Development of Ti-Nb-Mo-Zr Alloys with Low Modulus and Excellent Plasticity for Biomedical Applications
Abstract
1. Introduction
2. Experimental
2.1. Design of Ti-Nb-Mo-Zr Alloys
2.2. Methods
3. Result
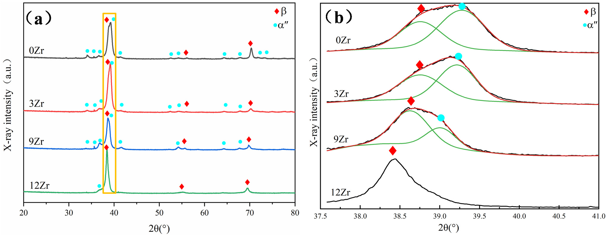
3.1. Phase Composition and Microstructures of Ti-25Nb-2Mo-xZr Alloys
3.2. Mechanical Properties of Ti-25Nb-2Mo-xZr Alloys
3.3. Microstructure of Ti-25Nb-2Mo-xZr Alloy After 10% Strain
4. Discussion
4.1. Effect of Zr Content on the Elastic Modulus and Yield Strength of Ti-25Nb-2Mo-xZr Alloys
4.2. Effect of Zr Content on the Plasticity, Deformation Mechanisms of Ti-25Nb-2Mo-xZr Alloys
4.3. Comparison of Mechanical Properties
5. Conclusions
- The microstructure gradually changes from the ω + α″ + β three-phase of 0Zr to β + minor α″ martensite in the 12Zr as Zr content increases. The addition of Zr content effectively inhibits the formation of the α″ martensite phase and the ω phase.
- (0–12) Zr alloys exhibit good mechanical properties. With increasing Zr content, the elastic modulus decreases, the yield strength first decreases and then increases, and the plasticity gradually improves. Among these alloys, the 12Zr alloy demonstrates the most superior mechanical properties, including low elastic modulus (56.3 GPa) and high elongation (48.2%), which are expected to be used in future stent biomaterials.
- As the Zr content increases, the stability of the β phase is progressively enhanced, driving a shift in the dominant deformation mode of the alloy: from dislocation slip within the martensite phase in the 0Zr alloy, to martensitic variant reorientation in the 3Zr alloy, followed by the activation of the TRIP effect in the 9Zr alloy, and finally evolving into a combined TRIP and TWIP effect mechanism in the 12Zr alloy.
Author Contributions
Funding
Data Availability Statement
Conflicts of Interest
References
- Zhang, L.C.; Chen, L.Y. A review on biomedical titanium alloys: Recent progress and prospect. Adv. Eng. Mater. 2019, 21, 1801215. [Google Scholar] [CrossRef]
- Sidhu, S.S.; Singh, H.; Gepreel, M.A.-H. A review on alloy design, biological response, and strengthening of β-titanium alloys as biomaterials. Mater. Sci. Eng. C 2021, 121, 111661. [Google Scholar] [CrossRef] [PubMed]
- Pesode, P.; Barve, S. A review—Metastable β titanium alloy for biomedical applications. J. Eng. Appl. Sci. 2023, 70, 25. [Google Scholar] [CrossRef]
- Yao, T.T.; Zhang, Y.G.; Yang, L.; Bu, Z.Q.; Li, J.F. A metastable Ti–Zr–Nb–Al multi-principal-element alloy with high tensile strength and ductility. Mater. Sci. Eng. A 2022, 851, 143646. [Google Scholar] [CrossRef]
- Abd-Elaziem, W.; Darwish, M.A.; Hamada, A.; Daoush, W.M. Titanium-Based alloys and composites for orthopedic implants Applications: A comprehensive review. Mater. Des. 2024, 241, 112850. [Google Scholar] [CrossRef]
- Helth, A.; Pilz, S.; Kirsten, T.; Giebeler, L.; Freudenberger, J.; Calin, M.; Eckert, J.; Gebert, A. Effect of thermomechanical processing on the mechanical biofunctionality of a low modulus Ti-40Nb alloy. J. Mech. Behav. Biomed. Mater. 2017, 65, 137–150. [Google Scholar] [CrossRef]
