Influence of Vegetation Restoration on Soil Hydraulic Properties in South China
Abstract
1. Introduction
2. Materials and Methods
2.1. Site Description
2.2. Soil Sampling
2.3. Measurements
2.4. Statistical Analysis
3. Results
3.1. Differences in the Soil Physicochemical Properties of the Three Forests
3.1.1. Soil Organic Matter and Bulk Density
3.1.2. Soil Particle Composition
3.1.3. Soil Pore Distribution
3.2. Differences in Soil Water and Hydraulic Properties of the Three Forests
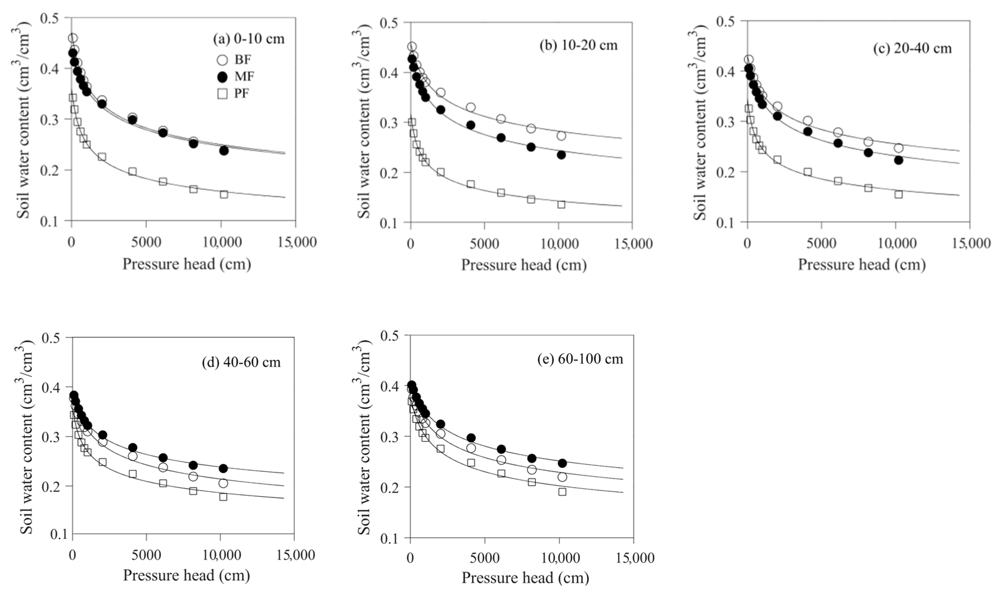
3.2.1. Soil Water-Holding Characteristics
3.2.2. Saturated Hydraulic Conductivity
3.3. Relationship between Soil Properties and KS
4. Discussion
5. Conclusions
Author Contributions
Funding
Acknowledgments
Conflicts of Interest
Abbreviations
| PF | Pinus massoniana forest |
| MF | mixed Pinus massoniana/broad-leaved forest |
| BF | monsoon evergreen broad-leaved forest |
| OLT | other land-use types |
| SOM | soil organic matter |
| SSG | soil specific gravity |
| BD | bulk density |
| CP | capillary porosity; |
| NCP | noncapillary porosity |
| TP | total porosity |
| SWRC | soil water retention curve |
| FWC | field water content |
| WWC | wilting water content |
| AWC | available water content |
| KS | saturated hydraulic conductivity |
| K10 | the saturated hydraulic conductivity measured at 10 °C |
| VG | van Genuchten |
| ANOVA | One-way analysis of variance |
References
- Leite, P.A.M.; de Souza, E.S.; Dos Santos, E.S.; Gomes, R.J.; Cantalice, J.R.; Wilcox, B.P. The influence of forest regrowth on soil hydraulic properties and erosion in a semiarid region of Brazil. Ecohydrology 2018, 11, e1910. [Google Scholar] [CrossRef]
- Saha, R.; Tomar, J.M.S.; Ghosh, P.K. Evaluation and selection of multipurpose tree for improving soil hydro-physical behaviour under hilly eco-system of North East India. Agrofor. Syst. 2007, 69, 239–247. [Google Scholar] [CrossRef]
- Owuor, S.O.; Butterbach-Bahl, K.; Guzha, A.C.; Jacobs, S.; Merbold, L.; Rufino, M.C.; Pelster, D.E.; Díaz-Pinés, E.; Breuer, L. Conversion of natural forest results in a significant degradation of soil hydraulic properties in the highlands of Kenya. Soil Till Res. 2018, 176, 36–44. [Google Scholar] [CrossRef]
- Venkatesh, B.; Lakshman, N.; Purandara, B.K.; Reddy, V.B. Analysis of observed soil moisture patterns under different land covers in Western Ghats, India. J. Hydrol. 2011, 397, 281–294. [Google Scholar] [CrossRef]
- Gwenzi, W.; Hinz, C.; Holmes, K.W.; Phillips, I.R.; Mullins, I.J. Field-scale spatial variability of saturated hydraulic conductivity on a recently constructed artificial ecosystem. Geoderma 2011, 166, 43–56. [Google Scholar] [CrossRef]
- Zema, D.A.; Plaza-Alvarez, P.A.; Xu, X.; Carra, B.G.; Lucas-Borja, M.E. Influence of forest stand age on soil water repellency and hydraulic conductivity in the Mediterranean environment. Sci. Total Environ. 2020, 753, 142006. [Google Scholar] [CrossRef]
