Substitution of Inorganic Fertilizer with Organic Fertilizer Influences Soil Carbon and Nitrogen Content and Enzyme Activity under Rubber Plantation
Abstract
1. Introduction
2. Materials and Methods
2.1. Study Area Overview
2.2. Experimental Design
2.3. Soil Sample Collection and Analysis
2.4. Statistical Analysis
3. Results
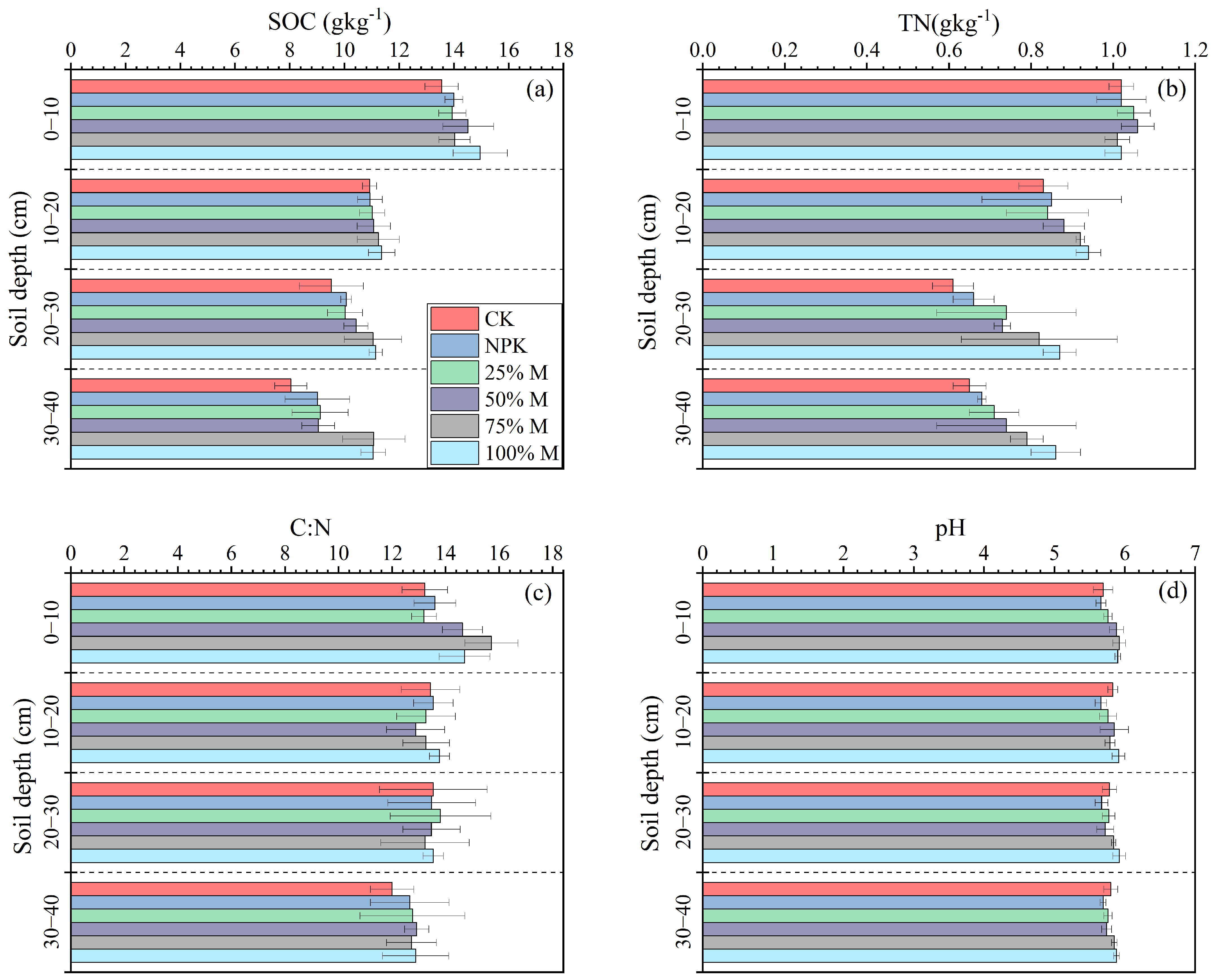
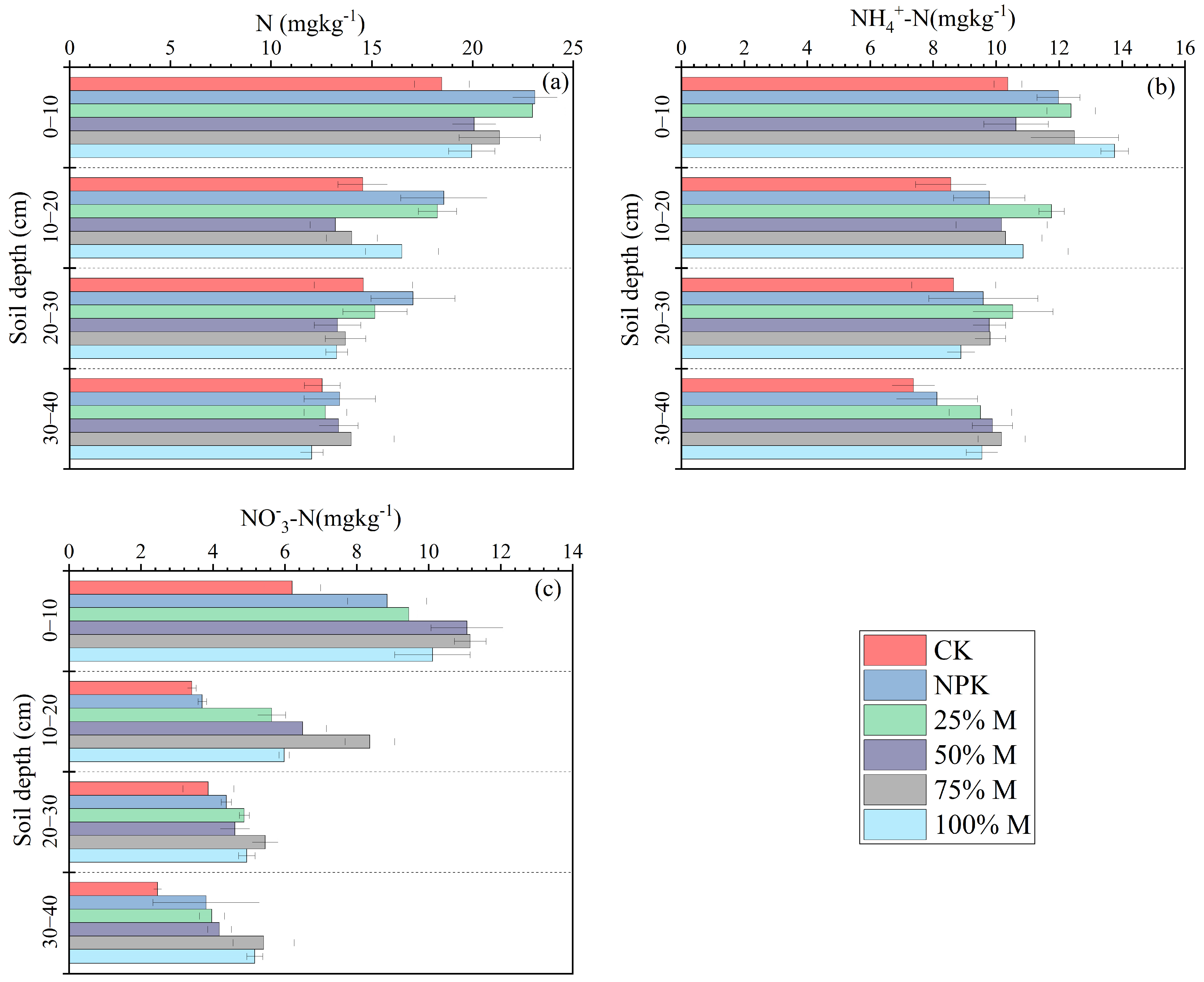
3.1. Fertilization Influence on Soil Physiochemical Characteristics
3.2. Fertilization Effect on Soil Enzyme Activity
3.3. Relationship between Soil Physiochemical Characteristics and Soil Enzyme Activity
4. Discussion
4.1. Partial Substitution of Inorganic Fertilizer with Organic Fertilizer: Impact on Soil Physicochemical Characteristic
4.2. Partial Substitution of Inorganic Fertilizer with Organic Fertilizer: Impact on Soil Enzyme Activity
5. Conclusions
Author Contributions
Funding
Data Availability Statement
Conflicts of Interest
References
- Xiao, H.F.; Tian, Y.H.; Zhou, H.P.; Ai, X.S.; Yang, X.D.; Schaefer, D.A. Intensive Rubber Cultivation Degrades Soil Nematode Communities in Xishuangbanna, Southwest China. Soil Biol. Biochem. 2014, 76, 161–169. [Google Scholar] [CrossRef]
- Xu, W.; Liu, W.; Tang, S.; Yang, Q.; Meng, L.; Wu, Y.; Wang, J.; Wu, L.; Wu, M.; Xue, X.; et al. Long-Term Partial Substitution of Chemical Nitrogen Fertilizer with Organic Fertilizers Increased SOC Stability by Mediating Soil C Mineralization and Enzyme Activities in a Rubber Plantation of Hainan Island, China. Appl. Soil Ecol. 2023, 182, 104691. [Google Scholar] [CrossRef]
- Song, Y.; Zhao, Q.; Guo, X.; Ali, I.; Li, F.; Lin, S.; Liu, D. Effects of Biochar and Organic-Inorganic Fertilizer on Pomelo Orchard Soil Properties, Enzymes Activities, and Microbial Community Structure. Front. Microbiol. 2022, 13, 241. [Google Scholar] [CrossRef] [PubMed]
- Yang, Y.; Ji, C.; Ma, W.; Wang, S.; Wang, S.; Han, W.; Mohammat, A.; Robinson, D.; Smith, P. Significant Soil Acidification across Northern China’s Grasslands during 1980s–2000s. Glob. Change Biol. 2012, 18, 2292–2300. [Google Scholar] [CrossRef]
