European Beech Forests in Austria—Current Distribution and Possible Future Habitat
Abstract
:1. Introduction
2. Materials and Methods
2.1. Austrian Forest Inventory
2.2. Modeling Forest Growth and Management
2.3. Data Evaluation
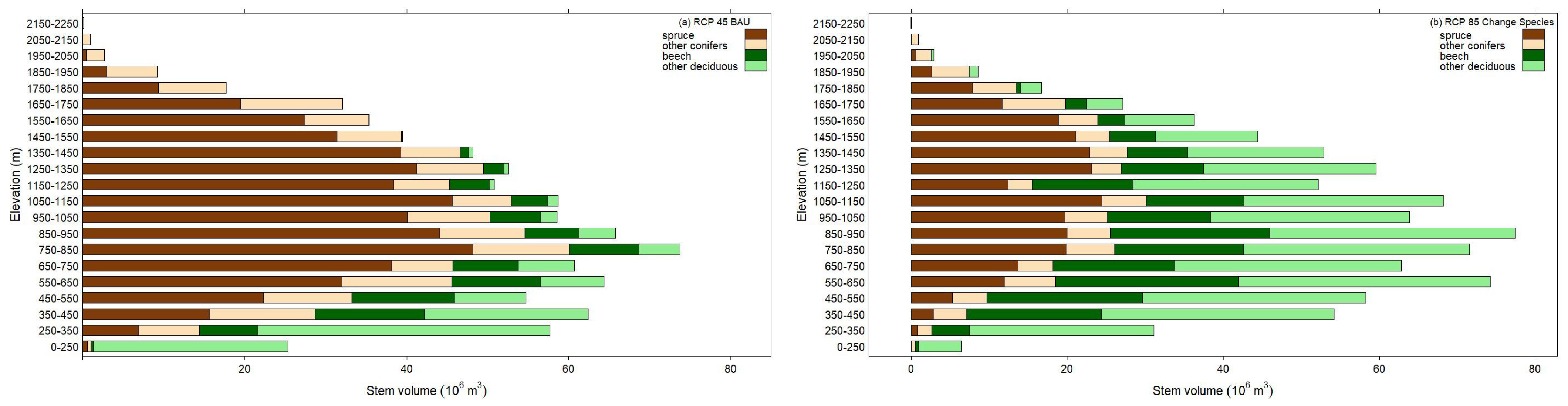
3. Results
4. Discussion
4.1. Interpretation of the Modeled Future Habitat of European Beech
4.2. Incentives for Establishing Beech in Mixed-Species Forests
4.3. Productivity, Carbon Sequestration and Climate Change Mitigation by European Beech
5. Conclusions
- Agricultural enterprises often include forest land supplying fuelwood (beech) and roundwood (conifers) for the domestic use. This tradition has led to the abundance of beech at low elevation in rural areas;
- European beech is a desired admixed species in forests dominated by Norway spruce for ecological reasons. It enriches the stand diversity and has the ability to recycle nutrients from deeper soil horizons;
- Climate change is an important driver for the expansion of the beech habitat, because beech can thrive in high elevation forests where it is presently of minor relevance. Active forest management decisions have a stronger and instantaneous impact on the habitat of beech than climate change effects;
- Our scenarios represent extreme cases of climate change. They are by no means predictions, because future market conditions are not factored in, nor is the actual extent of climate change known. Also, a uniform foreward looking approach towards adaptation strategies in forest management by the highly heterogeneous group of forest owners is unlikely;
- The future relevance of beech is potentially high when conifer forests are gradually enriched with broadleaved trees as an adaptation to climate change. Yet, several broadleaved tree species will gain in relevance and may outcompete beech in the case of extreme warming, particularly when they can tolerate drought and heat;
- European beech has a dual role in the mitigation of climate change. Beech forests are less productive than spruce forests, yet they are less vulnerable to some biotic damage and storms. Due to the high density of beech timber, the carbon sequestration potential of beech is high.
