soil texture0.0058 (SE = 0.0008)98.462.152.47794***135.6***
pH0.0063 (SE = 0.0009)98.567.248.48510***117***
Soil water content0.0059 (SE = 0.0008)98.462.552.19313***131.5***
Clay0.0084 (SE = 0.0011)98.989.131.410,268***58.8***
Sand0.0095 (SE = 0.0013)99100.822.311,306***37.9***
Precipitation0.0076 (SE = 0.0010)98.881.337.59546***76.1***
Temperature0.004 (SE = 0.0006)97.743.167.26879***245.4***
MSISoil texture0.0161 (SE = 0.0022)9849.745.76262***103***
pH0.0180 (SE = 0.0024)98.255.239.66886***80.7***
SWC0.0142 (SE = 0.0020)97.743.952.37405***132.9***
Clay0.0224 (SE = 0.0030)98.568.624.77793***41.5***
Sand0.0249 (SE = 0.0033)98.776.416.18371***24.6***
Precipitation0.0208 (SE = 0.0028)98.463.929.97472***53.4***
Temperature0.0104 (SE = 0.0015)96.932.4655552***219.9***
GCISoil texture0.0249 (SE = 0.0038)96.125.563.92762***171.3***
pH0.0148 (SE = 0.0024)93.615.578.62158***305.4***
Soil Water Content0.0450 (SE = 0.0064)97.845.134.82707***38.9***
Clay0.0254 (SE = 0.0038)96.226.163.22983***173.5***
Sand0.0296 (SE = 0.0044)96.730.357.13551***147.1***
Precipitation0.0203 (SE = 0.0031)95.22170.62446***220.7***
Temperature0.0351 (SE = 0.0051)97.235.549.12641***85.9***
NDVISoil texture0.0013 (SE = 0.0002)96.427.646.73564***99.7***
pH0.0013 (SE = 0.0002)96.528.744.63949***94.4***
SWC0.0014 (SE = 0.0002)96.629.143.33406***84***
Clay0.0017 (SE = 0.0002)97.336.6295194***49.9***
Sand0.0019 (SE = 0.0003)97.540.321.86206***35.8***
Precipitation0.0016 (SE = 0.0002)9733.834.54634***63.3***
Temperature0.0011 (SE = 0.0002) 95.622.856.12961***139.8***
Notes: τ2 = amount of heterogeneity; I2 and H2 = statistics of the amount of heterogeneity; Q = test for heterogeneity; QM = omnibus test of moderators; df = degrees of freedom (130 and 1 for Q and QM tests, respectively); *** = significant at p-value < 0.0001; SE = standard error.
Table 6. Intercepts (reported with their standard error and 95% confidence intervals) of the regression model fit between the effect size (C-T) of the different spectral indices and the significant moderators (interval-defined) identified in the meta-analyses. The intercept is for the model moderator = incercept + b* (C-T), which gives the value of the moderator for an effect size of b. Spectral indices: GCI, MSI, NBR, and NDVI and the sample size in each process is 132 observations. Texture: soil texture that was coded numerically (12: sand, 11: loamy sand, 10: silt, 9: sandy loam, 8: silt loam, 7: loam, 6: sandy clay loam, 5: silty clay loam, 4: clay loam, 3: sandy clay, 2: silty clay, 1: clay); SWC: soil water content (%); Temp: diurnal temperature (°C) and Precip: annual precipitation (mm). In all the cases the models were significant and the full models are provided as SM1.
Table 6. Intercepts (reported with their standard error and 95% confidence intervals) of the regression model fit between the effect size (C-T) of the different spectral indices and the significant moderators (interval-defined) identified in the meta-analyses. The intercept is for the model moderator = incercept + b* (C-T), which gives the value of the moderator for an effect size of b. Spectral indices: GCI, MSI, NBR, and NDVI and the sample size in each process is 132 observations. Texture: soil texture that was coded numerically (12: sand, 11: loamy sand, 10: silt, 9: sandy loam, 8: silt loam, 7: loam, 6: sandy clay loam, 5: silty clay loam, 4: clay loam, 3: sandy clay, 2: silty clay, 1: clay); SWC: soil water content (%); Temp: diurnal temperature (°C) and Precip: annual precipitation (mm). In all the cases the models were significant and the full models are provided as SM1.
Spectral IndicesModerators CoefficientStandard Error (SE)Lower 95%Upper 95%R2
GCITextureIntercepts6.360.086.206.520.53
b2.740.222.293.18
SWCIntercepts33.070.3332.4133.730.11
b3.740.931.895.58
TempIntercepts21.840.1821.4822.190.30
b−3.780.50−4.78−2.79
PrecipIntercepts685.0221.52642.44727.610.57
b794.1160.22674.97913.24
MSITextureIntercepts6.440.096.266.620.45
b−4.920.48−5.87−3.97
SWCIntercepts33.900.2633.3834.410.50
b−15.741.37−18.44−13.03
TempIntercepts21.420.1421.1521.690.63
b10.660.729.2312.08
PrecipIntercepts683.5328.80626.56740.510.30
b−1122.56151.59−1422.46−822.66
NBRTextureIntercepts6.440.086.276.600.52
b8.250.706.879.63
SWCIntercepts33.780.2633.2634.300.49
b24.062.1719.7728.35
TempIntercepts21.470.1321.2121.730.65
b−16.901.09−19.05−14.75
PrecipIntercepts687.7926.66635.04740.530.38
b1981.01221.291543.212418.80
NDVITextureIntercepts6.610.106.416.820.42
b16.491.6913.1419.84
SWCIntercepts34.210.3333.5634.850.36
b45.665.3735.0356.29
TempIntercepts21.160.1820.8121.510.49
b−32.402.92−38.17−26.63
PrecipIntercepts735.0030.83674.00796.000.33
b4111.42508.623105.175117.66
Disclaimer/Publisher’s Note: The statements, opinions and data contained in all publications are solely those of the individual author(s) and contributor(s) and not of MDPI and/or the editor(s). MDPI and/or the editor(s) disclaim responsibility for any injury to people or property resulting from any ideas, methods, instructions or products referred to in the content.