- Błońska, E.; Lasota, J.; Zwydak, M.; Klamerus-Iwan, A.; Gołąb, J. Restoration of forest soil and vegetation 15 years after landslides in a lower zone of mountains in temperate climates. Ecol. Eng. 2016, 97, 503–515. [Google Scholar] [CrossRef]
- Chirino, E.; Bonet, A.; Bellot, J.; Sánchez, J.R. Effects of 30-year-old Aleppo pine plantations on runoff, soil erosion, and plant diversity in a semi-arid landscape in South Eastern Spain. Catena 2006, 65, 19–29. [Google Scholar] [CrossRef]
- Neris, J.; Jimenez, C.; Fuentes, J.; Morillas, G.; Tejedor, M. Vegetation and land-use effects on soil properties and water infiltration of Andisols in Tenerife (Canary Islands, Spain). Catena 2012, 98, 55–62. [Google Scholar] [CrossRef]
- Li, H.Q.; Liao, X.L.; Zhu, H.S.; Wei, X.R.; Shao, M.A. Soil physical and hydraulic properties under different land uses in the black soil region of Northeast China. Can. J. Soil Sci. 2019, 99, 406–419. [Google Scholar] [CrossRef]
- Van Hall, R.L.; Cammeraat, L.H.; Keesstra, S.; Zorn, M. Impact of secondary vegetation succession on soil quality in a humid Mediterranean landscape. Catena 2017, 149, 836–843. [Google Scholar] [CrossRef]
- Li, W.; Yan, M.; Zhang, F.Q.; Jia, Z.K. Effects of vegetation restoration on soil physical properties in the Wind-Water erosion region of the Northern Loess Plateau of China. CLEAN Soil Air Water 2012, 40, 7–15. [Google Scholar] [CrossRef]
- Nunes, F.S.M.; Soaresfilho, B.; Rajao, R.; Merry, F. Enabling large-scale forest restoration in Minas Gerais state, Brazil. Environ. Res. Lett. 2017, 12, 44022. [Google Scholar] [CrossRef]
- Stromberg, J.C. Restoration of riparian vegetation in the South-Western United States: Importance of flow regimes and fluvial dynamism. J. Arid Environ. 2001, 49, 17–34. [Google Scholar] [CrossRef]
- Li, Y.L.; Yang, F.F.; Ou, Y.X.; Zhang, D.Q.; Liu, J.X.; Chu, G.W.; Zhang, Y.R.; Otieno, D.; Zhou, G.Y. Changes in forest soil properties in different successional stages in lower tropical China. PLoS ONE 2013, 8, e81359. [Google Scholar] [CrossRef]
- Leung, A.K.; Garg, A.; Coo, J.L.; Ng, C.W.W.; Hau, B.C.H. Effects of the roots of Cynodon dactylon and Schefflera heptaphylla on water infiltration rate and soil hydraulic conductivity. Hydrol. Process. 2015, 29, 3342–3354. [Google Scholar] [CrossRef]
- He, L.L.; Ivanov, V.Y.; Bohrer, G.; Thomsen, J.E.; Vogel, C.S.; Moghaddam, M. Temporal dynamics of soil moisture in a northern temperate mixed successional forest after a prescribed intermediate disturbance. Agric. For. Meteorol. 2013, 180, 22–33. [Google Scholar] [CrossRef]
- Chen, X.Z.; Liu, X.D.; Zhou, G.Y.; Han, L.S.; Liu, W.; Liao, J.S. 50-Year evapotranspiration declining and potential causations in subtropical Guangdong province, Southern China. Catena 2015, 128, 185–194. [Google Scholar] [CrossRef]
