Next Article in Journal
The Impact of Magnetic Field and Gibberellin Treatment on the Release of Dormancy and Internal Nutrient Transformation in Tilia miqueliana Maxim. Seeds
Next Article in Special Issue
Substitution of Inorganic Fertilizer with Organic Fertilizer Influences Soil Carbon and Nitrogen Content and Enzyme Activity under Rubber Plantation
Previous Article in Journal
Improving Volume and Biomass Equations for Pinus oocarpa in Nicaragua
 
 
Font Type:
Arial Georgia Verdana
Font Size:
Aa Aa Aa
Line Spacing:
Column Width:
Background:
Article

Autumnal Potassium Induced Modulations in Plant Osmoprotectant Substances, Nutrient Stoichiometry and Precision Sustainable Seedling Cultivation in Parashorea chinensis

1
Guangxi Colleges and Universities Key Laboratory for Cultivation and Utilization of Subtropical Forest Plantation, College of Forestry, Guangxi University, Nanning 530004, China
2
Guangxi Key Laboratory of Forest Ecology and Conservation, College of Forestry, Guangxi University, Nanning 530004, China
3
Nanning Arboretum in Guangxi Zhuang Autonomous Region, Nanning 530004, China
4
Forestry Seedling Station of Guangxi, Nanning 530002, China
*
Authors to whom correspondence should be addressed.
Forests 2024, 15(2), 310; https://doi.org/10.3390/f15020310
Submission received: 28 December 2023 / Revised: 26 January 2024 / Accepted: 4 February 2024 / Published: 6 February 2024

Abstract

Parashorea chinensis, an endemic tree species in China’s tropical rainforests, holds ecological and economic importance. Challenges like low resistance, poor quality, and low survival rates hinder its successful cultivation. This study explores the potential of autumn potassium fertilization on Parashorea seedlings from two provenances (Napo and Tianyang). The treatments included no fertilizer (CK-1), a single application of 160 mg K·plant−1 (CK-2), and various potassium levels K1, K2, K3, K4, K5, and K6 (corresponding to 0, 40, 80, 160, 320, and 640 mg·K·plant−1, respectively) combined with nitrogen (200 mg·plant−1) and phosphorus (80 mg·plant−1) fertilization. The findings indicate that autumn potassium application, in conjunction with nitrogen (N) and phosphorus (P) fertilization, significantly enhances seedling height and biomass in both provenances, resulting in an average increase of 101% and 89% under the K4 treatment compared to CK-1 and CK-2, comparatively. Both Napo and Tianyang provenances exhibited distinct responses in photosynthetic rate (2.70 μmol·m−2·s−1 and 1.97 μmol·m−2·s−1, respectively) and stomatal conductance (0.042 mol·m−2·s−1 and 0.029 mol·m−2·s−1, respectively) to the K4 treatment, which proved most effective. The chlorophyll content was significantly higher for Napo provenance with the K3 treatment (74.31%, 58.99%), while for Tianyang, it was higher with the K4 treatment (41.48%, 17.36%), compared to CK-1 and CK-2, respectively. Antioxidant enzymes activity, osmoregulatory capacity, and malondialdehyde content all exhibited variations with potassium application levels, with the K4 treatment offering significant benefits. In Napo provenance, lignin (199.82 mg·g−1) and cellulose (252.38 mg·g−1) peaked at K4, while Tianyang exhibited variation, higher lignin (184.25 mg·g−1) at K3, and cellulose (257.73 mg·g−1) at K4. Nutrient content analysis demonstrates that the K4 treatment enhances nutrient absorption and storage, increasing total N (21.56 mg·kg−1), P (4.69 mg·kg−1), and K (13.49 mg·kg−1) content. A comprehensive analysis reveals that the K4 treatment yields the highest quality scores (1.87, 1.85) and membership values (0.82, 0.68) for both Napo and Tianyang seedlings, with Napo seedlings outperforming their Tianyang provenance. Thus, treatment K4 underscores the effectiveness of autumn potassium applications for robust seedling cultivation and adaptation, offering valuable insights for sustainable cultivation practices.

1. Introduction

Parashorea chinensis Wang Hsie, an evergreen broad-leaved tree belonging to the Dipterocarpaceae family, according to Blume’s classification, holds great significance as a symbol of tropical rainforests, offering crucial evidence of these ecosystems in China [1]. This species thrives in tropical or subtropical monsoon climates, requires a high temperature, humidity, and a frost-free environment with alternating dry and wet seasons [2]. Due to its stringent habitat requirements, its distribution in China is relatively limited, with fragmented populations in regions like southern Yunnan and southwestern Guangxi [3]. It is also a vital species for scientific research, exemplifying tropical rainforest characteristics. However, its low seed production, extensive fruit drop, and high seedling mortality have led to its endangered status. Recognizing its importance, the International Union for Conservation of Nature (IUCN) has classified it as endangered, and the Chinese government designated it as a first-class protected wild plant in 2003 [4].
Research on P. chinensis encompasses various aspects vital for its protection and population expansion. Studies have investigated substrate ratios and controlled-release fertilizer dosages’ effects on seedling growth and its responses to low-temperature stress; mixed planting with other tree species has been explored for its influence on soil microbial activity and organic matter decomposition [5,6]. Despite this, research gaps exist regarding the impact of autumn potassium application on the growth physiology, nutrients content, and seedlings quality of P. chinensis. The amount of nutrients added significantly impacts crop yield, necessitating careful consideration to enhance fertilizer efficiency and reduce environmental pollution. Following the law of diminishing returns, increasing fertilizer application initially boosts crop yield, but an excessive amount eventually leads to reduced yield [7]. Achieving optimal results requires a balanced approach, considering factors like soil nutrient supply capacity, plant nutritional status, and environmental influences on growth. The timing of fertilization depends on various factors such as climate, soil conditions, seedling types, and their growth characteristics, emphasizing the importance of choosing the most suitable timing [8].
Fertilization timing can be categorized into two concepts: the continuous concept, based on tree growth stages, and the micro-concept, focusing on seasonal timing such as spring or autumn [9]. Spring and early summer are preferred for seedling fertilization due to favorable growth conditions [10]. The effects on seedling biomass during lignification are influenced by the pre-hardening fertilization methods [9]. Thus, a balanced approach to timing is essential for optimal seedling development. Autumn fertilization has diverse effects on seedling quality, impacting both morphology and physiology, yielding mixed results regarding seedling height and basal diameter [11,12]. Physiologically, autumn fertilization primarily affects nutrient absorption, particularly nitrogen. It leads to increased nitrogen and soluble sugar content in Platycladus orientalis seedlings [13], and elevates nitrogen, phosphorus, and potassium levels in Holm oak container seedlings [11]. However, the relationship between autumn fertilization and potassium content is less explored and has yielded varying results. Notably, the impact of autumn fertilization on seedling cold resistance, particularly post-fertilization changes, is an area that remains understudied.
Potassium (K) is an essential plant nutrient, playing a vital role in the activation of more than 60 biochemical enzymes and serving as a key activator for plants [14]. It affects many parts of a plant’s physiology, including protein synthesis, increasing the production of chlorophyll, improving the structure of chloroplasts, enhancing photosynthetic efficiency for increased carbon assimilation, regulating osmotic pressure, and allowing stomata to move [14,15]. Potassium fertilizer additions can significantly increase the activities of protective enzymes like superoxide dismutase (SOD) and peroxidase (POD), contributing to the plant’s stress resistance and overall survival by enhancing antioxidant defense mechanisms [16]. Enhancing cold resistance in plants involves osmoregulation substances like soluble proteins, sugars, and proline, which reduce freezing points and water loss. Potassium application in perennial ryegrass elevates soluble protein content and reduces malondialdehyde (MDA) content, promoting cold protection. It also increases proline accumulation, improving cold resistance [17].
P. chinensis faces challenges such as poor seedling survival, and seed sensitivity factors have led to a decline in its wild population [2]. Therefore, it is crucial to focus on fostering robust seedlings and increasing their numbers to improve survival rates during afforestation and population expansion efforts. Nitrogen fertilizer application in the fall has proven effective in cultivating sturdy seedlings, although the effects of autumnal potassium application on seedling growth physiology, biochemical traits, and plants nutrients stoichiometry remains unexplored. This study aims to bridge this knowledge gap with three key objectives: (i) evaluating the influence of autumn potassium fertilization at different levels on the biomass of Parashorea chinensis seedlings sourced from the Napo and Tianyang provenances, (ii) analyzing the response of Parashorea chinensis seedlings to varying potassium levels in terms of photosynthesis, oxidative stress enzymes, and osmoprotectant substances, and (iii) examining the impact of autumnal potassium application coupled with nitrogen and phosphorus fertilization on nutrient content, lignification, and overall quality scores. Ultimately, the research seeks to establish a scientifically informed basis for rational fertilization practices and to contribute valuable insights for conservation efforts of P. chinensis.

2. Materials and Methods

2.1. Experimental Site

The experiment was conducted at the Nanning Tree Nursery in Guangxi, China (22°34′31″~22°46′51″ N, 108°15′14″~108°22′22″ E). The site is located south of the Tropic of Cancer and experiences a subtropical monsoon climate with an average annual temperature of 21.6 °C. The average annual rainfall is 1280 mm, primarily concentrated from May to September, with an average relative humidity of 79% (Figure 1).

2.2. Experimental Materials

Container-grown Parashorea chinensis seedlings from Nanning Tree Nursery in Guangxi (Napo and Tianyang provenance), aged 4 months and with an average height of 15.3 ± 1.1 cm and a basal diameter of 2.63 ± 0.11 mm, were selected in November 2020. The substrate used for seedling cultivation was a mixture of soil and rice husks in a ratio of 7:3 by volume, with each pot containing 2 kg. The pH of the substrate was 3.84; organic matter 21.11 g·kg−1, total N 0.55 g·kg−1, total P 0.34 g·kg−1, total K 0.14 g·kg−1, ammonium N 29.27 mg·kg−1, nitrate N 4.36 mg·kg−1, available P 8.73 mg·kg−1, available K 29.39 mg·kg−1. The sources of applied fertilizers were urea (N: 46%), calcium-magnesium phosphate (P2O5: 18%), and potassium chloride (K2O: 60%). A powdered blend of urea, calcium-magnesium phosphate, and potassium chloride was mixed and dissolved in 100 mL of distilled water to create liquid fertilizer for pot application.

2.3. Experimental Design

The experiment spanned from 2 November 2020 to 4 December 2021 and employed a single-factor, completely randomized block design. The control groups consisted of two conditions: one without any fertilizer application (CK-1) and the other with a potassium fertilizer application of 160 mg·plant−1 (CK-2). For each seed source, six distinct potassium fertilizer application rates were set: 0 mg·plant−1 (K1), 40 mg·plant−1 (K2), 80 mg·plant−1 (K3), 160 mg·plant−1 (K4), 320 mg·plant−1 (K5), and 640 mg·plant−1 (K6). During the experiment, treatments K1 to K6 all received nitrogen (N) at 200 mg·plant−1 and phosphorus (P) at 80 mg·plant−1 to avoid insufficient growth due to inadequate N and P levels. Each treatment was replicated six times for each provenance, resulting in a total of 48 pots, arranged in a completely randomized design. The seedlings were allowed to acclimate in the nursery display greenhouse for one week, receiving water once every two days, and efforts were made to maintain the moisture content of the pot soil around 80% at certain intervals, monitored with a moisture meter to replicate conditions that are conducive to normal plant growth. After the seedlings resumed growth, fertilizer was applied on 9 November 2020. Regular weeding was conducted during the experiment. The experiment concluded on 4 December 2021, following sample collection and parameter measurements.

2.4. Sample Measurements and Analysis

2.4.1. Measurement of Growth Parameters

Before applying fertilizers, we measured the initial seedling height, calculated as the straight distance from the soil mark at the base of the main stem to the top bud using a tape measure (precision: 0.1 cm). The initial basal diameter was determined by measuring the stem thickness at the soil mark of the main stem with a vernier caliper (precision: 0.01 mm). After the experiment, we obtained final measurements of seedling height by subtracting the initial height measurement from the final height measurement; the basal diameter increment was obtained by subtracting the initial basal diameter measurement from the final basal diameter measurement.

2.4.2. Measurement of Biomass

After the experiment, three healthy and consistently growing Parashorea chinensis seedlings from each treatment were selected randomly. These selected plants were cleaned to remove surface impurities, dried with absorbent paper to eliminate excess moisture, and then individually weighed for fresh root, stem, and leaf weights. Following weighing, the samples were blanched at 105 °C for 30 min and dried at 75 °C until a constant weight was achieved. The above ground biomass was determined by combining the biomass of stems and leaves. The below ground biomass exclusively accounted for the root biomass. To obtain the overall plant biomass, we summed up the above ground and below ground biomass.

2.4.3. Measurement of Photosynthetic Parameters

A LI-6400 Portable Photosynthesis System (LI-COR, Lincoln, Dearborn, MI, USA) was used to measure the photosynthetic parameters of plant leaves. Three uniformly growing seedlings were selected from each treatment. Healthy leaves from the second and third functional layers, counted from the top bud downwards, were chosen for the measurement of net photosynthetic rate (Pn), stomatal conductance (Gs), intercellular CO2 concentration (Ci), and transpiration rate (Tr). The artificial light source was set to an intensity of 200 μmol·m−2·s−1, CO2 concentration was maintained at 400 μmol·mol−1, leaf chamber temperature was around 28 °C, and relative humidity was 65%; these conditions were maintained from 9:30 a.m. to 11:30 a.m.

