Indoor Comfort and Energy Consumption Optimization Using an Inertia Weight Artificial Bee Colony Algorithm
Abstract
1. Introduction
2. Related Works
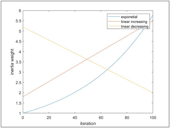
3. Methodology: IW-ABC
3.1. Initialization
3.2. Employed Bee Phase
3.3. Onlooker Bee Phase
3.4. Scout Bee Phase
3.5. Fitness Function
4. Experimental Setting
5. Results and Discussion
5.1. Convergence Analysis
5.2. Optimized Parameters
6. Conclusions
Author Contributions
Funding
Acknowledgments
Conflicts of Interest
References
- Klepeis, N.E.; Nelson, W.C.; Ott, W.R.; Robinson, J.P.; Tsang, A.M.; Switzer, P.; Behar, J.V.; Hern, S.C.; Engelmann, W.H. The National Human Activity Pattern Survey (NHAPS): A resource for assessing exposure to environmental pollutants. J. Expo. Anal. Environ. Epidemiol. 2001, 11, 231–252. [Google Scholar] [CrossRef] [PubMed]
- Khajehzadeh, I.; Vale, B. How New Zealanders distribute their daily time between home indoors, home outdoors and out of home. Kōtuitui N. Z. J. Soc. Sci. Online 2017, 12, 17–23. [Google Scholar] [CrossRef]
- Banerjee, D.; Rai, M. Social isolation in COVID-19: The impact of loneliness. Int. J. Soc. Psychiatry 2020, 66, 525–527. [Google Scholar] [CrossRef] [PubMed]
- Flanagan, E.W.; Beyl, R.A.; Fearnbach, S.N.; Altazan, A.D.; Martin, C.K.; Redman, L.M. The Impact of COVID-19 Stay-At-Home Orders on Health Behaviors in Adults. Obesity 2021, 29, 438–445. [Google Scholar] [CrossRef] [PubMed]
- Lund, S.; Madgavkar, A.; Manyika, J.; Smit, S.; Ellingrud, K.; Meaney, M.; Robinson, O. The future of work after COVID-19. McKinsey Glob. Inst. 2021, 18, 152. [Google Scholar]
- Chung, H.; Seo, H.; Forbes, S.; Birkett, H. Working from Home during the COVID-19 Lockdown: Changing Preferences and the Future of Work. 2020. Available online: https://kar.kent.ac.uk/83896/ (accessed on 1 May 2022).
- Hu, M.; Simon, M.; Fix, S.; Vivino, A.A.; Bernat, E. Exploring a sustainable building’s impact on occupant mental health and cognitive function in a virtual environment. Sci. Rep. 2021, 11, 5644. [Google Scholar] [CrossRef]
- Tham, S.; Thompson, R.; Landeg, O.; Murray, K.A.; Waite, T. Indoor temperature and health: A global systematic review. Public Health 2020, 179, 9–17. [Google Scholar] [CrossRef]
- Kamaruzzaman, S.N.; Sabrani, N.A. The effect of Indoor Air Quality (IAQ) towards occupants’ psychological performance in office buildings. J. Rekabentuk Dan Binaan 2011, 4, 49–61. [Google Scholar]
- Osibona, O.; Solomon, B.D.; Fecht, D. Lighting in the home and health: A systematic review. Int. J. Environ. Res. Public Health 2021, 18, 609. [Google Scholar] [CrossRef]
- Grimaldi, S.; Partonen, T.; Saarni, S.I.; Aromaa, A.; Lönnqvist, J. Indoors illumination and seasonal changes in mood and behavior are associated with the health-related quality of life. Health Qual. Life Outcomes 2008, 6, 56. [Google Scholar] [CrossRef]
- Yang, X.S. Review of Metaheuristics and Generalized Evolutionary Walk Algorithm. arXiv 2011, arXiv:1105.3668. [Google Scholar]
- Kennedy, J.; Eberhart, R. Particle swarm optimization. In Proceedings of the IEEE International Conference on Neural Networks, IEEE, Perth, Australia, 27 November–1 December 1995; Volume 4, pp. 1942–1948. [Google Scholar]
- Karaboga, D. An Idea Based on Honey Bee Swarm for Numerical Optimization. Tech. Rep. Tr06 Erciyes Univ. Eng. Fac. Comput. Eng. Dep. 2005. Available online: https://abc.erciyes.edu.tr/pub/tr06_2005.pdf (accessed on 1 May 2022).
