A Non-Destructive Method for Identification of Tea Plant Cultivars Based on Deep Learning
Abstract
1. Introduction
2. Materials and Methods
2.1. Plant Material
2.2. Observation of Leaf Morphological Appearance
2.3. Determination of Amino Acids, Polyphenols, Caffeine, and Catechins
2.4. Collecting and Preprocessing Images
2.5. DNN Model Training and Testing
2.6. Data Analysis
3. Results
3.1. Leaf Morphology and Metabolite Content of Three Tea Cultivars
3.2. Five DNN Models to Identify Three Tea Cultivars
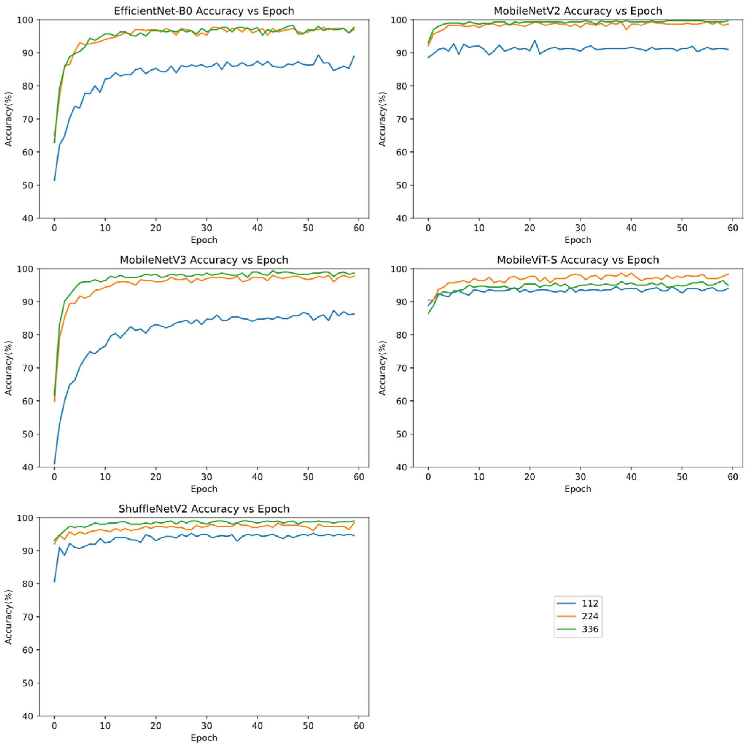
3.2.1. Effect of Image Resolution Size on Identification
3.2.2. Effect of Different Models on Identification
4. Discussion
4.1. Importance and Necessity of Tea Cultivar Identification Based on Deep Learning
4.2. Comparison of Five DNN Models to Identify Tea Cultivars
5. Conclusions
Author Contributions
Funding
Data Availability Statement
Acknowledgments
Conflicts of Interest
References
- Ye, N.S. A minireview of analytical methods for the geographical origin analysis of teas (Camellia sinensis). Crit. Rev. Food Sci. Nutr. 2012, 52, 775–780. [Google Scholar] [CrossRef] [PubMed]
- Fernández-Cáceres, P.L.; Martín, M.J.; Pablos, F.; González, A.G. Differentiation of tea (Camellia sinensis) varieties and their geographical origin according to their metal content. J. Agric. Food Chem. 2001, 49, 4775. [Google Scholar] [CrossRef] [PubMed]
- McKenzie, J.S.; Jurado, J.M.; Pablos, F. Characterisation of tea leaves according to their total mineral content by means of probabilistic neural networks. Food Chem. 2010, 123, 859–864. [Google Scholar] [CrossRef]
- Fernández, P.L.; Martín, M.J.; González, A.G.; Pablos, F. HPLC determination of catechins and caffeine in tea. Analyst 2000, 125, 421–425. [Google Scholar] [CrossRef] [PubMed]
- Ye, N.; Zhang, L.; Gu, X. Discrimination of green teas from different geographical origins by using HS-SPME/GC-MS and pattern recognition methods. Food Anal. Methods 2012, 5, 856–860. [Google Scholar] [CrossRef]
- Palacios-Morillo, A.; Alcázar, A.; Pablos, F. Differentiation of tea varieties using UV–Vis spectra and pattern recognition techniques. Spectrochim. Acta Part A Mol. Biomol. Spectrosc. 2013, 103, 79–83. [Google Scholar] [CrossRef]
- Zhang, H.; Zhu, Q.; Huang, M.; Guo, Y. Automatic determination of optimal spectral peaks for classification of Chinese tea varieties using laser-induced breakdown spectroscopy. Int. J. Agric. Biol. Eng. 2018, 11, 154–158. [Google Scholar]
- Wu, X.; Zhou, J.; Wu, B.; Sun, J.; Dai, C. Identification of tea varieties by mid-infrared diffuse reflectance spectroscopy coupled with a possibilistic fuzzy c-means clustering with a fuzzy covariance matrix. J. Food Process Eng. 2019, 42, e13298. [Google Scholar] [CrossRef]
- Chen, Q.; Zhao, J.; Cai, J. Identification of tea varieties using computer vision. Trans. ASABE (Am. Soc. Agric. Biol. Eng.) 2008, 51, 623–628. [Google Scholar]
- Kao, Y.H.; Chang, H.H.; Lee, M.J.; Chen, C.L. Tea, obesity, and diabetes. Mol. Nutr. Food Res. 2006, 50, 188–210. [Google Scholar] [CrossRef]