2.4.4. Measurement of Plant Chlorophyll Content

To measure leaf chlorophyll a and b concentrations, one gram of fresh leaf tissue was finely chopped and placed in a volumetric flask with 10 mL of 80% acetone. The concentrations of chlorophyll a (1) and chlorophyll b (2) were determined following the standard method described by Arnon [18] and expressed as mg per gram of fresh weight (FW).
C (Chl a) = 12.71 × A663 − 2.69 × A645
C (Chl b) = 22.88 × A645 − 4.67 × A663

2.4.5. Determination of Antioxidant and Metabolic Pathway Enzymes

Superoxide dismutase (SOD) activity was measured in healthy seedlings by weighing and homogenizing leaves, stems, and roots following a procedure described by Chen and Pan [19]. SOD activity was expressed as enzyme units per gram of fresh weight (U/g fw). Peroxidase (POD) activity was determined by measuring absorbance at 470 nm, following the method of Sakharov and Aridilla [20], and expressed as enzyme units per gram of fresh weight (U/g fw). Phenlylalanine ammonia lyase (PAL) activity was measured in leaf, stem, and root samples using a procedure that monitored t-cinnamic acid production at 290 nm [21] and expressed as enzyme units per gram of fresh weight (U/g fw). Polyphenol oxidase (PPO) activity was determined by measuring the initial rate of quinone formation, represented by a rise in absorbance units (AUs) at 420 nm, following the method described by CHO and AHN [22].

2.4.6. Determination of Osmo-Protectant Substances

The procedure for determining soluble protein content involved weighing 20 mg of stem and leaf tissues, adding 500 µL of 0.1 M NaOH, sonicating for 30 min, heating at 90 °C for 15 min, centrifuging at 15,000× g for 10 min, and quantifying protein with the Bradford assay using bovine immunoglobulin G (IgG) standards (Deans et al., 2018 [23]). For total soluble sugar (TSS) analysis, 0.15–0.2 g dried leaf samples were treated with 80% (v/v) ethanol at 80 °C, followed by centrifugation, and TSS was determined with an anthrone reagent and a glucose standard curve [24]. To measure free proline, a 1% ninhydrin solution was prepared in glacial acetic acid and water (60:40 v/v), and a sample containing 50 to 500 nmol of proline was heated in this solution in a boiling water bath. After cooling and adding toluene, the absorbance at 520 nm was measured [24].

2.4.7. Determination of Malondialdehyde Content

The MDA content was determined following the protocols provided by Chen and Zhang [25]. A fresh leaf sample (0.5 g) was ground in 10 mL of a 0.1% trichloroacetic acid (TCA) solution, and the supernatant was collected by centrifuging the mixture at 12,000× g for 15 min. For every milliliter of extract, 4.5 mL of a 0.5% thiobarbituric acid (TBA) solution was added to the reaction mixture. The mixture was incubated in a boiling water bath at 95 °C for 30–45 min and then allowed to cool for a minimum of 5 min. Following this, 200 μL of the reaction mixture was extracted, and the absorbance was measured at 532 and 600 nm. The final MDA content was calculated using the equation provided by Sarwar et al. [26]:
MDA (in nmol/g) = Δ(A532 nm − A600 nm)/156 × 105
where, A represents the absorption coefficient of MDA to TBA with a value of 156 at 532 mm−1·cm−1.

2.4.8. Determination of Plant Lignin and Cellulose Content

To measure the amounts of lignin and cellulose in the cell walls, spectrophotometric techniques were used. Total lignin content was determined using the acetyl bromide method as described by Iiyama and Wallis [27]. The lignin content was determined using the APPITA P11s-78 method [28]. This method provides a reliable means of assessing Klason lignin content, a crucial component of the plant cell wall.

2.4.9. Determination of Plant N, P and K Content

Following the completion of biomass measurements, dried samples of roots, stems, and leaves were finely ground into powder using a grinder and then sieved through an 80-mesh sieve for nutrient index measurements. The nitrogen, phosphorus, and potassium concentration in plant samples were measured according to the method described by Lu [29].

2.5. Statistical Analysis

The preliminary collection and organization of data was performed using Microsoft Excel 2019. IBM SPSS Statistics 26.0 software was used for statistical analysis of various parameters such as seedling height, basal diameter, biomass, photosynthetic characteristics, enzyme activity, osmotic adjustment substance content, lignin and cellulose content, as well as plant nutrients content under different potassium fertilizer application levels in the autumn. The analysis involved one-way analysis of variance with a significance level of (p ≤ 0.05), and multiple comparisons using the Duncan test. Finally, a comprehensive analysis of seedling indices, including principal component analysis, membership functions, and seedling quality index, was conducted. This analysis aimed to identify the optimal potassium application level for promoting seedling growth and nutrient efficiency, as well as to identify source variants with superior performance characteristics.
The formulas for calculating the membership function value (4) and the complementary membership function (5) value are as follows:
U(Xij) = (Xij − Xjmin)/(Xjmax − Xjmin)
U(Xij) = 1 − (Xij − Xjmin)/(Xjmax − Xjmin)
Here, Xij represents the measurement value of the j-th parameter under the i-th potassium application treatment. Xjmax and Xjmin are the maximum and minimum values of the j-th parameter, respectively. The membership degree of a certain treatment is the average of the membership values of all parameters within that treatment.
The seedling quality index (QI) (6) is calculated as:
QI = Total dry weight of seedlings/[(Seedling height/Basal diameter) + Stem dry weight/Root dry weight].

3. Results

3.1. Seedling Height and Basal Diameter

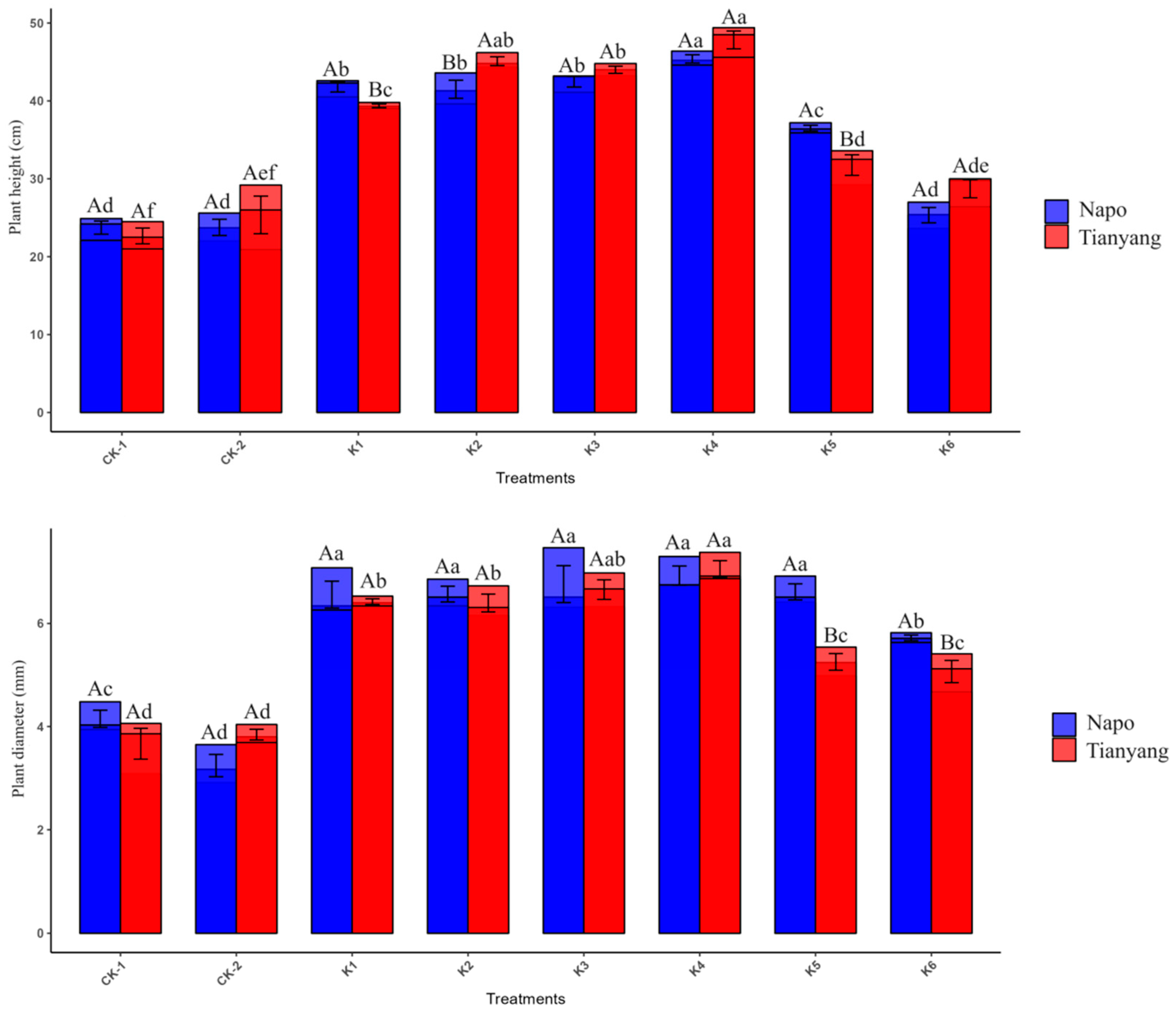
Autumn potassium application significantly influenced the seedling height and basal diameter of P. chinensis seedlings (Figure 2). Both Napo and Tianyang provenance seedlings displayed an initial increase followed by a decrease in seedling height and basal diameter with increasing potassium application levels, peaking at the K4 (160 mg·K·plant−1) treatment, applied with nitrogen and phosphorus fertilizers. Under the K4 treatment, Napo provenance seedlings reached a height increment of 45.4 cm, significantly higher than other treatments, with an increase of 91.29% and 91.02% compared to CK-1 (0 mg·K·plant−1) and CK-2 (sole 160 mg·K·plant−1) treatments, respectively. Similarly, Tianyang provenance seedlings under the K4 treatment achieved a height increment of 47.8 cm, showing no significant difference with the K2 treatment but significantly higher than other treatments, with an increase of 111.02% and 88.57% compared to CK-1 and CK-2 treatments, respectively. In terms of basal diameter, for Napo (K4 treatment), the increment reached 6.93 mm, showing no significant difference with K1~K3 and K5 but significantly higher than others, increasing by 66.99% and 113.67% compared to CK-1 and CK-2, respectively. Similarly, for Tianyang (K4 treatment), the increment reached 7.06 mm, with no significant difference from K3 but significantly higher than others, increasing by 92.45% and 83.61% compared to CK-1 and CK-2, respectively. Considering lower fertilizer consumption and the absence of significant differences in plant height, K2 emerges as a promising option in Tianyang, while treatment K3 for basal diameter is promising in both provenances. However, K4 stands out for its advantages in both plant height and basal diameter in both provenances. The comparison between provenances indicated significant difference in seedling height and diameter.

3.2. Plant Biomass

The combined application of potassium along with nitrogen and phosphorus fertilizer elicited significant effects on the root, stem, leaf, and total biomass of P. chinensis seedlings in both Napo and Tianyang provenance (Figure 3). These responses were characterized by an initial increase followed by a decrease with increasing potassium application levels. The maximum values were recorded at (K4) treatment, involving 160 mg·plant−1 of potassium alongside nitrogen and fertilizer application. For the Napo provenance, under the K4 treatment, the root, stem, leaf, and total biomass of P. chinensis seedlings were 3.81 g, 6.60 g, 5.82 g, and 16.23 g, significantly higher than other treatments, showing increases of 137.59%, 265.33%, 173.01%, and 192.85% compared to CK-1, respectively. For the Tianyang provenance, under the K4 treatment, the root, stem, leaf, and total biomass of P. chinensis seedlings were 4.11 g, 6.33 g, 4.38 g, and 14.82 g, showing no significant difference with the K2 and K3 treatments but significantly higher than other treatments, with increases of 153.23%, 279.34%, 236.71%, and 222.69% compared to CK-1, respectively. This suggests that, for the Tianyang provenance, treatment K3 may be the optimal option due to its comparable performance with K4 and its superiority over other treatments in terms of biomass. Among different potassium application treatments, the size order of organ biomass for the Napo provenance was leaf > stem > root, while for the Tianyang provenance, it was stem > leaf > root. A comparative analysis between provenances showed no significant difference in the stem and whole-plant biomass of P. chinensis seedlings.

3.3. Gas Exchange Attributes

The impact of autumn potassium application on the gas exchange characteristics of P. chinensis leaflets were analyzed (Table 1). When nitrogen and phosphorus fertilizers were applied, net photosynthetic rate (Pn), stomatal conductance (Gs), intercellular CO2 concentration (Ci), and transpiration rate (Tr) of P. chinensis leaflets from both Napo and Tianyang sources displayed a trend of initial increase followed by a decrease with increasing potassium application levels. These parameters reached their maximum values at K4. For Napo provenance seedlings, under the K4 treatment, Pn, Gs, Ci, and Tr were 2.70 μmol·m−2·s−1, 0.0423 mol·m−2·s−1, 378.08 μmol·mol−1, and 0.835 mmol·m−2·s−1, respectively, significantly surpassing other treatments. This represented increases of 156.77%, 140.19%, 19.64%, and 101.82% compared to CK-1 and CK-2. In the case of Tianyang provenance seedlings under the K4 treatment, Pn, Gs, Ci, and Tr were 1.97 μmol·m−2·s−1, 0.0298 mol·m−2·s−1, 323.62 μmol·mol−1, and 0.663 mmol·m−2·s−1, respectively, also significantly higher than other treatments, with increases of 60.10%, 53.12%, 13.67%, and 97.26% compared to CK-1 and CK-2. Comparison between provenances indicated significant differences in Pn, Gs, Ci, and Tr of P. chinensis leaflets, with the Napo provenance showing higher values than the Tianyang provenance.