- Yang, X.S. A new metaheuristic Bat-inspired Algorithm. In Studies in Computational Intelligence; González, J.R., Ed.; Springer: Berlin/Heidelberg, Germany, 2010; pp. 65–74. [Google Scholar]
- Yang, X.S. Nature-Inspired Metaheuristic Algorithms; Luniver Press: Rome, Italy, 2008. [Google Scholar]
- Holland, J.H. Adaptation in Natural and Artificial Systems: An Introductory Analysis with Applications to Biology, Control and Artificial Intelligence; MIT Press: Cambridge, MA, USA, 1992. [Google Scholar]
- Karaboga, D.; Akay, B. A comparative study of Artificial Bee Colony algorithm. Appl. Math. Comput. 2009, 214, 108–132. [Google Scholar] [CrossRef]
- Sharma, A.; Sharma, A.; Choudhary, S.; Pachauri, R.K.; Shrivastava, A.; Kumar, D. A Review on Artificial Bee Colony and Its Engineering Applications. J. Crit. Rev. 2020, 7, 4097–4107. [Google Scholar]
- Vargas Benítez, C.M.; Lopes, H.S. Parallel artificial bee colony algorithm approaches for protein structure prediction using the 3DHP-SC model. Stud. Comput. Intell. 2010, 315, 255–264. [Google Scholar]
- Ma, M.; Liang, J.; Guo, M.; Fan, Y.; Yin, Y. SAR image segmentation based on artificial bee colony algorithm. Appl. Soft Comput. J. 2011, 11, 5205–5214. [Google Scholar] [CrossRef]
- Cao, M.L.; Hu, X. Robust pollution source parameter identification based on the artificial bee colony algorithm using a wireless sensor network. PLoS ONE 2020, 15, e0232843. [Google Scholar] [CrossRef]
- Zhang, T.; Chen, G.; Zeng, Q.; Song, G.; Li, C.; Duan, H. Seamless clustering multi-hop routing protocol based on improved artificial bee colony algorithm. Eurasip J. Wirel. Commun. Netw. 2020, 2020, 75. [Google Scholar] [CrossRef]
- Sonmez, M. Artificial Bee Colony algorithm for optimization of truss structures. Appl. Soft Comput. J. 2011, 11, 2406–2418. [Google Scholar] [CrossRef]
- Shi, Y.; Eberhart, R.C. Empirical study of particle swarm optimization. In Proceedings of the 1999 Congress on Evolutionary Computation-CEC99 (Cat. No. 99TH8406), Washington, DC, USA, 6–9 July 1999; pp. 1945–1950. [Google Scholar]
- Elkhateeb, N.A.; Badr, R.I. Employing Artificial Bee Colony with dynamic inertia weight for optimal tuning of PID controller. In Proceedings of the 2013 5th International Conference on Modelling, Identification and Control (ICMIC), Cairo, Egypt, 31 August–2 September 2013; Volume 2013, pp. 42–46. [Google Scholar]
- Nie, L.; Mao, M.; Wan, Y.; Cui, L.; Zhou, L.; Zhang, Q. Maximum power point tracking control based on modified abc algorithm for shaded PV system. In Proceedings of the 2019 AEIT International Conference of Electrical and Electronic Technologies for Automotive (Aeit Automotive), Turin, Italy, 2–4 July 2019. [Google Scholar]
- Jia, L.; Wei, S.; Liu, J. A review of optimization approaches for controlling water-cooled central cooling systems. Build. Environ. 2021, 203, 108100. [Google Scholar] [CrossRef]
- Shah, A.S.; Nasir, H.; Fayaz, M.; Lajis, A.; Shah, A. A review on energy consumption optimization techniques in IoT based smart building environments. Information 2019, 10, 108. [Google Scholar] [CrossRef]