Author Contributions
Funding
Data Availability Statement
Conflicts of Interest
References
- EUFORGEN. European Forest Genetic Resources Programme. 2023. Available online: https://www.euforgen.org/species/fagus-sylvatica/ (accessed on 12 May 2023).
- Pramreiter, M.; Grabner, M. The Utilization of European Beech Wood (Fagus sylvatica L.). Forests 2023, 14, 1419. [Google Scholar] [CrossRef]
- UNESCO. Alte Buchenwälder und Buchenurwälder der Karpaten und Anderer Regionen Europas, 2023. Available online: https://www.unesco.at/kultur/welterbe/unesco-welterbe-in-oesterreich/alte-buchenwaelder-und-buchenurwaelder-der-karpaten-und-anderer-regionen-europas (accessed on 12 May 2023).
- Pirnat, J.; Koban, M. Close-to-Nature Forest Structure in the Vicinity of the Žice Charterhouse as an indispensable Pattern Criterion of a Heritage Landscape. In European Forests Our Cultural Heritage; Johann, E., Kusmin, J., Woitsch, J., Eds.; Czech Academy of Sciences: Prague, Czech Republic, 2021; pp. 137–150. [Google Scholar]
- Plöchinger, B.; Prey, S. Der Wienerwald.; Borntraeger Verlag: Berlin, Germany; Stuttgart, Germany, 1974. [Google Scholar]
- Reininger, H. Das Plenterprinzip: Oder die Überführung des Altersklassenwaldes; L Stocker & Sons Inc.: Bayport, NY, USA, 2000. [Google Scholar]
- Mayer, H. Wälder des Ostalpenraumes—Standort, Aufbau und Waldbauliche Bedeutung der Wichtigsten Waldgesellschaften in den Ostalpen samt Vorland; G. Fischer: Stuttgart, Germany, 1974. [Google Scholar]
- Assmann, E. Waldertragskunde—Organische Produktion, Struktur, Zuwachs und Ertrag von Waldbeständen; BLV Verlagsgesellschaft: München, Germany, 1961. [Google Scholar]
- Binkley, D.; Fisher, R.F. Ecology and Management of Forest Soils, 4th ed.; John Wiley & Sons: Weinheim, Germany, 2020. [Google Scholar]
- Berger, T.W.; Berger, P. Greater accumulation of litter in spruce (Picea abies) compared to beech (Fagus sylvatica) stands is not a consequence of the inherent recalcitrance of needles. Plant Soil 2012, 358, 349–369. [Google Scholar] [CrossRef] [PubMed]
- Andivia, E.; Rolo, V.; Jonard, M.; Formánek, P.; Ponette, Q. Tree species identity mediates mechanisms of top soil carbon sequestration in a Norway spruce and European beech mixed forest. Ann. For. Sci. 2016, 73, 437–447. [Google Scholar]
- Berger, T.W.; Swoboda, S.; Prohaska, T.; Glatzel, G. The role of calcium uptake from deep soils for spruce (Picea abies) and beech (Fagus sylvatica). For. Ecol. Manag. 2006, 229, 234–246. [Google Scholar] [CrossRef]
- Mayer, H. Waldbau auf Soziologisch-Ökologischer Grundlage; G. Fischer: Stuttgart, Germany, 1984. [Google Scholar]
- Umweltbundesamt. Austria’s Annual Greenhouse Gas Inventory Report 1990–2021. Submission under Regulation EU No 2018/1999; Vol. REP-0841; Umweltbundesamt Vienna: Vienna, Austria, 2023.