- Zhang, W.-d.; Liu, Y.; Wu, H.; Song, M.; Zhang, T.-y.; Lan, X.-d.; Yao, T.-h. Elastic modulus of phases in Ti–Mo alloys. Mater. Charact. 2015, 106, 302–307. [Google Scholar] [CrossRef]
- Zhou, Y.L.; Niinomi, M.; Akahori, T. Effects of Ta content on Young’s modulus and tensile properties of binary Ti–Ta alloys for biomedical applications. Mater. Sci. Eng. A 2004, 371, 283–290. [Google Scholar] [CrossRef]
- Lee, T.; Lee, S.; Kim, I.-S.; Moon, Y.H.; Kim, H.S.; Park, C.H. Breaking the limit of Young’s modulus in low-cost Ti–Nb–Zr alloy for biomedical implant applications. J. Alloys Compd. 2020, 828, 154401. [Google Scholar] [CrossRef]
- Yan, X.-H.; Ma, J.; Zhang, Y. High-throughput screening for biomedical applications in a Ti-Zr-Nb alloy system through masking co-sputtering. Sci. China Phys. Mech. Astron. 2019, 62, 996111. [Google Scholar] [CrossRef]
- Qian, B.; Li, X.; Wang, Y.; Hou, J.; Liu, J.; Zou, S.; An, F.; Lu, W. An Ultra-Low Modulus of Ductile TiZrHfTa Biomedical High-Entropy Alloys through Deformation Induced Martensitic Transformation/Twinning/Amorphization. Adv. Mater. 2024, 36, 2310926. [Google Scholar] [CrossRef] [PubMed]
- Froes, F.; Qian, M. Titanium in Medical and Dental Applications; Woodhead Publishing: Cambridge, UK, 2018. [Google Scholar]
- Hanawa, T. Materials for metallic stents. J. Artif. Organs 2009, 12, 73–79. [Google Scholar] [CrossRef]
- Fu, Y.; Xiao, W.; Wang, J.; Ren, L.; Zhao, X.; Ma, C. A novel strategy for developing α + β dual-phase titanium alloys with low Young’s modulus and high yield strength. J. Mater. Sci. Technol. 2021, 76, 122–128. [Google Scholar] [CrossRef]
- Hao, Y.L.; Zhang, Z.B.; Li, S.J.; Yang, R. Microstructure and mechanical behavior of a Ti–24Nb–4Zr–8Sn alloy processed by warm swaging and warm rolling. Acta Mater. 2012, 60, 2169–2177. [Google Scholar] [CrossRef]
- Gordin, D.M.; Sun, F.; Laillé, D.; Prima, F.; Gloriant, T. How a new strain transformable titanium-based biomedical alloy can be designed for balloon expendable stents. Materialia 2020, 10, 100638. [Google Scholar] [CrossRef]
- Cao, M.Z.; He, B.B. A review on deformation mechanisms of metastable β titanium alloys. J. Mater. Sci. 2024, 59, 14981–15016. [Google Scholar] [CrossRef]
- Zhao, S.; Wang, Y.; Chai, C.; Peng, L.; Zhang, Y.; Fang, F.; Yuan, G. Effect of V on the deformation mechanisms and mechanical properties of Ti-5Mo-4Cr-xV-1Zr metastable β titanium alloys. Mater. Sci. Eng. A 2025, 924, 147780. [Google Scholar] [CrossRef]
- Xiao, J.F.; Shang, X.K.; Hou, J.H.; Li, Y.; He, B.B. Role of stress-induced martensite on damage behavior in a metastable titanium alloy. Int. J. Plast. 2021, 146, 103103. [Google Scholar] [CrossRef]
- Chen, K.; Fan, Q.; Yao, J.; Yang, L.; Xu, S.; Lei, W.; Wang, D.; Yuan, J.; Gong, H.; Cheng, X. Composition design of a novel Ti-6Mo-3.5 Cr-1Zr alloy with high-strength and ultrahigh-ductility. J. Mater. Sci. Technol. 2022, 131, 276–286. [Google Scholar] [CrossRef]