- Ge, X.; Sun, J.; Lu, B.; Chen, Q.; Jin, Y. Classification of oolong tea varieties based on hyperspectral imaging technology and BOSS-LightGBM model. J. Food Process Eng. 2019, 42, e13289. [Google Scholar] [CrossRef]
- Yao, M.; Fu, G.; Chen, T.; Liu, M.; Xu, J.; Zhou, H.; He, X.; Huang, L. A modified genetic algorithm optimized SVM for rapid classification of tea leaves using laser-induced breakdown spectroscopy. J. Anal. At. Spectrom. 2021, 36, 361–367. [Google Scholar] [CrossRef]
- Zhu, X.; Zhang, X.; Sun, Z.; Zheng, Y.; Su, S.; Chen, F. Identification of oil tea (Camellia oleifera C.Abel) cultivars using efficientnet-b4 cnn model with attention mechanism. Forests 2022, 13, 1. [Google Scholar] [CrossRef]
- Li, L.; Zhang, S.; Wang, B. Apple leaf disease identification with a small and imbalanced dataset based on lightweight convolutional networks. Sensors 2022, 22, 173. [Google Scholar] [CrossRef]
- Gayathri, S.; Wise, D.; Shamini, P.B.; Muthukumaran, N. Image analysis and detection of tea leaf disease using deep learning. In Proceedings of the International Conference on Electronics and Sustainable Communication Systems (ICESC), Coimbatore, India, 2–4 July 2020; IEEE: Piscataway, NJ, USA, 2020. [Google Scholar]
- Sun, X.; Shaomin, M.U.; Yongyu, X.U.; Cao, Z.; Tingting, S.U. Image recognition of tea leaf diseases based on convolutional neural network. In Proceedings of the International Conference on Security, Pattern Analysis, and Cybernetics (SPAC), Jinan, China, 14–17 December 2018; IEEE: Piscataway, NJ, USA, 2018. [Google Scholar]
- Hu, G.; Wang, H.; Zhang, Y.; Wan, M. Detection and severity analysis of tea leaf blight based on deep learning. Comput. Electr. Eng. 2021, 90, 107023. [Google Scholar] [CrossRef]
- Mao, T.; Liu, F.; Huang, B.; Wang, L. Research on the method of tea disease recognition based on deep learning. In New Developments of IT, IoT and ICT Applied to Agriculture; Springer: Berlin/Heidelberg, Germany, 2021; pp. 119–128. [Google Scholar]
- Hu, G.; Yang, X.; Zhang, Y.; Wan, M. Identification of tea leaf diseases by using an improved deep convolutional neural network. Sustain. Comput. Inform. Syst. 2019, 24, 100353. [Google Scholar] [CrossRef]
- Xu, W.; Zhao, L.; Li, J.; Shang, S.; Ding, X.; Wang, T. Detection and classification of tea buds based on deep learning. Comput. Electron. Agric. 2022, 192, 106547. [Google Scholar] [CrossRef]
- Gao, M.; Shi, M.; Li, C. Research and implementation of image recognition of tea based on deep learning. In Proceedings of the 21st ACIS International Winter Conference on Software Engineering, Artificial Intelligence, Networking and Parallel/Distributed Computing (SNPD-Winter), Ho Chi Minh City, Vietnam, 28–30 January 2021; IEEE: Piscataway, NJ, USA, 2021. [Google Scholar]
- Kaihua, W.; Bojian, C.; Zejian, L.; Dongmei, C.; Guangyu, L.; Hongze, L.; Baihua, Z. Classification of tea leaves based on fluorescence imaging and convolutional neural networks. Sensors 2022, 22, 7764. [Google Scholar]
- Mohanty, S.P.; Hughes, D.P.; Salathé, M. Using deep learning for image-based plant disease detection. Front. Plant Sci. 2016, 7, 1419. [Google Scholar] [CrossRef]