- Qaswar, M.; Jing, H.; Ahmed, W.; Abbas, M.; Dongchu, L.; Khan, Z.H.; Jusheng, G.; Shujun, L.; Huimin, Z. Linkages between Ecoenzymatic Stoichiometry and Microbial Community Structure under Long-Term Fertilization in Paddy Soil: A Case Study in China. Appl. Soil Ecol. 2021, 161, 103860. [Google Scholar] [CrossRef]
- Liu, B.; Xia, H.; Jiang, C.; Riaz, M.; Yang, L.; Chen, Y.; Fan, X.; Xia, X. 14 Year Applications of Chemical Fertilizers and Crop Straw Effects on Soil Labile Organic Carbon Fractions, Enzyme Activities and Microbial Community in Rice-Wheat Rotation of Middle China. Sci. Total Environ. 2022, 841, 156608. [Google Scholar] [CrossRef] [PubMed]
- Wang, H.; Xu, J.; Liu, X.; Zhang, D.; Li, L.; Li, W.; Sheng, L. Effects of Long-Term Application of Organic Fertilizer on Improving Organic Matter Content and Retarding Acidity in Red Soil from China. Soil Tillage Res. 2019, 195, 104382. [Google Scholar] [CrossRef]
- Salehi, A.; Fallah, S.; Sourki, A.A. Organic and Inorganic Fertilizer Effect on Soil CO2 Flux, Microbial Biomass, and Growth of Nigella sativa L. Int. Agrophys. 2017, 31, 103–116. [Google Scholar] [CrossRef]
- Liu, E.; Yan, C.; Mei, X.; Zhang, Y.; Fan, T. Long-Term Effect of Manure and Fertilizer on Soil Organic Carbon Pools in Dryland Farming in Northwest China. PLoS ONE 2013, 8, e56536. [Google Scholar] [CrossRef] [PubMed]
- Xu, W.; Yang, Q.; Jiang, Y.; Yu, J.; Li, J.; Liu, W.; Wu, Z. Improving Soil PH, Nutrient Concentrations, and Enzyme Activities by Green Manure Returning in Young and Mature Rubber Plantation on Hainan Island, China. Plant Soil 2024, 459, 341–358. [Google Scholar] [CrossRef]
- Darby, B.A.; Goodale, C.L.; Chin, N.A.; Fuss, C.B.; Lang, A.K.; Ollinger, S.V.; Lovett, G.M. Depth Patterns and Connections between Gross Nitrogen Cycling and Soil Exoenzyme Activities in Three Northern Hardwood Forests. Soil Biol. Biochem. 2020, 147, 107836. [Google Scholar] [CrossRef]
- Wang, J.; Fu, X.; Ghimire, R.; Sainju, U.M.; Jia, Y.; Zhao, F. Responses of Soil Bacterial Community and Enzyme Activity to Organic Matter Components under Long-Term Fertilization on the Loess Plateau of China. Appl. Soil Ecol. 2021, 166, 103992. [Google Scholar] [CrossRef]