- Ali, S.; Kim, D.H. Optimized Power Control Methodology Using Genetic Algorithm. Wirel. Pers. Commun. 2015, 83, 493–505. [Google Scholar] [CrossRef]
- Wahid, F.; Kim, D.H. An Efficient Approach for Energy Consumption Optimization and Management in Residential Building Using Artificial Bee Colony and Fuzzy Logic. Math. Probl. Eng. 2016, 2016, 9104735. [Google Scholar] [CrossRef]
- Wahid, F.; Ghazali, R.; Ismail, L.H. An Enhanced Approach of Artificial Bee Colony for Energy Management in Energy Efficient Residential Building. Wirel. Pers. Commun. 2019, 104, 235–257. [Google Scholar] [CrossRef]
- Wahid, F.; Ismail, L.H.; Ghazali, R.; Aamir, M. An efficient artificial intelligence hybrid approach for energy management in intelligent buildings. KSII Trans. Internet Inf. Syst. 2019, 13, 5904–5927. [Google Scholar]
- Wahid, F.; Ghazali, R.; Ismail, L.H. Improved Firefly Algorithm Based on Genetic Algorithm Operators for Energy Efficiency in Smart Buildings. Arab. J. Sci. Eng. 2019, 44, 4027–4047. [Google Scholar] [CrossRef]
- Shah, A.S.; Nasir, H.; Fayaz, M.; Lajis, A.; Ullah, I.; Shah, A. Dynamic User Preference Parameters Selection and Energy Consumption Optimization for Smart Homes Using Deep Extreme Learning Machine and Bat Algorithm. IEEE Access 2020, 8, 204744–204762. [Google Scholar] [CrossRef]
- Ullah, I.; Kim, D. An improved optimization function for maximizing user comfort with minimum energy consumption in smart homes. Energies 2017, 10, 1818. [Google Scholar] [CrossRef]
- Li, J.; Yin, S.W.; Shi, G.S.; Wang, L. Optimization of indoor thermal comfort parameters with the adaptive network-based fuzzy inference system and particle swarm optimization algorithm. Math. Probl. Eng. 2017, 2017, 3075432. [Google Scholar] [CrossRef]
- Taylor, M.; Brown, N.C.; Rim, D. Optimizing thermal comfort and energy use for learning environments. Energy Build. 2021, 248, 111181. [Google Scholar] [CrossRef]
- Khan, Z.A.; Zafar, A.; Javaid, S.; Aslam, S.; Rahim, M.H.; Javaid, N. Hybrid meta-heuristic optimization based home energy management system in smart grid. J. Ambient Intell. Humaniz. Comput. 2019, 10, 4837–4853. [Google Scholar] [CrossRef]
- Khalid, A.; Zafar, A.; Abid, S.; Khalid, R.; Khan, Z.A.; Qasim, U.; Javaid, N. Cuckoo search optimization technique for multi-objective home energy management. Adv. Intell. Syst. Comput. 2017, 612, 520–529. [Google Scholar]
- Wahid, F.; Ghazali, R.; Fayaz, M.; Shah, A.S.; Tun, U.; Onn, H. A Simple and Easy Approach for Home Appliances Energy Consumption Prediction in Residential Buildings Using Machine Learning Techniques. J. Appl. Environ. Biol. Sci. 2017, 7, 108–119. [Google Scholar]
- Wahid, F.; Kim, D.H. A prediction approach for demand analysis of energy consumption using K-nearest neighbor in residential buildings. Int. J. Smart Home 2016, 10, 97–108. [Google Scholar] [CrossRef]
