Morphological, Physiological, Biochemical and Metabolite Analyses of Parenchyma Cells Reveal Heartwood Formation Mechanism of Schima superba
Abstract
1. Introduction
2. Materials and Methods
2.1. Sample Collection
2.2. Macro Color Measurement of Wood
2.3. Morphological Changes in Parenchyma Cells during Heartwood Formation
2.4. Physiological and Biochemical Changes during Heartwood Formation
2.4.1. Enzyme Activity
2.4.2. Total Phenol Content
2.4.3. Total Flavonoid Content
2.5. Metabolite Changes during Heartwood Formation
2.6. Statistical Analysis
3. Results and Analysis
3.1. Macroscopic Color Change of Schima superba
3.2. Morphological Changes in Parenchyma Cells during Heartwood Formation
3.2.1. Changes in the Number of Starch Grains
3.2.2. Morphological Changes of Parenchyma Nucleus
3.2.3. The Formation of Heartwood in Schima superba
3.3. Physiological and Biochemical Changes during Heartwood Formation
3.3.1. Enzyme Activity
3.3.2. The Content of Total Phenols and Total Flavonoids
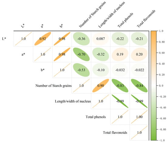
3.3.3. Relationships between Parenchyma Cell Morphology, Metabolites and Color Parameters during Heartwood Formation of Schima superba
3.4. Metabolite Changes during Heartwood Formation
3.4.1. GC–MS Analysis of Extracts from Schima superba
3.4.2. UPLC–MS/MS Analysis of Extracts from Schima superba
4. Discussion
5. Conclusions
Author Contributions
Funding
Data Availability Statement
Conflicts of Interest
References
- Cheng, W.; Wei, X.L.; Li, L.F.; Wu, Z.G.; Luo, Z.Y.; Yu, L.P. Factors and mechanism affecting heartwood formation and research progress of artificial induced heartwood in hardwood. For. Prod. Eng. 2022, 59, 27–32. (In Chinese) [Google Scholar]
- Ji, J.G. Identification of several imported timbers. Plant Quar. 1984, 4, 54–55. (In Chinese) [Google Scholar]
- Ni, J. Relationship between geographical distribution of Schima superba, its forest and climate in China. J. Plant Resour. Environ. 1996, 5, 28–34. [Google Scholar]
- Nakaba, S.; Nakaba, I.; Morimoto, H.; Nakada, R.; Bito, N.; Imai, T.; Funada, R. Agatharesinol biosynthesis-related changes of ray parenchyma in sapwood sticks of Cryptomeria japonica during cell death. Planta 2016, 243, 1225–1236. [Google Scholar] [CrossRef] [PubMed]
- Nakaba, S.; Yamagishi, Y.; Sano, Y.; Funada, R. Temporally and spatially controlled death of parenchyma cells is involved in heartwood formation in pith regions of branches of Robinia pseudoacacia var. inermis. J. Wood Sci. 2012, 58, 69–76. [Google Scholar] [CrossRef]
- Obara, K.; Kuriyama, H.; Fukuda, H. Direct evidence of active and rapid nuclear degradation triggered by vacuole rupture during programmed cell death in Zinnia. Plant Physiol. 2001, 125, 615–626. [Google Scholar] [CrossRef]
- Nakada, R.; Fukatsu, E. Seasonal variation of heartwood formation in Larix kaempferi. Tree Physiol. 2012, 32, 1497–1508. [Google Scholar] [CrossRef]
- Nakaba, S.; Morimoto, H.; Arakawa, I.; Yamagishi, Y.; Nakada, R.; Funada, R. Responses of ray parenchyma cells to wounding differ between earlywood and latewood in the sapwood of Cryptomeria japonica. Trees 2017, 31, 27–39. [Google Scholar] [CrossRef]
- Bamber, R. Sapwood and heartwood: A review. For Abstract. 1985, 46, 567–580. [Google Scholar]
- Funada, R. Control of wood structure; Springer: Berlin/Heidelberg, Germany, 2000; pp. 51–81. [Google Scholar]
- Islam, M.; Begum, S.; Nakaba, S.; Funada, R. Distribution and pattern of availability of storage starch and cell death of ray parenchyma cells of a conifer tree (Larix kaempferi). Res. J. Recent Sci. ISSN 2012, 2277, 2502. [Google Scholar]