- Körner, C. Slow in, rapid out—Carbon flux studies and Kyoto targets. Science 2003, 300, 1242–1243. [Google Scholar] [CrossRef] [PubMed]
- Seidl, R.; Schelhaas, M.J.; Lexer, M.J. Unraveling the drivers of intensifying forest disturbance regimes in Europe. Glob. Chang. Biol. 2011, 17, 2842–2852. [Google Scholar] [CrossRef]
- Lindner, M.; Schwarz, M.; Spathelf, P.; de Koning, J.H.; Jandl, R.; Viszlai, I.; Vančo, M. Adaptation to Climate Change in Sustainable Forest Management in Europe; Liaison Unit: Bratislava, Slovakia; Zvolen, Slovakia, 2020. [Google Scholar]
- Hlásny, T.; Zimová, S.; Merganicova, K.; Stepanek, P.; Modlinger, R.; Turcani, M. Devastating outbreak of bark beetles in the Czech Republic: Drivers, impacts, and management implications. For. Ecol. Manag. 2021, 490, 119075. [Google Scholar] [CrossRef]
- Pluess, A.; Brang, P.; Augustin, S. (Eds.) Wald im Klimawandel; Haupt Verlag: Bern, Germany, 2016. [Google Scholar]
- Geßler, A.; Keitel, C.; Kreuzwieser, J.; Matyssek, R.; Seiler, W.; Rennenberg, H. Potential risks for European beech (Fagus sylvatica L.) in a changing climate. Trees 2006, 21, 1–11. [Google Scholar] [CrossRef]
- Zimmermann, J.; Hauck, M.; Dulamsuren, C.; Leuschner, C. Climate Warming-Related Growth Decline Affects Fagus sylvatica, But not Other Broad-Leaved Tree Species in Central European Mixed Forests. Ecosystems 2015, 18, 560–572. [Google Scholar] [CrossRef]
- Beck, W. Auswirkungen von Trockenheit und Hitze auf den Waldzustand in Deutschland—Waldwachstumskundliche Ergebnisse der Studie im Auftrag des BMEL. In Proceedings of the DVFFA—Sektion Ertragskunde, Jahrestagung 2010, Möhnesee, Germany, 17–19 May 2010; pp. 56–65. [Google Scholar]
- Forest Europe. State of Europe’s Forests 2020; Technical Report; Forest Europe: Oslo, Norway, 2020. [Google Scholar]
- Živojinović, I.; Weiss, G.; Lidestav, G.; Feliciano, D.; Hujala, T.; Dobšinská, Z.; Lawrence, A.; Nybakk, E.; Quiroga, S.; Schraml, U. (Eds.) Forest Land Ownership Change in Europe. COST Action FP1201 FACESMAP Country Reports; Joint Volume. EFICEEC-EFISEE Research Report; University of Natural Resources and Life Sciences: Vienna, Austria, 2015. [Google Scholar]
- Pröbstl-Haider, U.; Mostegl, N.M.; Jandl, R.; Formayer, H.; Haider, W.; Pukall, K.; Melzer, V. Bereitschaft zur Klimawandelanpassung durch Kleinwaldbesitzer in Österreich. Allg. Forst Jagdztg. 2017, 188, 113–126. [Google Scholar]
- Mostegl, N.M.; Pröbstl-Haider, U.; Jandl, R.; Haider, W. Targeting climate change adaptation strategies to small-scale private forest owners. For. Policy Econ. 2019, 99, 83–99. [Google Scholar] [CrossRef]
- Westin, K.; Bolte, A.; Haeler, E.; Haltia, E.; Jandl, R.; Juutinen, A.; Kuhlmey, K.; Lidestav, G.; Mäkipää, R.; Rosenkranz, L.; et al. Forest values and application of different management activities among small-scale forest owners in five EU countries. For. Policy Econ. 2023, 146, 102881. [Google Scholar] [CrossRef]
- Haeler, E.; Bolte, A.; Buchacher, R.; Hänninen, H.; Jandl, R.; Juutinen, A.; Kuhlmey, K.; Kurttila, M.; Lidestav, G.; Mäkipää, R.; et al. Forest subsidy distribution in five European countries. For. Policy Econ. 2023, 146, 102882. [Google Scholar] [CrossRef]
- Gschwantner, T.; Gabler, K.; Schadauer, K.; Weiss, P. National Forest Inventory Reports—Austria. In National Forest Inventories–Pathways for Common Reporting; Springer: New York, NY, USA, 2010; pp. 57–71. [Google Scholar]
- Teich, M.; Accastello, C.; Perzl, F.; Kleemayr, K. (Eds.) Protective Forests as Ecosystem-Based Solution for Disaster Risk Reduction (Eco-DRR); InTech Open: London, UK, 2022. [Google Scholar]
- ÖWI. Austrian Forest Inventory. 2023. Available online: http://waldinventur.at (accessed on 25 June 2023).