- Liu, X.D.; Sun, G.; Mitra, B.; Noormets, A.; Gavazzi, M.J.; Domec, J.; Hallema, D.W.; Li, J.Y.; Fang, Y.; King, J.S.; et al. Drought and thinning have limited impacts on evapotranspiration in a managed pine plantation on the Southeastern United States coastal plain. Agric. For. Meteorol. 2018, 262, 14–23. [Google Scholar] [CrossRef]
- Vose, J.M.; Sun, G.; Ford, C.R.; Bredemeier, M.; Otsuki, K.; Wei, X.H.; Zhang, Z.Q.; Zhang, L. Forest ecohydrological research in the 21st century: What are the critical needs? Ecohydrology 2011, 4, 146–158. [Google Scholar] [CrossRef]
- Zhou, G.Y.; Wei, X.H.; Wu, Y.P.; Liu, S.G.; Huang, Y.H.; Yan, J.H.; Zhang, D.Q.; Zhang, Q.M.; Liu, J.X.; Meng, Z.; et al. Quantifying the hydrological responses to climate change in an intact forested small watershed in Southern China. Glob. Chang. Biol. 2011, 17, 3736–3746. [Google Scholar] [CrossRef]
- Cao, S.X.; Sun, G.; Zhang, Z.Q.; Chen, L.D.; Feng, Q.; Fu, B.J.; McNulty, S.; Shankman, D.; Tang, J.W.; Wang, Y.H.; et al. Greening china naturally. Ambio 2011, 40, 828–831. [Google Scholar] [CrossRef] [PubMed]
- Sun, G.; Zhou, G.Y.; Zhang, Z.Q.; Wei, X.H.; McNulty, S.G.; Vose, J.M. Potential water yield reduction due to forestation across China. J. Hydrol. 2006, 328, 548–558. [Google Scholar] [CrossRef]
- Piao, S.L.; Fang, J.Y.; Ciais, P.; Peylin, P.; Huang, Y.; Sitch, S.; Wang, T. The carbon balance of terrestrial ecosystems in China. Nature 2009, 458, 1009–1013. [Google Scholar] [CrossRef]
- Wang, Y.D.; Wang, H.M.; Xu, M.J.; Ma, Z.Q.; Wang, Z.L. Soil organic carbon stocks and CO2 effluxes of native and exotic pine plantations in subtropical China. Catena 2015, 128, 167–173. [Google Scholar] [CrossRef]
- Yan, J.H.; Zhou, G.Y.; Zhang, D.Q.; Chu, G.W. Changes of soil water, organic matter, and exchangeable cations along a forest successional gradient in Southern China. Pedosphere 2007, 17, 397–405. [Google Scholar] [CrossRef]
- Zhou, G.Y.; Peng, C.H.; Li, Y.L.; Liu, S.Z.; Zhang, Q.M.; Tang, X.L.; Liu, J.X.; Yan, J.H.; Zhang, D.Q.; Chu, G.W. A climate change-induced threat to the ecological resilience of a subtropical monsoon evergreen broad-leaved forest in Southern China. Glob. Chang. Biol. 2013, 19, 1197–1210. [Google Scholar] [CrossRef]
- Huang, Y.H.; Li, Y.L.; Xiao, Y.; Wenigmann, K.O.; Zhou, G.Y.; Zhang, D.Q.; Wenigmann, M.; Tang, X.L.; Liu, J.X. Controls of litter quality on the carbon sink in soils through partitioning the products of decomposing litter in a forest succession series in South China. For. Ecol. Manag. 2011, 261, 1170–1177. [Google Scholar] [CrossRef]
- Zhou, G.Y.; Liu, S.G.; Li, Z.A.; Zhang, D.Q.; Tang, X.L.; Zhou, C.Y.; Yan, J.H.; Mo, J.M. Old-growth forests can accumulate carbon in soils. Science 2006, 314, 1417. [Google Scholar] [CrossRef]
- Liu, X.D.; Chen, X.Z.; Li, R.H.; Long, F.L.; Zhang, L.; Zhang, Q.M.; Li, J.Y. Water-use efficiency of an old-growth forest in lower subtropical China. Sci. Rep. 2017, 7, 42761. [Google Scholar] [CrossRef]