- Arakawa, I.; Funada, R.; Nakaba, S. Changes in the morphology and functions of vacuoles during the death of ray parenchyma cells in Cryptomeria japonica. J. Wood Sci. 2018, 64, 177–185. [Google Scholar] [CrossRef]
- Frey-Wyssling, A.; Bosshard, H.H. Cytology of the ray cells in sapwood and heartwood. Holzforschung 1959, 13, 129–137. [Google Scholar] [CrossRef]
- Huang, W.J.; Sun, X.C.; Li, B.; Wang, N.; Yue, Z.G.; Zhang, Y.Q.; Zhang, Z.Y.; Tang, Z.S. Programmed cell death induced by drought stress in sprout tumble of Pinellia ternata. China J. Chin. Mater. Medica 2019, 44, 2020–2025. [Google Scholar]
- Song, K.; Liu, B.; Jiang, X.; Yin, Y. Cellular changes of tracheids and ray parenchyma cells from cambium to heartwood in Cunninghamia lanceolata. J. Trop. For. Sci. 2011, 23, 478–487. [Google Scholar]
- Yang, K.C. Survival rate and nuclear irregularity index of sapwood ray parenchyma cells in four tree species. Can. J. For. Res. 1993, 23, 673–679. [Google Scholar] [CrossRef]
- Gartner, B.L.; Baker, D.C.; Spicer, R. Distribution and vitality of xylem rays in relation to tree leaf area in Douglas-fir. IAWA J. 2000, 21, 389–401. [Google Scholar] [CrossRef]
- Chen, S.Y.; Yen, P.L.; Chang, T.C.; Chang, S.T.; Huang, S.K.; Huang, T.F. Distribution of living ray parenchyma cells and major bioactive compounds during the heartwood formation of Taiwania cryptomerioides Hayata. J. Wood Chem. Technol. 2018, 38, 84–95. [Google Scholar] [CrossRef]
- Mishra, G.; Collings, D.A.; Altaner, C.M. Cell organelles and fluorescence of parenchyma cells in Eucalyptus bosistoana sapwood and heartwood investigated by microscopy. N. Z. J. For. Sci. 2018, 48, 13. [Google Scholar] [CrossRef]
- Nakaba, S.; Begum, S.; Yamagishi, Y.; Jin, H.O.; Kubo, T.; Funada, R. Differences in the timing of cell death, differentiation and function among three different types of ray parenchyma cells in the hardwood Populus sieboldii × P. grandidentata. Trees 2012, 26, 743–750. [Google Scholar] [CrossRef]
- Nakaba, S.; Sano, Y.; Funada, R. Disappearance of microtubules, nuclei and starch during cell death of ray parenchyma in Abies sachalinensis. IAWA J. 2013, 34, 135–146. [Google Scholar] [CrossRef]
- Altaner, R. Oxidative stress, antioxidants and stress tolerance. Trends Plant Sci. 2002, 7, 405–410. [Google Scholar]
- Pitzschke, A.; Forzani, C.; Hirt, H. Reactive oxygen species signaling in plants. Antioxid. Redox Signal. 2006, 8, 1757–1764. [Google Scholar] [CrossRef] [PubMed]
- Zhang, Q.W.; Ding, G.D.; Wang, X.H.; Wang, L.; King, J.G.; Xu, F.S.; Shi, L. Research progress on plant seed phytate. Plant Sci. J. 2016, 34, 814–820. [Google Scholar]
- Moshchenskaya, Y.L.; Galibina, N.A.; Nikerova, K.M.; VNikerova, T.; Korzhenevsky, M.A.; Sofronova, I.N.; Ershova, M.A.; Semenova, L.I. Plant-programmed cell death-associated genes participation in Pinus sylvestris L. trunk tissue formation. Plants 2022, 11, 3438. [Google Scholar] [CrossRef] [PubMed]
- Beritognolo, I.; Magel, E.; Abdel-Latif, A.; Charpentier, J.-P.; Jay-Allemand, C.; Breton, C. Expression of genes encoding chalcone synthase, flavanone 3-hydroxylase and dihydroflavonol 4-reductase correlates with flavanol accumulation during heartwood formation in Juglans nigra. Tree Physiol. 2002, 22, 291–300. [Google Scholar] [CrossRef]
- Magel, E.; Hübner, B. Distribution of phenylalanine ammonia lyase and chalcone synthase within trunks of Robinia pseudoacacia L. Bot. Acta 1997, 110, 314–322. [Google Scholar] [CrossRef]