- Ashraf, M.N.; Jusheng, G.; Lei, W.; Mustafa, A.; Waqas, A.; Aziz, T.; Khan, W.-D.; Shafeeq-ur-Rehman; Hussain, B.; Farooq, M.; et al. Soil Microbial Biomass and Extracellular Enzyme–Mediated Mineralization Potentials of Carbon and Nitrogen under Long-Term Fertilization (>30 Years) in a Rice–Rice Cropping System. J. Soils Sediments 2021, 21, 3789–3800. [Google Scholar] [CrossRef]
- Li, T.; Hong, X.; Liu, S.; Wu, X.; Fu, S.; Liang, Y.; Li, J.; Li, R.; Zhang, C.; Song, X.; et al. Cropland Degradation and Nutrient Overload on Hainan Island: A Review and Synthesis. Environ. Pollut. 2022, 313, 120100. [Google Scholar] [CrossRef] [PubMed]
- Huang, Y.; Jing, Y.; Bei, M.; Yang, H.; Cha, Z.; Lin, Q.; Luo, W. Short-Term Effects of Organic Amendments on Soil Fertility and Root Growth of Rubber Trees on Hainan Island, China. J. For. Res. 2020, 31, 2137–2144. [Google Scholar] [CrossRef]
- Schad, P. World Reference Base for Soil Resources—Its Fourth Edition and Its History. J. Plant Nutr. Soil Sci. 2023, 186, 151–163. [Google Scholar] [CrossRef]
- Olsen, S.R.; Sommers, L.E. Methods of Soil Analysis, Part 2, Chemical and Microbial Properties; Agronomy Monograph 9; Agronomy Society of America: Madison, WI, USA, 1982. [Google Scholar]
- DeForest, J.L. The Influence of Time, Storage Temperature, and Substrate Age on Potential Soil Enzyme Activity in Acidic Forest Soils Using MUB-Linked Substrates and l-DOPA. Soil Biol. Biochem. 2009, 41, 1180–1186. [Google Scholar] [CrossRef]
- Saiya-Cork, K.; Sinsabaugh, R.; Zak, D. The Effects of Long Term Nitrogen Deposition on Extracellular Enzyme Activity in an Acer Saccharum Forest Soil. Soil Biol. Biochem. 2002, 34, 1309–1315. [Google Scholar] [CrossRef]
- R Core Team. R: A Language and Environment for Statistical Computing; R Foundation for Statistical Computing: Vienna, Austria, 2017. [Google Scholar]