3.4. Chlorophyll Content

The chlorophyll a, chlorophyll b, and total chlorophyll content of P. chinensis seedlings from Napo and Tianyang provenances exhibited a trend of initial increase followed by a decrease with increasing potassium application levels (Table 2). Specifically, for Napo provenance seedlings, chlorophyll a content, chlorophyll b content, and total chlorophyll content reached their maximum values at K3 treatment with concurrent nitrogen and phosphorus application, measuring 0.93 mg·g−1, 1.90 mg·g−1, and 2.83 mg·g−1, respectively. These values exhibited no significant difference compared to the K4 treatment but were significantly higher than other treatments, with increases of 80.39%, 60.34%, 74.31%, 58.33%, 75.78%, and 58.99% compared to CK-1 and CK-2, respectively. For Tianyang provenance seedlings, chlorophyll a content, chlorophyll b content, and total chlorophyll content reached their maximum values at K4, applied with nitrogen and phosphorus fertilizer, measuring 0.93 mg·g−1, 1.91 mg·g−1, and 2.84 mg·g−1, respectively. These values showed no significant difference compared to the K3 treatment but were significantly higher than other treatments, with increases of 40.91%, 17.72%, 41.48%, 17.18%, 41.29%, and 17.36% compared to CK-1 and CK-2, respectively. Comparison between provenances indicated significant difference in chlorophyll a content, chlorophyll b content, or total chlorophyll content of P. chinensis.

3.5. Antioxidant Enzymatic Activity

As shown in Table 3, autumn potassium application significantly affects the activity of protective enzymes in P. chinensis seedlings. With a certain amount of nitrogen and phosphorus fertilizer applied, the superoxide dismutase (SOD), peroxidase (POD), polyphenol oxidase (PPO), and phenylalanine ammonia-lyase (PAL) activities in both the Napo and Tianyang provenance show a trend of initial increase followed by decrease as potassium application levels increase, with PPO activity showing a subsequent increase. In the Napo provenance, under K4 treatment, the SOD activity, POD activity, and PAL activity reach the highest values, measuring 205.71 U·g−1, 900.42 U·g−1·min−1, and 6333.33 U·g−1·h−1, respectively. These values are significantly higher than other treatments, with increases of 46.57%, 37.34%, 41.40%, 39.96%, 45.91%, and 21.86% compared to CK-1 and CK-2 treatments. Under K6 treatment, the PPO activity of the seedlings was the highest, measuring 240.55 U·g−1·min−1, representing an increase of 19.61% and 40.58% over CK-1 and CK-2 treatments, respectively. In the Tianyang provenance, under K4 treatment, the SOD activity reached its peak at 211.93 U·g−1. It is significantly higher than other treatments except for the K1, K2, and K6 treatments, with increases of 20.55% and 18.58% over CK-1 and CK-2 treatments, respectively. Under the K5 treatment, the POD activity in the seedlings was highest, measuring 844.59 U·g−1·min−1, representing an increase of 32.15% and 24.69% over CK-1 and CK-2 treatments, respectively. Simultaneously, under the K2 treatment, the PPO activity is highest, measuring 306.11 U·g−1·min−1, indicating increases of 150.46% and 141.68% over CK-1 and CK-2 treatments, respectively. Moreover, under K3 treatment, the PAL activity in the seedlings is the highest, measuring 6458.66 U·g−1·h−1, representing increases of 44.25% and 34.59% over CK-1 and CK-2 treatments, respectively. A comparative analysis between provenances revealed significant differences in enzymatic activities of Parashorea chinensis seedlings, with Tianyang showing higher activity than Napo.

3.6. Osmoprotectant Substances and Malondialdehyde (MDA) Content

Autumn potassium application significantly affects the content of osmoregulation substances and MDA in the leaves of P. chinensis seedlings (Table 4). With the combined application of nitrogen and phosphorus fertilizer, the soluble protein content and soluble sugar content in the leaves of both Napo and Tianyang provenances show a trend of initial increase followed by decrease as potassium application levels increase. Conversely, the content of free proline and MDA displays an initial decrease followed by an increasing trend. In the Napo provenance, under K4 treatment, the P. chinensis seedlings exhibit the highest soluble protein content of 2.13%, significantly higher than CK-1 and CK-2 treatments by 57.78% and 4.93%, respectively. Under CK-2 treatment, the soluble sugar content is the highest at 24.04 mg·g−1, significantly higher than other treatments, with no significant differences among CK-1 to K6 treatments. In treatment K5 and K6, the highest free proline content, at 4.53 mg·kg−1, was observed, showing no significant difference from CK-1 and being significantly higher than other treatments, with a 30.55% increase over the CK-2 treatment. With the K3 treatment, the MDA content in seedlings was the lowest at 19.90 nmol·g−1, showing no significant difference from K2 and K4 treatments, but significantly lower than other treatments, with decreases of 42.39% and 46.88% compared to CK-1 and CK-2 treatments, respectively. In the Tianyang provenance, under K4 treatment, the P. chinensis seedlings exhibit the highest soluble protein content of 1.96%, significantly higher than CK-1 and CK-2 treatments by 79.82% and 66.10%, respectively. In CK-2, the soluble sugar content is the highest at 26.05 mg·g−1, significantly higher than other treatments, with K4 treatment coming next in terms of content. Under K6 treatment, the seedlings have the highest free proline content at 6.10 mg·kg−1, significantly higher than other treatments, with the lowest content found under K4 treatment at 1.36 mg·kg−1. In treatment K4, the lowest MDA content, at 16.68 nmol·g−1, was observed, showing no significant difference from K3 treatment but significantly lower than other treatments, with decreases of 56.01% and 51.99% compared to CK-1 and CK-2 treatments, respectively. A comparison between provenances reveals significant differences in osmoregulation substances and MDA content in the leaves of P. chinensis seedlings, with Napo showing higher values than Tianyang.

3.7. Lignin and Cellulose Content

The potassium application in the autumn significantly affects the lignin and cellulose content in the stem of P. chinensis, as illustrated in Figure 4. With a certain amount of nitrogen and phosphorus fertilizer applied, the lignin and cellulose content in the stems of both Napo and Tianyang provenances exhibit a trend of initial increase followed by decrease as potassium application levels increase. In the Napo provenance, under K4 treatment, the lignin and cellulose content in the stem of P. chinensis seedlings is the highest, at 199.82 mg·g−1 and 252.38 mg·g−1, respectively. This is significantly higher than other treatments, with increases of 86.83% and 26.71% compared to CK-1 treatment, and 29.73% and 23.12% compared to CK-2 treatment. In the Tianyang provenance, under treatment K3, the lignin content in the stem of P. chinensis seedlings is the highest at 184.25 mg·g−1, significantly higher than other treatments, with increases of 57.73% and 47.94% compared to CK-1 and CK-2 treatments, respectively. Furthermore, the cellulose content in the stem of the seedlings is the highest at 257.73 mg·g−1 in treatment K4, showing no significant difference from K2 and K3 treatments but significantly higher than CK-1 and CK-2, with increases of 22.99% and 21.09%, respectively. A comparison between provenances reveals significant differences in lignin content in the P. chinensis seedlings, with Napo showing higher values than Tianyang. However, there were no significant differences in cellulose content between both provenances.

3.8. Plant Total Nitrogen, Phosphorus and Potassium Content

The autumn application of potassium, in combination with nitrogen and phosphorus fertilizers, had a clear impact on the nutrient content of the seedlings (Table 5). Total nitrogen (N) content exhibited a consistent pattern of initial increase followed by subsequent decrease in both Napo and Tianyang provenances. In the Napo provenance, the K4 treatment showed the highest total N content at 21.56 mg·g−1, a significant 33.74% increase compared to CK-1. Similarly, in the Tianyang provenance, the K4 and K5 treatments resulted in elevated total N content at 21.34 mg·g−1 and 20.88 mg·g−1, respectively, representing substantial increases of 33.79% and 30.90% compared to CK-1. Variations in total N content were observed between the two provenances, with Napo displaying higher levels. Likewise, total phosphorus (P) content followed a similar pattern of initial increase followed by decrease with increasing potassium levels in both provenances, with the K4 treatment in Napo and Tianyang resulting in the highest total P content. Furthermore, the application of potassium during autumn led to a considerable increase in the total K content in the seedlings, with notable differences observed between the two provenances. In the Napo provenance, the K6 treatment demonstrated the highest total K content at 18.62 mg·plant−1, a significant 89.22% increase compared to CK-1. In the Tianyang provenance, the K6 treatment yielded the highest total K content at 23.59 mg·g−1, representing a substantial 152.02% increase compared to CK-1.

3.9. Plant Nutrient Stoichiometric Ratios

The responses of P. chinensis seedlings from Napo and Tianyang provenances to potassium application while maintaining consistent nitrogen and phosphorus levels (Table 6) were examined. For Napo seedlings, the N/P ratio remained relatively stable with increasing potassium application, though not significantly different from the CK-1 and CK-2 treatments, but markedly higher. In contrast, the N/K and P/K ratios consistently decreased with increasing potassium, reaching their lowest levels under the K6 treatment, with reductions of 41.10% and 26.72% compared to CK-1 and 50.00% and 35.29% compared to CK-2, respectively. The seedlings of Tianyang provenance exhibited a different pattern, with the N/P ratio initially decreasing, then increasing, and eventually decreasing with potassium application. The N/K and P/K ratios decreased significantly, with a 58.24% drop in the N/K ratio and a 30.39% decrease in the P/K ratio compared to CK-1, and 61.36% and 45.16% lower than CK-2, respectively. Overall, significant variations in N/P, N/K, and P/K ratios were observed between the two provenances, providing valuable insights into nutrient dynamics.

3.10. Principal Component Analysis of Various Indicators of P. chinensis Seedlings under Potassium Application Treatments

In order to evaluate the effects of different potassium application levels on the growth of P. chinensis seedlings and to reveal the mechanisms behind the impact of autumn potassium application on the quality of P. chinensis seedlings, a principal component analysis (PCA) was conducted on 21 indicators (Appendix A, Figure A1). Factor loading represents the correlation coefficient between variables and common factors in the PCA (Table 7). The greater the absolute value of factor loading, the stronger the relationship between the common factor and the original variable. From the table, it is evident that PCA extracted five principal components with eigenvalues greater than 1, contributing cumulatively to 83.23% of the variance. This indicates that these five principal components can explain 83.23% of the variation in the growth of P. chinensis seedlings.
Among these components, indicators such as seedling height growth, stem diameter growth, total biomass, Chl, Pn, Gs, Ci, Tr, POD activity, PAL activity, SOD activity, MDA content, soluble protein content, lignin content, cellulose content, plant total N content, and plant total P content primarily determine the magnitude of the first principal component, with an eigenvalue of 10.39 and a contribution rate of 49.50%. This reflects the growth of P. chinensis seedlings, photosynthetic physiology, protective enzyme activity, stem lignification level, and plant nutrient content. The second principal component, determined by indicators such as Tr, PPO activity, soluble protein content, soluble sugar content, and plant total P content, has an eigenvalue of 2.63 and a contribution rate of 12.55%. This component reflects the physiological resistance ability and plant nutrient content of P. chinensis seedlings. The third principal component, determined by indicators such as free proline content and plant total K content, has an eigenvalue of 1.90 and a contribution rate of 9.05%. This component reflects the content of osmoregulatory substances and plant nutrient content within the seedlings. The fourth principal component, determined by soluble sugar content, has an eigenvalue of 1.516 and a contribution rate of 7.22%. This reflects the synthesis of photosynthetic products in the leaves of P. chinensis seedlings. The fifth principal component, determined by lignin content, has an eigenvalue of 1.02 and a contribution rate of 4.89%. This reflects the degree of lignification in the stem.
Principal component scores and comprehensive rankings were used to evaluate the quality of P. chinensis seedlings. In ranking, peak quality was observed in treatment at K4, followed by K3. In the K4 treatment, Napo provenance secured the top rank with a total score of 4.40 and the highest F1 score of 6.46, indicating their superior photosynthetic capacity, cold resistance, nutrient absorption, and reserves, resulting in overall enhanced growth. The K3 treatment ranked second with a total score of 2.46 and a relatively high F1 score of 3.76, signifying that 80 mg plant−1 potassium similarly enhanced these attributes, though to a lesser extent than in the K4 treatment. For Tianyang provenance seedlings, the K4 and K3 treatments ranked third and fourth, with total scores of 2.27 and 1.53, respectively, and both achieved the highest F1 scores, 4.26 and 2.59, highlighting comparable effects on seedling quality, albeit with a lesser impact than observed in the Napo source due to potassium fertilization. A source comparison marked variations in seedling quality, with Napo surpassing Tianyang overall (Appendix B, Table A1).

3.11. Seedling Membership Functions, Quality Index and Evaluation Analysis of P. chinensis Seedlings under Different Potassium Application

Seedling membership value quantifies environmental adaptation, with four levels: non-resistant (membership < 0.2), weakly resistant (0.2 ≤ membership < 0.4), moderately resistant (0.4 ≤ membership < 0.6), and highly resistant (0.6 ≤ membership ≤ 1). Using a nitrogen-phosphorus base fertilizer, Napo and Tianyang provenance exhibit initially increasing and subsequently decreasing membership values with rising potassium levels, peaking at K4. Among 16 treatments, Napo provenace attains the highest membership value (0.82) at treatment K4, denoting high resistance and superior environmental adaptation. Under treatment K4, Tianyang provenance records a membership value of 0.68, ranking third as highly resistant, reflecting robust adaptation to 160 mg·K.plant−1 potassium, in combination with nitrogen and phosphorus fertilization. Averaging membership values for P. chinensis seedlings under potassium treatment with and without N and P fertilizer application (K2~K6 and CK-2) yields 0.53 (Napo) and 0.49 (Tianyang), both moderately resistant. Compared to CK-1 values (0.28, 0.25), potassium enhances environmental adaptation, with the most pronounced effect observed at 160 mg·K·plant−1 with N and P fertilizer application at certain levels. Provenance-wise, Napo’s average membership value surpasses Tianyang’s (Appendix B, Table A2).
The quality of P. chinensis seedlings during cultivation directly impacts nursery emergence and hillside survival. To ensure desirable results, we evaluate seedling quality using the seedling quality index (QI). In our study, QI values for two provenances were assessed at varying potassium levels. The best QI, 1.87, was achieved in treatment K4 for Napo provenance, followed by Tianyang at 1.85 (Table 8). All analyses confirm that treatment K4 results in the highest seedling quality. In terms of provenance comparison, Napo seedlings outperform Tianyang.