- Russ, W. Mehr als vier Millionen Hektar Wald in Österreich. BFW Praxisinf. 2019, 50, 3–7. [Google Scholar]
- BML. Holzeinschlagsmeldung über das Kalenderjahr 2022 (in Erntefestmetern ohne Rinde—Efm o. R.). 2023. Available online: https://info.bml.gv.at/dam/jcr:31024149-0f7a-45d8-bfb4-add65900c0cd/Brosch%C3%BCre%20HEM.pdf (accessed on 19 June 2023).
- Weiss, P.; Braun, M.; Fritz, D.; Gschwantner, T.; Hesser, F.; Jandl, R.; Kindermann, G.; Koller, T.; Ledermann, T.; Ludvig, A.; et al. Endbericht zum Projekt CareforParis; Technical Report; Klima- und Energiefonds: Wien, Austria, 2020. [Google Scholar]
- Ledermann, T.; Braun, M.; Kindermann, G.; Jandl, R.; Ludvig, A.; Schadauer, K.; Schwarzbauer, P.; Weiss, P. Effects of Silvicultural Adaptation Measures on Carbon Stock of Austrian Forests. Forests 2022, 13, 565. [Google Scholar] [CrossRef]
- Monserud, R.A.; Sterba, H. A basal area increment model for individual trees growing in even- and uneven-aged forest stands in Austria. For. Ecol. Manag. 1996, 80, 57–80. [Google Scholar] [CrossRef]
- Kindermann, G. Refining a basal area increment mode. In Proceedings of the DVFFA—Sektion Ertragskunde, Jahrestagung 2010, Möhnesee, Germany, 17–19 May 2010; pp. 82–95. [Google Scholar]
- Ledermann, T.; Kindermann, G.; Gschwantner, T. National Woody Biomass Projection Systems Based on Forest Inventory in Austria. In Forest Inventory-Based Projection Systems for Wood and Biomass Availability; Springer International: Cham, Switzerland, 2017; Chapter 6; pp. 79–95. [Google Scholar]
- Braun, M.; Fritz, D.; Braschel, N.; Büchsenmeister, R.; Freudenschuss, A.; Gschwantner, T.; Jandl, R.; Ledermann, T.; Neumann, M.; Pölz, W.; et al. A Holistic Assessment of Green House Gas Dynamics from Forests to the Effects of Wood Products Use in Austria. Carbon Manag. 2016, 7, 271–283. [Google Scholar] [CrossRef]
- Schwarzbauer, P.; Stern, T. Energy vs. material: Economic impacts of a “wood-for-energy scenario” on the forest-based sector in Austria—A simulation approach. For. Policy Econ. 2010, 12, 31–38. [Google Scholar] [CrossRef]
- Schwarzbauer, P.; Rametsteiner, E. The impact of SFM-certification on forest product markets in Western Europe—An analysis using a forest sector simulation model. For. Policy Econ. 2001, 2, 241–256. [Google Scholar] [CrossRef]
- Riahi, K.; Rao, S.; Krey, V.; Cho, C.; Chirkov, V.; Fischer, G.; Kindermann, G.; Nakicenovic, N.; Rafaj, P. RCP 8.5—A scenario of comparatively high greenhouse gas emissions. Clim. Chang. 2011, 109, 33. [Google Scholar] [CrossRef]
- Chimani, B.; Heinrich, G.; Hofstätter, M.; Kerschbaumer, M.; Kienberger, S.; Leuprecht, A.; Lexer, A.; Peßensteiner, S.; Poetsch, M.; Salzmann, M.; et al. Endbericht ÖKS15—Klimaszenarien für Österreich. Available online: https://hdl.handle.net/20.500.11756/06edd0c9 (accessed on 5 February 2018).