- Yeh, T.F.; Chu, J.H.; Liu, L.Y.; Chen, S.Y. Differential gene profiling of the heartwood formation process in Taiwania cryptomerioides Hayata xylem tissues. Int. J. Mol. Sci. 2020, 21, 960. [Google Scholar] [CrossRef]
- Wang, Y.L.; Xu, D.P.; Yang, Z.J.; Liu, X.J.; Hong, Z.; Zhang, N.N. Effects of different concentrations of ethephon on the heartwood and essential oil components of Dalbergia odorifera. For. Res. 2019, 32, 56–64. [Google Scholar]
- Deng, L.P.; Deng, S.H.; Lv, J.X.; Wang, Y.R.; Ren, H.Q.; Zhao, R.J. Growth characteristics and variation of heartwood and sapwood of Catalpa bungei. China Wood Ind. 2019, 33, 9–13. [Google Scholar]
- Annabelle, C.; Altaner, C.M.; Gardiner, B.; Jarvis, M.C. Distribution of extractives in Sitka spruce (Picea sitchensis) grown in the northern UK. Eur. J. Wood Wood Prod. 2013, 71, 697–704. [Google Scholar]
- Tang, T.; Tang, K.; Tang, T.; Fukushima, K. Localization of ferruginol, a diterpene phenol, in Cryptomeria japonica heartwood by time-of-flight secondary ion mass spectrometry. Planta 2005, 221, 549–556. [Google Scholar]
- Shi, J.T.; Li, J. Metabolic Profiling for Revealing the Mechanisms of Wood Formation. J. Southwest For. Univ. 2019, 39, 1–8. [Google Scholar]
- Liu, L.h.; Liu, Y.; Yin, J.b.; Gen, Y.X.B.; Li, B.p.; Han, H.j.; Zhao, P. Comparative metabolomics analysis on heartwood and sapwood components of teak (Tectona grandis). J. For. Eng. 2021, 6, 100–106. [Google Scholar]
- Shao, F.J.; Zhang, L.S.; Guo, J.; Guo, X.C.; Ma, W.H.; Wilson, I.W.; Qiu, D.Y. A comparative metabolomics analysis of the components of heartwood and sapwood in Taxus chinensis (Pilger) Rehd. Sci. Rep. 2019, 9, 17647. [Google Scholar] [CrossRef] [PubMed]
- Yang, X.Q.; Yu, X.R.; Liu, Y.; Shi, Z.J.; Li, L.P.; Xie, S.D.; Zhu, G.L.; Zhao, P. Comparative metabolomics analysis reveals the color variation between heartwood and sapwood of Chinese fir (Cunninghamia lanceolata (Lamb.) Hook. Ind. Crops Prod. 2021, 169, 113656. [Google Scholar] [CrossRef]
- Bosshard, H.H. On the formation of facultatively colored heartwood in Beilschmiedia tawa. Wood Sci. Technol. 1968, 2, 1–12. [Google Scholar] [CrossRef]
- Ren, T.Y.; Zheng, P.C.; Zhang, K.X.; Liao, J.R.; Xiong, F.; Xiong, Q.; Ma, Y.C.; Fang, W.P.; Zhu, X.J. Effects of GABA on the polyphenol accumulation and antioxidant activities in tea plants (Camellia sinensis L.) under heat-stress conditions. Plant Physiol. Biochem. 2021, 159, 363–371. [Google Scholar] [CrossRef] [PubMed]
- Zhang, P.; Li, X.F.; Cui, Z.Y.; Xu, D.P. Morphological, physiological, biochemical and molecular analyses reveal wounding-induced agarwood formation mechanism in two types of Aquilaria sinensis (Lour.) Spreng. Ind. Crops Prod. 2022, 178, 114603. [Google Scholar] [CrossRef]
- Hong, E.; Kim, G.H. Comparison of extraction conditions for phenolic, flavonoid content and determination of rosmarinic acid from Perilla frutescens var. acuta. Int. J. Food Sci. Technol. 2010, 45, 1353–1359. [Google Scholar] [CrossRef]
- Shain, L.; Hillis, W. Ethylene production in xylem of Pinus radiata in relation to heartwood formation. Can. J. Bot. 1973, 51, 1331–1335. [Google Scholar] [CrossRef]
- Yang, J.; Park, S.; Kamdem, D.P.; Keathley, D.E.; Retzel, E.; Paule, C.; Kapur, V.; Han, K.-H. Novel gene expression profiles define the metabolic and physiological processes characteristic of wood and its extractive formation in a hardwood tree species, Robinia pseudoacacia. Plant Mol. Biol. 2003, 52, 935–956. [Google Scholar] [CrossRef] [PubMed]