- Liu, Z.; Rong, Q.; Zhou, W.; Liang, G. Effects of Inorganic and Organic Amendment on Soil Chemical Properties, Enzyme Activities, Microbial Community and Soil Quality in Yellow Clayey Soil. PLoS ONE 2017, 12, e0172767. [Google Scholar] [CrossRef] [PubMed]
- Cerdà, A.; Rodrigo-Comino, J.; Giménez-Morera, A.; Keesstra, S.D. An Economic, Perception and Biophysical Approach to the Use of Oat Straw as Mulch in Mediterranean Rainfed Agriculture Land. Ecol. Eng. 2017, 108, 162–171. [Google Scholar] [CrossRef]
- Eltelib, H.A.; Hamad, M.A.; Ali, E.E. The Effect of Nitrogen and Phosphorus Fertilization on Growth, Yield and Quality of Forage Maize (Zea mays L.). J. Agron. 2006, 5, 515–518. [Google Scholar] [CrossRef][Green Version]
- Gao, P.; Zhang, T.; Lei, X.; Cui, X.; Lu, Y.; Fan, P.; Long, S.; Huang, J.; Gao, J.; Zhang, Z.; et al. Improvement of Soil Fertility and Rice Yield after Long-Term Application of Cow Manure Combined with Inorganic Fertilizers. J. Integr. Agric. 2023, 22, 2221–2232. [Google Scholar] [CrossRef]
- Azevedo, R.S.S.; de Sousa, J.R.; Araujo, M.T.F.; Martins Filho, A.J.; de Alcantara, B.N.; Araujo, F.M.C.; Queiroz, M.G.L.; Cruz, A.C.R.; Vasconcelos, B.H.B.; Chiang, J.O.; et al. In Situ Immune Response and Mechanisms of Cell Damage in Central Nervous System of Fatal Cases Microcephaly by Zika Virus. Sci. Rep. 2018, 8, 1. [Google Scholar] [CrossRef] [PubMed]
- Finn, D.; Page, K.; Catton, K.; Strounina, E.; Kienzle, M.; Robertson, F.; Armstrong, R.; Dalal, R. Effect of Added Nitrogen on Plant Litter Decomposition Depends on Initial Soil Carbon and Nitrogen Stoichiometry. Soil Biol. Biochem. 2015, 91, 160–168. [Google Scholar] [CrossRef]
- Qaswar, M.; Ahmed, W.; Jing, H.; Hongzhu, F.; Xiaojun, S.; Xianjun, J.; Kailou, L.; Yongmei, X.; Zhongqun, H.; Asghar, W.; et al. Soil Carbon (C), Nitrogen (N) and Phosphorus (P) Stoichiometry Drives Phosphorus Lability in Paddy Soil under Long-Term Fertilization: A Fractionation and Path Analysis Study. PLoS ONE 2019, 14, e0218195. [Google Scholar] [CrossRef] [PubMed]