- Church, N.L.; Prasad, A.; Jones, N.G. On the design of low modulus Ti–Nb–Au alloys for biomedical applications. J. Mech. Behav. Biomed. Mater. 2024, 157, 106633. [Google Scholar] [CrossRef]
- Sun, F.; Zhang, J.Y.; Marteleur, M.; Gloriant, T.; Vermaut, P.; Laillé, D.; Castany, P.; Curfs, C.; Jacques, P.J.; Prima, F. Investigation of early stage deformation mechanisms in a metastable β titanium alloy showing combined twinning-induced plasticity and transformation-induced plasticity effects. Acta Mater. 2013, 61, 6406–6417. [Google Scholar] [CrossRef]
- Fu, Y.; Gao, Y.; Jiang, W.; Xiao, W.; Zhao, X.; Ma, C. A Review of Deformation Mechanisms, Compositional Design, and Development of Titanium Alloys with Transformation-Induced Plasticity and Twinning-Induced Plasticity Effects. Metals 2024, 14, 97. [Google Scholar] [CrossRef]
- Ren, L.; Xiao, W.; Kent, D.; Wan, M.; Ma, C.; Zhou, L. Simultaneously enhanced strength and ductility in a metastable β-Ti alloy by stress-induced hierarchical twin structure. Scr. Mater. 2020, 184, 6–11. [Google Scholar] [CrossRef]
- Pang, E.L.; Pickering, E.J.; Baik, S.I.; Seidman, D.N.; Jones, N.G. The effect of zirconium on the omega phase in Ti-24Nb-[0–8]Zr (at.%) alloys. Acta Mater. 2018, 153, 62–70. [Google Scholar] [CrossRef]
- Jiang, J.; Zhao, Y.; Wang, X. Effects of Zr addition on the deformation behavior, microstructure and mechanical properties of dental Ti alloys. Mater. Sci. Eng. A 2020, 794, 139808. [Google Scholar] [CrossRef]
- Wang, Q.; Dong, C.; Liaw, P.K. Structural Stabilities of β-Ti Alloys Studied Using a New Mo Equivalent Derived from [β/(α + β)] Phase-Boundary Slopes. Metall. Mater. Trans. A 2015, 46, 3440–3447. [Google Scholar] [CrossRef]
- Karre, R.; Niranjan, M.K.; Dey, S.R. First principles theoretical investigations of low Young’s modulus beta Ti–Nb and Ti–Nb–Zr alloys compositions for biomedical applications. Mater. Sci. Eng. C 2015, 50, 52–58. [Google Scholar] [CrossRef]
- Qian, B.; Zhang, J.; Fu, Y.; Sun, F.; Wu, Y.; Cheng, J.; Vermaut, P.; Prima, F. In-situ microstructural investigations of the TRIP-to-TWIP evolution in Ti-Mo-Zr alloys as a function of Zr concentration. J. Mater. Sci. Technol. 2021, 65, 228–237. [Google Scholar] [CrossRef]
- Nunes, A.R.; Borborema, S.; Araújo, L.S.; Rodrigues, T.Z.; Malet, L.; Dille, J.; de Almeida, L.H. Influence of the Chemical Composition on the Phase Stability and Mechanical Properties of Biomedical Ti-Nb-Mo-Zr Alloys. Metals 2023, 13, 1889. [Google Scholar] [CrossRef]
- Kuroda, D.; Niinomi, M.; Morinaga, M.; Kato, Y.; Yashiro, T. Design and mechanical properties of new β type titanium alloys for implant materials. Mater. Sci. Eng. A 1998, 243, 244–249. [Google Scholar] [CrossRef]
- Qi, P.; Li, B.; Wang, T.; Zhou, L.; Nie, Z. Microstructure and properties of a novel ternary Ti–6Zr–xFe alloy for biomedical applications. J. Alloys Compd. 2021, 854, 157119. [Google Scholar] [CrossRef]
- Morinaga, M.; Yukawa, H. Alloy design with the aid of molecular orbital method. Bull. Mater. Sci. 1997, 20, 805–815. [Google Scholar] [CrossRef]