- Wahid, F.; Ghazali, R.; Shah, A.S.; Fayaz, M. Prediction of Energy Consumption in the Buildings Using Multi-Layer Perceptron and Random Forest. Int. J. Adv. Sci. Technol. 2017, 101, 13–22. [Google Scholar] [CrossRef]
- Wahid, F.; Kim, D.H. Short-term energy consumption prediction in Korean residential buildings using optimized multi-layer perceptron. Kuwait J. Sci. 2017, 44, 67–77. [Google Scholar]
- Khan, Z.A.; Ullah, A.; Ullah, W.; Rho, S.; Lee, M.; Baik, S.W. Electrical energy prediction in residential buildings for short-term horizons using hybrid deep learning strategy. Appl. Sci. 2020, 10, 8624. [Google Scholar] [CrossRef]
- Bot, K.; Ruano, A.; da Graça Ruano, M. Forecasting Electricity Consumption in Residential Buildings for Home Energy Management Systems. Commun. Comput. Inf. Sci. 2020, 1237, 313–326. [Google Scholar]
- Zhang, Y.; Chen, Q. Prediction of building energy consumption based on PSO—RBF neural network. In Proceedings of the 2014 IEEE International Conference on System Science and Engineering, Shanghai, China, 11–13 July 2014; pp. 60–63. [Google Scholar]
- Chegari, B.; Tabaa, M.; Simeu, E.; Moutaouakkil, F.; Medromi, H. Multi-objective optimization of building energy performance and indoor thermal comfort by combining artificial neural networks and metaheuristic algorithms. Energy Build. 2021, 239, 110839. [Google Scholar] [CrossRef]
- Liu, W.; Sui, P.; Wang, C. Improved Particle Swarm Optimization Algorithm Based on Social Psychology. In Proceedings of the International Conference on Artificial Intelligence and Computational Intelligence, Shanghai, China, 7–8 November 2009; pp. 145–148. [Google Scholar]
- Derrac, J.; García, S.; Molina, D.; Herrera, F. A practical tutorial on the use of nonparametric statistical tests as a methodology for comparing evolutionary and swarm intelligence algorithms. Swarm Evol. Comput. 2011, 1, 3–18. [Google Scholar] [CrossRef]
- García, S.; Molina, D.; Lozano, M.; Herrera, F. A Study on The Use of Non-parametric Tests for Analyzing The Evolutionary Algorithms’ Behaviour: A Case Study on The CEC’2005 Special Session on Real Parameter Optimization. J. Heuristics 2008, 15, 617–644. [Google Scholar] [CrossRef]
- Alcalá-Fdez, J.; Fernández, A.; Luengo, J.; Derrac, J.; García, S.; Sánchez, L.; Herrera, F. KEEL data-mining software tool: Data set repository, integration of algorithms and experimental analysis framework. J. Mult. Log. Soft Comput. 2011, 17, 255–287. [Google Scholar]
- Triguero, I.; González, S.; Moyano, J.M.; García, S.; Alcalá-Fdez, J.; Luengo, J.; Fernández, A.; del Jesús, M.J.; Sánchez, L.; Herrera, F. KEEL 3.0: An Open Source Software for Multi-Stage Analysis in Data Mining. Int. J. Comput. Intell. Syst. 2017, 10, 1238. [Google Scholar] [CrossRef]
- Alcalá-Fdez, J.; Sánchez, L.; García, S.; del Jesus, M.J.; Ventura, S.; Garrell, J.M.; Otero, J.; Romero, C.; Bacardit, J.; Rivas, V.M.; et al. KEEL: A software tool to assess evolutionary algorithms for data mining problems. Soft Comput. 2009, 13, 307–318. [Google Scholar] [CrossRef]















