Next Article in Journal
Autumnal Potassium Induced Modulations in Plant Osmoprotectant Substances, Nutrient Stoichiometry and Precision Sustainable Seedling Cultivation in Parashorea chinensis
Next Article in Special Issue
A Comparison of Probability Density Functions Fitted by Moments and Maximum Likelihood Estimation Methods Used for Diameter Distribution Estimation
Previous Article in Journal
Identifying and Predicting the Responses of Multi-Altitude Vegetation to Climate Change in the Alpine Zone
 
 
Font Type:
Arial Georgia Verdana
Font Size:
Aa Aa Aa
Line Spacing:
Column Width:
Background:
Article

Improving Volume and Biomass Equations for Pinus oocarpa in Nicaragua

by
Luis Alberto Valerio Hernández
1,
Walter Antonio Campos Vanegas
1,
Luis Enrique Cruz Tórrez
1,
José Adolfo Peña Ortiz
1 and
Benedicto Vargas-Larreta
2,*
1
Instituto Nacional Forestal, Km 2.5 Carretera Norte, Managua, Nicaragua
2
Tecnológico Nacional de México Campus El Salto, Tecnológico 101, Colonia La Forestal, El Salto 34942, Mexico
*
Author to whom correspondence should be addressed.
Forests 2024, 15(2), 309; https://doi.org/10.3390/f15020309
Submission received: 8 November 2023 / Revised: 27 November 2023 / Accepted: 30 November 2023 / Published: 6 February 2024
(This article belongs to the Special Issue Forest Biometrics, Inventory, and Modelling of Growth and Yield)

Abstract

We present a new set of equations for tree level volume and aboveground biomass estimation for ocote pine (Pinus oocarpa Schiede ex Schltdl). These equation systems are the first developed for this species in Nicaragua. The first system includes a taper function, a merchantable volume equation, and volume equations for stem, coarse branches, and whole trees. The second system estimates whole tree and individual tree component biomass (stem wood, bark, branches, and needles). Data from 112 sampled trees were used for models’ development. Seemingly Unrelated Iterative Regression and the Generalized Method of Moments were used to simultaneously fit the volume and biomass equations systems, respectively; both methods ensure additivity and compatibility between equations. Weighted regression and a second-order continuous autoregressive error structure were used to correct heteroscedasticity and autocorrelation within the hierarchical dataset. The predictive power of the new proposed equations is higher than the currently used models for P. oocarpa in the country. These equation systems represent a scientific advancement that will enhance forest inventories, optimize timber management of the species, and facilitate accurate monitoring of forest carbon dynamics. Additionally, the new equations will contribute to a more precise accounting of CO2 emissions from the country’s forestry sector.

1. Introduction

Nicaragua has 3.7 million ha of natural forest cover, and is the fourth largest forested country in Central America [1]. Eighty-two percent of the forest area is distributed in the Caribbean Coast region and 12% in the Pacific and Central–North regions [2]. During the period 2000–2015, forest cover in the country decreased from 40.20% to 29.10% [2]. The main direct causes of deforestation are the expansion of the agricultural frontier and extensive livestock farming [3]. The forestry sector contributes 1% to the country’s Gross Domestic Product [4].
As the effects of climate change are becoming more evident, accurate and comprehensive greenhouse gas emissions reporting has risen as an instrument for understanding, mitigating, and adapting to the impacts of this global challenge [5]. Forestry is an important sector contributing to nation-level overall emissions; therefore, the development of volume and biomass equations stands as a valuable tool for countries aiming to enhance their emissions reporting framework.
Emissions originate from the use of natural forests, forest plantations, harvesting of firewood and roundwood, natural disturbances, removal of biomass from forests to other uses such as pastures, croplands, wetlands, settlements, and other lands. Therefore, accurate volume and biomass equations are indispensable for quantifying carbon emissions associated with these activities. Volume equations help estimate the volume of timber harvested or growing stocks in a forest, while biomass equations provide data on the carbon content within trees and the aboveground biomass and carbon pools in forest ecosystems. Using local equations developed on a scientific basis, countries can accurately determine the emissions and removals associated with land use changes, supporting the development of effective forest management and conservation strategies [2].
On the other hand, robust biomass equations contribute to emissions reporting precision and accountability, and reduce estimate uncertainty. For instance, in the Nicaragua’s Fourth National Communication on Climate Change, the uncertainty of the AFOLU sector reached ±58%, mainly due to the uncertainty of using default emission factors, variables, and parameters to calculate emissions [2]. For forest land, the parametric data and emission factors used came from different sources, such as default values from the IPCC Guidelines [5] and the emission factors estimated in the Forest Emissions Reference Levels of Nicaragua [6].
The adoption of reliable equations ensures that reported emissions closely reflect reality, facilitating supported decision making and fostering international cooperation against climate change. In this context, aboveground biomass (AGB) plays a significant role in carbon storage within forests, and can be approximated using biomass expansion factors [7] or by establishing links between biomass functions and data collected at the tree level during forest inventories [8]. In both scenarios, the utilization of specific biomass equations becomes necessary for accurate quantification of carbon [9].
There is considerable and increasing attention in improving the availability and quality of allometric equations to calculate volume, biomass, and carbon in Latin America. However, the information on volume and biomass estimates of Pinus oocarpa in Nicaragua is scarce. Until today, there have been no studies on the validity and accuracy of growing stocks or biomass estimates of this species. For instance, for the Fourth National Communication on Climate Change, Nicaragua estimated tree-level biomass by applying a method from Chave et al. [10], whereas forest growth volume rates used for estimating carbon stock in land converted to forest land were obtained from a study by Moraes [11] based on data from broadleaf evergreen forests. The same growth rates were applied for dry forest. For pine forests, the approach proposed by Calderón and Urbina-Solis [12] was followed. Although these estimates may be accurate, the use of specific equations developed locally could increase the transparency of future estimates.
Pinus oocarpa is a forest species with high potential for reforestation and commercial plantations, not only for timber production, but also for seed production due to its high genetic value. Its wood is used in construction, furniture, joinery, carpentry, plywood, handicrafts, toys, poles for electrical and telephone transmission lines, pulp, and paper. However, despite the superficial importance of the species in the country and the variety and high value of its products, studies related to the growth and production of the species are scarce. Until today, total tree volume of P. oocarpa pine is estimated using a form factor (0.43). This factor is used throughout the country, regardless the dissimilarities of the regions or stand productivity levels (site quality) where the species is located. As an alternative to achieve the correct management of the species, it is extremely useful to have whole and merchantable volume equations that allow the planning and valuation of harvesting schemes according to the industrial uses of the timber.
The aim of this study was twofold: to provide the first compatible volume equations system for describing the stem profile, and for estimating stem, branch, and whole tree volume; and to develop a set of tree-level additive equations for predicting total above-ground biomass for P. oocarpa in Nicaragua.

2. Materials and Methods

2.1. Study Area

According to the National Forest Inventory [13] and the Population-based Study of Forest Species [14], for the spatial distribution of the sample trees, the sampling sites were defined by the National Forest Institute (INAFOR) (Figure 1). These sites considered all growth conditions of the species in the country.
Pinus oocarpa is distributed mainly in the warm and sub-humid climate (Aw [Aw0, Aw1, Aw2]), which is characterized by a dry season from November to April and a rainy season from May to October; the average annual rainfall ranges between 800 and 1400 mm and temperature between 22 °C and 26 °C. The species is also found in dry and arid climate (Bs1), mainly in the municipality of Telpaneca, Totogalpa, and Yalagüina (department of Madriz); climate Bs1 is characterized by a severe dry season, with average annual temperature ranging between 23 °C and 27 °C and precipitation ranging from 650 mm to 800 mm. To the northeast of Nueva Segovia, P. oocarpa is located in areas dominated by climate A(x’), which presents a mean temperature from 19 °C to 23 °C and precipitation from 1300 mm to 1600 mm. The species is also found in areas of temperate climate C (Cam, Cbm), located in the highest parts of the northern region, in the mountains of Nueva Segovia and San Rafael del Norte (department of Jinotega), with a mean annual temperature of 18 °C and annual rainfall between 1000 mm and 1800 mm [15].