- Abdel-Hady, M.; Hinoshita, K.; Morinaga, M. General approach to phase stability and elastic properties of β-type Ti-alloys using electronic parameters. Scr. Mater. 2006, 55, 477–480. [Google Scholar] [CrossRef]
- You, L.; Song, X. A study of low Young′s modulus Ti–Nb–Zr alloys using d electrons alloy theory. Scr. Mater. 2012, 67, 57–60. [Google Scholar] [CrossRef]
- Hsu, H.-C.; Wong, K.-K.; Wu, S.-C.; Jheng, C.-Y.; Ho, W.-F. Structure and properties of metastable Ti–Nb–Sn–Mo alloys. MRS Commun. 2021, 11, 669–674. [Google Scholar] [CrossRef]
- Abdel-Hady, M.; Fuwa, H.; Hinoshita, K.; Kimura, H.; Shinzato, Y.; Morinaga, M. Phase stability change with Zr content in β-type Ti–Nb alloys. Scr. Mater. 2007, 57, 1000–1003. [Google Scholar] [CrossRef]
- Endoh, K.; Tahara, M.; Inamura, T.; Hosoda, H. Effect of Sn and Zr addition on the martensitic transformation behavior of Ti-Mo shape memory alloys. J. Alloys Compd. 2017, 695, 76–82. [Google Scholar] [CrossRef]
- Hao, Y.; Li, S.; Sun, S.; Yang, R. Effect of Zr and Sn on Young’s modulus and superelasticity of Ti–Nb-based alloys. Mater. Sci. Eng. A 2006, 441, 112–118. [Google Scholar] [CrossRef]
- Chai, Y.W.; Kim, H.Y.; Hosoda, H.; Miyazaki, S. Self-accommodation in Ti–Nb shape memory alloys. Acta Mater. 2009, 57, 4054–4064. [Google Scholar] [CrossRef]
- Gao, J.; Huang, Y.; Guan, D.; Knowles, A.J.; Ma, L.; Dye, D.; Rainforth, W.M. Deformation mechanisms in a metastable beta titanium twinning induced plasticity alloy with high yield strength and high strain hardening rate. Acta Mater. 2018, 152, 301–314. [Google Scholar] [CrossRef]
- Wu, J.; Zhang, J.; Zhang, X.; Sun, J. Reorientation induced plasticity in full αʺ martensite Ti-9V-1Fe-4Al alloy. Mater. Sci. Eng. A 2024, 910, 146870. [Google Scholar] [CrossRef]
- Lee, H.J.; Kim, J.H.; Park, C.H.; Hong, J.-K.; Yeom, J.-T.; Lee, T.; Lee, S.W. Twinning-induced plasticity mechanism of α″-martensitic titanium alloy. Acta Mater. 2023, 248, 118763. [Google Scholar] [CrossRef]
- Castany, P.; Yang, Y.; Bertrand, E.; Gloriant, T. Reversion of a Parent {130}⟨310⟩ α″ Martensitic Twinning System at the Origin of {332}⟨ 113⟩ β Twins Observed in Metastable β Titanium Alloys. Phys. Rev. Lett. 2016, 117, 245501. [Google Scholar] [CrossRef] [PubMed]
- Bertrand, E.; Castany, P.; Péron, I.; Gloriant, T. Twinning system selection in a metastable β-titanium alloy by Schmid factor analysis. Scr. Mater. 2011, 64, 1110–1113. [Google Scholar] [CrossRef]
- Dos Santos, R.F.M.; Kuroda, P.A.B.; Contieri, R.J.; Afonso, C.R.M. New correlation between elastic modulus and composition of multiprincipal ternary β Ti–Nb–Zr-based alloys. J. Mater. Res. 2025, 40, 548–559. [Google Scholar] [CrossRef]
- Thoemmes, A.; Bataev, I.A.; Lazurenko, D.V.; Ruktuev, A.A.; Ivanov, I.V.; Afonso, C.R.M.; Stark, A.; Jorge, A.M., Jr. Microstructure and lattice parameters of suction-cast Ti–Nb alloys in a wide range of Nb concentrations. Mater. Sci. Eng. A 2021, 818, 141378. [Google Scholar] [CrossRef]
