The Study of Low-Cycle Fatigue Properties and Microstructure Along the Thickness Direction of a 460 MPa Marine Engineering Steel
Abstract
1. Introduction
2. Materials and Methods
2.1. Materials
2.2. Specimen Size and Sampling Locations
2.3. Evaluation of Monotonic Tensile and LCF Tests
3. Results and Discussion
3.1. Microstructures at Various Locations
3.2. Cyclic Response Curves for Different Specimens
3.3. Fatigue Fracture Behavior
3.4. Microstructure Evolution at Various Stages
3.5. Fatigue Crack Propagation Behavior in Different Specimens
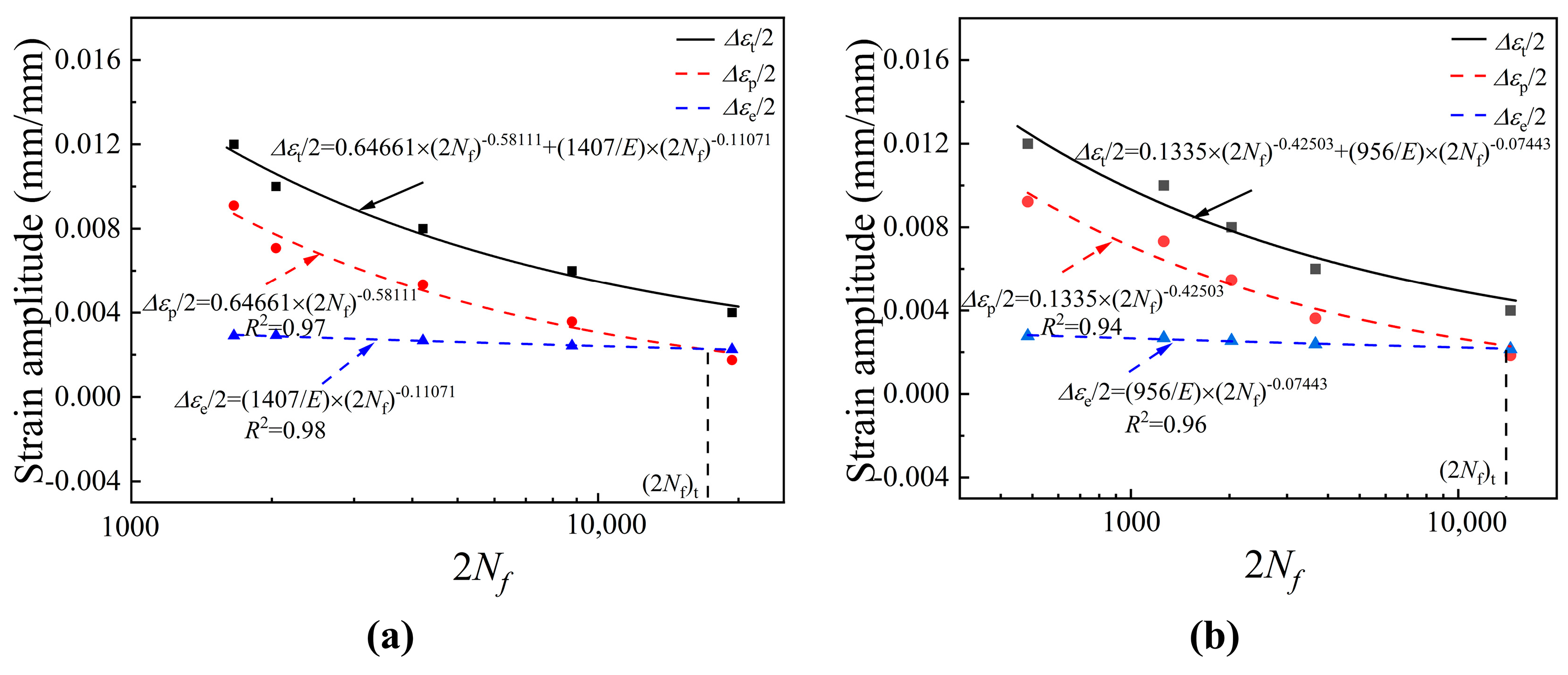
3.6. LCF Life Evaluation and Prediction
4. Conclusions
- (1)
- The microstructure of the EH47 shipbuilding steel varied in the thickness direction because of different levels of plastic deformation and cooling rates throughout the rolling process. The grain size gradually increased from the steel plate’s surface to its center.