2.2. Data Collection

Data from 112 trees located throughout the area of distribution of P. oocarpa in Nicaragua were collected. The departments from which the samples were obtained were Madriz (37), Nueva Segovia (45), Jinotega (11), and Estelí (19).

2.2.1. Volume Data

The trees were subjectively selected to ensure a representative distribution according to breast height diameter and height classes. Trees were felled and sectioned by professional loggers and measured. Stem diameter at breast height (D, cm) and crown width (cw, m) were measured before felling, whereas total height (H, m) and stump height (hst, cm) were measured after felling. Total height of each felled tree was measured with a long fiberglass tape. Tree profiles were described by cutting the stems into logs. The first two logs were a constant length of 0.3 m, and the third log was length variable, depending on the stump height, so that the upper diameter coincided with the diameter at breast height (1.30 m above ground level); subsequent logs were also length variable (depending on the needs of the tree owner) up to the tree top. At the top of each section, the over- and under-bark diameters (di, cm) were measured twice to the nearest 0.1 cm, and the values were then arithmetically averaged.
All coarse branches, defined as any branch with a basal diameter ≥4 cm, were also sectioned and measured in the same manner as the stem. Branches of diameter <4 cm were not included in the sampling because their contribution to total volume is often considered negligible [16]. Log volumes were calculated in m3, using Smalian’s formula; the top section was treated as a cone. Over-bark stem volume (above stump) (vob, m3) and coarse branch volume (vbr, m3) were obtained by summing the sections volume and the tops volume. Furthermore, merchantable over-bark volume (viob, m3), i.e., the volume from stump to the point where diameter = di was calculated.
Scatter plots of the relative diameter against relative height were examined to detect abnormal data points following the approach proposed by Bi [17]. A local non-parametric quadratic fitting with a smoothing parameter of 0.25 was carried out using the loess procedure of SAS/STAT [18]. Abnormal data accounted for 0.2% of the total taper measurements and were not included in further analysis. The deleted data were due to errors in data collection, deformed, or knotted sections.

2.2.2. Aboveground Biomass Data

Biomass measurement included collecting dimensional tree data, cutting and separating the tree components, and weighing each fresh biomass component. The following biomass components were considered: stem wood (Bw), stem bark (Bb), branches (including both wood and bark) (Bbr), and foliage (Bf). The green weight of stem and branches was determined by weighing the logs and branches on a 1000 kg balance (precision 100 g). Whole foliage was totally separated from the stem and weighed on an analytical balance (precision 1 g). A disk of about 5 cm thick was cut from each log, and representative samples of branches (1–3 kg) and needles (0.5–1 kg) were weighed in the field (fresh weight) before being transported to the laboratory for drying at 70–85 °C to constant weight. On the basis of the ratio of dry biomass to fresh biomass, the biomass of each tree component was calculated and then summed to obtain the total AGB of each sampled tree. Summary statistics including number of observations, mean, minimum, maximum, and standard deviation values of the tree variables are shown in Table 1.

2.3. Compatible Taper–Volume System

In a first step, the model formulations presented in Appendix A (Table A1 and Table A2) were tested for estimation of stem volume. The best stem volume equation (Schumacher–Hall) was selected as total volume equation (Equation (3)) into the compatible taper–volume function. In the second step, we fitted the exponential segmented model developed by Fang et al. (2000), which assumes the three sections of the tree stem (neiloid, paraboloid, and cone) with a variable form factor (Equation (1)). Equation (1) estimates diameter over-bark (diob, cm) to a height limit (hi, m). This taper function has shown good performance in describing the stem profile of different forest species [19].
d i o b = c 1 · H ( k b 1 ) / b 1 · ( 1 q ) ( k β ) / β · α 1 I 1 + I 2 α 2 I 2 c 1 = a 0 D a 1 H a 2 k b 1 b 1 · ( r 0 r 1 ) + b 2 ( r 1 α 1 r 2 ) + b 3 α 1 r 2 β = b 1 1 ( I 1 + I 2 ) · b 2 I 1 b 3 I 2 α 1 = ( 1 p 1 ) ( b 2 b 1 ) k b 1 b 2 α 2 = ( 1 p 2 ) ( b 3 b 2 ) k b 2 b 3 r 0 = ( 1 h s t / H ) k / b 1 r 1 = ( 1 p 1 ) k / b 1     r 2 = ( 1 p 2 ) k / b 2 I 1 = 1   i f   p 1 q p 2 ; o t h e r w i s e   0 I 2 = 1   i f   p 2 q 1 ; o t h e r w i s e   0
where diob is the upper stem diameter to any height; p1 and p2 are relative heights above ground where the two inflection points of the model are assumed to divide the stem in three sections with a different form factor bi; q = hi/H; k = π/40,000; hst is stump height (m); and a0a2, b1b3, p1 and p2 are parameters to be estimated.
Integration of Equation (1) to any height limit (hi) produces the merchantable over-bark volume (viob) (Equation (2)), and integration of Equation (1) over the total tree height produces the stem volume over-bark (vob), which must be equal to the one obtained with Equation (3):
v i o b = c 1 2 · h k / b 1 · [ b 1 r 0 + ( I 1 + I 2 ) ( b 2 b 1 ) r 1 + I 2 ( b 3 b 2 ) α 1 r 2 β ( 1 q ) k / β α 1 I 1 + I 2 α 2 I 2 ]
v o b = a 0 · D a 1 · H a 2

2.4. Compatible Volume System Fitting

Initially, both linear and non-linear models were fitted to predict branch volume (vbr) using independent variables such as breast height diameter (D), total tree height (H), and crown width (cw). Among these variables, D yielded the best goodness of fit; consequently, the system was enhanced with two new equations, Equation (4) for estimating branch volume, and Equation (5) for calculating whole tree volume.
v b r = exp ( c 0 ) · D c 1
v t = v o b + v b r = a 0 · D a 1 · H a 2 + exp ( c 0 ) · D c 1
where ci are parameters to be estimated.
The next step involved the fit of the compatible volume system, taking into account that some properties must be fulfilled to use this type of system. According to authors such as Dieguez-Aranda et al. [19], a critical factor among these conditions is additivity. This implies that vt must be equal to the sum of the volumes calculated from vob and vbr. Another fundamental property is compatibility between stem volume estimates derived from Equation (3) and those obtained from the merchantable volume (Equation (2)) derived through the integration of the stem taper function (Equation (1)), i.e., when hi = H, then viob = vob.
In systems in which a compatibility relationship exists, there are three potential approaches for fitting them. (i) Simultaneous Parameter Estimation Approach (SPEA), which involves the simultaneous estimation of parameters for both the stem taper function (Equation (1)) and the merchantable stem volume (Equation (2)), independent estimation of the branch volume (Equation (4)), and recovery of the implied volume equations (Equations (3) and (5)). (ii) Comprehensive Parameter Estimation Approach (CPEA), which encompasses the simultaneous estimation of parameters for the stem volume, branch volume, and whole tree volume equation parameters (Equations (3)–(5)); then, the parameters (a0a2) are substituted into the stem taper and merchantable volume Equations (1) and (2), and the remaining parameters (b1b3, p1 and p2) are subsequently fitted. (iii) Simultaneous Full Parameter Estimation Approach (SFPEA), where all the parameters of the system are simultaneously estimated. In this preliminary analysis, SPEA led to a notable increase in both bias and standard error within the volume equation. On the other hand, SFPEA failed to achieve parameter convergence. Therefore, we selected the CPEA fitting option (ii).
Finally, in order to estimate diameter under bark (Equation (6)) and volume under bark (Equation (7)), we added the following equations into the compatible equations system:
d i u b = d i o b · e 1
v i o b = v i o b · e 2
We used the Iterative Seemingly Unrelated Regression (ITSUR) technique to account for cross-equation correlation. Estimation of the parameters was carried out with the MODEL procedure of SAS/ETS® [18].