4. Discussion

The goal of seedling fertilization is to enhance seedling quality, primarily assessed through seedling height, stem diameter, and biomass [30]. The positive influence of potassium application on plant growth and biomass accumulation is evident under conditions that meet nitrogen and phosphorus nutrient requirements. However, once the potassium application level exceeds a certain threshold, seedling growth slows down, and various growth indicators begin to decline [14,31]. In our study, we observed that when a specific amount of nitrogen and phosphorus fertilizer was applied, the seedling height increment, stem diameter increment, and biomass of seedlings from Napo and Tianyang provenances initially increased and then decreased with increasing potassium levels. The peak growth and biomass were achieved at treatment K4, conforming to the principle of “diminishing returns”. Beyond this point, excessive potassium application can disrupt seedling growth by causing an excessively high K+ concentration, affecting cytoplasmic ion balance [32,33]. Furthermore, the concurrent application of nitrogen (N) and phosphorus (P) along with potassium (K) in treatments K2~K6 showed better growth conditions in seedlings compared to CK-2 treatment, where potassium was applied solely at a rate 160 mg·K·plant−1. This suggests a synergistic effect among nutrient elements when applied together, enhancing overall plant growth [34]. Plant growth traits resulting from interactions between genetics and the environment of Napo and Tianyang provenances are relatively similar; pronounced growth differences between the two provenance of P. chinensis seedlings primarily depend on external environmental factors.
Moderate potassium supplementation promotes chlorophyll synthesis and stability, while excessive potassium supply negatively impacts chlorophyll synthesis by burdening the plant, resulting in reduced chlorophyll content [35,36]. In this study, chlorophyll a, b, and total chlorophyll content of P. chinensis seedling leaves exhibited an initial increase and subsequent decrease with increasing potassium application levels, reaching the highest content at K4 (160 mg·K·plant−1), applied with N and P. This finding is consistent with previous research results, suggesting that potassium deficiency during floral bud development resulted in significantly reduced photosynthesis, primarily due to low chlorophyll content, compromised chloroplast structure, and impaired sugar transport rather than restricted stomatal conductance [37]. The higher chlorophyll b content than chlorophyll a observed in our study may be attributed to the plant’s adaptation to low light conditions, as compared to open environment. Plants adjust chlorophyll composition for optimal photosynthesis based on the available light spectrum. Optimal K+ concentration stabilizes chloroplast thylakoid structure and enhances chlorophyll enzyme activity. Additionally, it may be associated with the plant’s adaptation to cold stress, where such alterations in chlorophyll content contribute to enhanced resilience under suboptimal environmental conditions. However, potassium deficiency or excess disrupts plant metabolism, leading to reactive oxygen species accumulation, chloroplast membrane damage, and accelerated chlorophyll degradation [37,38].
The modulation of chlorophyll b levels is contingent upon the interplay of various environmental factors that can impact chlorophyll production. In accordance with our study, Muhidin et al. [39] demonstrated that shade exerts a significant influence on chlorophyll content, with an increase in chlorophyll b content surpassing chlorophyll a under elevated shading conditions. Studies have shown that when the full-length Arabidopsis chlorophyllide a oxygenase (AtCAO) is overexpressed in Nicotiana tabacum, it facilitates the conversion of chlorophyllide a to chlorophyllide b; increased synthesis of chlorophyll b results in a reduction in the chlorophyll a/b ratio in plants cultivated under both low and high light conditions [40]. The regulation of CAO expression under different light intensities is evidently a significant contributor to the control of Chl b synthesis and, consequently, the (Chl a/b) ratio in plants. Notably, overexpression of CAO has been found to lead to increased levels of Chl b and light-harvesting complex (LHCII), suggesting that enhanced CAO mRNA influences the size of LHCII [41,42]. In a study conducted by Li et al. [43], the leaves of 823 plant species collected from nine typical forest communities across diverse climatic zones in China revealed a minimum chlorophyll a and b content, ranging from 0.87 to 0.32 mg·g−1. These results exhibited significant variations among different plant functional groups, highlighting the intricate regulation of chlorophyll. It is reasonable to hypothesize that such modifications could potentially influence the plants adaptive responses to stress, contributing to a comprehensive understanding of the connections between genetic modifications, chlorophyll biosynthesis, and photosynthetic performance, which needs further exploration.
Plant photosynthetic characteristics are mainly reflected through gas exchange parameters such as Pn, Gs, Ci, and Tr [44]. Our study revealed that the changes in Pn, Gs, and Tr of P. chinensis seedling leaves from Napo and Tianyang sources exhibited similar trends. Adequate potassium application enhanced leaf photosynthetic characteristics, but the enhancing effect diminished at excessive levels. The results are in line with Hu et al. [45], showing that moderate potassium application can increase leaf stomatal conductance, accelerating the absorption of external CO2, and thus elevating the net photosynthetic rate of leaves. Leaf transpiration rates are governed by stomatal conductance, and in this experiment, the observed pattern of transpiration rates closely paralleled that of leaf stomatal conductance. Our study also revealed a similar variation pattern in intercellular CO2 concentration, photosynthesis, and stomatal conductance in the leaves of P. chinensis seedlings, indicating a substantial impact of leaf stomatal conductance on photosynthesis rate. The correlation between stomatal conductance, chlorophyll concentration, and transpiration rate further accentuates the intricate physiological mechanisms, potentially elucidating the reasons for low photosynthesis (Appendix B, Table A3). When comparing different source origins under the same fertilization treatment, Pn, Gs, Ci, and Tr of Napo provenance were all superior to Tianyang provenance, indicating a higher enhancement effect of potassium fertilizer on the photosynthetic characteristics of Napo provenance leaves. The findings align with Muhammad et al. [46], suggesting that the modulation of photosynthesis by phytohormones under stress is a multifactorial process, influenced by various environmental factors and the expression patterns of phytohormone regulated photosynthetic genes.
When interpreting stomatal conductance values, the observed reduction is intricately dependent on specific growth conditions. The decrement in stomatal conductance (Gs) values may be attributed to the impact of these conditions, particularly under circumstances inducing water stress, contributing to the manifestation of lower Gs values. The findings reported by Flexas et al. [47] revealed a detailed relationship between Rubisco activity and a certain threshold of daily maximum stomatal conductance, proposing that Rubisco remains relatively unaffected by water stress (WS) when Gs is >50–100 mmol·m−2·s−1. Conversely, Gs values falling below this threshold may lead to the down-regulation of Rubisco activity. The observed Gs value in our study, being below the proposed threshold, could indicate stomatal closure, aligning with the hypothesis that such closure triggers the down-regulation of Rubisco, potentially influenced by abiotic factors. Notably, irradiance, CO2 levels, vapour pressure deficit (VPD), and leaf turgor are key determinants of stomatal conductance, and their variations between measurement occasions could account for the temporal fluctuations in Gs. Furthermore, the complex relationship between stomatal conductance and leaf water potential, as indicated by feedback processes [48], elucidates how stomata close in response to mitigate water potential loss. Despite these insights, a notable gap persists in our comprehensive understanding of the environmental factors influencing stomatal conductance, especially in the context of water deficit situations, as observed in our study. This underscores the need for further dedicated studies to enhance our comprehension of this complex physiological process.
Under normal physiological conditions, there is a dynamic equilibrium between the generation and removal of reactive oxygen species within plants. When stress disrupts this equilibrium, metabolic disorders occur, inhibiting plant growth [49]. Maintaining this balance is crucial for plants to withstand cold stress. The present study reveals that increasing potassium application levels induce a unimodal curve pattern in the SOD and POD activities of seedlings from both Napo and Tianyang provenances, suggesting a dynamic response. Autumn potassium application enhances plant’s ability to counteract reactive oxygen species and withstand cold stress. This aligns with the findings of Wang et al. [50], who reported that plants treated with phosphorus and potassium exhibited increased SOD activity, resulting in enhanced winter cold resistance. Imbalanced potassium levels, either deficiency or excess, lead to reduced enzyme activity and weakened cold resistance. Our results illustrate that a single potassium fertilizer increased enzyme activity over the control but was less effective than the combined application of nitrogen, phosphorus, and potassium, highlighting the synergistic benefits of these nutrients for enhancing plant enzyme activity. In our study, a subsequent increase in PPO activity occurred as potassium levels increased, while PAL activity showed an initial increase and later decreased as potassium levels increased, peaking at treatment K3 (Tianyang) and K4 (Napo) (Table 3). This indicates the role of autumn potassium application in improving plant disease resistance, activating distinct defense enzyme activities. Research has shown that appropriate potassium application can significantly increase leaf polyphenol oxidase and phenylalanine ammonia lyase (PPO and PAL) activities, mitigating stress severity [51,52]. When comparing both provenances under the same fertilization treatment, Tianyang provenance displayed superior oxidative stress enzyme activities compared to Napo, highlighting potassium pronounced impact. Soluble proteins, soluble sugars, and free proline are crucial osmotic regulation substances in plants [53]. Numerous studies have shown that potassium fertilizer application can enhance plant cold resistance by increasing the content of these osmotic regulation substances, thereby promoting safe overwintering [54,55].
The soluble protein content of P. chinensis stem and fiber and cellulose content exhibited a unimodal trend with increasing potassium application levels, reaching their peak values at a specific potassium application level (Napo: K4; Tianyang: K3). This implies potassium influence on plant biosynthesis, nitrogen absorption, and enzyme activity in nitrogen metabolism. The results are in line with the findings of Duan et al. [56] and Kumar et al. [57], indicating that potassium application stimulates protein synthesis and contributes to the stabilization of protein structure. The trends in soluble sugar content in the seedlings of both provenances were similar to those of soluble protein content, with significant increases evident only in the group treated with potassium fertilizer alone. Notably, free proline initially decreased and then increased with increasing potassium application levels. Under low-potassium conditions, the seedlings grew normally, maintaining balance in various physiological metabolisms, and had normal cell osmotic pressure, resulting in a lower accumulation of free proline. Conversely, under high-potassium conditions, growth was inhibited, leading to an increase in free proline content. Plants with lower damage rates exhibit lower accumulations of free proline [58]. This study adds valuable insight into complex interactions between potassium application, osmotic regulation, and stress responses in P. chinensis seedlings.
In our study, MDA content in P. chinensis seedlings initially decreased and then increased with increasing potassium application levels, contrary to the changes in SOD and POD activity. The intricate relationship between autumn potassium application and plant antioxidant enzyme activity unveils a nuanced interplay in reducing oxidative damage to membranes and enhancing cold resistance. Nevertheless, excess potassium stresses plants, reducing enzyme activity, increasing MDA content, and decreasing cold resistance [59]. Our study into stem lignin and cellulose content of P. chinensis seedlings showed a unimodal response to increasing potassium application levels, reaching peak values at specific levels (Napo: (K4) 160 mg·plant−1; Tianyang: (K3) 80 mg·plant−1), with specific levels of nitrogen and phosphorus fertilizer. This suggests that the appropriate amount of potassium enhances stem lignin and that cellulose content corresponds to a higher degree of lignification in plant tissues, resulting in greater lodging and cold resistance. Appropriate application of potassium leverages its physiological role in facilitating sugar conversion, converting low molecular weight compounds (monosaccharides) into high molecular weight compounds (cellulose), which in turn increases stem cellulose content, further enhancing lodging resistance [60,61]. It is worth noting that different source provenances may have varying potassium requirements to maximize lignin metabolism-related enzyme activity. The correlation analysis results of our study show significant or highly significant relationships among growth indicators, physiological indicators, and between different biochemical indicators (Appendix B, Table A4). This shows that various indicators of seedling growth under potassium fertilizer treatment synergistically promote P. chinensis seedlings growth and enhances seedling cold and disease resistance through increased enzymatic activity, osmotic regulation capacity, and stem lignification, thereby promoting seedling growth and safe overwintering of P. chinensis.
In our study, as the potassium application increased, the total N and total P content in the roots, stems, leaves, and whole plants of P. chinensis seedlings from Napo and Tianyang provenances initially increased and then decreased. This indicates that autumn potassium application enhances the absorption of N and P nutrients in the seedlings and improves its biochemical traits, as illustrated by the PCA analysis (Table 7). This pattern might be attributed to the physiological functions in the seedlings leaves conduct photosynthesis, and the synthesis of photosynthetic pigments and the increase in photosynthetic rate promote the absorption and utilization of N and P nutrients by leaves [23]. Proper potassium application boosts protein synthesis, increasing the need for N and P, thus enhancing nutrient absorption in P. chinensis seedlings [50]. The total K content in the seedlings increased with increasing potassium application, indicating that plants not only satisfy their potassium requirements but also engage in luxury potassium absorption. The presence of large vacuoles in plant cells, capable of storing significant potassium, results in excess potassium absorption when there is an oversupply [51]. Our stoichiometric analysis of N, P, and K nutrients in P. chinensis seedlings revealed intriguing patterns. The N/P ratio of Napo provenance did not significantly change with increasing potassium application, indicating stable nitrogen and phosphorus absorption. In contrast, the N/P ratio of Tianyang provenance subsequently decreased, reflecting potential variations in the internal homeostasis mechanism. However, this amenity potassium absorption may suppress the absorption of other elements, resulting in a decrease in total N, total P, and N/P and P/K ratios under high potassium supply conditions (Table 6). Both N/K and P/K ratios in P. chinensis seedlings in both provenances decreased with increasing potassium application, consistent with previous studies [2,62,63].
Correlation analysis showed that under different potassium application levels, the growth indicators of P. chinensis seedlings were significantly positively correlated with total N content and total P content but not significantly correlated with total K content (Appendix B, Table A5). This suggests that there is consistency in the absorption and utilization of N and P nutrients under potassium fertilizer treatment, and the synergistic effect of both nutrients promotes seedling growth. The growth-promoting effect of potassium fertilizer is relatively slow, leading to the lack of a significant correlation with seedling growth [62]. Thus, potassium application in the autumn promotes the absorption and accumulation of N, P, and K nutrients in P. chinensis seedlings, avoiding nutrient dilution during the hardening period, thereby enhancing seedling growth and ensuring safe overwintering as evident from the results.