Share and Cite

MDPI and ACS Style

Pérez-Romero, J.; Lucas-Borja, M.E.; Zema, D.A.; Soria, R.; Miralles, I.; Blanco-Cano, L.; Fernández, C.; del Campo García, A.D. Early Response of Post-Fire Forest Treatments Across Four Iberian Ecoregions: Indicators to Maximize Its Effectiveness by Remote Sensing. Forests 2025, 16, 1154. https://doi.org/10.3390/f16071154

AMA Style

Pérez-Romero J, Lucas-Borja ME, Zema DA, Soria R, Miralles I, Blanco-Cano L, Fernández C, del Campo García AD. Early Response of Post-Fire Forest Treatments Across Four Iberian Ecoregions: Indicators to Maximize Its Effectiveness by Remote Sensing. Forests. 2025; 16(7):1154. https://doi.org/10.3390/f16071154

Chicago/Turabian Style

Pérez-Romero, Javier, Manuel Esteban Lucas-Borja, Demetrio Antonio Zema, Rocío Soria, Isabel Miralles, Laura Blanco-Cano, Cristina Fernández, and Antonio D. del Campo García. 2025. "Early Response of Post-Fire Forest Treatments Across Four Iberian Ecoregions: Indicators to Maximize Its Effectiveness by Remote Sensing" Forests 16, no. 7: 1154. https://doi.org/10.3390/f16071154

APA Style

Pérez-Romero, J., Lucas-Borja, M. E., Zema, D. A., Soria, R., Miralles, I., Blanco-Cano, L., Fernández, C., & del Campo García, A. D. (2025). Early Response of Post-Fire Forest Treatments Across Four Iberian Ecoregions: Indicators to Maximize Its Effectiveness by Remote Sensing. Forests, 16(7), 1154. https://doi.org/10.3390/f16071154

Note that from the first issue of 2016, this journal uses article numbers instead of page numbers. See further details here.

Article Metrics

Back to TopTop