2.5. Correction of Heteroscedasticity and Autocorrelation

To address heteroscedasticity, we used weighted regression, where the weight was set as the inverse of the variance of each individual observation [20]. The estimation of this variance, which was initially unknown, was carried out through the potential functions σ i 2 = γ · D k and σ i 2 = γ · ( D 2 · H ) k for equations with one or two independent variables, respectively. The values of γ and k were obtained using the errors derived from the model fitted without weights. These errors were treated as dependent variables in the potential error variance model. The final weights (Wi) were 1 / D k for the branch volume (Equation (4)) and 1 / ( D 2 · H ) k for both the stem volume (Equation (3)) and the whole tree volume (Equation (5)). The weighting factor was programmed in the MODEL procedure of SAS/ETS® [18].
As the database used for fitting the taper function consists of multiple observations for each tree, showing a hierarchical structure, it is reasonable to anticipate autocorrelation within the residuals of each individual observation. Consequently, we used a second-order continuous-time autoregressive error structure CAR(2) to address the autocorrelation inherent in the longitudinal data used for the simultaneous fitting of Equations (1) and (2). The CAR(2) model expands the error terms as follows [21] (Equation (8)):
e i j = d 1 ρ 1 h i j h i j 1 e i j 1 + d 2 ρ 2 h i j h i j 2 e i j 2 + ε i j
where eij is the jth ordinary error of the ith tree (i.e., the difference between the observed and the estimated diameters of the tree i at height measurement j); d1 = 1 for j > 1 y d1 = 0 for j = 1; ρ 1 is the first order autoregressive parameter to be estimated; h i j h i j 1 is the distance separating the jth from the jth-1 observation within each tree; hij > hij−1; d2 = 1 for j > 2 y d2 = 0 for j ≤ 2; ρ 2   is the second order autoregressive parameter to be estimated; h i j h i j 2   is the distance separating the jth from the jth-2 observations within each tree, hij > hij−2; and ε i j is the error term under independence conditions. All equations were fitted simultaneously using Iterative Seemingly Unrelated Regression (ITSUR) to account for cross-equation correlation.

2.6. Procedures for Developing the Species-Specific Biomass Equations

Three basic forms of regression models were examined as starting point for the selection of the best biomass allometric equations for each tree component:
B = α D β + ε i
B = α D β H γ + ε i
B = α D 2 H + ε 1
where α, β, and γ are the equation parameters, B can be total tree AGB or any of the tree biomass components, and ε i is the model error.
The allometric models were independently fitted for each biomass component using the least squares method with the REG procedure of the SAS/STAT® 9.2 software [18]. To initialize the iterative process, initial values were derived from linear regression conducted on the logarithmic transformation of the allometric model. For variable inclusion, a significance level of 0.0001 was restricted [7].
The best model for each tree biomass component was chosen at that first stage. Subsequently, a species-specific system of AGB equations was defined. This system takes into account cross-equation constraints on the structural parameters along with cross-equation error correlation [22,23]:
B w = α 0 · D α 1 · H α 2
B b = γ 1 · D γ 2 · H γ 3
B b r = exp ( δ 1 ) · D δ 2
B l = exp ( θ 1 ) · D θ 2
B t = α 0 · D α 1 · H α 2 + γ 1 · D γ 2 · H γ 3 + exp ( δ 1 ) · D δ 2 + exp ( θ 1 ) · D θ 2
where Bw, Bb, Bbr, and Bl, are the biomass of each tree component (stem wood, bark, branches, and foliage or needles), Bt is the total tree biomass, D and H are the independent variables, and αi, γi, δi, and θi are the parameters to be estimated.

Simultaneous Fitting of Tree Biomass Components and Total AGB

The system of equations was fitted using the Generalized Method of Moments (GMM) within the MODEL procedure of SAS/ETS® [18]. This method ensures efficient parameter estimates even when potential heteroscedasticity is present [24]. The parameters obtained by the simultaneous fit with GMM guarantee that the aggregate biomass (Bt) will be the sum of the estimated biomass of all tree components [7,23].

2.7. Volume and Biomass Models Fit Evaluation

The evaluation of the model’s estimates involved numerical and graphical analyses of the residuals. Three statistical criteria were examined: bias (Ē), root mean square error (RMSE), and coefficient of determination estimated for nonlinear regression (R2) [25] (Equations (17)–(19)).
E ¯ = i = 1 n ( y i y ^ i ) n
R M S E = i = 1 n ( y i y ^ i ) 2 n p
R 2 = r y i y ¯ i 2
where y i , y ^ i , y ¯ are the measured and estimated i-th value of the dependent variable i, respectively; r y i y ¯ is the correlation coefficient between the measured and estimated values of the dependent variable i; n is the number of observations; and p is the number of model parameters.
The models were further assessed by plotting the bias and RMSE by D class and relative heights. These plots show size classes of individual trees for which the volume systems provide especially good or poor predictions [26]. Moreover, predictive performance evaluation of the AGB models was conducted using a 10-fold cross-validation approach.

3. Results

3.1. Stem Volume Model

Appendix A contains the goodness-of-fit statistics for the one-entry (Table A3) and two-entry (Table A4) volume equations fitted to estimate stem volume over-bark for P. oocarpa. In all cases, the equation by Schumacher–Hall [27] consistently produced enhanced goodness-of-fit statistics and was included as the total volume equation into the compatible taper–volume equation by Fang et al. [28].

3.2. Stem Volume, Branch Volume and Whole Tree Volume Equations

Once the best volume equation was selected, the compatible equations system was fitted. Initially, the system was fitted through non-linear least squares without expanding the error term (ρ), in order to take autocorrelation into account. A clear trend in the raw residuals of the taper function was observed, revealing a correlation (r = 0.64) to the residuals of the adjacent section within the same tree (Figure 2, first column). After correcting for autocorrelation with the second-order continuous autoregressive error structure (CAR2), the trends in residuals disappeared (r = 0.001), as evidenced in Figure 2c.
Table 2 presents the goodness-of-fit statistics for the taper and volume equations within the compatible equations system. These equations demonstrated good performance, accounting for 98% and 95% of the variation in diameter and volume over-bark along the stem, respectively. The system showed high precision in estimating diameter along the stem (diob) with a mean accuracy of 1.79 cm, while precision for the viob equation was 0.17 m3.
Figure 3 shows the bias and RMSE of stem volume, branch volume, and total volume estimates across D classes. A consistent trend among all three volume estimates, i.e., a shift in bias from positive to negative as the D class increased. The RMSE increased until reaching the 55 cm D class, at which point it started to decrease, except for vob, for which the RMSE continued to increase after the 55 cm diameter class.
Parameters and goodness-of-fit statistics for the taper (diob) and merchantable volume (viob) equations are listed in Table 3. All parameters achieved high levels of statistical significance (p < 0.0001).
The behavior of the compatible taper–volume function was evaluated by examining the bias and RMSE distribution of the diob and viob values by relative height class (Figure 4).
Bias showed a similar trend in both equations, since it consistently remained around the zero line, except for viob when dealing with relative heights above 70% (positive bias), i.e., the merchantable volume equation slightly underestimates the volume in the upper section of the tree. On the other hand, the precision of the diob equation was higher as the height above the stump increased. This was evidenced by the fact that the average error at the tree base was close to 2 cm, while at the tree top, it was less than 1 cm. The precision of the merchantable volume equation was smaller than 0.2 m3 in all relative height classes (Figure 4).

3.3. Comparison of the Developed Volume Equations

The stem volume equation (vob) selected in this study (Schumacher–Hall) presented satisfactory fit (R2 = 0.98, RMSE = 0.13 m3) and a better performance compared to the equations used for estimating stem volume of P. oocarpa in Nicaragua (Figure 5).