- (2)
- The various microstructures in the steel plate thickness direction decreased the LCF life Nf from 9681, 4395, 2107, 1020, 829 to 7222, 1832, 1015, 630, 242, respectively.
- (3)
- All specimens exhibit cyclic hardening and softening. The main strengthening mechanisms were the accumulation of dislocations at grain boundaries and the formation of dislocation tangles. As the cycle proceeds, the dynamic recovery and dislocation annihilation were the main softening mechanisms.
- (4)
- According to the research results, the use of crack arrest steel plates with finer grain sizes can help improve the fatigue life of container ship decks and hatches.
- (5)
- The Basquin and Coffin–Manson relationships proposed a prediction model for LCF life with different strain amplitudes, and the predicted results agreed well with the tested results.
Author Contributions
Funding
Data Availability Statement
Conflicts of Interest
References
- Xue, C.; Yang, M.; Liu, P.; Cheng, Y.; Shang, X.; Ren, X. Fracture toughness and fracture mechanism of EH47 high-strength steel subjected to different temperatures. Metall. Mater. Trans. A 2022, 53, 3588–3603. [Google Scholar] [CrossRef]
- Kawabata, T.; Inoue, T.; Tagawa, T.; Fukui, T.; Takashima, Y.; Shibanuma, K.; Aihara, S. Historical review of research on brittle crack propagation arresting technology for large welded steel structures developed in Japan with the application of Kca parameters. Mar. Struct. 2020, 71, 102737. [Google Scholar] [CrossRef]
- Thompson, S. Interrelationships between yield strength, low-temperature impact toughness, and microstructure in low-carbon, copper-precipitation-strengthened, high-strength low-alloy plate steels. Mater. Sci. Eng. A 2018, 711, 424–433. [Google Scholar] [CrossRef]
- Penna, V.; Bartlett, L.; Constance, T. Understanding the role of inclusions on the dynamic fracture toughness of high strength lightweight FeMnAl steels. Int. J. Met. 2019, 13, 286–299. [Google Scholar] [CrossRef]
- Perez-Martin, M.; Erice, B.; Galvez, F. Experimental determination of the dynamic fracture-initiation toughness of high-strength metals. Eng. Fract. Mech. 2019, 205, 498–510. [Google Scholar] [CrossRef]
- Shao, J.; Yu, G.; He, X.; Li, S.; Chen, R.; Zhao, Y. Grain size evolution under different cooling rate in laser additive manufacturing of superalloy. Opt. Laser Technol. 2019, 119, 105662. [Google Scholar] [CrossRef]
- Zhu, M.; Xuan, F. Effects of temperature on tensile and impact behavior of dissimilar welds of rotor steels. Mater. Design 2010, 31, 3346–3352. [Google Scholar] [CrossRef]
- Wu, Z.; Liu, Z.; Li, X. Microstructural effects on the fracture toughness of advanced high strength steels. Mater. Lett. 2020, 271, 127761. [Google Scholar] [CrossRef]
- Zhao, N.; Zhao, Q.; He, Y.; Liu, R.; Liu, W.; Zheng, W.; Li, L. Strengthening-toughening mechanism of cost-saving marine steel plate with 1000 MPa yield strength. Mater. Sci. Eng. A 2022, 831, 142280. [Google Scholar] [CrossRef]
- Lee, S.; Han, J.; Hwang, B. Deformation behavior and tensile properties of an austenitic Fe-24Mn-4Cr-0.5C high-manganese steel: Effect of grain size. Mater. Sci. Eng. A 2019, 742, 334–343. [Google Scholar] [CrossRef]