- Ledermann, T. Ein Einwuchsmodell aus den Daten der Österreichischen Waldinventur 1981–1996. Cent. Gesamte Forstwes. 2002, 119, 40–76. [Google Scholar]
- Ruhm, W.; Schuster, K.; Schönauer, J. Mögliche Gastbaumarten für die österreichische Forstwirtschaft. Die Landwirtsch. 2015, 20, 1–20. [Google Scholar]
- R Core Team. R: A Language and Environment for Statistical Computing; R Foundation for Statistical Computing: Vienna, Austria, 2023. [Google Scholar]
- QGIS.org. QGIS Geographic Information System. Open Source Geospatial Foundation Project. 2023. Available online: http://qgis.org (accessed on 23 September 2023).
- Sarkar, D. Lattice: Multivariate Data Visualization with R; Springer: New York, NY, USA, 2008. [Google Scholar]
- Wickham, H. ggplot2: Elegant Graphics for Data Analysis; Springer: New York, NY, USA, 2016. [Google Scholar]
- Haslinger, K.; Schöner, W.; Abermann, J.; Laaha, G.; Andre, K.; Olefs, M.; Koch, R. Contradictory signal in future surface water availability in Austria: Increase on average vs. higher probability of droughts. EGUsphere 2022, 2022, 1–28. [Google Scholar] [CrossRef]
- Hanewinkel, M.; Cullmann, D.A.; Schelhaas, M.J.; Nabuurs, G.J.; Zimmermann, N.E. Climate change may cause severe loss in the economic value of European forest land. Nat. Clim. Chang. 2013, 3, 203–207. [Google Scholar] [CrossRef]
- Zimmermann, N.E.; Yoccoz, N.G.; Edwards, T.C., Jr.; Meier, E.S.; Thuiller, W.; Guisan, A.; Schmatz, D.R.; Pearman, P.B. Climatic extremes improve predictions of spatial patterns of tree species. Proc. Natl. Acad. Sci. USA 2009, 106, 19723–19728. [Google Scholar] [CrossRef] [PubMed]
- Baumbach, L.; Niamir, A.; Hickler, T.; Yousefpour, R. Regional adaptation of European beech (Fagus sylvatica) to drought in Central European conditions considering environmental suitability and economic implications. Reg. Environ. Chang. 2019, 19, 1159–1174. [Google Scholar] [CrossRef]
- Bastin, J.F.; de Haulleville, T.; Maniatis, D.; Marchi, G.; Massacessi, E.; Mollicone, D.; Papa, C.; Pregagnoli, C. Tree restoration potential in the European Union. Technical Report 070202/2020/825508/ETU/ENV.D.I, 2020. Available online: https://www.researchgate.net/publication/351005676_Tree_restoration_potential_in_the_European_Union (accessed on 12 May 2023).
- Köhl, M.; Linser, S.; Prins, K.; Talarczyk, A. The EU climate package ‘Fit for 55’—A double-edged sword for Europeans and their forests and timber industry. For. Policy Econ. 2021, 132, 102596. [Google Scholar] [CrossRef]
- Korosuo, A.; Pilli, R.; Viñas, R.A.; Blujdea, V.N.B.; Colditz, R.R.; Fiorese, G.; Rossi, S.; Vizzarri, M.; Grassi, G. The role of forests in the EU climate policy: Are we on the right track? Carbon Balance Manag. 2023, 18, 15. [Google Scholar] [CrossRef]
- European Union. Regulation (EU) 1305/2013 of the European Parliament and of the council of 17 december 2013 on support for rural development by the European agricultural Fund for Rural Development (EAFRD) and repealing council regulation (EC) no 1698/2005. Off. J. Eur. Union 2013, 56, 487–548. [Google Scholar]
- Kindermann, G.; Ledermann, T. Comparing results of European Forestry Dynamics Model (EFDM) with the single tree growth model Caldis Vatis. Available online: https://www.researchgate.net/publication/366965874_Comparing_results_of_European_Forestry_Dynamics_Model_EFDM_with_the_single_tree_growth_model_Caldis_Vatis (accessed on 12 May 2023).