- Kim, H.Y.; Miyazaki, S. Ni-Free Ti-Based Shape Memory Alloys; Elsevier: Amsterdam, The Netherlands, 2018. [Google Scholar]
- Li, S.; Kim, J.H.; Kang, S.W.; Kim, J.H.; Nam, T.-H.; Yeom, J.-T. Superelastic metastable Ti-Mo-Sn alloys with high elastic admissible strain for potential bio-implant applications. J. Mater. Sci. Technol. 2023, 163, 45–58. [Google Scholar] [CrossRef]
- Gao, Y.; Xiao, W.; Kent, D.; Wang, J.; Jiang, W.; Meng, F.; Peng, Z.; Fu, Y.; Ma, C. Manipulating TWIP/TRIP via oxygen-doping to synergistically enhance strength and ductility of metastable beta titanium alloys. J. Mater. Sci. Technol. 2025, 215, 58–70. [Google Scholar] [CrossRef]
- Lu, H.; Ji, P.; Li, B.; Ma, W.; Chen, B.; Zhang, X.; Zhang, X.; Ma, M.; Liu, R. Mechanical properties and deformation mechanism of a novel metastable β-type Ti–4V–2Mo–2Fe alloy. Mater. Sci. Eng. A 2022, 848, 143376. [Google Scholar] [CrossRef]
- Zhao, G.; Li, X.; Petrinic, N. Materials information and mechanical response of TRIP/TWIP Ti alloys. npj Comput. Mater. 2021, 7, 91. [Google Scholar] [CrossRef]
- Xu, Y.; Gao, J.; Huang, Y.; Rainforth, W.M. A low-cost metastable beta Ti alloy with high elastic admissible strain and enhanced ductility for orthopaedic application. J. Alloys Compd. 2020, 835, 155391. [Google Scholar] [CrossRef]
- Li, S.; Zhang, L.; Zhang, Y.; Yang, Q.; Liu, H.; Zhang, X. Coherent ω phase induced yield strength improvement in Ti-19Nb-1.5Mo-4Zr-8Sn alloy. Results Phys. 2020, 19, 103366. [Google Scholar] [CrossRef]
- Saood, M.; Ibrahim, K.M.; Al-Kashef, I.; Shoeib, M.; Mohamed, M.S. Effect of Heat Treatment on Microstructure, Mechanical and Corrosion Behavior of Ti-7Mo-8Nb Alloy for Biomedical Applications. J. Mater. Eng. Perform. 2024, 33, 12279–12296. [Google Scholar] [CrossRef]
- Liang, J.; Chen, X.; Xu, X. Influence of multi-axial compression on the microstructure evolution and properties of Ti-27Nb-2Mo-2Zr-2Sn. J. Mater. Sci. 2024, 59, 1068–1086. [Google Scholar] [CrossRef]
- Liu, J.; Zhang, X.; Yuan, Z. Structures and properties of biocompatible Ti-Zr-Nb-Fe-Mo medium entropy alloys. Mater. Today Commun. 2022, 32, 103808. [Google Scholar] [CrossRef]
- Guo, S.; Shi, Y.; Liu, G.; Wu, R.; Luo, R.; Peng, C.-T.; Meng, Q.; Cheng, X.; Zhao, X. Design and fabrication of a (β+α″) dual-phase Ti-Nb-Sn alloy with linear deformation behavior for biomedical applications. J. Alloys Compd. 2019, 805, 517–521. [Google Scholar] [CrossRef]
- Yang, C.; Yang, S.J.; Chen, L.Q.; Dong, H.K.; Duan, X.B.; Yu, C.Y.; Zhang, W.W.; Liu, L.H. Low modulus Ti-rich biocompatible TiNbZrTaHf concentrated alloys with exceptional plasticity. Mater. Res. Lett. 2023, 11, 604–612. [Google Scholar] [CrossRef]
- Kolobov, Y.R.; Golosova, O.A.; Manokhin, S.S. Regularities of Formation and Degradation of the Microstructure and Properties of New Ultrafine-Grained Low-Modulus Ti–Nb–Mo–Zr Alloys. Russ. J. Non-Ferr. Met. 2018, 59, 393–402. [Google Scholar] [CrossRef]