- Lyu, H.; Li, Y.; Wang, Y.; Wang, P.; Shang, Y.; Yang, X.; Wang, F.; Yu, A. Drive Soil Nitrogen Transformation and Improve Crop Nitrogen Absorption and Utilization—A Review of Green Manure Applications. Front. Plant Sci. 2024, 14, 1305600. [Google Scholar] [CrossRef] [PubMed]
- Fan, T.; Zhang, X.; Wan, Y.; Deng, R.; Zhu, H.; Wang, X.; Wang, S.; Wang, X. Effect of Different Livestock Manure Ratios on the Decomposition Process of Aerobic Composting of Wheat Straw. Agronomy 2023, 13, 2916. [Google Scholar] [CrossRef]
- Cui, Y.; Fang, L.; Guo, X.; Wang, X.; Zhang, Y.; Li, P.; Zhang, X. Ecoenzymatic Stoichiometry and Microbial Nutrient Limitation in Rhizosphere Soil in the Arid Area of the Northern Loess Plateau, China. Soil Biol. Biochem. 2018, 116, 11–21. [Google Scholar] [CrossRef]
- Liu, M.; Zhang, W.; Wang, X.; Wang, F.; Dong, W.; Hu, C.; Liu, B.; Sun, R. Nitrogen Leaching Greatly Impacts Bacterial Community and Denitrifiers Abundance in Subsoil under Long-Term Fertilization. Agric. Ecosyst. Environ. 2020, 294, 106885. [Google Scholar] [CrossRef]
- Mooshammer, M.; Wanek, W.; Zechmeister-Boltenstern, S.; Richter, A. Stoichiometric Imbalances between Terrestrial Decomposer Communities and Their Resources: Mechanisms and Implications of Microbial Adaptations to Their Resources. Front. Microbiol. 2014, 5, 22. [Google Scholar] [CrossRef] [PubMed]
- Ashraf, M.N.; Hu, C.; Wu, L.; Duan, Y.; Zhang, W.; Aziz, T.; Cai, A.; Abrar, M.M.; Xu, M. Soil and Microbial Biomass Stoichiometry Regulate Soil Organic Carbon and Nitrogen Mineralization in Rice-Wheat Rotation Subjected to Long-Term Fertilization. J. Soils Sediments 2020, 20, 3103–3113. [Google Scholar] [CrossRef]





| Soil Depth (cm) | 0–10 | 10–20 | 20–30 | 30–40 |
|---|---|---|---|---|
| SOC (g·kg−1) | 16.23 | 15.89 | 13.66 | 11.95 |
| TN (g·kg−1) | 0.91 | 0.61 | 0.69 | 0.73 |
| NH4+-N (mg·kg−1) | 10.37 | 8.56 | 9.65 | 7.37 |
| NO3−-N (mg·kg−1) | 10.10 | 5.96 | 4.94 | 5.16 |
| pH | 5.69 | 5.83 | 5.78 | 5.80 |
| BG (nmol·g−1·h−1) | 138.85 | 142.69 | 146.85 | 139.98 |
| NAG (nmol·g−1·h−1) | 144.55 | 136.31 | 144.16 | 145.48 |
| LAP (nmol·g−1·h−1) | 162.14 | 153.92 | 144.71 | 139.16 |
| Treatment | Total Amount of Fertilizer (kg) | |||