3.4. Tree-Level Biomass Equations

Table 4 contains the parameter estimates obtained by simultaneous GMM fitting, as well as the approximate standard errors and significance contrasts. All the parameters were significant at α = 0.05. The R2 values indicated that the fitted models explained between 91% and 95% of the observed total and by-component biomass variance. The total tree biomass equation accounted for 93% of the total observed variance in the whole tree AGB. The goodness-of-fit statistics calculated during the fitting and the cross-validation phases showed good performance of the selected equations, with R2 values ranging from 0.89 (Bl) to 0.93 (Bb).
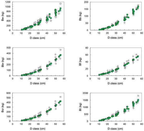
The most effective allometric equation for estimating stem wood biomass and bark biomass was the one encompassing D and H; by contrast, the inclusion of H as an independent variable did not yield significant results for estimating the biomass of branches and needles. Consequently, branches and needles (foliage) biomasses were solely estimated using D. The predictive capacity of the selected models is shown in Figure 6.
Finally, the distribution of the biomass by tree component showed a pattern associated with tree size, in this case, the diameter at breast height (Figure 7).
The distribution of biomass among tree components remained consistent in all cases, except for stem wood, which showed a decline from 76% in the 5 cm D class to 61% in the 60 cm D class. The proportion of biomass in bark and branches increased slightly as D increased, while the proportion of leaves remained almost constant across all D classes.

4. Discussion

4.1. Volume Equations System

This study presents a compatible volume equations system based on the function proposed by Fang et al. [28]; it consists of stem volume, coarse branch volume, merchantable volume, total tree volume, and taper equations for Pinus oocarpa in Nicaragua.
Although Cifuentes et al. [34] report 75 allometric equations (including biomass, volume, carbon, height, and bark volume) for 41 species in Nicaragua, it was not possible to find these equations for comparison with this study. This is largely because there was no way to retrieve the publications, so there was no reliable way to know the true extent of the published materials. In fact, many of the allometric equations used in Nicaragua were developed as part of the research of university or graduate students [29,35], and others have been taken from works in neighboring countries, such as Guatemala and Honduras [36,37,38].
The stem volume equation generated in this study predicts more accurately the stem volume with bark than those developed in the 1990s by Saravia and Cano [29]. The volumes predicted with the H2 model are similar to those estimated in this study and to the real values up to the D class 35 cm; however, after 40 cm, the Saravia and Cano [29] equation tends to systematically overestimate the volume of the stem (Figure 5A). On the contrary, model H4 underestimates stem volume in trees with D > 30 cm. Similarly, the form factor traditionally used to calculate the volume of this species in management programs (0.43) slightly underestimates the observed volumes (Figure 5B). In addition, bark volume (vob) values are more accurately overlapped on the observed values than other equations developed for P. oocarpa in other countries (unpublished), which have been used in the past for management of the species in Nicaragua. For example, the equations by COHDEFOR [30], Petters [31] (Figure 5D), and Pérez et al. [32] (Figure 5C) systematically underestimate volume in all D classes, while the equation by Estrada [33] is the equation that predicts volumes closest to those observed (Figure 5D). The lack of local or national equations to calculate timber volumes in trees and stands of P. oocarpa in Nicaragua has generated uncertainty regarding the volumes used to estimate national timber production, which could translate into potential legal and economic implications. Therefore, the use of equations locally developed in different conditions from those of the natural forests of P. oocarpa in the country should be used with caution.
The fit of the taper–volume compatible function of Fang et al. [28] was acceptable. The model includes two inflection points (p1, p2), and describes appropriately the data for both diameter along the stem (diob) and height (hi) to a specific diob. The first inflection point is located close to diameter at breast height and the second at the upper position on the stem [39]. In P. oocarpa, the p1 parameter suggests a first inflection point at 4.4% of the total tree height, which is less than the values reported in others studies; for instance, Pérez et al. [36], who assumed that the inflection point of P. oocarpa in central Honduras is located at 25% of the total height. Other studies on the stem profile of these species have reported values of the first inflection point similar to those of this study; for example, Vargas-Larreta et al. [40] developed profile equations for P. oocarpa in more than 30 forest regions of Mexico, and reported values of p1 between 3.1% and 9.0% (average 5.7%). The second inflection point (p2) was obtained at 89.4% of the tree total height, and the value is in line with those obtained by Vargas-Larreta et al. [40] in the aforementioned regions, with values between 58.1% and 93% (average 73.8%). In addition, the p2 value is consistent with those reported for other pine species; for example, 71% for P. cooperi and 74% for P. durangesis in Mexico [41]. No similar studies were found for this species in Nicaragua; however, the two inflection points seem to be adequate to describe the stem profile of P. oocarpa.
The taper model estimated less accurately diob on the lower part of P. oocarpa pine trees, because it is the part of the stem with the greatest taper. This difficulty in describing the stem profile in the lower part of the tree has been documented for several conifer species [19,42]. In this study, diameter prediction accuracy increased in the part of the stem between 10 and 80% of the total height, which corresponds to the most cylindrical part of the trees, with an average bias < 0.05 cm and average RMSE < 1 cm.
The RMSE associated with the estimation of volume up to a limit diameter or height (merchantable volume) remained constant in all diameter classes, without reaching high values (maximum RMSE < 0.2 m3). Although goodness-of-fit values were lower than those reported in other studies, mainly for conifer species [39,43], in general, the taper function by Fang et al. [28] showed good behavior for estimating merchantable and total stem volume for all tree sizes included in the sample. Bias showed a similar trend in both equations, where the values always remain around the zero line, except in viob for relative heights above 70% (positive bias), i.e., the merchantable volume equation slightly underestimates the volume in the upper part of the tree. However, this bias does not have a negative effect on the merchantable volume estimates, nor on the whole stem volume, since the lowest amount of volume is concentrated in the tree top.
The estimation of the volume without bark from the volume with bark proved to be a practical and accurate option to estimate the proportion of volume contained in the bark. The value of the parameter g2 in Table 4 (0.866) indicates that the average volume contained in the bark corresponds to 13.4% of the total volume of the stem. The value of g2 is similar to those reported in studies carried out in Latin America, mainly in Mexico. For example, Vargas-Larreta et al. [40] reported g2 values between 0.82 and 0.91 (average 0.855) in 10 states of Mexico, which means that site characteristics and latitude might have little influence on bark thickness and bark volume content in this species.
Branch volume was modeled with an allometric equation based only on D, which has been reported in other studies. The goodness-of-fit values for the coarse branches volume equation were low, but are similar to those obtained by Gómez-García et al. [44], and Vargas-Larreta et al. [40], who report lower fit values than those obtained in this study. This lack of fit is due to the difficulty of modeling crown volume, mainly due to the variety of structures, sizes, and shapes of tree crowns, which differ, to a greater or lesser extent, depending on factors such as the number of trees in the stand (competition), terrain exposure, and slope [45], as well as species mixture.