- Magel, E.A.; Hillinger, C.; Hillinger, T.; Höll, W. Oxidative pentose phosphate pathway and pyridine nucleotides in relation to heartwood formation in Robinia pseudoacacia L. Phytochemistry 2001, 57, 1061–1068. [Google Scholar] [CrossRef] [PubMed]
- Yazaki, Y. Wood colors and their coloring matters: A review. Nat. Prod. Commun. 2015, 10, 1934578X1501000332. [Google Scholar] [CrossRef]











| NO. | Classification | Compounds | Formula | Molecular Weight (Da) | Peak Area Percentage (%) | ||
|---|---|---|---|---|---|---|---|
| SW | TZ | HW | |||||
| 1 | Phenols | Coniferyl Alcohol | C10H12O3 | 180.20 | - | - | 5.41 | 
| 2 | 2′,6′-Dihydroxy-4′-Methoxyacetophenone | C9H10O4 | 182.17 | - | - | 2.95 | |
| 3 | 2,4-Di-tert-butylphenol | C14H22O | 206.32 | - | 0.07 | 2.93 | |
| 4 | Isorhamnetin | C16H12O7 | 316.26 | - | - | 1.59 | |
| 5 | Terpenoids | Beta-Ionone | C13H20O | 192.30 | - | - | 1.38 | 
| 6 | Phytane | C20H42 | 282.50 | 0.04 | 0.18 | 1.16 | |
| 7 | Thioguanine | C5H5N5S | 167.19 | - | - | 0.86 | |
| 8 | Alkaloids | Skatole | C9H9N | 131.17 | - | - | 1.55 | 
| 9 | Lipids | Methyl butyrate | C5H10O2 | 102.13 | 7.14 | - | - | 
| 10 | Isopropyl dodecanoate | C15H30O2 | 242.40 | 1.13 | - | - | |
| NO. | Rt (min) | Compounds | Formula | Molecular Weight (Da) | Peak Area | 
|---|---|---|---|---|---|
| 1 | 7.695 | Bakkenolide A | C15H22O2 | 235.1682 | 1,075,835.728 | 
| 2 | 12.391 | Melamine | C3H6N6 | 127.0729 | 620,495.897 | 
| 3 | 3.262 | 4-Ethyl-2-methoxyphenol | C9H12O2 | 211.0971 | 534,145.486 | 
| 4 | 1.019 | Limonin | C26H30O8 | 471.2011 | 448,018.769 | 
| 5 | 8.771 | Homovanillic Acid | C9H10O4 | 181.0499 | 385,446.775 | 
| 6 | 13.582 | Quillaic acid | C30H46O5 | 487.3397 | 163,758.184 | 
| 7 | 7.695 | Doxofylline | C11H14N4O4 | 267.1101 | 144,042.467 | 
| 8 | 1.565 | 8-Epiiridotrial glucoside | C16H24O8 | 367.1367 | 136,495.749 | 
| 9 | 8.824 | Nigakilactone N | C21H30O7 | 395.2057 | 130,933.374 | 
| 10 | 4.801 | Manoalide | C25H36O5 | 417.2619 | 113,622.510 | 
| Disclaimer/Publisher’s Note: The statements, opinions and data contained in all publications are solely those of the individual author(s) and contributor(s) and not of MDPI and/or the editor(s). MDPI and/or the editor(s) disclaim responsibility for any injury to people or property resulting from any ideas, methods, instructions or products referred to in the content. | 
© 2024 by the authors. Licensee MDPI, Basel, Switzerland. This article is an open access article distributed under the terms and conditions of the Creative Commons Attribution (CC BY) license (https://creativecommons.org/licenses/by/4.0/).
Share and Cite
Wen, L.; Chen, S.; Wei, P.; Fu, Y. Morphological, Physiological, Biochemical and Metabolite Analyses of Parenchyma Cells Reveal Heartwood Formation Mechanism of Schima superba. Forests 2024, 15, 984. https://doi.org/10.3390/f15060984
Wen L, Chen S, Wei P, Fu Y. Morphological, Physiological, Biochemical and Metabolite Analyses of Parenchyma Cells Reveal Heartwood Formation Mechanism of Schima superba. Forests. 2024; 15(6):984. https://doi.org/10.3390/f15060984
Chicago/Turabian StyleWen, Lili, Shixiang Chen, Penglian Wei, and Yunlin Fu. 2024. "Morphological, Physiological, Biochemical and Metabolite Analyses of Parenchyma Cells Reveal Heartwood Formation Mechanism of Schima superba" Forests 15, no. 6: 984. https://doi.org/10.3390/f15060984
APA StyleWen, L., Chen, S., Wei, P., & Fu, Y. (2024). Morphological, Physiological, Biochemical and Metabolite Analyses of Parenchyma Cells Reveal Heartwood Formation Mechanism of Schima superba. Forests, 15(6), 984. https://doi.org/10.3390/f15060984
 
        

 
       