- Shang, X.; Zhang, H.; Cui, Z.; Fu, M.; Shao, J. A multiscale investigation into the effect of grain size on void evolution and ductile fracture: Experiments and crystal plasticity modeling. Int. J. Plast. 2020, 125, 133–149. [Google Scholar] [CrossRef]
- Cao, R.; Li, G.; Fang, X.; Song, J.; Chen, J. Investigation on the effects of microstructure on the impact and fracture toughness of a C-Mn steel with various microstructures. Mater. Sci. Eng. A 2013, 56, 509–524. [Google Scholar] [CrossRef]
- Xue, C.; Yan, L.; Shang, X.; Ren, X. Effects of microstructure and specimen size on the fracture toughness of EH47 shipbuilding steel at low temperature. Eng. Fract. Mech. 2022, 276, 108938. [Google Scholar] [CrossRef]
- Xue, C.; Yang, M.; Liu, P.; Yan, L.; Shang, X.; Liang, Z.; Ren, X. Effects of rolling process and microstructure on the brittle crack initiation and arrest of a marine steel under low-temperature. Fatigue Fract. Eng. Mater. Struct. 2024, 47, 2841–2856. [Google Scholar] [CrossRef]
- Zhang, X.; Li, G.; Zhao, H.; Gao, J.; Wu, H.; Zhang, C.; Huang, Y.; Wu, G.; Wang, S.; Mao, X. Evolution of microstructure and mechanical properties along the thickness direction of 500 MPa HSLA steel heavy plates. Mater. Sci. Eng. A 2024, 913, 147097. [Google Scholar] [CrossRef]
- Yanagimoto, F.; Hemmi, T.; Suzuki, Y.; Takashima, Y.; Kawabat, T.; Shibanuma, K. Contribution of grain size to resistance against cleavage crack propagation in ferritic steel. Acta Mater. 2019, 177, 96–106. [Google Scholar] [CrossRef]
- Zhang, M.; Feng, G.; Xu, Y.; Zhao, W.; Ren, H. Fatigue crack growth test and characteristics analysis for ultra-thick crack-arrest steel. Theor. Appl. Fract. Mech. 2024, 131, 104438. [Google Scholar] [CrossRef]
- Zhong, Y.; Shao, Y.; Gao, X.; Luo, X.; Zhu, H. Fatigue crack growth of EH36 steel in air and corrosive marine environments. J. Constr. Steel Res. 2023, 210, 108104. [Google Scholar] [CrossRef]
- Ganesan, K.; Sundaram, S. Understanding the influence of environmental conditions on the low cycle fatigue behavior of high strength low alloy (HSLA) steel under air and corrosive (3.5% NaCl) conditions. Int. J. Fatigue 2024, 185, 108340. [Google Scholar] [CrossRef]
- Hu, Z.; Hua, L.; Mei, Z.; Peng, L.; Min, S.; Liu, W. Corrosion fatigue life prediction model for 10CrNiCu shipbuilding steel under authentic marine environments. Case Stud. Constr. Mater. 2024, 21, e03787. [Google Scholar] [CrossRef]
- Akhtar, M.; Khan, M.; Khan, S.; Afzal, A.; Subbiah, R.; Ahmad, S.; Husain, M.; Butt, M.; Othman, A.; Bakar, E. Determination of non-recrystallization temperature for niobium microalloyed steel. Materials 2021, 14, 2639. [Google Scholar] [CrossRef]
- Wang, H.; Tian, Y.; Ye, Q.; Misra, R.; Wang, Z.; Wang, G. Determining role of microstructure on crack arrest and propagation phenomenon in low-carbon microalloyed steel. Mater. Sci. Eng. A 2019, 761, 138009. [Google Scholar] [CrossRef]
- ASTM E606/E606M-21; Standard Test Method for Strain-Controlled Fatigue Testing. ASTM International: West Conshohocken, PA, USA, 2021.