- Ding, Y.; Wang, X.; Cui, H.; Zhao, Y. Biochemical and proteome analysis reveal different nutritional compound compositions and chloroplast development situations between purple-red and white-yellow tea plant cultivars. Horticulturae 2022, 8, 685. [Google Scholar] [CrossRef]
- Wibowo, N.A.; Martono, B. The diversity and classification of tea germplasm based on morpho-agronomic characteristics. In IOP Conference Series: Earth and Environmental Science; IOP Publishing: Bristol, UK, 2022; Volume 985, p. 012008. [Google Scholar]
- Zhu, Y.; Luo, Y.; Wang, P.; Zhao, M.; Li, L.; Hu, X.; Chen, F. Simultaneous determination of free amino acids in Pu-erh tea and their changes during fermentation. Food Chem. 2016, 194, 643–649. [Google Scholar] [CrossRef] [PubMed]
- Barhé, T.A.; Tchouya, G.F. Comparative study of the anti-oxidant activity of the total polyphenols extracted from hibiscus sabdariffa l., glycine max l. merr., yellow tea and red wine through reaction with DPPH free radicals. Arab. J. Chem. 2016, 9, 1–8. [Google Scholar] [CrossRef]
- Ruxton, C.J. The impact of caffeine on mood, cognitive function, performance and hydration: A review of benefits and risks. Nutr. Bull. 2008, 33, 15–25. [Google Scholar] [CrossRef]
- Higdon, J.V.; Frei, B. Tea catechins and polyphenols: Health effects, metabolism, and antioxidant functions. Crit. Rev. Food Sci. Nutr. 2003, 43, 89–143. [Google Scholar] [CrossRef]
- Guo, Z.; Barimah, A.O.; Yin, L.; Chen, Q.; Shi, J.; Hesham, R.E.; Zou, X. Intelligent evaluation of taste constituents and polyphenols-to-amino acids ratio in matcha tea powder using near infrared spectroscopy. Food Chem. 2021, 353, 129372. [Google Scholar] [CrossRef] [PubMed]
- Tan, M.; Le, Q.V. Efficientnet: Rethinking model scaling for convolutional neural networks. In Proceedings of the International Conference on Machine Learning 2019, Long Beach, CA, USA, 10–15 June 2019. [Google Scholar]
- Sandler, M.; Howard, A.; Zhu, M.; Zhmoginov, A.; Chen, L.C. MobileNetV2: Inverted residuals and linear bottlenecks. In Proceedings of the IEEE Conference on Computer Vision and Pattern Recognition, Salt Lake City, UT, USA, 18–22 June 2018. [Google Scholar] [CrossRef]
- Howard, A.; Sandler, M.; Chen, B.; Wang, W.; Chen, L.C.; Tan, M. Searching for MobileNetV3. In Proceedings of the IEEE/CVF International Conference on Computer Vision, Seoul, Repulic of Korea, 27 October–2 November 2019; IEEE: Piscataway, NJ, USA, 2019. [Google Scholar]
- Mehta, S.; Rastegari, M. MobileViT: Light-weight, general-purpose, and mobile-friendly vision transformer. arXiv 2021, arXiv:2110.02178. [Google Scholar]
- Ma, N.; Zhang, X.; Zheng, H.T.; Sun, J. ShuffleNet V2: Practical guidelines for efficient CNN architecture design. In Proceedings of the European Conference on Computer Vision (ECCV), Munich, Germany, 8–14 September 2018; pp. 122–138. [Google Scholar]







| Hardware/Software | Version | Note |
|---|---|---|
| Operating system | Ubuntu 16.04.6 LTS | |
| CPU | Intel(R) Xeon(R) Gold 6271C @ 2.60GHz | 8 Cores, 32 GB |
| GPU | Nvidia Tesla V100 | 32 GB |
| Python | Python 3.7 | Coding language |