- Lawrence, A. Do interventions to mobilize wood lead to wood mobilization? A critical review of the links between policy aims and private forest owners’ behaviour. For. Int. J. For. Res. 2018, 91, 401–418. [Google Scholar]
- Wilkes-Allemann, J.; Deuffic, P.; Jandl, R.; Westin, K.; Lieberherr, E.; Foldal, C.; Lidestav, G.; Weiss, G.; Zabel, A.; Živojinović, I.; et al. Communication campaigns to engage (non-traditional) forest owners: A European perspective. For. Policy Econ. 2021, 133, 102621. [Google Scholar] [CrossRef]
- George, J.P.; Schueler, S.; Karanitsch-Ackerl, S.; Mayer, K.; Klumpp, R.T.; Grabner, M. Inter- and intra-specific variation in drought sensitivity in Abies spec. and its relation to wood density and growth traits. Agric. For. Meteorol. 2015, 214–215, 430–443. [Google Scholar] [CrossRef]
- Mayer, H. Gebirgswaldbau—Schutzwaldpflege; Gustav Fischer Verlag: Jena, Germany, 1976. [Google Scholar]
- Perzl, F.; Bono, A.; Garbarino, M.; Motta, R. Protective Effects of Forests against Gravitational Natural Hazards. In Protective Forests as Ecosystem-Based Solution for Disaster Risk Reduction (Eco-DRR); IntechOpen: Rijeka, Croatia, 2022. [Google Scholar] [CrossRef]
- Binkley, D. Forest Ecology: An Evidence-Based Approach, 1st ed.; Wiley-Blackwell: Hoboken, NJ, USA, 2021. [Google Scholar]
- Pretzsch, H.; Schütze, G.; Uhl, E. Resistance of European tree species to drought stress in mixed versus pure forests: Evidence of stress release by inter-specific facilitation. Plant Biol. 2013, 15, 483–495. [Google Scholar] [CrossRef] [PubMed]
- Pretzsch, H.; Schütze, G. Effect of tree species mixing on the size structure, density, and yield of forest stands. Eur. J. For. Res. 2016, 135, 1–22. [Google Scholar] [CrossRef]
- Nothdurft, A.; Engel, M. Climate sensitivity and resistance under pure- and mixed-stand scenarios in Lower Austria evaluated with distributed lag models and penalized regression splines for tree-ring time series. Eur. J. For. Res. 2020, 139, 189–211. [Google Scholar] [CrossRef]
- Schume, H.; Jost, G.; Hager, H. Soil water depletion and recharge patterns in mixed and pure forest stands of European beech and Norway spruce. J. Hydrol. 2004, 289, 258–274. [Google Scholar] [CrossRef]
- Martinez del Castillo, E.; Zang, C.S.; Buras, A.; Hacket-Pain, A.; Esper, J.; Serrano-Notivoli, R.; Hartl, C.; Weigel, R.; Klesse, S.; Resco de Dios, V.; et al. Climate-change-driven growth decline of European beech forests. Commun. Biol. 2022, 5, 163. [Google Scholar] [CrossRef]
- AFZ-Der Wald. (Ed.) Waldschutz—Waldschutzsituation 2022/23; Deutscher Landwirtschaftsverlag: Munich, Germany, 2023; Volume 9. [Google Scholar]
- Steyrer, G.; Perny, B.; Schwanda, K.; Tatzber, M. Waldschutzsituation 2022 in Österreich. AFZ 2023, 9, 53–57. [Google Scholar]
- Cech, T. Biotic risks to European beech as an expected consequence of a large scale areal widening following climate change. Forests 2023, in press. [Google Scholar]