4.2. Biomass Equations System

We did not find any biomass equations developed for the species in Nicaragua. The only record is the study by Calderón and Solís [12], who quantified the biomass stored in three development stages of a P. oocarpa forest in Nueva Segovia, where they obtained an average total biomass of 391.67 kg tree−1; however, these authors did not report any biomass equation.
We found differences in biomass estimates yielded by the equations developed in this study and previously published biomass functions for P. oocarpa. The predictive power of the new biomass equations was less than those of previous models developed by Gudiel [46] in natural forests of Honduras, as noted for the evaluation using R2 and RMSE. For the total aboveground biomass, the equation by Gudiel [46] showed an R2 of 0.99 and an RMSE value of 86.27 kg tree−1, while the equations developed in this study yielded an R2 = 0.93 and RMSE = 111.26 kg tree−1. This author does not report equations for stem, bark, needles, or branch biomass. In Mexico, Navarro-Martínez [47] fitted the allometric model to estimate the total aboveground biomass of P. oocarpa in the south of the country, with goodness-of-fit statistics similar to those of this study, with a slightly higher R2 (0.96), but a higher RMSE (359.0 kg tree−1). The R2 values are in the range for this statistic reported in other studies on total aboveground biomass of this species; for instance, Ayala-López et al. [48] with 0.97, González [49] with 0.95, and Návar [50] with 0.977.
While some authors argue that diameter (D) alone provides accurate estimates of aboveground biomass [51,52], in this study, D was only a reliable predictor of branch and needle biomass, which is in line with the findings of Lambert et al. [53], who also demonstrate that incorporating height does not enhance the precision of crown biomass estimates. Authors such as Návar [50] mention that modeling tree crown biomass is not that simple, hence, anticipating slightly less accurate fits compared to the estimation of stem or total biomass. In our study, the inclusion of height as an independent variable did not yield improved precision in estimating branch and needle biomass, likely because no canopy variables were included, such as crown diameter, length, or crown ratio, which could explain the effect of factors such as competition or productivity level on crown architecture. In contrast, the addition of H into the models significantly enhanced the predictive accuracy of the equations for stem, bark, and total biomass.
The average distribution of aboveground biomass by component in P. oocarpa trees was 66.1% in stem wood, 20.4% in branches, 4.3% in foliage, and 9.2% in bark. Alberto and Evir [37] estimated the accumulation of aboveground biomass of P. oocarpa in natural forests in Honduras and found that 71% of the aboveground biomass was located in the stem and 21% in branches. Navarro-Martínez et al. [47] determined the following biomass distribution by structural component in P. oocarpa in temperate forests of Guerrero, Mexico: 64.7% in stem, 32.6% in branches, 2.0% in foliage, and 0.7% in cones. On the other hand, the biomass proportion in the stem of P. oocarpa obtained in this study is lower than that reported by Ramos and Ferreira [54] for this species in forests of Honduras (71.65% in stem wood and 28.35% in bark, branches, and needles). For the same species, González [49] obtained 84.8%, 11.2%, and 4.0% of the biomass in the stem, branches, and foliage, respectively, in young natural stands of P. oocarpa in northern Chiapas, Mexico. Similarly, the distribution of aboveground biomass by components for P. oocarpa pine in Honduras [46] is different to that found in this study, with 79.8% in the stem with bark, followed by branches with 12.4%, needles with 7.0%, and cones with 0.8%. This distribution pattern of AGB in P. oocarpa is explained by Enquis and Niklas [55]. Their comprehensive study, encompassing a wide array of vascular plant species, yielded the conclusion that, despite variations in ontogeny, anatomy, habitat, and environmental characteristics, the accumulation of biomass in the components consistently follows the same pattern regardless of environmental conditions.

5. Conclusions

Allometric equations were developed to estimate over- and under-bark stem volume, branch, and whole tree volume (stem + branches), as well as biomass of wood, bark, branches, needles, and total tree for P. oocarpa in Nicaragua. The equations were generated with data from all growing conditions and stand types considered representative of the coniferous and broadleaf forests of the country. The best model predicting stem volume over-bark considers diameter at breast height and total height as independent variables, while the coarse branches volume equation only uses diameter at breast height. The species-specific biomass equations developed are highly accurate and can be applied to individual tree-level data in forest inventories. In addition, they can improve the precision of biomass estimates and verify changes in carbon stocks in P. oocarpa forests in the country.
The equation systems presented in this paper are the first of this type in Nicaragua, so this study should be considered as part of an ongoing process, in which a great effort is required to obtain data from a larger number of species, with different growth forms and biomass contents, in order to improve national capacities to estimate biomass and carbon stocks and emissions of the country’s forests. The use of the equations reported in this paper may present areas in the regression space where the predictions may be less accurate, especially when the equations are used outside the range of data used for their development.
Furthermore, while achieving good fits, it is apparent that environmental conditions vary significantly among different regions within the country. Hence, future studies are needed to identify differences in the stem taper of the species across forest regions, and to calibrate the equations to local characteristics and specific forest management practices.

Author Contributions

Conceptualization, project administration, L.A.V.H.; data collection and depuration, L.E.C.T. and J.A.P.O.; supervision, W.A.C.V.; methodology, formal analysis, writing—original draft preparation, B.V.-L. All authors have read and agreed to the published version of the manuscript.

Funding

This research was funded by the Food and Agriculture Organization (FAO) of the United Nations through the project “Strengthening Institutional and Technical Capacities in the Agricultural and Forestry Sectors of Nicaragua to respond to the requirements of the Enhanced Transparency Framework under the Paris Agreement, grant number GCP/NIC/042/CBIT”.

Data Availability Statement

The dataset used in this study could be provided by the corresponding author upon reasonable request.

Acknowledgments

We are grateful to Indiana Raquel Fuentes Ramírez for her strong support in carrying out the project, and to Iván León, FAO representative in Nicaragua, for his financial support. We thank Itza Centeno González for her assistance in field collecting, as well as the forest owners who donated the sample trees, and Adrián Úbeda, who performed the laboratory analysis. We also would like to thank to the Instituto Tecnológico de El Salto, Mexico, for the support with measuring instruments, the Universidad Nacional de Ingeniería and the Instituto de Tecnología Agropecuaria. We thank all who contributed to the achievement of this research. The authors are grateful to two anonymous reviewers for the insightful comments, which helped to improve the first version of the manuscript.

Conflicts of Interest

The authors declare no conflict of interest.

Appendix A

Table A1. Mathematical expression of the one-entry volume equations fitted (V = volume, D = breast height diameter, bi = coefficients).
Table A1. Mathematical expression of the one-entry volume equations fitted (V = volume, D = breast height diameter, bi = coefficients).
EquationExpression
Dissescu-Stanescu V t = b 0 + b 1 · D 2
Berkhout V t = b 0 · D b 1
Dissescu-Meyer V t = b 0 · D + b 1 · D 2
Hohenadl-Krenn V t = b 0 + b 1 · D + b 2 · D 2
Incomplete third degree polynomial V t = b 0 + b 1 · D 2 + b 2 · D 3
Complete third degree polynomial V t = b 0 + b 1 · D + b 2 · D 2 + b 3 · D 3
Table A2. Mathematical expression of the two-entry volume equations fitted (V = volume, D = breast height diameter, bi = coefficients).
Table A2. Mathematical expression of the two-entry volume equations fitted (V = volume, D = breast height diameter, bi = coefficients).
Equation Expression
Schumacher-Hall V t = b 0 · D b 1 · H b 2
Spurr V t = b 0 · D 2 · H
Spurr potential V t = b 0 · ( D · H ) b 1
Spurr with independent term V t = b 0 + b 1 · D 2 · H
Generalized incomplete combined variable V t = b 0 + b 1 · H + b 2 · D 2 · H
Generalized complete combined variable V t = b 0 + b 1 · D 2 + b 2 · H + b 3 · D 2 · H
Australian formula V t = b 0 + b 1 · D 2 + b 2 · D 2 · H + b 3 · H
Honer V t = D 2 b 0 + b 1 H
Newnham V t = b 0 + b 1 · D b 2 + H b 3
Table A3. Goodness-of-fit statistics of the one-entry volume equations evaluated.
Table A3. Goodness-of-fit statistics of the one-entry volume equations evaluated.
Equationb0b1b2b3BiasRMSER2 adj
Dissescu-Stanescu−0.13550.0010 −1.12 × 10−120.2390.94
Berkhou0.00032.2822 7.24 × 10−40.2330.95
Dissescu-Meyer−0.00930.0011 4.19 × 10−30.2350.94
Hohenadl-Krenn0.1669 *−0.0190 *0.0012 3.84 × 10−130.2350.95
Incomplete third degree polynomial−0.0254 *0.00074.84 × 10−6 −2.20 × 10−140.2340.95
Complete third degree polynomial0.0012 *−0.0025 *7.54 × 10−4 *4.20 × 10−6 *2.43 × 10−150.2360.93
Asterisk (*) indicates a not significant parameter estimate at a probability level of 5%.
Table A4. Goodness-of-fit statistics of the two-entry volume equations evaluated.
Table A4. Goodness-of-fit statistics of the two-entry volume equations evaluated.
Equationb0b1b2b3BiasRMSER2 adj
Schumacher-Hall4.8 × 10−51.952040.95437 0.00010.1320.98
Spurr4.07 × 10−5 1.44 × 10−30.1740.97
Spurr potential2.48 × 10−51.62229 −8.71 × 10−30.2760.93
Spurr with independent term0.003482 *4.06 × 10−5 6.84 × 10−120.1750.97
Generalized incomplete combined variable0.136611 *−0.00819 *4.15 × 10−5 −6.30 × 10−120.1730.97
Generalized complete combined variable−0.07242 *0.000270.00157 *0.000033.23 × 10−170.1670.97
Australian formula−0.07242 *0.000270.000030.00157 *1.61 × 10−170.1660.97
Honer1033.814−2.37472 7.08 × 10−30.2320.95
Newnham−0.0058 *6.97 × 10−52.080390.728551.55 × 10−60.1680.97
Asterisk (*) indicates a not significant parameter estimate at a probability level of 5%.