- Wan, X.; Wu, K.; Nune, K.; Li, Y.; Cheng, L. In situ observation of acicular ferrite formation and grain refinement in simulated heat affected zone of high strength low alloy steel. Sci. Technol. Weld. Join. 2015, 20, 254–263. [Google Scholar] [CrossRef]
- Zeng, T.; Zhang, Q.; Zhang, S.; Zhou, Y.; Zhao, Y.; Shi, X.; Yan, W. Enhancing sulfide stress cracking resistance of a Cu-bearing high strength low alloyed steel through decreasing austenitizing temperature. J. Mater. Res. Technol. 2025, 35, 2315–2327. [Google Scholar] [CrossRef]
- Zhou, L.; Chen, S.; Chen, K.; Chang, J.; Huang, L. Effect of average pass reduction ratio on thickness-oriented microstructure and properties homogeneity of an Al–Zn–mg–cu aluminum alloy thick plate. Appl. Phys. A-Mater. 2019, 125, 387. [Google Scholar] [CrossRef]
- Hu, J.; Du, L.; Wang, J.; Xie, H.; Gao, C.; Misra, R. Structure–mechanical property relationship in low carbon microalloyed steel plate processed using controlled rolling and two-stage continuous cooling. Mater. Sci. Eng. A 2013, 585, 197–204. [Google Scholar] [CrossRef]
- Yu, W.; Li, G.; Cai, Q. Effect of a novel gradient temperature rolling process on deformation, microstructure and mechanical properties of ultra-heavy plate. J. Mater. Process. Technol. 2015, 217, 317–326. [Google Scholar] [CrossRef]
- Zhao, C.; Jia, X.; Zhao, C.; Bai, S.; Huang, Y.; Zhang, Q.; Zhang, J.; Hu, Y.; Huang, J. Study on low-cycle fatigue behavior and life prediction of Cr-Ni-Mo-V gun steel at room temperature and 600 °C. Fatigue Fract. Eng. Mater. Struct. 2025, 48, 118–131. [Google Scholar] [CrossRef]
- Wang, Q.; Wang, Q.; Gong, X.; Wang, T.; Zhang, W.; Li, L.; Liu, Y.; He, C.; Wang, C.; Zhang, H. A comparative study of low cycle fatigue behavior and microstructure of Cr-based steel at room and high temperatures. Mater. Des. 2020, 195, 109000. [Google Scholar] [CrossRef]
- Zhong, C.; Liu, P.; Ren, X.; Wang, X.; Luan, B.; Volinsky, A. Microstructure and mechanical properties of nickel-based 625 alloy fabricated using high-speed laser direct energy deposition. Mater. Sci. Eng. A 2025, 930, 148164. [Google Scholar] [CrossRef]
- Takashima, Y.; Kawabata, T.; Deguchi, R.; Yamada, S.; Minami, F. Increase in micro-cracks beneath cleavage fracture surface in carbon steel ESSO specimens. Theor. Appl. Fract. Mec. 2019, 101, 365–372. [Google Scholar] [CrossRef]
- Jia, R.; Zeng, W.; He, S.; Gao, X.; Xu, J. The analysis of fracture toughness and fracture mechanism of Ti60 alloy under different temperatures. J. Alloys Compd. 2019, 810, 151899. [Google Scholar] [CrossRef]
- Mittra, J.; Dubey, J.; Kulkarni, U.; Dey, G. Role of dislocation density in raising the stage II work-hardening rate of Alloy 625. Mater. Sci. Eng. A 2009, 512, 87–91. [Google Scholar] [CrossRef]
- Jin, J.; Zhang, Z.; Hou, J.; Gong, B.; Wang, H.; Zhou, X.; Purcek, G.; Sheinerman, A.; Zhang, Z. Influence of microstructure characteristics on the fatigue properties of 7075 aluminum alloy. Mater. Sci. Eng. A 2024, 912, 146976. [Google Scholar] [CrossRef]