- Paul, C.; Brandl, S.; Friedrich, S.; Falk, W.; Härtl, F.; Knoke, T. Climate change and mixed forests: How do altered survival probabilities impact economically desirable species proportions of Norway spruce and European beech? Ann. For. Sci. 2019, 76, 14. [Google Scholar]
- Honkaniemi, J.; Rammer, W.; Seidl, R. Norway spruce at the trailing edge: The effect of landscape configuration and composition on climate resilience. Landsc. Ecol. 2020, 35, 591–606. [Google Scholar] [CrossRef] [PubMed]
- Meyer, P.; Nagel, R.; Feldmann, E. Limited sink but large storage: Biomass dynamics in naturally developing beech (Fagus sylvatica) and oak (Quercus robur, Quercus petraea) forests of north-western Germany. J. Ecol. 2021, 109, 3602–3616. [Google Scholar]
- Kulla, L.; Roessiger, J.; Bošeľa, M.; Kucbel, S.; Murgaš, V.; Vencurik, J.; Pittner, J.; Jaloviar, P.; Šumichrast, L.; Saniga, M. Changing patterns of natural dynamics in old-growth European beech (Fagus sylvatica L.) forests can inspire forest management in Central Europe. For. Ecol. Manag. 2022, 529, 120633. [Google Scholar] [CrossRef]
- Kasper, J.; Weigel, R.; Walentowski, H.; Gröning, A.; Petritan, A.M.; Leuschner, C. Climate warming-induced replacement of mesic beech by thermophilic oak forests will reduce the carbon storage potential in aboveground biomass and soil. Ann. For. Sci. 2021, 78, 89. [Google Scholar] [CrossRef]
- Achilles, F.; Tischer, A.; Bernhardt-Römermann, M.; Heinze, M.; Reinhardt, F.; Makeschin, F.; Michalzik, B. European beech leads to more bioactive humus forms but stronger mineral soil acidification as Norway spruce and Scots pine—Results of a repeated site assessment after 63 and 82 years of forest conversion in Central Germany. For. Ecol. Manag. 2021, 483, 118769. [Google Scholar] [CrossRef]
- Jandl, R.; Ledermann, T.; Kindermann, G.; Weiss, P. Soil Organic Carbon Stocks in Mixed-Deciduous and Coniferous Forests in Austria. Front. For. Glob. Chang. 2021, 4, 69. [Google Scholar] [CrossRef]
- Rehschuh, S.; Jonard, M.; Wiesmeier, M.; Rennenberg, H.; Dannenmann, M. Impact of European Beech Forest Diversification on Soil Organic Carbon and Total Nitrogen Stocks—A Meta-Analysis. Front. For. Glob. Chang. 2021, 4, 2. [Google Scholar] [CrossRef]
- Hetemäki, L.; Kangas, J.; Peltola, H. (Eds.) Forest Bioeconomy and Climate Change; Managing Forest Ecosystems; Springer: New York, NY, USA, 2022; Volume 42. [Google Scholar] [CrossRef]
- Hurmekoski, E.; Kunttu, J.; Heinonen, T.; Pukkala, T.; Peltola, H. Does expanding wood use in construction and textile markets contribute to climate change mitigation? Renew. Sustain. Energy Rev. 2023, 174, 113152. [Google Scholar] [CrossRef]
- Hurmekoski, E.; Hetemäki, L.; Jänis, J. Outlook for the Forest-Based Bioeconomy. In Forest Bioeconomy and Climate Change; Hetemäki, L., Kangas, J., Peltola, H., Eds.; Springer International Publishing: Cham, Switzerland, 2022; Chapter 4; pp. 55–89. [Google Scholar] [CrossRef]




| Forest Type | Norway Spruce | Other Coniferous | European Beech | Other Deciduous | Total |
|---|---|---|---|---|---|
| [×10 m Stem Wood] | |||||
| Production forests | 714.9 | 217.0 | 122.3 | 126.2 | 1180.5 |