- Yan, J.H.; Zhou, G.Y.; Chen, Z.Y. Coupling study on soil structure and hydrological effects for three succession communities in Dinghushan. Res. Trends Resour. Ecol. Environ. Netw. 2000, 11, 6–11. (In Chinese) [Google Scholar]
- Buol, S.W.A.; Southard, R.J.B.; Graham, R.C.C.; McDaniel, P.A.D. Soil Genesis and Classification, 5th ed.; Iowa State Press: Iowa City, IA, USA, 2003; pp. 339–347. [Google Scholar]
- Peng, S.L.; Wang, B.S. Forest succession at Dinghushan, Guangdong, China. Bot. J. South China 1993, 1, 34–42. [Google Scholar]
- Tian, J.; Zhang, B.Q.; He, C.S.; Yang, L.X. Variability in soil hydraulic conductivity and soil hydrological response under different land covers in the mountainous area of the Heihe river watershed, Northwest China. Land Degrad. Dev. 2016, 28, 1437–1449. [Google Scholar] [CrossRef]
- ASTM D891-18, Standard Test Methods for Specific Gravity, Apparent, of Liquid Industrial Chemicals; ASTM International: West Conshohocken, PA, USA, 2018; Available online: www.astm.org (accessed on 20 September 2019).
- Gaudette, H.E.; Flight, W.R.; Toner, L.; Folger, D.W. An inexpensive titration method for the determination of organic carbon in recent sediments. J. Sediment. Petrol. 1974, 44, 249–253. [Google Scholar] [CrossRef]
- Shwetha, P.; Varija, K. Soil water retention curve from saturated hydraulic conductivity for sandy loam and loamy sand textured soils. Aquat. Procedia 2015, 4, 1142–1149. [Google Scholar] [CrossRef]
- Van Genuchten, M.T. A closed-form equation for predicting the hydraulic conductivity of unsaturated soils. Soil Sci. Soc. Am. J. 1980, 44, 892–898. [Google Scholar] [CrossRef]
- Huggett, R.J. Soil chronosequences, soil development, and soil evolution: A critical review. Catena 1998, 32, 155–172. [Google Scholar] [CrossRef]
- Shen, C.D.; Yi, W.X.; Sun, Y.M.; Xing, C.P.; Yang, Y.; Chao, Y.; Li, Z.A.; Peng, S.L.; An, Z.S.; Liu, T.S. Distribution of C−14 and C−13 in forest soils of the Dinghushan Biosphere Reserve. In Proceedings of the 17th International Radiocarbon Conference, Jerusalem, Israel, 18–23 June 2000. [Google Scholar]
- Gu, C.J.; Mu, X.M.; Gao, P.; Zhao, G.J.; Sun, W.Y.; Tatarko, J.; Tan, X.J. Influence of vegetation restoration on soil physical properties in the Loess Plateau, China. J. Soil Sediments 2019, 19, 716–728. [Google Scholar] [CrossRef]
- Li, Y.Y.; Shao, M.A. Change of soil physical properties under long-term natural vegetation restoration in the Loess Plateau of China. J. Arid Environ. 2006, 64, 77–96. [Google Scholar] [CrossRef]
- Piaszczyk, W.; Lasota, J.; Błońska, E. Effect of organic matter released from deadwood at different decomposition stages on physical properties of forest soil. Forests 2020, 11, 24. [Google Scholar] [CrossRef]
- Marschner, P.; Crowley, D.; Rengel, Z. Rhizosphere interactions between microorganisms and plants govern iron and phosphorus acquisition along the root axis–model and research methods. Soil Biol. Biochem. 2011, 43, 883–894. [Google Scholar] [CrossRef]