| Source | Algorithm | Comfort | Energy Consumption | Remarks |
|---|---|---|---|---|
| [30] | GA and fuzzy controller | Temperature, illumination, air quality of environment, and user’s preference | Change of temperature, illumination, air quality | Complex two phases approach |
| [31] | ABC and fuzzy controller | |||
| [32] | ABC with knowledge base and fuzzy controller | |||
| [33,34] | Hybrid FA-GA and fuzzy controller | |||
| [35] | BA, deep extreme machine learning, and fuzzy controller | Complex deep learning is applied | ||
| [36] | PSO and GA | Comfort index and energy consumption optimization problems are simplified as single objectives using weighted technique | ||
| [37] | Improved PSO and ANFIS | Thermal and air quality comfort using PMV, PPD, and mean age of air | - | Energy consumption minimization is not tackled |
| [38] | NSGA-II | Thermal discomfort | Classroom total energy usage | Only temperature is considered in this study |
| [39] | Enhanced DE and HSA | - | Scheduling of appliances | No consideration is given for occupant’s comfort level |
| [40] | CS | - | ||
| [41] | MLP, KNN, RF, LR | - | Energy consumption prediction and categorization of low- and high-power consumption | |
| [42,43] | KNN, MLP, RF | - | Classification of high- and low-energy consumption residences | |
| [44] | MLP | - | Energy usage prediction | |
| [45] | CNN and MLBi-GRU | - | ||
| [46] | MOGA and RBF | - | ||
| [47] | PSO and RBF | - | ||
| [48] | MFNN, MOPSO, MOGA, NSGA-II | Thermal discomfort hours | Annual energy usage minimization | Only temperature is considered in this study |
| Time Instances (I) | Temperature (°F) | Illumination (Lux) | Indoor Air Quality (IAQ) |
|---|---|---|---|
| 1 | 60 | 711 | 610 |
| 2 | 65 | 717 | 670 |
| 3 | 67 | 718 | 650 |
| 4 | 66 | 717 | 640 |
| 5 | 67 | 700 | 600 |
| 6 | 63 | 713 | 620 |
| 7 | 62 | 724 | 670 |
| 8 | 81 | 710 | 920 |
| 9 | 80 | 914 | 920 |
| 10 | 81 | 900 | 960 |
| 11 | 83 | 897 | 900 |
| 12 | 80 | 895 | 930 |
| 13 | 79 | 904 | 950 |
| 14 | 82 | 903 | 960 |
| 15 | 81 | 906 | 970 |
| 16 | 80 | 898 | 925 |
| 17 | 66 | 728 | 610 |
| 18 | 63 | 703 | 670 |
| 19 | 66 | 714 | 630 |
| 20 | 66 | 721 | 645 |
| 21 | 66 | 722 | 650 |
| 22 | 67 | 703 | 600 |
| 23 | 66 | 701 | 670 |
| 24 | 81 | 728 | 980 |
| 25 | 81 | 891 | 930 |
| 26 | 82 | 906 | 948 |
| 27 | 80 | 901 | 965 |
| 28 | 81 | 901 | 916 |
| 29 | 79 | 915 | 900 |
| 30 | 83 | 914 | 960 |
| 31 | 79 | 890 | 970 |
| 32 | 81 | 912 | 930 |
| 33 | 65 | 717 | 610 |
| 34 | 67 | 714 | 620 |
| 35 | 65 | 724 | 670 |
| 36 | 67 | 726 | 680 |
| 37 | 66 | 723 | 650 |
| 38 | 64 | 726 | 660 |
| 39 | 65 | 708 | 640 |
| 40 | 80 | 712 | 900 |
| 41 | 83 | 917 | 910 |
| 42 | 79 | 905 | 920 |
| 43 | 82 | 893 | 980 |
| 44 | 80 | 920 | 940 |
| 45 | 81 | 913 | 950 |
| 46 | 81 | 905 | 940 |
| 47 | 82 | 896 | 970 |
| 48 | 80 | 898 | 980 |
| Parameter | Value | |
|---|---|---|
| Runtime | 30 | |
| 100 | ||
| Population size | 50 | |
| Onlooker | Np/2 | |
| Limit | (Np/2)*D | |
| Fitness function ratio | 0.5:0.5 | |
| 1/3 | ||