5. Conclusions

In conclusion, moderate potassium application during autumn significantly enhances the growth, photosynthetic capacity, and antioxidant enzymes, leading to improved osmoprotectant substances. The ideal treatment (K4), with a potassium application rate of 160 mg·K·plant−1 along with specific nitrogen and phosphorus levels, delivers optimal results for lignification amount, nutrient stoichiometry, and overall quality of Parashorea chinensis seedlings, regulating stress response mechanisms. The comprehensive scores, membership values, and quality index values of P. chinensis seedlings reach their peak at the K4 treatment, making it an effective method for cultivating robust seedlings. These effects were consistently observed in both the provenances, emphasizing the impact of autumnal potassium on plants adaptation to cold stress through enhanced biochemical markers. Although, in terms of the comparison between provenances, Napo provenance seedlings performance exhibited superior overall performance compared to the Tianyang provenance seedlings. The study hints at the intricate relationship between potassium application, osmotic regulation substances, and stress resistance. Further research is needed to unravel the molecular mechanisms influencing stem cellulose biosynthesis, nitrogen absorption, and enzyme activity, providing deeper insights into plant growth and stress adaptation dynamics.

Author Contributions

S.U., F.L., S.L. and M.Y. conceived the main idea of research and wrote the manuscript. L.X., W.L., I.A., M.Y. and Y.X. revised the manuscript and provided suggestions. S.U. and F.L. analyzed the data. F.L., L.X. and S.L. assessed data and performed data collection. All authors have read and agreed to the published version of the manuscript.

Funding

This research was funded by National Natural Science Foundation of China, 31960307; Guangxi Natural Science Foundation, 2018GXNSFAA28110; Guangxi Forestry science and technology project, GuiLinKeYan [2022ZC] No. 77; Subsidy project for improved tree varieties in Guangxi, GuiLin ChangFa [2023] No. 15.

Data Availability Statement

The data that support the findings of this study are available from the corresponding author upon reasonable request.

Acknowledgments

The authors thank all the staff of Nanning Tree Nursery in Guangxi for their technical assistance.

Conflicts of Interest

The authors declare no conflicts of interest.

Appendix A

Figure A1. Principal component of variables of Parashorea chinensis seedlings under different potassium application treatments. Note: Pn; Gs; Ci; Tr; Chl; SOD; MDA; PAL; POD; PPO; Protein; Sugar; Lignin; Cellulose; Proline; Height; Diameter; Biomass; TN; TP; TK represents Net photosynthesis rate; Stomatal conductance; Intercellular CO2 concentration; Transpiration rate; Chlorophyll content; Superoxide dismutase activity; Malondialdehyde content; Phenylalanine ammonia-lyase activity; Peroxidase activity; Polyphenol oxidase activity; Protein content; Sugar content; Lignin content; Cellulose content; Proline content; Plant height; Stem diameter; Plant biomass; Total nitrogen content; Total phosphorus content; Total potassium content, respectively.
Figure A1. Principal component of variables of Parashorea chinensis seedlings under different potassium application treatments. Note: Pn; Gs; Ci; Tr; Chl; SOD; MDA; PAL; POD; PPO; Protein; Sugar; Lignin; Cellulose; Proline; Height; Diameter; Biomass; TN; TP; TK represents Net photosynthesis rate; Stomatal conductance; Intercellular CO2 concentration; Transpiration rate; Chlorophyll content; Superoxide dismutase activity; Malondialdehyde content; Phenylalanine ammonia-lyase activity; Peroxidase activity; Polyphenol oxidase activity; Protein content; Sugar content; Lignin content; Cellulose content; Proline content; Plant height; Stem diameter; Plant biomass; Total nitrogen content; Total phosphorus content; Total potassium content, respectively.
Forests 15 00310 g0a1

Appendix B

Table A1. Scores and ranking of each principal component of Parashorea chinensis seedlings.
Table A1. Scores and ranking of each principal component of Parashorea chinensis seedlings.
ProvenanceTreatmentsF1F2F3F4F5Total ScoreRanking
NapoCK−4.26 0.99 −0.66 −1.78 −1.47 −2.70 16
K10.35 0.06 −0.02 −1.19 −0.98 0.05 8
K21.69 0.27 0.14 −1.15 −0.95 0.91 5
K33.76 1.87 0.34 −0.72 −0.59 2.46 2
K46.46 1.97 1.86 0.42 0.34 4.40 1
K5−0.98 −0.37 0.27 −1.65 −1.35 −0.83 10
K6−3.37 −2.04 1.67 −0.54 −0.44 −2.20 14
CK-2−2.88 3.00 0.05 −0.01 0.00 −1.25 12
TianyangCK−4.25 0.55 −1.58 0.58 0.48 −2.54 15
K10.41 −2.45 −1.25 −0.19 −0.16 −0.29 9
K21.71 −2.10 −1.39 0.00 0.00 0.55 6
K32.59 −0.68 −1.16 1.60 1.32 1.53 4
K44.26 −0.38 −1.52 −0.35 −0.29 2.27 3
K50.49 −1.50 0.88 1.92 1.58 0.42 7
K6−2.53 −1.09 3.33 0.67 0.55 −1.22 11
CK-2−3.47 1.90 −0.98 2.39 1.97 −1.56 13
Table A2. Seedling membership value quantifies environmental adaptation of Parashorea chinensis seedlings.
Table A2. Seedling membership value quantifies environmental adaptation of Parashorea chinensis seedlings.
ProvenanceTreatmentsHigh GrowthDiameter GrowthTotal BiomassChlPnGsCiTrPPOPODPALSODMDASoluble ProteinSoluble SugarprolineLignin ContentCellulose ContentPlant Total NPlant Total PPlant Total KMembershipTotal Ranking
NapoCK-00.100.270.110.210.180.080.300.360.420.050.120.060.230.260.810.620.020.040.250.400.950.2814
K10.730.800.490.500.350.170.440.490.530.400.440.180.530.380.680.520.620.480.620.450.900.518
K20.720.800.570.460.380.310.370.650.560.260.680.480.690.750.670.530.690.720.650.590.890.594
K30.760.850.650.890.370.860.700.860.400.460.610.450.820.810.520.520.630.740.830.680.860.682
K40.860.880.850.850.970.970.950.940.360.970.850.890.650.970.620.530.920.850.910.770.700.821
K50.550.810.490.300.040.250.310.440.450.230.130.620.450.680.620.670.060.660.660.320.600.4510
K60.160.620.150.050.020.030.050.020.630.200.410.360.530.270.760.670.560.410.480.130.350.3312
CK-20.100.070.070.290.070.140.600.410.270.080.430.180.110.880.250.460.510.190.330.460.750.3213
TianyangCK-00.060.170.040.430.180.150.310.180.020.060.170.510.090.020.740.290.120.250.230.170.980.2516
K10.650.770.410.570.350.240.400.300.940.340.580.840.420.150.810.160.430.650.630.170.930.517
K20.850.760.590.610.450.380.470.390.960.350.630.890.580.200.640.150.380.740.700.250.900.576
K30.810.820.700.820.440.310.360.400.290.320.900.790.930.290.490.110.770.780.640.520.910.595
K40.950.910.750.900.600.530.500.710.780.430.410.970.950.810.490.040.240.920.890.710.750.683
K50.380.510.370.630.240.130.380.220.440.780.760.810.660.210.570.320.580.650.830.300.490.499
K60.270.470.060.360.250.220.440.300.450.290.360.870.570.060.800.980.490.200.340.160.020.3811
CK-20.160.200.040.650.250.190.080.430.040.190.290.550.220.100.080.500.190.300.030.330.680.2615
Table A3. A correlation analysis of growth and photosynthetic indicators for Parashorea chinensis seedlings.
Table A3. A correlation analysis of growth and photosynthetic indicators for Parashorea chinensis seedlings.
Provenance Seedling Height IncrementGround Diameter IncrementTotal BiomassChlaChlbChlPnGsCi
NapoChla0.781 **0.574 **0.789 **1
Chlb0.757 **0.499 **0.770 **0.930 **1
Chl0.787 **0.557 **0.798 **0.991 **0.970 **1
Pn0.718 **0.485 *0.764 **0.702 **0.821 **0.757 **1
Gs0.726 **0.544 **0.810 **0.887 **0.893 **0.905 **0.809 **1
Ci0.546 **0.1820.599 **0.749 **0.834 **0.792 **0.775 **0.825 **1
Tr0.790 **0.482 *0.796 **0.884 **0.926 **0.916 **0.792 **0.880 **0.852 **
TianyangChla0.527 **0.484 *0.657 **1
Chlb0.794 **0.715 **0.843 **0.776 **1
Chl0.639 **0.584 *0.749 **0.976 **0.892 **1
Pn0.916 **0.848 **0.884 **0.636 **0.796 **0.712 **1
Gs0.809 **0.739 **0.733 **0.491 *0.620 *0.550 *0.920 **1
Ci0.605 **0.706 **0.570 **0.0350.2740.1130.526 **0.529 **1
Tr0.636 **0.555 **0.590 **0.695 **0.617 **0.687 **0.823 **0.844 **0.215
Note: * indicates significant correlation at p ≤ 0.05, ** indicates highly significant correlation at p ≤ 0.01.
Table A4. A correlation analysis of different physiological and biochemical indicators of Parashorea chinensis seedlings.
Table A4. A correlation analysis of different physiological and biochemical indicators of Parashorea chinensis seedlings.
Provenance Seedling HeightStem DiameterTotal BiomassSODPODPPOPALSoluble ProteinSoluble SugarFree ProlineMDALignin Content
NapoSOD0.626 **0.637 **0.738 **1
POD0.764 **0.640 **0.818 **0.741 **1
PPO0.0810.419 *−0.011−0.070−0.1191
PAL0.564 **0.3790.568 **0.490 *0.679 **−0.0761
soluble protein0.467 *0.1490.520 **0.603 **0.471 *−0.593 **0.551 **1
soluble sugar−0.031−0.340−0.0680.0020.035−0.528 **0.2310.592 **1
free proline−0.2790.099−0.2150.077−0.2400.441*−0.440 *−0.481 *−0.483 *1
MDA−0.756 **−0.824 **−0.699 **−0.543 **−0.614 **−0.394−0.562 **−0.2070.1010.0051
lignin content0.559 **0.3930.529 **0.432 *0.692 **0.0530.847 **0.480 *0.240−0.538 **−0.539 **1
cellulose content0.850 **0.848 **0.884 **0.803 **0.726 **0.1360.609 **0.530 **0.061−0.106−0.796 **0.559 **
TianyangSOD0.742 **0.762 **0.658 **1
POD0.2480.3460.3610.470 *1
PPO0.735 **0.774 **0.616 **0.767 **0.2721
PAL0.550 **0.615 **0.628 **0.3680.512 *0.3241
soluble protein0.717 **0.666 **0.734 **0.538 **0.3550.412 *0.1371
soluble sugar−0.061−0.190−0.019−0.3290.004−0.4040.0000.1771
free proline−0.645 **−0.539 **−0.744 **−0.164−0.124−0.362−0.374−0.535 **−0.0791
MDA−0.777 **−0.780 **−0.801 **−0.692 **−0.529 **−0.430 *−0.616 **−0.716 **−0.0160.3131
lignin content0.3280.451 *0.4010.430 *0.486 *0.1700.779 **−0.041−0.169−0.009−0.570 **1
cellulose content0.846 **0.806 **0.900 **0.646 **0.425 *0.600 **0.567 **0.720 **0.033−0.765 **−0.669 **0.342
Note: * indicates significant correlation at p ≤ 0.05, ** indicates highly significant correlation at p ≤ 0.01.
Table A5. Correlation analysis between growth indexes and plant nutrient indexes of Parashorea chinensis seedlings.
Table A5. Correlation analysis between growth indexes and plant nutrient indexes of Parashorea chinensis seedlings.
Provenance Seedling Height Ground Diameter Total BiomassN ContentP Content
NapoN content0.877 **0.810 **0.912 **1
P content0.619 **0.3100.610 **0.492 *1
K content−0.2740.064−0.1700.033−0.530 **
TianyangN content0.780 **0.823 **0.826 **1
P content0.556 **0.453 *0.625 **0.3961
K content−0.323−0.200−0.403−0.128−0.179
Note: * indicates significant correlation at p ≤ 0.05, ** indicates highly significant correlation at p ≤ 0.01.