References

  1. FAO. Evaluación de los Recursos Forestales Mundiales 2020: Principales Resultados; FAO: Roma, Italy, 2020. [Google Scholar] [CrossRef]
  2. MARENA [Ministerio del Ambiente y los Recursos Naturales]. Cuarta Comunicación Nacional sobre Cambio Climático. República de Nicaragua. Impresiones a Colores S.A. Managua, Nicaragua. 2023. Available online: https://unfccc.int/sites/default/files/resource/4CN-Nicaragua.pdf (accessed on 27 February 2023).
  3. MARENA [Ministerio del Ambiente y los Recursos Naturales]. Estrategia de Reducción de Emisiones Provenientes de la Deforestación y Degradación de los Bosques (2018–2040). Managua, Nicaragua. 2017. Available online: https://www.marena.gob.ni/Enderedd/wpcontent/uploads/Fases/13.%20Estrategia%20Nacional%20ENDE.pdf (accessed on 8 May 2022).
  4. Banco Central de Nicaragua (BCN). Anuarios de Estadísticas Macroeconómicas 2016. Gobierno de Nicaragua. Managua. 2016. Available online: https://www.bcn.gob.ni/system/files_force/documentos/anuario_estadistico_2016.pdf?download=1 (accessed on 8 May 2022).
  5. IPCC. Guidelines for National Greenhouse Gas Inventories; Volume 4: Agriculture, Forestry and Other Land Use; IGES: Hayama, Japan, 2006. [Google Scholar] [CrossRef]
  6. MARENA [Ministerio del Ambiente y los Recursos Naturales]. Niveles de Referencia de las Emisiones Forestales de Nicaragua. Dirección General de Cambio Climático, Ministerio del Ambiente y los Recursos Naturales. Managua. Nicaragua. 2020. Available online: https://redd.unfccc.int/files/nref_nicaragua_vf_limpio_14072020.pdf (accessed on 14 December 2022).
  7. Castedo-Dorado, F.; Gómez-García, E.; Diéguez-Aranda, U.; Barrio-Anta, M.; Crecente-Campo, F. Aboveground stand-level biomass estimation: A comparison of two methods for major forest species in northwest Spain. Ann. For. Sci. 2012, 69, 735–746. [Google Scholar] [CrossRef]
  8. Hall, G.M.J.; Wiser, S.K.; Allen, R.B.; Beets, P.N.; Goulding, C.J. Strategies to estimate national forest carbon stocks from inventory data: The 1990 New Zealand baseline. Glob. Chang. Biol. 2001, 7, 389–403. [Google Scholar] [CrossRef]
  9. Wirth, C.; Schumacher, J.; Schulze, E.D. Generic biomass functions for Norway spruce in Central Europe: A meta-analysis approach toward prediction and uncertainty estimation. Tree Physiol. 2004, 24, 121–139. [Google Scholar] [CrossRef]
  10. Chave, J.; Réjou-Méchain, M.; Búrquez, A.; Chidumayo, E.; Colgan, M.S.; Delitti, W.B.; Duque, A.; Eid, T.; Fearnside, P.M.; Goodman, R.C.; et al. Improved allometric models to estimate the aboveground biomass of tropical trees. Glob. Chang. Biol. 2014, 20, 3177–3190. [Google Scholar] [CrossRef]
  11. Moraes, C. Almacenamiento de Carbono en Bosques Secundarios en el Municipio de San Carlos, Nicaragua; CATIE: Turrialba, Costa Rica, 2001. [Google Scholar]
  12. Calderón, R.D.; Urbina-Solis, D. Cuantificación del Carbono Almacenado en tres Fincas en tres Estados de Desarrollo del Bosque de pino (Pinus oocarpa L.) Diplito, Nueva Segovia, Nicaragua. Bachelor’s Thesis, Universidad Nacional Agraria, Managua, Nicaragua, 2012. [Google Scholar]
  13. INAFOR. Informe del Monitoreo de Bosques para la Generación de Información Forestal Actualizada año 2021 a Través del Levantamiento en Campo de 38 Unidades de Muestreo del Inventario Nacional Forestal; Instituto Nacional Forestal: Managua, Nicaragua, 2021. [Google Scholar]
  14. INAFOR. Estudio Poblacional de Especies Forestales; Instituto Nacional Forestal: Managua, Nicaragua, 2021. [Google Scholar]
  15. INETER. Clasificación Climática Según Köppen Periodo 1971–2000; Dirección General de Meteorología, Instituto Nicaragüense de Estudios Territoriales: Managua, Nicaragua, 2005. [Google Scholar]
  16. Abbot, P.; Lowore, J.; Werren, M. Models for the estimation of single tree volume in four Miombo woodland types. For. Ecol Manag. 1997, 97, 25–37. [Google Scholar] [CrossRef]
  17. Bi, H. Trigonometric variable-form taper equations for Australian eucalyptus. For. Sci. 2000, 46, 397–409. [Google Scholar] [CrossRef]
  18. SAS Institute Inc. SAS/ETS 9.2 User’s Guide; SAS Institute Inc.: Cary, NC, USA, 2009. [Google Scholar]
  19. Diéguez-Aranda, U.; Castedo-Dorado, F.; Álvarez-González, J.G.; Rojo, A. Compatible taper function for Scots pine (Pinus sylvestris L.) plantations in northwestern Spain. Can. J. For. Res. 2006, 36, 1190–1205. [Google Scholar] [CrossRef]
  20. Parresol, B.R. Assessing tree and stand biomass: A Review with examples and critical comparisons. For. Sci. 1999, 45, 573–593. [Google Scholar] [CrossRef]
  21. Zimmerman, D.L.; Núñez-Antón, V. Parametric modeling of growth curve data: An overview (with discussion). Test 2001, 10, 1–73. [Google Scholar] [CrossRef]
  22. Parresol, B.R. Additivity of nonlinear biomass equations. Can. J. For. Res. 2001, 31, 865–878. [Google Scholar] [CrossRef]
  23. Bi, H.; Long, Y.; Turner, J.; Lei, Y.; Snowdon, P.; Li, Y.; Harper, R.; Zerihun, A.; Ximenes, F. Additive prediction of aboveground biomass for Pinus radiata (D. Don) plantations. For. Ecol. Manag. 2010, 259, 2301–2314. [Google Scholar] [CrossRef]
  24. Greene, W.H. Econometric Analysis, 4th ed.; Prentice Hall: Upper Saddle River, NJ, USA, 1999. [Google Scholar]
  25. Ryan, T.P. Modern Regression Methods; John Wiley & Sons: New York, NY, USA, 1997. [Google Scholar]
  26. Kozak, A. My last words on taper functions. For. Chron. 2004, 80, 507–515. [Google Scholar] [CrossRef]
  27. Schumacher, F.X.; Hall, F.S. Logarithmic expression of timber-tree volume. J. Agric. Res. 1933, 47, 719–734. [Google Scholar]
  28. Fang, Z.; Borders, B.E.; Bailey, R.L. Compatible volume-taper models for loblolly and slash pine based on a system with segmented-stem form factors. For. Sci. 2000, 46, 1–12. [Google Scholar] [CrossRef]
  29. Saravia, C.H.; Cano, O.S. Elaboración de Ecuaciones de Volúmenes para Pinus oocarpa Schiede en Nicaragua. Bachelor’s Thesis, Facultad de Recursos Naturales y del Ambiente, Universidad Nacional Agraria, Managua, Nicaragua, 1993. [Google Scholar]
  30. COHDEFOR. Informe Final del Inventario de Rancho Grande, Tegucigalpa; Nota técnica 14; Corporación Hondureña de Desarrollo Forestal: Tegucigalpa, Honduras, 1979. [Google Scholar]
  31. Petters, R. Tablas de Volumen para las Especies Coníferas de Guatemala; PNUD/FAO/GUA/72/006; Documento de Trabajo No. 17; Instituto Nacional Forestal: Managua, Nicaragua, 1977. [Google Scholar]
  32. Pérez, N.; Ferreira, O.; Stiff, C. Ecuaciones de volumen para Pinus oocarpa Schiede en la región central de Honduras. Nota técnica No. 6; Escuela Nacional de Ciencias Forestales, Corporación Hondureña de Desarrollo Forestal, Centro Nacional de Investigación Forestal Aplicada: Tegucigalpa, Honduras, 1989. [Google Scholar]
  33. Estrada, C.N.E. Elaboración de Tablas de Volumen General para Pinus oocarpa y Pinus maximinoi, del Bosque del Uyuca, El Zamorano, Honduras. Bachelor’s Thesis, Escuela Agrícola Panamericana, Tegucigalpa, Honduras, 1997. [Google Scholar]
  34. Cifuentes, J.M.; Morales, D.; Henry, M. Inventory of Volume and Biomass Tree Allometric Equations for Central and South America; UN-REDD MRV Report 11; CATIE: Turrialbe, Costa Rica; Food and Agriculture Organization of the United Nations: Rome, Italy, 2013. [Google Scholar]
  35. Perez, R.D.N. Development of a Taper Equation for Pinus oocarpa Schiede in Natural Stands of Central Honduras. Master’s Thesis, Virginia Polytechnic Institute, Blacksburg, VA, USA, 1988. [Google Scholar]
  36. Perez, D.N.; Burkhart, H.E.; Stiff, C.T. A variable-form taper function for Pinus oocarpa Schiede in central Honduras. For. Sci. 1990, 36, 186–191. [Google Scholar]
  37. Alberto, D.M.; Elvir, J.A. Acumulación y fijación de carbono en biomasa aérea de Pinus oocarpa en bosques naturales en Honduras. Investig. Agrar. Sist. Recur. For. 2008, 17, 67–78. [Google Scholar] [CrossRef][Green Version]
  38. Sánchez, M.H. Generación de Tablas de Volumen para pino ocote (Pinus oocarpa Schiede), en el Departamento de Zacapa, Guatemala. Bachelor’s Thesis, Facultad de Agronomía, Universidad de San Carlos de Guatemala, Guatemala City, Guatemala, 2009. [Google Scholar]
  39. Corral-Rivas, J.J.; Diéguez-Aranda, U.; Corral, R.S.; Dorado, C.F. A merchantable volume system for major pine species in El Salto, Durango (Mexico). For. Ecol. Manag. 2007, 238, 118–129. [Google Scholar] [CrossRef]
  40. Vargas-Larreta, B.; Corral-Rivas, J.J.; Aguirre-Calderón, O.A.; López-Martínez, J.O.; Santos-Posadas, H.M.; Zamudio-Sánchez, F.J.; Treviño-Garza, E.J.; Martínez-Salvador, M.; Aguirre-Calderón, C.G. SiBiFor: Forest biometric system for forest management in Mexico. Rev. Chapingo Ser. Cienc. For. Y Ambiente 2017, 23, 437–455. [Google Scholar] [CrossRef]
  41. Corral-Rivas, J.J.; Vega-Nieva, D.J.; Rodríguez-Soalleiro, R.; López-Sánchez, C.A.; Wehenkel, C.; Vargas-Larreta, B.; Álvarez-González, J.G.; Ruiz-González, A.D. Compatible system for predicting total and merchantable stem volume over and under bark, branch volume and whole-tree volume of pine species. Forests 2017, 8, 417. [Google Scholar] [CrossRef]
  42. Rodríguez, P.; Broto, M. Ecuaciones de Volumen Comercial para las Principales Especies Maderables de Castilla y León; CESEFOR: Soria, Spain, 2003. [Google Scholar]