| 1/3 | ||
| 1/3 | ||
| 5 | ||
| 1 | ||
| 1 | ||
| Increasing inertia weight | [0.6, 1.0] | |
| Decreasing inertia weight | [0.9, 0.4] |
| Average | Max | Min | Friedman Rank | Holm Post Hoc | ||
|---|---|---|---|---|---|---|
| Fitness | ABC | 0.9799 | 0.9975 | 0.9633 | 4.1771 | 0 < 0.0125 |
| IW-ABC (exponential) | 0.9853 | 0.9999 | 0.9596 | 2.9687 | 0.04898 > 0.016667 | |
| IW-ABC (linear increasing) | 0.9863 | 0.9999 | 0.9608 | 2.6667 | 0.3017 > 0.05 | |
| IW-ABC (linear decreasing) | 0.9869 | 0.9999 | 0.9722 | 2.3333 | ||
| BA | 0.9838 | 0.9977 | 0.9684 | 2.8542 | 0.106583 > 0.025 | |
| Comfort Index | ABC | 0.9913 | 0.9966 | 0.9821 | 5.9583 | 0 < 0.01 |
| IW-ABC (exponential) | 0.9960 | 0.9997 | 0.9883 | 2.5521 | 0.518387 > 0.025 | |
| IW-ABC (linear increasing) | 0.9963 | 0.9997 | 0.9917 | 2.2292 | ||
| IW-ABC (linear decreasing) | 0.9962 | 0.9997 | 0.9910 | 2.2396 | 0.983379 > 0.05 | |
| FA | 0.9915 | 0.9961 | 0.9752 | 5.7083 | 0 < 0.0125 | |
| ACO | 0.9909 | 0.9975 | 0.9796 | 6.5000 | 0 < 0.008333 | |
| GA | 0.9901 | 0.9978 | 0.9793 | 6.8542 | 0 < 0.007143 | |
| BA | 0.9945 | 0.9994 | 0.9839 | 3.9583 | 0.000544 < 0.016667 | |
| Energy Consumption | ABC | 147.6226 | 214.8538 | 68.1349 | 4.1458 | 0 < 0.0125 |
| IW-ABC (exponential) | 120.9565 | 222.4773 | 31.0000 | 2.8229 | 0.258636 > 0.025 | |
| IW-ABC (linear increasing) | 116.1257 | 202.4568 | 31.0000 | 2.5312 | 0.821261 > 0.05 | |
| IW-ABC (linear decreasing) | 117.0123 | 214.2358 | 27.6068 | 2.4583 | ||
| BA | 131.1864 | 216.9695 | 68.0068 | 3.0417 | 0.070701 > 0.016667 |
Publisher’s Note: MDPI stays neutral with regard to jurisdictional claims in published maps and institutional affiliations. |
© 2022 by the authors. Licensee MDPI, Basel, Switzerland. This article is an open access article distributed under the terms and conditions of the Creative Commons Attribution (CC BY) license (https://creativecommons.org/licenses/by/4.0/).
Share and Cite
Baharudin, F.N.A.; Ab. Aziz, N.A.; Abdul Malek, M.R.; Ghazali, A.K.; Ibrahim, Z. Indoor Comfort and Energy Consumption Optimization Using an Inertia Weight Artificial Bee Colony Algorithm. Algorithms 2022, 15, 395. https://doi.org/10.3390/a15110395
Baharudin FNA, Ab. Aziz NA, Abdul Malek MR, Ghazali AK, Ibrahim Z. Indoor Comfort and Energy Consumption Optimization Using an Inertia Weight Artificial Bee Colony Algorithm. Algorithms. 2022; 15(11):395. https://doi.org/10.3390/a15110395
Chicago/Turabian StyleBaharudin, Farah Nur Arina, Nor Azlina Ab. Aziz, Mohamad Razwan Abdul Malek, Anith Khairunnisa Ghazali, and Zuwairie Ibrahim. 2022. "Indoor Comfort and Energy Consumption Optimization Using an Inertia Weight Artificial Bee Colony Algorithm" Algorithms 15, no. 11: 395. https://doi.org/10.3390/a15110395
APA StyleBaharudin, F. N. A., Ab. Aziz, N. A., Abdul Malek, M. R., Ghazali, A. K., & Ibrahim, Z. (2022). Indoor Comfort and Energy Consumption Optimization Using an Inertia Weight Artificial Bee Colony Algorithm. Algorithms, 15(11), 395. https://doi.org/10.3390/a15110395