- Pastore, G.; Kaiser, K.; Kernchen, S.; Spohn, M. Microbial release of apatite- and goethite-bound phosphate in acidic forest soils. Geoderma 2020, 370, 114360. [Google Scholar] [CrossRef]
- Oktavia, D.; Setiadi, Y.; Hilwan, I. The comparison of soil properties in heath forest and post-tin mined land: Basic for ecosystem restoration. Procedia Environ. Sci. 2015, 28, 124–131. [Google Scholar] [CrossRef]
- Bittelli, M.A.; Campbell, G.S.B.; Tomei, F.C. Soil Physics with Python: Transport in the Soil-Plant-Atmosphere System; Oxford University Press: Oxford, UK, 2015; pp. 26–32. [Google Scholar]
- Hassler, S.K.; Zimmermann, B.; van Breugel, M.; Hall, J.S.; Elsenbeer, H. Recovery of saturated hydraulic conductivity under secondary succession on former pasture in the humid tropics. For. Ecol. Manag. 2011, 261, 1634–1642. [Google Scholar] [CrossRef]
- Aimrun, W.; Amin, M.S.M.; Eltaib, S.M. Effective porosity of paddy soils as an estimation of its saturated hydraulic conductivity. Geoderma 2004, 121, 197–203. [Google Scholar] [CrossRef]
- Jarvis, N.J. A review of non-equilibrium water flow and solute transport in soil macropores: Principles, controlling factors and consequences for water quality. Eur. J. Soil Sci. 2007, 58, 523–546. [Google Scholar] [CrossRef]
- Hao, M.Z.; Zhang, J.C.; Meng, M.J.; Chen, H.Y.H.; Guo, X.P.; Liu, S.L.; Ye, L.X. Impacts of changes in vegetation on saturated hydraulic conductivity of soil in subtropical forests. Sci. Rep. 2019, 9, 8372–8379. [Google Scholar] [CrossRef]
- Lado, M.; Paz, A.; Benhur, M. Organic matter and aggregate size interactions in infiltration, seal formation, and soil loss. Soil Sci. Soc. Am. J. 2004, 68, 935–942. [Google Scholar] [CrossRef]
- Lado, M.; Paz, A.; Benhur, M. Organic matter and aggregate-size interactions in saturated hydraulic conductivity. Soil Sci. Soc. Am. J. 2004, 68, 234–242. [Google Scholar] [CrossRef]








| Stand Type | Elevation (m) | Gradient (°) | Stand Age (years) | Canopy Coverage (%) | LAI | Main Vegetations |
|---|---|---|---|---|---|---|
| PF | 130~200 | 25~30 | 70~80 | 70 | 4.3 | Pinus massoniana Schefflera octophylla Calamus simplicifolius |
| MF | 150~220 | 22~30 | 100~110 | 90 | 6.5 | Aporosa dioica Schima superba Psychotria rubra Calamus simplicifolius |
| BF | 160~230 | 25~30 | >400 | 95 | 7.8 | Gardenia jasminoides Acmena acuminatissima Mischocarpus sundaicus |
| Soil Layer (cm) | BF | MF | PF | ||||||
|---|---|---|---|---|---|---|---|---|---|
| α | n | R2 | α | n | R2 | α | n | R2 | |
| 0–10 | 0.003 | 1.182 | 0.993 | 0.002 | 1.184 | 0.994 | 0.005 | 1.216 | 0.997 |
| 10–20 | 0.003 | 1.149 | 0.991 | 0.002 | 1.183 | 0.994 | 0.005 | 1.201 | 0.995 |
| 20–40 | 0.003 | 1.158 | 0.993 | 0.002 | 1.187 | 0.994 | 0.006 | 1.184 | 0.994 |
| 40–60 | 0.002 | 1.188 | 0.993 | 0.003 | 1.151 | 0.996 | 0.004 | 1.171 | 0.993 |
| 60–100 | 0.002 | 1.180 | 0.992 | 0.002 | 1.167 | 0.996 | 0.003 | 1.191 | 0.991 |