References

  1. Shui, Y.M.; Wen, J.; Chen, W.H. Parashorea chinensis Wang Hsie and P. chinensis var. kwangsiensis Lin Chi: Two exceptional cases of names with a corporate authorship. Taxon 2011, 60, 1165–1167. [Google Scholar] [CrossRef]
  2. Li, W.; Ali, I.; Han, X.; Ullah, S.; Yang, M. Soil C, N, P, K and Enzymes Stoichiometry of an Endangered Tree Species, Parashorea chinensis of Different Stand Ages Unveiled Soil Nutrient Limitation Factors. Forests 2023, 14, 624. [Google Scholar] [CrossRef]
  3. Chen, G.; Wang, X.; Ma, K. Red list of China’s forest ecosystems: A conservation assessment and protected area gap analysis. Biol. Conserv. 2020, 248, 108636. [Google Scholar] [CrossRef]
  4. Qin, H.N.; Yang, Y.; Dong, S.Y.; He, Y.; Jia, Y.; Zhao, L.; Yu, S.; Liu, H.; Liu, B.; Yan, Y.; et al. Threatened species list of China’s higher plants. Biodivers. Sci. 2020, 25, 696–744. [Google Scholar] [CrossRef]
  5. Pang, S.; Zhang, P.; Ma, Y.; Yang, B.; Liu, S.; Feng, C. Effect of substrate ratio and slow-release fertilizer dose on the growth of containerized Aquilaria sinensis seedlings. J. Northeast. For. Univ. 2018, 46, 12–15. [Google Scholar]
  6. Zhang, S.X.; Nima, P.C.; Xu, Y.M.; Miao, Y.Y.; Baosai, H.N.; Zhang, W.H. Physiological responses to low-temperature stress and cold tolerance evaluation in three Elymus species. Caoye Kexue Pratacultural Sci. 2016, 33, 1154–1163. [Google Scholar]
  7. McNall, P.E. The law of diminishing returns in agriculture. J. Agric. Res. 1993, 47, 167–178. [Google Scholar]
  8. Saarsalmi, A.; Mälkönen, E. Forest fertilization research in Finland: A literature review. Scand. J. For. Res. 2001, 16, 514–535. [Google Scholar] [CrossRef]
  9. Oliet, J.A.; Puértolas, J.; Planelles, R.; Jacobs, D.F. Nutrient loading of forest tree seedlings to promote stress resistance and field performance: A Mediterranean perspective. New For. 2013, 44, 649–669. [Google Scholar] [CrossRef]
  10. Carey, R.O.; Hochmuth, G.J.; Martinez, C.J.; Boyer, T.H.; Nair, V.D.; Dukes, M.D.; Sartain, J.B. A review of turfgrass fertilizer management practices: Implications for urban water quality. HortTechnology 2012, 22, 280–291. [Google Scholar] [CrossRef]
  11. Oliet, J.A.; Salazar, J.M.; Villar, R.; Robredo, E.; Valladares, F. Fall fertilization of Holm oak affects N and P dynamics, root growth potential, and post-planting phenology and growth. Ann. For. Sci. 2011, 68, 647–656. [Google Scholar] [CrossRef]
  12. Grossnickle, S.C.; Ivetić, V. Root system development and field establishment: Effect of seedling quality. New For. 2022, 53, 1021–1067. [Google Scholar] [CrossRef]
  13. Aliarab, A.; Vazifekhah, E.O.; Sadati, S.E. Effect of soil moisture content and nitrogen fertilizer on survival, growth and some physiological characteristics of Platycladus orientalis seedlings. J. For. Sci. 2020, 66, 511–523. [Google Scholar] [CrossRef]
  14. Amtmann, A.; Armengaud, P. Effects of N, P, K and S on metabolism: New knowledge gained from multi-level analysis. Curr. Opin. Plant Biol. 2009, 12, 275–283. [Google Scholar] [CrossRef] [PubMed]
  15. Sardans, J.; Peñuelas, J. Potassium control of plant functions: Ecological and agricultural implications. Plants 2021, 10, 419. [Google Scholar] [CrossRef] [PubMed]
  16. Taha, R.S.; Seleiman, M.F.; Alotaibi, M.; Alhammad, B.A.; Rady, M.M.; Mahdi, A.H.A. Exogenous potassium treatments elevate salt tolerance and performances of Glycine max L. by boosting antioxidant defense system under actual saline field conditions. Agronomy 2020, 10, 1741. [Google Scholar] [CrossRef]
  17. Ihtisham, M.; Hasanuzzaman, M.; El-Sappah, A.H.; Zaman, F.; Khan, N.; Raza, A.; Zhao, X. Primary plant nutrients modulate the reactive oxygen species metabolism and mitigate the impact of cold stress in overseeded perennial ryegrass. Front. Plant Sci. 2023, 14, 1149832. [Google Scholar] [CrossRef]
  18. Arnon, D.I. Copper enzymes in isolated chloroplasts. Polyphenoloxidase in Beta vulgaris. Plant Physiol. 1949, 24, 1. [Google Scholar] [CrossRef] [PubMed]
  19. Chen, C.N.; Pan, S.M. Assay of superoxide dismutase activity by combining electrophoresis and densitometry. Bot. Bull. Acad. Sin. 1996, 37, 100. [Google Scholar]
  20. Sakharov, I.Y.; Ardila, G.B. Variations of peroxidase activity in cocoa (Theobroma cacao L.) beans during their ripening, fermentation and drying. Food Chem. 1999, 65, 51–54. [Google Scholar] [CrossRef]
  21. Hahlbrock, K.; Ragg, H. Light-induced changes of enzyme activities in parsley cell suspension cultures: Effects of inhibitors of RNA and protein synthesis. Arch. Biochem. Biophys. 1975, 166, 41–46. [Google Scholar] [CrossRef]
  22. Cho, Y.K.; Ahn, H.K. Purification and characterization of polyphenol oxidase from potato: II. Inhibition and catalytic mechanism. J. Food Biochem. 1999, 23, 593–605. [Google Scholar] [CrossRef]
  23. Deans, C.A.; Sword, G.A.; Lenhart, P.A.; Burkness, E.; Hutchison, W.D.; Behmer, S.T. Quantifying plant soluble protein and digestible carbohydrate content, using corn (Zea mays) as an exemplar. JoVE J. Vis. Exp. 2018, 138, e58164. [Google Scholar]
  24. Magné, C.; Larher, F. High sugar content of extracts interferes with colorimetric determination of amino acids and free proline. Anal. Biochem. 1992, 200, 115–118. [Google Scholar] [CrossRef] [PubMed]
  25. Chen, T.; Zhang, B. Measurements of proline and malondialdehyde content and antioxidant enzyme activities in leaves of drought stressed cotton. Bio-Protocol 2016, 6, e1913. [Google Scholar] [CrossRef]
  26. Sarwar, M.; Saleem, M.F.; Ullah, N.; Ali, S.; Rizwan, M.; Shahid, M.R.; Alyemeni, M.N.; Alamri, S.A.; Ahmad, P. Role of mineral nutrition in alleviation of heat stress in cotton plants grown in glasshouse and field conditions. Sci. Rep. 2016, 9, 13022. [Google Scholar] [CrossRef]
  27. Iiyama, K.; Wallis, A.F.A. Determination of lignin in herbaceous plants by an improved acetyl bromide procedure. J. Sci. Food Agric. 1990, 51, 145–161. [Google Scholar] [CrossRef]
  28. APPITA P11s-78; Klason Lignin in Wood and Pulp. APPITA Testing Committee: Sydney, NSW, Australia, 1978.
  29. Lu, R.K. Soil Agricultural Chemical Analysis Method; China Agricultural Science and Technology Press: Beijing, China, 2000; pp. 1–315. [Google Scholar]
  30. Wang, Y.; Chen, Y.F.; Wu, W.H. Potassium and phosphorus transport and signaling in plants. J. Integr. Plant Biol. 2021, 63, 34–52. [Google Scholar] [CrossRef]
  31. Xu, X.; Du, X.; Wang, F.; Sha, J.; Chen, Q.; Tian, G.; Jiang, Y. Effects of potassium levels on plant growth, accumulation and distribution of carbon, and nitrate metabolism in apple dwarf rootstock seedlings. Front. Plant Sci. 2020, 11, 904. [Google Scholar] [CrossRef] [PubMed]
  32. Bai, H.; Tao, J.; Shi, P.; Guo, D.H.; Fan, C.H. Effects of Topdressing Potassium Fertilizer on Fruit Yield and Quality and Tree Nutrition of Chongyanghong’Peach before Harvest. Acta Agric. Boreali-Occident. Sin. 2016, 25, 730–737. [Google Scholar]
  33. Mayrinck, R.C.; Roque, V.G.R.; Ferraz Filho, A.C.; Ferreira, D.; Castel’Branco, G.A.; de Andrade Furlan, R. The effect of fertilization at planting for Pinus elliottii and Pinus caribea var. hondurensis plantations and top dressing for Pinus elliottii plantations, in Guareí, SP, Brazil. Adv. For. Sci. 2017, 4, 181–186. [Google Scholar]
  34. Amissah, J.N.; Alorvor, F.E.; Okorley, B.A.; Asare, C.M.; Osei-Safo, D.; Appiah-Opong, R.; Addae-Mensah, I. Mineral Fertilization Influences the Growth, Cryptolepine Yield, and Bioefficacy of Cryptolepis sanguinolenta (Lindl.) Schlt. Plants 2022, 11, 122. [Google Scholar] [CrossRef]
  35. Römheld, V.; Kirkby, E.A. Research on potassium in agriculture: Needs and prospects. Plant Soil 2010, 335, 155–180. [Google Scholar] [CrossRef]
  36. Yang, J.Y.; Zheng, W.; Tian, Y.; Wu, Y.; Zhou, D.W. Effects of various mixed salt-alkaline stresses on growth, photosynthesis, and photosynthetic pigment concentrations of Medicago ruthenica seedlings. Photosynthetica 2011, 49, 275–284. [Google Scholar] [CrossRef]
  37. Zhao, D.; Oosterhuis, D.M.; Bednarz, C.W. Influence of potassium deficiency on photosynthesis, chlorophyll content, and chloroplast ultrastructure of cotton plants. Photosynthetica 2001, 39, 103–109. [Google Scholar] [CrossRef]
  38. Wang, Y.; Li, B.; Du, M.; Eneji, A.E.; Wang, B.; Duan, L.; Tian, X. Mechanism of phytohormone involvement in feedback regulation of cotton leaf senescence induced by potassium deficiency. J. Exp. Bot. 2012, 63, 5887–5901. [Google Scholar] [CrossRef]
  39. Muhidin; Syam’un, E.; Kaimuddin; Musa, Y.; Sadimantara, G.R.; Usman; Rakian, T.C. The effect of shade on chlorophyll and anthocyanin content of upland red rice. IOP Conf. Ser. Earth Environ. Sci. 2018, 122, 012030. [Google Scholar] [CrossRef]
  40. Pattanayak, G.K.; Biswal, A.K.; Reddy, V.S.; Tripathy, B.C. Light-dependent regulation of chlorophyll b biosynthesis in chlorophyllide a oxygenase overexpressing tobacco plants. Biochem. Biophys. Res. Commun. 2005, 326, 466–471. [Google Scholar] [CrossRef]
  41. Biswal, A.K.; Pattanayak, G.K.; Pandey, S.S.; Leelavathi, S.; Reddy, V.S.; Govindjee; Tripathy, B.C. Light intensity-dependent modulation of chlorophyll b biosynthesis and photosynthesis by overexpression of chlorophyllide a oxygenase in tobacco. Plant Physiol. 2012, 159, 433–449. [Google Scholar] [CrossRef]
  42. Tanaka, R.; Tanaka, A. Effects of chlorophyllide a oxygenase overexpression on light acclimation in Arabidopsis thaliana. Photosynth. Res. 2005, 85, 327–340. [Google Scholar] [CrossRef] [PubMed]
  43. Li, Y.; He, N.; Hou, J.; Xu, L.; Liu, C.; Zhang, J.; Wu, X. Factors influencing leaf chlorophyll content in natural forests at the biome scale. Front. Ecol. Evol. 2018, 6, 64. [Google Scholar] [CrossRef]
  44. Liu, M.; Gong, J.; Yang, B.; Ding, Y.; Zhang, Z.; Wang, B.; Hou, X. Differences in the photosynthetic and physiological responses of Leymus chinensis to different levels of grazing intensity. BMC Plant Biol. 2019, 19, 558. [Google Scholar] [CrossRef]
  45. Hu, W.; Lu, Z.; Gu, H.; Ye, X.; Li, X.; Cong, R.; Lu, J. Potassium availability influences the mesophyll structure to coordinate the conductance of CO2 and H2O during leaf expansion. Plant Cell Environ. 2022, 45, 2987–3000. [Google Scholar] [CrossRef]
  46. Muhammad, I.; Shalmani, A.; Ali, M.; Yang, Q.H.; Ahmad, H.; Li, F.B. Mechanisms regulating the dynamics of photosynthesis under abiotic stresses. Front. Plant Sci. 2021, 11, 615942. [Google Scholar] [CrossRef]
  47. Flexas, J.; Medrano, H. Drought-inhibition of photosynthesis in C3 plants: Stomatal and non-stomatal limitations revisited. Ann. Bot. 2002, 89, 183–189. [Google Scholar] [CrossRef]
  48. Jalakas, P.; Takahashi, Y.; Waadt, R.; Schroeder, J.I.; Merilo, E. Molecular mechanisms of stomatal closure in response to rising vapour pressure deficit. New Phytol. 2021, 232, 468–475. [Google Scholar] [CrossRef] [PubMed]
  49. Liu, Y.S.; Geng, J.C.; Sha, X.Y.; Zhao, Y.X.; Hu, T.M.; Yang, P.Z. Effect of rhizobium symbiosis on low-temperature tolerance and antioxidant response in alfalfa (Medicago sativa L.). Front. Plant Sci. 2019, 10, 538. [Google Scholar] [CrossRef] [PubMed]
  50. Wang, M.; Zheng, Q.; Shen, Q.; Guo, S. The critical role of potassium in plant stress response. Int. J. Mol. Sci. 2013, 14, 7370–7390. [Google Scholar] [CrossRef] [PubMed]
  51. Martinoia, E.; Meyer, S.; De Angeli, A.; Nagy, R. Vacuolar transporters in their physiological context. Annu. Rev. Plant Biol. 2012, 63, 183–213. [Google Scholar] [CrossRef] [PubMed]
  52. Shoaib, A.; Awan, Z.A. Mineral fertilizers improve defense related responses and reduce early blight disease in tomato (Solanum lycopersicum L.). J. Plant Pathol. 2021, 103, 217–229. [Google Scholar] [CrossRef]
  53. Huang, Z.; Zhao, N.; Qin, M.; Xu, A. Mapping of quantitative trait loci related to cold resistance in Brassica napus L. J. Plant Physiol. 2018, 231, 147–154. [Google Scholar] [CrossRef]
  54. Mehta, A.K.; Thakral, S.K.; Shashi, M. Yield attributes, yield and quality of wheat as affected by source of nutrition. Ann. Agric. Bio. Res. 2009, 14, 47–51. [Google Scholar]
  55. Wang, X.D.; Yu, Z.W.; Wang, D. Effect of Potassium on Sucrose Content of Flag Leaves and Starch Accumulation of Kernels in Wheat. Chin. J. Plant Ecol. 2003, 27, 196. [Google Scholar]
  56. Duan, Y.; Yang, H.; Yang, H.; Wu, Y.; Fan, S.; Wu, W.; Li, W. Integrative physiological, metabolomic and transcriptomic analysis reveals nitrogen preference and carbon and nitrogen metabolism in blackberry plants. J. Plant Physiol. 2023, 280, 153888. [Google Scholar] [CrossRef] [PubMed]
  57. Kumar, P.; Kumar, T.; Singh, S.; Tuteja, N.; Prasad, R.; Singh, J. Potassium: A key modulator for cell homeostasis. J. Biotechnol. 2020, 324, 198–210. [Google Scholar] [CrossRef] [PubMed]
  58. Mattioli, R.; Costantino, P.; Trovato, M. Proline accumulation in plants: Not only stress. Plant Signal. Behav. 2009, 4, 1016–1018. [Google Scholar] [CrossRef] [PubMed]
  59. Yu-Chuan, D.; Chang, C.R.; Wen, L.U.O.; Yan-Shou, W.U.; Xiao-Li, R.E.N.; Ping, W.A.N.G.; Guo-Hua, X.U. High potassium aggravates the oxidative stress induced by magnesium deficiency in rice leaves. Pedosphere 2008, 18, 316–327. [Google Scholar]
  60. Frei, M. Lignin: Characterization of a multifaceted crop component. Sci. World J. 2013, 2013, 436517. [Google Scholar] [CrossRef] [PubMed]
  61. Li, Q.; Fu, C.; Liang, C.; Ni, X.; Zhao, X.; Chen, M.; Ou, L. Crop lodging and the roles of lignin, cellulose, and hemicellulose in lodging resistance. Agronomy 2022, 12, 1795. [Google Scholar] [CrossRef]
  62. Shehu, H.E. Uptake and agronomic efficiencies of nitrogen, phosphorus and potassium in sesame (Sesamum indicum L.). Am. J. Plant Nutr. Fertil. Technol. 2014, 4, 41–56. [Google Scholar] [CrossRef]
  63. Ullah, S.; Anwar, S.; Khan, G.R.; Anjum, M.M.; Ali, N.; Jalal, A.; Sohail, A. Effect of potassium and sulfur on grain yield, oil concentration and fatty acid profile of sunflower. Pure Appl. Biol. 2019, 8, 139–150. [Google Scholar] [CrossRef]
Figure 1. Weather data of experimental site from November 2020 to November 2021.
Figure 1. Weather data of experimental site from November 2020 to November 2021.
Forests 15 00310 g001