|---|---|---|---|---|
| Urea | Ca(H2PO4)2·H2O | KCl | Organic Fertilizer | |
| NPK | 1.79 | 1.36 | 0.18 | 0.00 |
| 25% manure | 1.34 | 1.27 | 0.16 | 35.78 |
| 50% manure | 0.90 | 1.18 | 0.15 | 71.57 |
| 75% manure | 0.45 | 1.10 | 0.13 | 107.35 |
| 100% manure | 0.00 | 1.01 | 0.12 | 143.13 |
| CK | 0.00 | 0.00 | 0.00 | 0.00 |
Disclaimer/Publisher’s Note: The statements, opinions and data contained in all publications are solely those of the individual author(s) and contributor(s) and not of MDPI and/or the editor(s). MDPI and/or the editor(s) disclaim responsibility for any injury to people or property resulting from any ideas, methods, instructions or products referred to in the content. |
© 2024 by the authors. Licensee MDPI, Basel, Switzerland. This article is an open access article distributed under the terms and conditions of the Creative Commons Attribution (CC BY) license (https://creativecommons.org/licenses/by/4.0/).
Share and Cite
Yang, Q.; Li, J.; Xu, W.; Wang, J.; Jiang, Y.; Ali, W.; Liu, W. Substitution of Inorganic Fertilizer with Organic Fertilizer Influences Soil Carbon and Nitrogen Content and Enzyme Activity under Rubber Plantation. Forests 2024, 15, 756. https://doi.org/10.3390/f15050756
Yang Q, Li J, Xu W, Wang J, Jiang Y, Ali W, Liu W. Substitution of Inorganic Fertilizer with Organic Fertilizer Influences Soil Carbon and Nitrogen Content and Enzyme Activity under Rubber Plantation. Forests. 2024; 15(5):756. https://doi.org/10.3390/f15050756
Chicago/Turabian StyleYang, Qiu, Jiale Li, Wenxian Xu, Jingjing Wang, Yamin Jiang, Waqar Ali, and Wenjie Liu. 2024. "Substitution of Inorganic Fertilizer with Organic Fertilizer Influences Soil Carbon and Nitrogen Content and Enzyme Activity under Rubber Plantation" Forests 15, no. 5: 756. https://doi.org/10.3390/f15050756
APA StyleYang, Q., Li, J., Xu, W., Wang, J., Jiang, Y., Ali, W., & Liu, W. (2024). Substitution of Inorganic Fertilizer with Organic Fertilizer Influences Soil Carbon and Nitrogen Content and Enzyme Activity under Rubber Plantation. Forests, 15(5), 756. https://doi.org/10.3390/f15050756