- Jiang, B.; Wang, Q.; Wen, D.; Xu, F.; Chen, G.; Dong, C.; Sun, L.; Liaw, P.K. Effects of Nb and Zr on structural stabilities of Ti-Mo-Sn-based alloys with low modulus. Mater. Sci. Eng. A 2017, 687, 1–7. [Google Scholar] [CrossRef]
- Bahl, S.; Das, S.; Suwas, S.; Chatterjee, K. Engineering the next-generation tin containing β titanium alloys with high strength and low modulus for orthopedic applications. J. Mech. Behav. Biomed. Mater. 2018, 78, 124–133. [Google Scholar] [CrossRef]











| Alloy (wt%) | ||
|---|---|---|
| Ti-25Nb-2Mo-0Zr | 2.838 | 2.438 |
| Ti-25Nb-2Mo-3Zr | 2.845 | 2.446 |
| Ti-25Nb-2Mo-9Zr | 2.858 | 2.465 |
| Ti-25Nb-2Mo-12Zr | 2.865 | 2.475 |
| β | α″ | |||||
|---|---|---|---|---|---|---|
| a | b | c | b/a | c/a | ||
| 0Zr | 3.2778 | 3.0820 | 5.0497 | 4.9047 | 1.6384 | 1.5914 |
| 3Zr | 3.2800 | 3.0858 | 5.0367 | 4.8820 | 1.6322 | 1.5821 |
| 9Zr | 3.2945 | 3.0998 | 5.0356 | 4.8740 | 1.6245 | 1.5724 |
| 12Zr | 3.3067 | |||||
| YS/MPa | UTS/MPa | E/GPa | EL/% | |
|---|---|---|---|---|
| 0Zr | 411.9 ± 11 | 539.2 ± 4.9 | 114.3 ± 2.5 | 35.2 ± 0.8 |
| 3Zr | 284.4 ± 9.1 | 521.3 ± 8.5 | 62.9 ± 1.9 | 37.7 ± 0.5 |
| 9Zr | 127.8 ± 11.8 | 551.5 ± 14.9 | 57.5 ± 2 | 41.8 ± 1.5 |
| 12Zr | 223.1 ± 10.5 | 523.8 ± 10.7 | 56.3 ± 1.5 | 48.2 ± 1.4 |
| Twining Type | Misorientation Angle | Rotation Axis | |
|---|---|---|---|
| Transformation twin | {111}α″-type Ι twin | 97° | [011] α″ |
| {211}α″-type ΙΙ twin | 83° | [011] α″ | |
| {011}α″-compound twin | 89° | [100] α″ | |
| Deformation twin | {110}<10>α″ twin | 62° | [001] α″ |
| {130}<10>α″ twin | 58° | [001] α″ |
Disclaimer/Publisher’s Note: The statements, opinions and data contained in all publications are solely those of the individual author(s) and contributor(s) and not of MDPI and/or the editor(s). MDPI and/or the editor(s) disclaim responsibility for any injury to people or property resulting from any ideas, methods, instructions or products referred to in the content. |
© 2026 by the authors. Licensee MDPI, Basel, Switzerland. This article is an open access article distributed under the terms and conditions of the Creative Commons Attribution (CC BY) license.
Share and Cite
Yang, S.; Jia, Z.; Song, X.; He, J.; Zhang, X. Development of Ti-Nb-Mo-Zr Alloys with Low Modulus and Excellent Plasticity for Biomedical Applications. Materials 2026, 19, 325. https://doi.org/10.3390/ma19020325
Yang S, Jia Z, Song X, He J, Zhang X. Development of Ti-Nb-Mo-Zr Alloys with Low Modulus and Excellent Plasticity for Biomedical Applications. Materials. 2026; 19(2):325. https://doi.org/10.3390/ma19020325
Chicago/Turabian StyleYang, Sen, Zhiyuan Jia, Xueyan Song, Junyang He, and Xiaoyong Zhang. 2026. "Development of Ti-Nb-Mo-Zr Alloys with Low Modulus and Excellent Plasticity for Biomedical Applications" Materials 19, no. 2: 325. https://doi.org/10.3390/ma19020325
APA StyleYang, S., Jia, Z., Song, X., He, J., & Zhang, X. (2026). Development of Ti-Nb-Mo-Zr Alloys with Low Modulus and Excellent Plasticity for Biomedical Applications. Materials, 19(2), 325. https://doi.org/10.3390/ma19020325