Figure 2. Growth in seedling height and diameter of Parashorea chinensis seedlings under different potassium application treatments. Note: (CK-1) = 0 mg·K·plant−1; (K1) = 0 mg·K·plant−1 + 200 mg·N·plant−1 + 80 mg·P·plant−1; (K2) = 40 mg·K·plant−1 + 200 mg·N·plant−1 + 80 mg·P·plant−1; (K3) = 80 mg·K·plant−1 + 200 mg·N·plant−1 + 80 mg·P·plant−1; (K4) 160 mg·K·plant−1 + 200 mg·N·plant−1 + 80 mg·P·plant−1; (K5) = 320 mg·K·plant−1 + 200 mg·N·plant−1 + 80 mg·P·plant−1; (K6) = 640·mg·K·plant−1 + 200 mg·N·plant−1 + 80 mg·P·plant−1; (CK-2) = 160 mg·K·plant−1. Uppercase letters indicate significant differences between provenances for each treatment, while lowercase letters indicate significant differences among different potassium application rates specific to each provenance (p ≤ 0.05).
Figure 2. Growth in seedling height and diameter of Parashorea chinensis seedlings under different potassium application treatments. Note: (CK-1) = 0 mg·K·plant−1; (K1) = 0 mg·K·plant−1 + 200 mg·N·plant−1 + 80 mg·P·plant−1; (K2) = 40 mg·K·plant−1 + 200 mg·N·plant−1 + 80 mg·P·plant−1; (K3) = 80 mg·K·plant−1 + 200 mg·N·plant−1 + 80 mg·P·plant−1; (K4) 160 mg·K·plant−1 + 200 mg·N·plant−1 + 80 mg·P·plant−1; (K5) = 320 mg·K·plant−1 + 200 mg·N·plant−1 + 80 mg·P·plant−1; (K6) = 640·mg·K·plant−1 + 200 mg·N·plant−1 + 80 mg·P·plant−1; (CK-2) = 160 mg·K·plant−1. Uppercase letters indicate significant differences between provenances for each treatment, while lowercase letters indicate significant differences among different potassium application rates specific to each provenance (p ≤ 0.05).
Forests 15 00310 g002
Figure 3. Roots, stem, leaves, and total biomass of P. chinensis seedlings under different potassium application treatments. Note: Uppercase letters indicate significant differences between provenances for each treatment, while lowercase letters indicate significant differences among different potassium application rates specific to each provenance (p ≤ 0.05).
Figure 3. Roots, stem, leaves, and total biomass of P. chinensis seedlings under different potassium application treatments. Note: Uppercase letters indicate significant differences between provenances for each treatment, while lowercase letters indicate significant differences among different potassium application rates specific to each provenance (p ≤ 0.05).
Forests 15 00310 g003
Figure 4. Lignin and cellulose content of the stem of P. chinensis seedlings under different potassium application treatments. Note: Uppercase letters indicate significant differences between provenances for each treatment, while lowercase letters indicate significant differences among different potassium application rates specific to each provenance (p ≤ 0.05).
Figure 4. Lignin and cellulose content of the stem of P. chinensis seedlings under different potassium application treatments. Note: Uppercase letters indicate significant differences between provenances for each treatment, while lowercase letters indicate significant differences among different potassium application rates specific to each provenance (p ≤ 0.05).
Forests 15 00310 g004
Table 1. Gas exchange attributes of P. chinensis seedlings under potassium application treatments.
Table 1. Gas exchange attributes of P. chinensis seedlings under potassium application treatments.
ProvenanceTreatmentsPn μmol·m−2·s−1Gs mol·m−2·s−1Ci μmol·mol−1Tr mmol·m−2·s−1
NapoCK-11.17 ± 0.03 Ac0.0170 ± 0.0010 Af298.91 ± 9.50 Ad0.398 ± 0.040 Ad
K11.49 ± 0.09 Ab0.0197 ± 0.0006 Ae316.07 ± 6.24 Ac0.498 ± 0.011 Ac
K21.55 ± 0.08 Ab0.0236 ± 0.0013 Ac308.15 ± 4.73 Bcd0.620 ± 0.091 Ab
K31.54 ± 0.10 Ab0.0393 ± 0.0008 Ab347.24 ± 6.02 Ab0.771 ± 0.071 Aa
K42.70 ± 0.06 Aa0.0423 ± 0.0011 Aa378.08 ± 9.31 Aa0.835 ± 0.039 Aa
K50.90 ± 0.06 Bd0.0219 ± 0.0006 Ad300.76 ± 6.79 Ad0.460 ± 0.036 Acd
K60.86 ± 0.05 Bd0.0157 ± 0.0010 Bf269.07 ± 6.14 Be0.145 ± 0.011 Be
CK-20.96 ± 0.06 Bd0.0187 ± 0.0005 Ae336.12 ± 9.68 Ab0.440 ± 0.030 Acd
TianyangCK-11.16 ± 0.06 Ae0.0189 ± 0.0010 Ae299.97 ± 7.49 Ad0.266 ± 0.016 Be
K11.50 ± 0.09 Ac0.0217 ± 0.0012 Acd310.94 ± 1.76 Abc0.358 ± 0.023 Bc
K21.69 ± 0.05 Ab0.0256 ± 0.0018 Ab319.70 ± 1.15 Aa0.424 ± 0.018 Bb
K31.67 ± 0.06 Ab0.0236 ± 0.0022 Bbc306.48 ± 3.55 Bcd0.432 ± 0.016 Bb
K41.97 ± 0.03 Ba0.0298 ± 0.0012 Ba323.62 ± 3.72 Ba0.663 ± 0.025 Ba
K51.28 ± 0.03 Ad0.0186 ± 0.0012 Be309.09 ± 3.14 Abc0.299 ± 0.016 Bd
K61.29 ± 0.07 Ad0.021 ± 0.0002 Acde316.36 ± 2.31 Aab0.358 ± 0.019 Ac
CK-21.31 ± 0.04 Ad0.0201 ± 0.0017 Ade272.91 ± 7.07 Be0.451 ± 0.023 Ab
Note: Pn, Gs, Ci, and Tr represent photosynthesis rate, stomatal conductance, intercellular CO2 concentration, and transpiration rate, respectively. Uppercase letters indicate significant differences between provenances for each treatment, while lowercase letters indicate significant differences among different potassium application rates specific to each provenance (p ≤ 0.05).
Table 2. Chlorophyll content of P. chinensis seedlings under potassium application treatments.
Table 2. Chlorophyll content of P. chinensis seedlings under potassium application treatments.
ProvenanceTreatmentsChl a mg·g−1Chl b mg·g−1Total Chl mg·g−1
NapoCK-10.52 ± 0.06 Bde1.09 ± 0.12 Acd1.61 ± 0.19 Bde
K10.69 ± 0.06 Ab1.41 ± 0.03 Ab2.10 ± 0.09 Ab
K20.67 ± 0.02 Abc1.39 ± 0.05 Ab2.06 ± 0.08 Abc
K30.93 ± 0.07 Aa1.90 ± 0.15 Aa2.83 ± 0.23 Aa
K40.87 ± 0.04 Aa1.79 ± 0.08 Aa2.66 ± 0.12 Aa
K50.61 ± 0.01 Bbcd1.25 ± 0.03 Bbc1.86 ± 0.05 Bbcd
K60.47 ± 0.05 Ae0.96 ± 0.10 Ad1.43 ± 0.15 Ae
CK-20.58 ± 0.07 Bcd1.20 ± 0.15 Bc1.78 ± 0.23 Bcd
TianyangCK-10.66 ± 0.01 Ade1.35 ± 0.03 Bde2.01 ± 0.04 Ade
K10.71 ± 0.04 Acd1.51 ± 0.05 Acd2.22 ± 0.10 Acd
K20.73 ± 0.03 Acd1.51 ± 0.06 Acd2.24 ± 0.10 Acd
K30.86 ± 0.05 Aab1.77 ± 0.10 Aab2.63 ± 0.16 Aab
K40.93 ± 0.08 Aa1.91 ± 0.15 Aa2.84 ± 0.23 Aa
K50.76 ± 0.03 Abcd1.58 ± 0.07 Abcd2.34 ± 0.11 Abcd
K60.59 ± 0.09 Ae1.22 ± 0.19 Ae1.81 ± 0.28 Ae
CK-20.79 ± 0.09 Abc1.63 ± 0.17 Abc2.42 ± 0.26 Abc
Note: Chla, Chlb, and Chl represent chlorophyll a content, chlorophyll b content, and total chlorophyll content, respectively. Note: Uppercase letters indicate significant differences between provenances for each treatment, while lowercase letters indicate significant differences among different potassium application rates specific to each provenance (p ≤ 0.05).
Table 3. Antioxidant enzyme activity of leaves of P. chinensis seedlings under potassium application treatments.
Table 3. Antioxidant enzyme activity of leaves of P. chinensis seedlings under potassium application treatments.
ProvenanceTreatmentsSOD/U·g−1 FWPOD/U·g−1·min−1 FWPPO/U·g−1·min−1 FWPAL/U·g−1·h−1 FW
NapoCK-1140.35 ± 6.95 Be636.78 ± 15.22 Ad201.11 ± 8.74 Acd4340.66 ± 259.67 Ad
K1149.36 ± 5.32 Be735.91 ± 12.99 Ab221.66 ± 8.52 Bb5212.00 ± 133.90 Ac
K2173.46 ± 6.98 Bc696.84 ± 17.24 Ac228.33 ± 8.92 Bab5861.33 ± 347.01 Ab
K3171.24 ± 1.51 Bcd754.37 ± 12.75 Ab197.22 ± 2.07 Acd5688.00 ± 239.39 Bb
K4205.71 ± 3.06 Aa900.42 ± 14.22 Aa188.88 ± 3.42 Bd6333.33 ± 262.10 Aa
K5184.58 ± 4.32 Ab687.20 ± 10.45 Bc206.11 ± 9.65 Ac4386.66 ± 161.33 Bd
K6163.68 ± 6.49 Bd680.12 ± 12.65 Bc240.55 ± 7.49 Aa5133.33 ± 577.31 Ac
CK-2149.78 ± 5.31 Be643.33 ± 22.69 Ad171.11 ± 5.15 Ae5197.33 ± 459.70 Ac
TianyangCK-1175.80 ± 9.09 Ac639.13 ± 13.05 Ae122.22 ± 3.42 Be4477.33 ± 167.97 Ae
K1202.12 ± 5.61 Aab719.79 ± 19.28 Ac301.11 ± 2.07 Aa5584.00 ± 269.10 Abc
K2205.95 ± 7.15 Aab683.66 ± 7.53 Ad306.11 ± 7.97 Aa5737.33 ± 351.82 Ab
K3198.28 ± 8.91 Ab714.16 ± 12.30 Bc175.55 ± 6.71 Bd6458.66 ± 233.61 Aa
K4211.93 ± 4.16 Aa746.50 ± 4.54 Bb269.99 ± 4.71 Ab5142.66 ± 162.98 Bcd
K5199.28 ± 8.14 Ab844.59 ± 13.04 Aa205.00 ± 9.19 Ac6086.66 ± 205.48 Aab
K6204.22 ± 2.79 Aab703.57 ± 4.15 Ac205.55 ± 8.20 Bc4986.66 ± 148.24 Ade
CK-2178.73 ± 2.36 Ac677.35 ± 5.21 Ad126.66 ± 9.52 Be4798.66 ± 328.23 Ade
Note: SOD, POD, PPO, PAL represent superoxide dismutase, peroxidase, polyphenol oxidase, and phenylalanine ammonia-lyase activities, respectively. Uppercase letters indicate significant differences between provenances for each treatment, while lowercase letters indicate significant differences among different potassium application rates specific to each provenance (p ≤ 0.05).
Table 4. Osmoprotectant substances and MDA content in stem and leaves of P. chinensis seedlings under potassium application treatments.
Table 4. Osmoprotectant substances and MDA content in stem and leaves of P. chinensis seedlings under potassium application treatments.
ProvenanceTreatmentsSoluble Protein %Soluble Sugar mg·g−1Free Proline
mg·kg−1
MDA Content nmol·g−1
NapoCK-11.35 ± 0.09 Ad17.39 ± 2.01 Ac4.28 ± 0.28 Aa34.54 ± 3.10 Aa
K11.48 ± 0.13 Ad18.89 ± 2.23 Abc3.79 ± 0.21 Abc26.97 ± 3.27 Abc
K21.89 ± 0.02 Abc19.09 ± 2.04 Abc3.84 ± 0.06 Ab23.03 ± 2.47 Acd
K31.96 ± 0.05 Aabc20.80 ± 1.45 Ab3.78 ± 0.04 Abc19.90 ± 0.67 Ad
K42.13 ± 0.03 Aa19.69 ± 0.79 Bbc3.80 ± 0.03 Abc24.09 ± 2.28 Acd
K51.81 ± 0.18 Ac19.60 ± 1.11 Abc4.53 ± 0.11 Aa29.10 ± 2.02 Ab
K61.36 ± 0.13 Ad17.95 ± 0.28 Abc4.53 ± 0.35 Ba27.06 ± 1.61 Abc
CK-22.03 ± 0.11 Aab24.04 ± 0.89 Aa3.47 ± 0.16 Ac37.46 ± 3.22 Aa
TianyangCK-11.09 ± 0.03 Be18.18 ± 0.87 Acd2.63 ± 0.29 Bc37.92 ± 2.07 Aa
K11.24 ± 0.02 Bcd17.42 ± 0.74 Ad1.94 ± 0.12 Bd29.88 ± 2.33 Ab
K21.29 ± 0.03 Bbc19.42 ± 0.89 Abc1.88 ± 0.15 Bd25.79 ± 3.21 Abc
K31.39 ± 0.04 Bb21.12 ± 1.66 Ab1.68 ± 0.07 Bd17.09 ± 1.27 Bd
K41.96 ± 0.10 Aa21.17 ± 0.41 Ab1.36 ± 0.21 Be16.68 ± 1.69 Bd
K51.30 ± 0.03 Bbc20.18 ± 0.91 Ab2.74 ± 0.13 Bc23.75 ± 2.62 Bc
K61.13 ± 0.05 Ade17.49 ± 0.61 Ad6.10 ± 0.10 Aa26.17 ± 0.17 Abc
CK-21.18 ± 0.08 Bde26.05 ± 0.88 Aa3.67 ± 0.18 Ab34.74 ± 3.15 Aa
Note: MDA; malondialdehyde. Uppercase letters indicate significant differences between provenances for each treatment, while lowercase letters indicate significant differences among different potassium application rates specific to each provenance (p ≤ 0.05).
Table 5. Total nitrogen, phosphorus and potassium content of P. chinensis seedlings under different potassium application treatments.
Table 5. Total nitrogen, phosphorus and potassium content of P. chinensis seedlings under different potassium application treatments.
ProvenanceTreatmentsNitrogen mg·kg−1Phosphorus mg·kg−1Potassium mg·kg−1
NapoCK-116.12 ± 0.68 Ad4.39 ± 0.07 Abc9.84 ± 0.30 Ag
K119.17 ± 0.69 Ab4.44 ± 0.04 Abc10.55 ± 0.22 Af
K219.40 ± 1.05 Ab4.55 ± 0.11 Aab10.73 ± 0.41 Aef
K320.84 ± 0.41 Aa4.62 ± 0.01 Aa11.13 ± 0.31 Ae
K421.56 ± 1.08 Aa4.69 ± 0.17 Aa13.49 ± 0.02 Ac
K519.49 ± 0.16 Bb4.34 ± 0.05 Ac15.04 ± 0.29 Bb
K617.97 ± 0.38 Ac4.17 ± 0.09 Ad18.62 ± 0.27 Ba
CK-216.79 ± 0.15 Ad4.44 ± 0.06 Abc12.79 ± 0.18 Bd
TianyangCK-115.95 ± 0.56 Ad4.22 ± 0.07 Bc9.36 ± 0.40 Af
K119.26 ± 0.17 Ab4.22 ± 0.05 Bc10.08 ± 0.25 Ae
K219.80 ± 0.68 Ab4.28 ± 0.04 Bc10.52 ± 0.18 Ae
K319.32 ± 0.20 Bb4.49 ± 0.03 Bab10.39 ± 0.18 Be
K421.34 ± 0.42 Aa4.63 ± 0.07 Aa12.77 ± 0.19 Bd
K520.88 ± 0.48 Aa4.32 ± 0.10 Ac16.65 ± 0.55 Ab
K616.88 ± 0.30 Bc4.20 ± 0.10 Ac23.59 ± 0.27 Aa
CK-214.27 ± 0.31 Be4.34 ± 0.12 Ab13.86 ± 0.08 Ac
Note: Uppercase letters indicate significant differences between provenances for each treatment, while lowercase letters indicate significant differences among different potassium application rates specific to each provenance (p ≤ 0.05).
Table 6. Chemical stoichiometric ratios of nutrients in P. chinensis plants under potassium application treatments.
Table 6. Chemical stoichiometric ratios of nutrients in P. chinensis plants under potassium application treatments.
ProvenanceTreatmentN/PN/KP/K
NapoCK-13.67 ± 0.21 Ab1.63 ± 0.03 Ab0.44 ± 0.01 Aa
K14.32 ± 0.19 Aa1.81 ± 0.08 Aa0.42 ± 0.01 Ab
K24.27 ± 0.28 Aa1.80 ± 0.04 Aa0.42 ± 0.02 Ab
K34.51 ± 0.09 Aa1.87 ± 0.08 Aa0.41 ± 0.01 Ab
K44.60 ± 0.38 Aa1.59 ± 0.07 Ab0.34 ± 0.01 Ac
K54.50 ± 0.02 Ba1.29 ± 0.01 Ac0.28 ± 0.02 Ad
K64.30 ± 0.02 Aa0.96 ± 0.03 Ad0.22 ± 0.01 Ae
CK-23.78 ± 0.08 Ab1.31 ± 0.02 Ac0.34 ± 0.01 Ac
TianyangCK-13.78 ± 0.19 Ad1.70 ± 0.13 Ab0.44 ± 0.01 Aa
K14.57 ± 0.02 Ab1.90 ± 0.06 Aa0.41 ± 0.02 Abc
K24.63 ± 0.21 Aab1.88 ± 0.03 Aa0.40 ± 0.01 Ac
K34.31 ± 0.04 Bc1.85 ± 0.03 Aa0.43 ± 0.01 Aab
K44.60 ± 0.05 Aab1.67 ± 0.05 Ab0.36 ± 0.02 Ad
K54.84 ± 0.09 Aa1.25 ± 0.02 Ac0.25 ± 0.01 Bf
K64.02 ± 0.17 Ad0.71 ± 0.01 Be0.17 ± 0.02 Bg
CK-23.28 ± 0.15 Be1.02 ± 0.01 Bd0.31 ± 0.01 Be
Note: N/P; nitrogen phosphorus ratio, N/K; nitrogen potassium ratio, P/K; phosphorus potassium ratio. Uppercase letters indicate significant differences between provenances for each treatment, while lowercase letters indicate significant differences among different potassium application rates specific to each provenance (p ≤ 0.05).
Table 7. Factor loadings for principal component analysis of each index of P. chinensis.
Table 7. Factor loadings for principal component analysis of each index of P. chinensis.
FactorMain Components
F1F2F3F4F5
Seedling height growth0.911−0.196−0.157−0.1460.009
Ground diameter growth0.803−0.3770.044−0.291−0.021
Total biomass0.936−0.099−0.117−0.154−0.034
Chl0.7770.143−0.2850.3630.205
Pn0.8410.119−0.0100.1440.192
Gs0.8350.3290.116−0.0330.263
Ci0.6960.3770.212−0.1120.131
Tr0.7680.5260.017−0.1820.170
PPO0.362−0.666−0.075−0.394−0.008
POD0.766−0.0610.3410.2700.060
PAL0.691−0.1120.1250.366−0.489
SOD0.539−0.4550.0330.4510.451
MDA−0.7710.290−0.128−0.0450.113
Soluble protein0.5890.5290.127−0.381−0.087
Soluble sugar0.0480.549−0.2120.511−0.128
Free proline−0.3990.2260.787−0.2460.096
Lignin content0.5910.0210.4400.212−0.532
Cellulose content0.868−0.251−0.1460.037−0.025
Plant total N0.864−0.2600.100−0.183−0.066
Plant total P0.6920.560−0.057−0.127−0.066
Plant total K−0.217−0.2340.8120.2370.220
Eigenvalues10.3962.6361.9021.5161.029
Contribution rate/%49.50312.5519.0587.2214.899
Cumulative contribution rate%83.233
Note: chlorophyll content; (Cn), net photosynthetic rate (Pn), stomatal conductance (Gs), intercellular CO2 concentration (Ci), transpiration rate (Tr), superoxide dismutase (SOD), peroxidase (POD), polyphenol oxidase (POD), phenylalanine ammonia-lyase (PAL), and malondialdehyde (MDA).
Table 8. Seedling quality index of P. chinensis under different potassium application treatments.
Table 8. Seedling quality index of P. chinensis under different potassium application treatments.
ProvenanceTreatmentsTotal Dry WeightHigh Diameter RatioStem-To-Root RatioQIComprehensive Ranking
NapoCK5.545.731.240.8012
K111.086.401.761.379
K212.196.322.221.456
K313.336.312.001.614
K416.236.562.211.871
K511.115.531.781.535
K66.214.431.131.1211
CK-24.997.351.380.5716
TianyangCK4.596.311.020.6314
K19.895.981.101.418
K212.517.061.681.437
K314.166.621.841.683
K414.826.781.251.852
K59.396.051.791.2010
K64.785.671.580.6613
CK-24.556.631.320.5815
Disclaimer/Publisher’s Note: The statements, opinions and data contained in all publications are solely those of the individual author(s) and contributor(s) and not of MDPI and/or the editor(s). MDPI and/or the editor(s) disclaim responsibility for any injury to people or property resulting from any ideas, methods, instructions or products referred to in the content.