| Average | 0.003 | 1.171 | 0.992 | 0.002 | 1.174 | 0.995 | 0.005 | 1.193 | 0.994 |
| Stand Type | θS (cm3/cm3) | FWC (cm3/cm3) | WWC (cm3/cm3) | AWC (cm3/cm3) |
|---|---|---|---|---|
| BF | 0.43 ± 0.02 a | 0.40 ± 0.01 a | 0.23 ± 0.01 a | 0.17 ± 0.01 a |
| MF | 0.42 ± 0.01 a | 0.39 ± 0.01 a | 0.23 ± 0.00 a | 0.16 ± 0.01 a |
| PF | 0.35 ± 0.01 b | 0.31 ± 0.01 b | 0.16 ± 0.01 b | 0.15 ± 0.01 a |
| Index | FWC | WWC | AWC | θS | α | n | TP | CP | NCP | BD | SOM | Sand | Silt | Clay |
|---|---|---|---|---|---|---|---|---|---|---|---|---|---|---|
| KS | 0.20 | 0.20 | 0.10 | 0.13 | −0.29 | −0.11 | 0.88 ** | 0.64 ** | 0.50 * | −0.91 ** | 0.90 ** | −0.13 | 0.54 * | −0.13 |
| FWC | 1 | 0.96 ** | 0.71 ** | 0.98 ** | −0.79 ** | −0.54 * | 0.27 | 0.67 ** | −0.54 * | −0.30 | 0.15 | −0.71 ** | 0.48 | 0.63 * |
| WWC | 1 | 0.48 | 0.91 ** | −0.81 ** | −0.74 ** | 0.27 | 0.71 ** | −0.59 * | −0.30 | 0.11 | −0.76 ** | 0.45 | 0.71 ** | |
| AWC | 1 | 0.77 ** | −0.43 | 0.16 | 0.18 | 0.32 | −0.18 | −0.19 | 0.20 | −0.30 | 0.36 | 0.18 | ||
| θS | 1 | −0.66 ** | −0.50 | 0.18 | 0.56 * | −0.51 | −0.21 | 0.12 | −0.66 ** | 0.40 | 0.60 * | |||
| α | 1 | 0.39 | −0.41 | −0.75 ** | 0.44 | 0.40 | −0.14 | 0.68 ** | −0.61 * | −0.53 * | ||||
| n | 1 | −0.09 | −0.47 | 0.54 * | 0.12 | 0.05 | 0.57 * | −0.16 | −0.62 * | |||||
| TP | 1 | 0.78 ** | 0.50 * | −0.99 ** | 0.80 ** | −0.35 | 0.65 ** | 0.10 | ||||||
| CP | 1 | −0.15 | −0.80 ** | 0.47 * | −0.65 ** | 0.64 ** | 0.50 * | |||||||
| NCP | 1 | −0.47 | 0.61 ** | 0.35 | 0.14 | −0.54 * | ||||||||
| BD | 1 | −0.84 ** | 0.31 | −0.59 ** | −0.08 | |||||||||
| SOM | 1 | 0.11 | 0.26 | −0.30 | ||||||||||
| Sand | 1 | −0.73 ** | −0.93 ** | |||||||||||
| Silt | 1 | 0.41 | ||||||||||||
| Clay | 1 |
Publisher’s Note: MDPI stays neutral with regard to jurisdictional claims in published maps and institutional affiliations. |
© 2020 by the authors. Licensee MDPI, Basel, Switzerland. This article is an open access article distributed under the terms and conditions of the Creative Commons Attribution (CC BY) license (http://creativecommons.org/licenses/by/4.0/).
Share and Cite
Liu, P.; Liu, X.; Dai, Y.; Feng, Y.; Zhang, Q.; Chu, G. Influence of Vegetation Restoration on Soil Hydraulic Properties in South China. Forests 2020, 11, 1111. https://doi.org/10.3390/f11101111
Liu P, Liu X, Dai Y, Feng Y, Zhang Q, Chu G. Influence of Vegetation Restoration on Soil Hydraulic Properties in South China. Forests. 2020; 11(10):1111. https://doi.org/10.3390/f11101111
Chicago/Turabian StyleLiu, Peiling, Xiaodong Liu, Yuhang Dai, Yingjie Feng, Qianmei Zhang, and Guowei Chu. 2020. "Influence of Vegetation Restoration on Soil Hydraulic Properties in South China" Forests 11, no. 10: 1111. https://doi.org/10.3390/f11101111
APA StyleLiu, P., Liu, X., Dai, Y., Feng, Y., Zhang, Q., & Chu, G. (2020). Influence of Vegetation Restoration on Soil Hydraulic Properties in South China. Forests, 11(10), 1111. https://doi.org/10.3390/f11101111