  43. Tang, X.; Pérez-Cruzado, C.; Fehrmann, L.; Álvarez-González, J.G.; Lu, Y.; Kleinn, C. Development of a compatible taper function and stand-level merchantable volume model for Chinese fir plantations. PLoS ONE 2016, 11, e0147610. [Google Scholar] [CrossRef] [PubMed]
  44. Gómez-García, E.; Crecente-Campo, F.; Barrio-Anta, M.; Diéguez-Aranda, U. A disaggregated dynamic model for predicting volume, biomass and carbon stocks in even-aged pedunculate oak stands in Galicia (NW Spain). Eur. J. For. Res. 2015, 134, 569–583. [Google Scholar] [CrossRef]
  45. Weiskittel, A.; Maguire, D. Branch surface area and its vertical distribution in coastal Douglas-fir. Trees 2006, 20, 657–667. [Google Scholar] [CrossRef]
  46. Gudiel, C.D. Ecuación Alométrica para Estimar Biomasa aérea en Pinus oocarpa del Bosque Natural de la Microcuenca Santa Inés, Honduras. Bachelor’s Thesis, Escuela Agrícola Panamericana, Zamorano, Honduras, 2015. [Google Scholar]
  47. Navarro-Martínez, J.; Godínez-Jaimes, F.; López-López, M.A.; Rosas-Acevedo, J.; Juárez-López, A.; Reyes-Umaña, M. Fitting allometric equations to estimate aboveground biomass for Pinus oocarpa and Quercus resinosa at Guerrero, Mexico. Madera Y Bosques 2020, 26, e2611964. [Google Scholar] [CrossRef]
  48. Ayala-López, R.S.; De Jong, B.H.J.; Ramírez-Maldonado, H. Ecuaciones para estimar biomasa en la meseta central de Chiapas. Rev. Chapingo Ser. Cienc. For. Ambiente 2001, 7, 153–157. [Google Scholar]
  49. González, Z.M. Estimación de la Biomasa aérea y Captura de Carbono en Regeneración Natural de Pinus maximinoi H.E. Moore, Pinus oocarpa var. ochoterenai Mtz. y Quercus sp. en el Norte del Estado de Chiapas, México. Master’s Thesis, CATIE, Turrialba, Costa Rica, 2008. [Google Scholar]
  50. Návar, J. Allometric equations for tree species and carbon stocks for forests of northwestern México. For. Ecol. Manag. 2009, 257, 427–434. [Google Scholar] [CrossRef]
  51. Porté, A.; Trichet, P.; Bert, D.; Loustau, D. Allometric relationships for branch and tree woody biomass of Maritime pine (Pinus pinaster Aït.). For. Ecol. Manag. 2002, 158, 71–83. [Google Scholar] [CrossRef]
  52. Jenkins, J.; Chojnacky, D.S.; Birdsey, R. National scale biomass estimators for United States tree species. For. Sci. 2003, 49, 12–35. [Google Scholar]
  53. Lambert, M.C.; Ung, C.H.; Raulier, F. Canadian national tree aboveground biomass equations. Can. J. For. Res. 2005, 35, 1996–2018. [Google Scholar] [CrossRef]
  54. Ramos, V.S.; Ferreira, O.W. Determinación de la cantidad y composición química de la biomasa aérea y subterránea del Pinus oocarpa. Tatascán 2001, 13, 3–17. [Google Scholar]
  55. Enquis, B.; Niklas, K. Global allocation rules for patterns of biomass partitioning in seed plants. Science 2002, 295, 1517–1520. [Google Scholar] [CrossRef] [PubMed]
Figure 1. Location of the study area (orange dots indicate the sampling points); letters in brackets indicate the municipalities where the sampling points were located ((A): Macuelizo, (B): San Fernando, (C): Jalapa, (D): Telpaneca, (E): San Nicolás, (F): San Rafael del Norte).
Figure 1. Location of the study area (orange dots indicate the sampling points); letters in brackets indicate the municipalities where the sampling points were located ((A): Macuelizo, (B): San Fernando, (C): Jalapa, (D): Telpaneca, (E): San Nicolás, (F): San Rafael del Norte).
Forests 15 00309 g001
Figure 2. Residuals (di, cm) versus LAG1 residuals for the Fang et al. [28] model fitted without considering autocorrelation (a), and using a continuous autoregressive model of first (b) and second order (c).
Figure 2. Residuals (di, cm) versus LAG1 residuals for the Fang et al. [28] model fitted without considering autocorrelation (a), and using a continuous autoregressive model of first (b) and second order (c).
Forests 15 00309 g002
Figure 3. Bias and RMSE of stem (vob), branch (vbr), and total volume (vt) estimates per diameter class.
Figure 3. Bias and RMSE of stem (vob), branch (vbr), and total volume (vt) estimates per diameter class.
Forests 15 00309 g003
Figure 4. Bias (bars) and RMSE (dashed line) for diob (cm, (a)) and viob (m3, (b)) by relative height classes (hi/H) for the compatible taper–volume function by Fang et al. [28].
Figure 4. Bias (bars) and RMSE (dashed line) for diob (cm, (a)) and viob (m3, (b)) by relative height classes (hi/H) for the compatible taper–volume function by Fang et al. [28].
Forests 15 00309 g004
Figure 5. Observed values of stem volume over-bark (vob) overlapped on those estimated with the vob equation developed in this study and with previously used equations developed by Saravia & Cano [29], COHDEFOR [30], Petters [31], Pérez et al. [32] and Estrada [33].
Figure 5. Observed values of stem volume over-bark (vob) overlapped on those estimated with the vob equation developed in this study and with previously used equations developed by Saravia & Cano [29], COHDEFOR [30], Petters [31], Pérez et al. [32] and Estrada [33].
Forests 15 00309 g005
Figure 6. Observed values (gray circles) of stem wood (Bw), bark (Bb), branches (Bbr), needles (Bf), crown (Bcr), and total biomass (Bt) against biomass values (green circle) estimated with the allometric equations developed.
Figure 6. Observed values (gray circles) of stem wood (Bw), bark (Bb), branches (Bbr), needles (Bf), crown (Bcr), and total biomass (Bt) against biomass values (green circle) estimated with the allometric equations developed.
Forests 15 00309 g006
Figure 7. Biomass distribution by tree component (stem wood (Bw), bark (Bb), branches (Bbr), needles (Bf), crown (Bcr), and total biomass (Bt)), as a function of tree size, estimated with the developed biomass equations system.
Figure 7. Biomass distribution by tree component (stem wood (Bw), bark (Bb), branches (Bbr), needles (Bf), crown (Bcr), and total biomass (Bt)), as a function of tree size, estimated with the developed biomass equations system.
Forests 15 00309 g007
Table 1. Summary statistics of the data set (n = 112).
Table 1. Summary statistics of the data set (n = 112).
VariableMinimumMaximumMeanSD
Volume (m3)
hst1.0018.008.783.01
D11.0067.0034.5414.16
H7.4729.1619.814.64
vob0.0424.021.060.87
vub0.0273.480.920.76
vbr0.0000.930.160.21
vt0.0424.371.231.04
Aboveground biomass (kg)
Bw15.361117.45361.93262.19
Bb4.43210.4171.99656.21
Bbr2.43459.51129.77110.97
Bf2.6760.1322.1415.99
Bt22.881808.72572.32429.28
hst = stump height (cm), D = diameter at breast height (cm), H = total height (m), vob = stem volume over-bark (m3), vub = stem volume under bark (m3), vbr = branch volume (m3), vt = tree stem + coarse branch volume (m3), Bw = wood biomass (kg), Bb = bark biomass (kg), Bbr = branch biomass (kg), Bf = foliage biomass (kg), Bt = total tree biomass (kg), SD = standard deviation.
Table 2. Goodness-of-fit statistics for the simultaneous fitting of the volume equation system.
Table 2. Goodness-of-fit statistics for the simultaneous fitting of the volume equation system.
EquationVariableBiasRMSER2
(1)diob0.0001.790.98
(2)viob0.0000.170.95
(3)vob0.0010.130.98
(4)vbr−0.0100.120.65
(5)vt0.0060.170.97
(6)diub0.0011.730.98
(7)viub0.0000.040.99
diob = diameter over bark (cm); viob = merchantable volume over bark (m3); vob = stem volume over bark (m3); vbr = volume of branches (m3); vt = whole tree volume over bark (m3); diub = diameter under bark (cm); viub = merchantable volume under bark (m3).
Table 3. Parameter estimates for the simultaneous fitting of the compatible taper–volume equation system.
Table 3. Parameter estimates for the simultaneous fitting of the compatible taper–volume equation system.
ParameterEquationEstimate Std. Errort-ValuePr > t
a0(1–3) and (5)4.8 × 10−50.00008.68<0.0001
a11.952040.026473.87<0.0001
a20.954370.044221.58<0.0001
b11.1 × 10−50.000029.11<0.0001
b22.9 × 10−50.0000133.65<0.0001
b34.6 × 10−50.00004.54<0.0001
p10.0444510.002121.19<0.0001
p20.8943190.015956.07<0.0001
c1(4)9.786280.512520.90<0.0001
r22.364590.132718.61<0.0001
g1(6) and (7)0.9248340.0002599.19<0.0001
g20.8667350.0001697.41<0.0001
Table 4. Parameter estimates, significance, and goodness-of-fit statistics for the biomass component and total tree biomass equations.
Table 4. Parameter estimates, significance, and goodness-of-fit statistics for the biomass component and total tree biomass equations.
Biomass ComponentParameterEstimateStd. Errort-ValueProb. Approx > |t|Fitting PhaseCross-Validation
R2RMSE (kg)R2RMSE (kg)
Bw α 0 0.1037740.04762.180.00340.9158.720.9059.84
α 1 1.7856530.085720.85<0.0001
α 2 0.6079720.14464.20<0.0001
Bb γ 1 0.0061420.00272.230.03090.959.970.9310.46
γ 2 2.1577310.061535.07<0.0001
γ 3 0.4896180.13553.61<0.0007
Bbr δ 1 3.3680010.44907.50<0.00010.9133.170.9033.78
δ 2 2.3038180.122818.77<0.0001
Bl θ 1 3.5977980.309011.64<0.00010.914.720.895.14
θ 2 1.8907440.083822.57<0.0001
Bt 0.93111.260.91111.70
Disclaimer/Publisher’s Note: The statements, opinions and data contained in all publications are solely those of the individual author(s) and contributor(s) and not of MDPI and/or the editor(s). MDPI and/or the editor(s) disclaim responsibility for any injury to people or property resulting from any ideas, methods, instructions or products referred to in the content.