- Sheng, Y.; Yang, H.; Zhang, J.; Jiang, X. The interaction of crack and dislocation in cyclic loading in the body-centered cubic (BCC) crystal. Eng. Fract. Mech. 2023, 292, 109558. [Google Scholar] [CrossRef]
- Lee, S.; Veerendra, C.; Jang, H.; Lee, G.; Kim, J.; Cho, J. Investigation of the recrystallization behavior of cold-rolled A1050 thin sheets based on misorientation measurements and grain boundary. Mater. Sci. Eng. A 2025, 920, 147467. [Google Scholar] [CrossRef]
- Benabdeljalil, O.; Khan, M.; Fitzpatrick, M. Study of fatigue crack initiation in 316 stainless steel. Fatigue Fract. Eng. Mater. Struct. 2025, 48, 1893–1904. [Google Scholar] [CrossRef]












| C | Si | Mn | Al | Nb + V + Ti | Cr + Cu + Ni | P | S | N |
|---|---|---|---|---|---|---|---|---|
| 0.06 | 0.17 | 1.46 | 0.039 | 0.077 | 0.88 | 0.005 | 0.001 | 0.003 |
| Parameters | Symbol | Surface Specimen | Central Specimen |
|---|---|---|---|
| Fatigue strength coefficient (MPa) | σ’f | 1407 | 956 |
| Fatigue ductility coefficient (dimensionless) | ε’ | 0.64661 | 0.1335 |
| Fatigue strength index (dimensionless) | b | −0.11071 | −0.07443 |
| Fatigue ductility index (dimensionless) | c | −0.58111 | −0.42503 |
| Sampling Locations | Average Grain Size (μm) | Maximun Grain Size (μm) | The Content of HAGBs (%) | Fatigue Life (N) | ||||
|---|---|---|---|---|---|---|---|---|
| 0.4% | 0.6% | 0.8% | 1.0% | 1.2% | ||||
| Surface | 1.9 | 13.4 | 46 | 9681 | 4395 | 2107 | 1020 | 829 |
| Center | 2.7 | 36.3 | 32 | 7222 | 1832 | 1015 | 630 | 242 |
Disclaimer/Publisher’s Note: The statements, opinions and data contained in all publications are solely those of the individual author(s) and contributor(s) and not of MDPI and/or the editor(s). MDPI and/or the editor(s) disclaim responsibility for any injury to people or property resulting from any ideas, methods, instructions or products referred to in the content. |
© 2026 by the authors. Licensee MDPI, Basel, Switzerland. This article is an open access article distributed under the terms and conditions of the Creative Commons Attribution (CC BY) license.
Share and Cite
Xue, C.; Yang, M.; Ren, X.; Wang, L.; Zhou, X. The Study of Low-Cycle Fatigue Properties and Microstructure Along the Thickness Direction of a 460 MPa Marine Engineering Steel. Materials 2026, 19, 514. https://doi.org/10.3390/ma19030514
Xue C, Yang M, Ren X, Wang L, Zhou X. The Study of Low-Cycle Fatigue Properties and Microstructure Along the Thickness Direction of a 460 MPa Marine Engineering Steel. Materials. 2026; 19(3):514. https://doi.org/10.3390/ma19030514
Chicago/Turabian StyleXue, Chunyang, Mengmeng Yang, Xuechong Ren, Lianqing Wang, and Xianglin Zhou. 2026. "The Study of Low-Cycle Fatigue Properties and Microstructure Along the Thickness Direction of a 460 MPa Marine Engineering Steel" Materials 19, no. 3: 514. https://doi.org/10.3390/ma19030514
APA StyleXue, C., Yang, M., Ren, X., Wang, L., & Zhou, X. (2026). The Study of Low-Cycle Fatigue Properties and Microstructure Along the Thickness Direction of a 460 MPa Marine Engineering Steel. Materials, 19(3), 514. https://doi.org/10.3390/ma19030514