Share and Cite

MDPI and ACS Style

Ullah, S.; Liu, F.; Xie, L.; Liao, S.; Li, W.; Ali, I.; Yang, M.; Xu, Y. Autumnal Potassium Induced Modulations in Plant Osmoprotectant Substances, Nutrient Stoichiometry and Precision Sustainable Seedling Cultivation in Parashorea chinensis. Forests 2024, 15, 310. https://doi.org/10.3390/f15020310

AMA Style

Ullah S, Liu F, Xie L, Liao S, Li W, Ali I, Yang M, Xu Y. Autumnal Potassium Induced Modulations in Plant Osmoprotectant Substances, Nutrient Stoichiometry and Precision Sustainable Seedling Cultivation in Parashorea chinensis. Forests. 2024; 15(2):310. https://doi.org/10.3390/f15020310

Chicago/Turabian Style

Ullah, Saif, Fang Liu, Le Xie, Si Liao, Wannian Li, Izhar Ali, Mei Yang, and Yuanyuan Xu. 2024. "Autumnal Potassium Induced Modulations in Plant Osmoprotectant Substances, Nutrient Stoichiometry and Precision Sustainable Seedling Cultivation in Parashorea chinensis" Forests 15, no. 2: 310. https://doi.org/10.3390/f15020310

APA Style

Ullah, S., Liu, F., Xie, L., Liao, S., Li, W., Ali, I., Yang, M., & Xu, Y. (2024). Autumnal Potassium Induced Modulations in Plant Osmoprotectant Substances, Nutrient Stoichiometry and Precision Sustainable Seedling Cultivation in Parashorea chinensis. Forests, 15(2), 310. https://doi.org/10.3390/f15020310

Note that from the first issue of 2016, this journal uses article numbers instead of page numbers. See further details here.

Article Metrics

Back to TopTop