Share and Cite

MDPI and ACS Style

Valerio Hernández, L.A.; Campos Vanegas, W.A.; Cruz Tórrez, L.E.; Peña Ortiz, J.A.; Vargas-Larreta, B. Improving Volume and Biomass Equations for Pinus oocarpa in Nicaragua. Forests 2024, 15, 309. https://doi.org/10.3390/f15020309

AMA Style

Valerio Hernández LA, Campos Vanegas WA, Cruz Tórrez LE, Peña Ortiz JA, Vargas-Larreta B. Improving Volume and Biomass Equations for Pinus oocarpa in Nicaragua. Forests. 2024; 15(2):309. https://doi.org/10.3390/f15020309

Chicago/Turabian Style

Valerio Hernández, Luis Alberto, Walter Antonio Campos Vanegas, Luis Enrique Cruz Tórrez, José Adolfo Peña Ortiz, and Benedicto Vargas-Larreta. 2024. "Improving Volume and Biomass Equations for Pinus oocarpa in Nicaragua" Forests 15, no. 2: 309. https://doi.org/10.3390/f15020309

APA Style

Valerio Hernández, L. A., Campos Vanegas, W. A., Cruz Tórrez, L. E., Peña Ortiz, J. A., & Vargas-Larreta, B. (2024). Improving Volume and Biomass Equations for Pinus oocarpa in Nicaragua. Forests, 15(2), 309. https://doi.org/10.3390/f15020309

Note that from the first issue of 2016, this journal uses article numbers instead of page numbers. See further details here.

Article Metrics

Back to TopTop