| Pytorch | 1.7.1 | Deep learning framework |
| TorchVision | 0.8.2 | DNN Models |
| PyTorch Image Models | 0.6.1 | DNN Models |
| DeepSpeed | 0.6.5 | FLOPs and number of parameters |
| Resolution | Batch Size | Epochs | Learning Rate with Cosine Annealing | Dropout Rate |
|---|---|---|---|---|
| 112 × 112 | 16 | 60 | 0.001 | 0.0 |
| 224 × 224 | 8 | 60 | 0.001 | 0.2 |
| 336 × 336 | 8 | 60 | 0.001 | 0.4 |
| AA (%) | PP (%) | CAF (%) | CAT (%) | P/A | |
|---|---|---|---|---|---|
| Zi 1 | 4.92B ± 0.02 | 16.69B ± 0.06 | 2.03B ± 0.01 | 12.21A ± 0.05 | 3.39B ± 0.02 |
| Zi 2 | 5.65A ± 0.01 | 14.41C ± 0.02 | 1.81C ± 0.01 | 8.37C ± 0.15 | 2.55C ± 0.01 |
| Zi 3 | 3.83C ± 0.26 | 17.29A ± 0.27 | 2.55A ± 0.01 | 11.14B ± 0.29 | 4.52A ± 0.06 |
| GC (%) | EGC (%) | C (%) | EGCG (%) | EC (%) | GCG (%) | ECG (%) | CG (%) | |
|---|---|---|---|---|---|---|---|---|
| Zi 1 | 1.08B ± 0.00 | 1.34A ± 0.02 | 0.17B ± 0.00 | 5.37A ± 0.02 | 0.38C ± 0.00 | 2.80A ± 0.02 | 0.85B ± 0.01 | 0.22B ± 0.00 |
| Zi 2 | 0.85C ± 0.01 | 0.79C ± 0.03 | 0.19B ± 0.01 | 3.13C ± 0.07 | 0.44B ± 0.01 | 1.89C ± 0.04 | 0.84B ± 0.01 | 0.24B ± 0.00 |
| Zi 3 | 1.12A ± 0.01 | 1.07B ± 0.02 | 0.25A ± 0.01 | 4.30B ± 0.13 | 0.53A ± 0.01 | 2.47B ± 0.08 | 1.08A ± 0.03 | 0.32A ± 0.02 |
| EfficientNet-B0 | MobileNetV2 | MobileNetV3 | MobileViT-S | ShuffleNetV2 | |
|---|---|---|---|---|---|
| Accuracy | ✔ | ||||
| FLOPs | ✔ (112 × 112) | ||||
| Accuracy and FLOPs | ✔ (224 × 224) | ||||
| Number of parameters | ✔ | ||||
| Accuracy and number of parameters | ✔ (336 × 336) | ✔ (336 × 336) | |||
| Accuracy and FLOPs and number of parameters | ✔ (224 × 224) |
Disclaimer/Publisher’s Note: The statements, opinions and data contained in all publications are solely those of the individual author(s) and contributor(s) and not of MDPI and/or the editor(s). MDPI and/or the editor(s) disclaim responsibility for any injury to people or property resulting from any ideas, methods, instructions or products referred to in the content. |
© 2023 by the authors. Licensee MDPI, Basel, Switzerland. This article is an open access article distributed under the terms and conditions of the Creative Commons Attribution (CC BY) license (https://creativecommons.org/licenses/by/4.0/).
Share and Cite
Ding, Y.; Huang, H.; Cui, H.; Wang, X.; Zhao, Y. A Non-Destructive Method for Identification of Tea Plant Cultivars Based on Deep Learning. Forests 2023, 14, 728. https://doi.org/10.3390/f14040728
Ding Y, Huang H, Cui H, Wang X, Zhao Y. A Non-Destructive Method for Identification of Tea Plant Cultivars Based on Deep Learning. Forests. 2023; 14(4):728. https://doi.org/10.3390/f14040728
Chicago/Turabian StyleDing, Yi, Haitao Huang, Hongchun Cui, Xinchao Wang, and Yun Zhao. 2023. "A Non-Destructive Method for Identification of Tea Plant Cultivars Based on Deep Learning" Forests 14, no. 4: 728. https://doi.org/10.3390/f14040728
APA StyleDing, Y., Huang, H., Cui, H., Wang, X., & Zhao, Y. (2023). A Non-Destructive Method for Identification of Tea Plant Cultivars Based on Deep Learning. Forests, 14(4), 728. https://doi.org/10.3390/f14040728