| Protective forests | 16.6 | 13.9 | 3.0 | 1.6 | 35.1 |
| Total | 731.6 | 230.9 | 125.3 | 127.8 | 1215.6 |
| Inventory Period | |||
|---|---|---|---|
| 1992/96 | 2007/09 | 2016/21 | |
| [×1000 ha] | |||
| Total Area | 3352 | 3367 | 4015 |
| Conifers | 2320 | 2139 | 2130 |
| Broadleaved | 748 | 821 | 876 |
| Norway spruce | 1866 | 1709 | 1678 |
| European beech | 309 | 336 | 380 |
| Share of broadleaved trees | |||
| >80% | 345 | 383 | 484 |
| >50% | 285 | 326 | 360 |
| Year | ||||||
|---|---|---|---|---|---|---|
| 2005 | 2010 | 2015 | 2020 | 2021 | 2022 | |
| m | ||||||
| Conifers | 14.0 | 15.3 | 14.6 | 13.9 | 15.7 | 16.2 |
| Broadleaved trees | 2.5 | 2.5 | 3.0 | 2.8 | 2.8 | 3.2 |
| Total | 16.5 | 17.8 | 17.6 | 16.7 | 18.5 | 19.4 |
| Scenario | Description |
|---|---|
| RCP 4.5 BAU | The Paris target is only slightly overshot. Warming until 2100 is approximately . Forestry is continued with the business-as-usual concept. |
| RCP 8.5 BAU | The Paris target is missed and warming until 2100 exceeds 5 . Yet, forestry is continued with the business-as-usual concept. |
| RCP 8.5 Change Species | The Paris target is missed and warming until 2100 exceeds 5 . Forest managers respond to climate change by replacing Norway spruce, mostly with broadleaved species. |
| (C) | Forest Type | Chosen Tree Species |
|---|---|---|
| <6 | Conifers | PIab, ABal, LAde, PIsy |
| 6–7 | Mixed-coniferous | Conifers and ACps |
| 7–8 | Mixed-broadleaved | Conifers, ACps, FAsy |
| 8–11 | Broadleaved | ACps, FAsy, QUsp |
| 11–12 | Broadleaved | ACps, QUsp |
| >12 | Broadleaved | QUsp |
Disclaimer/Publisher’s Note: The statements, opinions and data contained in all publications are solely those of the individual author(s) and contributor(s) and not of MDPI and/or the editor(s). MDPI and/or the editor(s) disclaim responsibility for any injury to people or property resulting from any ideas, methods, instructions or products referred to in the content. |
© 2023 by the authors. Licensee MDPI, Basel, Switzerland. This article is an open access article distributed under the terms and conditions of the Creative Commons Attribution (CC BY) license (https://creativecommons.org/licenses/by/4.0/).
Share and Cite
Jandl, R.; Foldal, C.B.; Ledermann, T.; Kindermann, G. European Beech Forests in Austria—Current Distribution and Possible Future Habitat. Forests 2023, 14, 2019. https://doi.org/10.3390/f14102019
Jandl R, Foldal CB, Ledermann T, Kindermann G. European Beech Forests in Austria—Current Distribution and Possible Future Habitat. Forests. 2023; 14(10):2019. https://doi.org/10.3390/f14102019
Chicago/Turabian StyleJandl, Robert, Cecilie Birgitte Foldal, Thomas Ledermann, and Georg Kindermann. 2023. "European Beech Forests in Austria—Current Distribution and Possible Future Habitat" Forests 14, no. 10: 2019. https://doi.org/10.3390/f14102019
APA StyleJandl, R., Foldal, C. B., Ledermann, T., & Kindermann, G. (2023). European Beech Forests in Austria—Current Distribution and Possible Future Habitat. Forests, 14(10), 2019. https://doi.org/10.3390/f14102019

