As-Casting Structure and Homogenization Behavior of Ta-Containing GH4151 Ni-Based Superalloy
Abstract
1. Introduction
2. Experimental
3. Results and Discussion
3.1. As-Cast Microstructure and Element Segregation
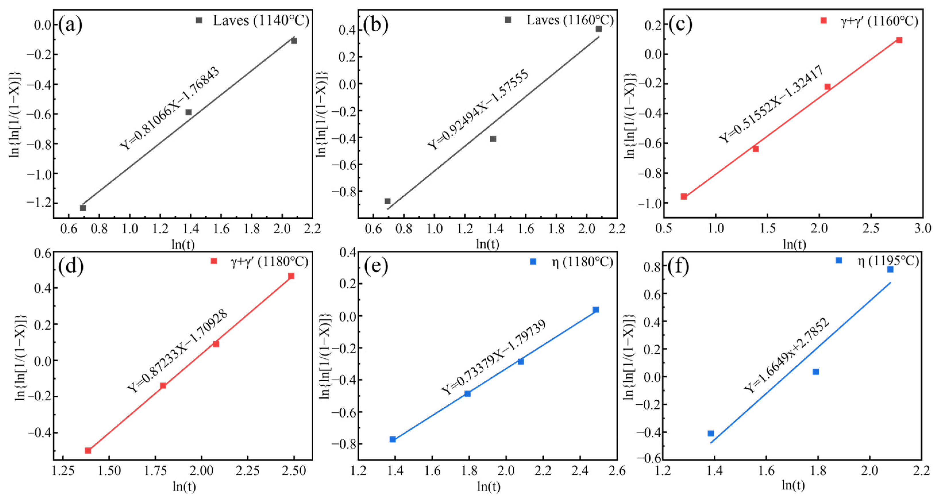
3.2. Effect of Homogenization on Microstructure Evolution
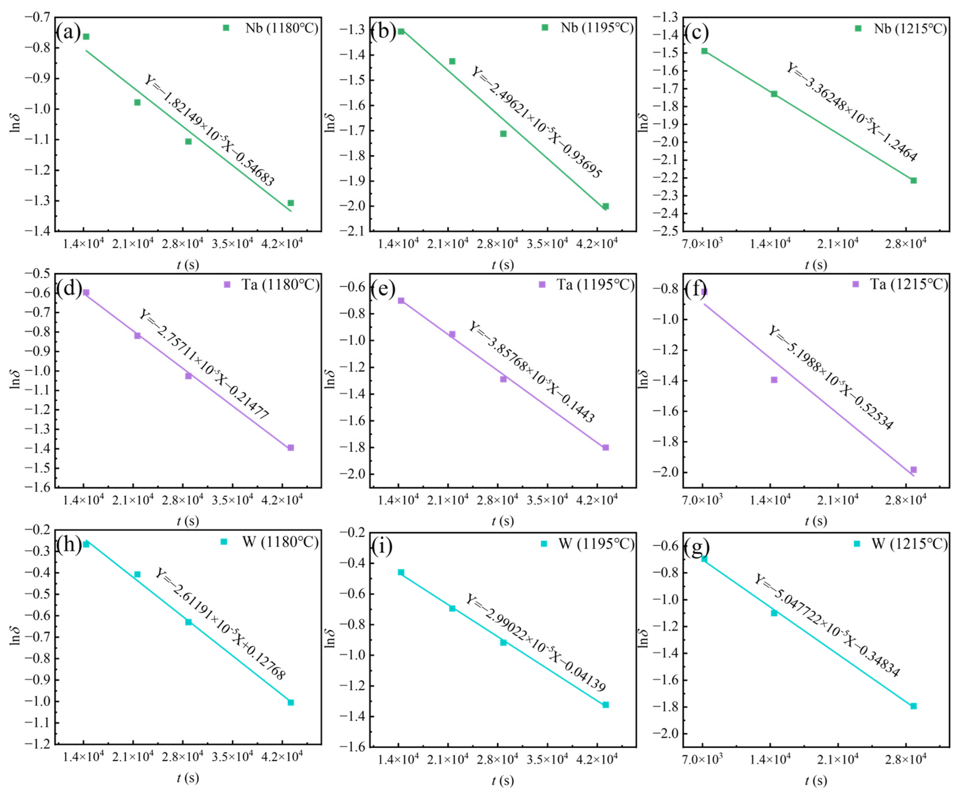
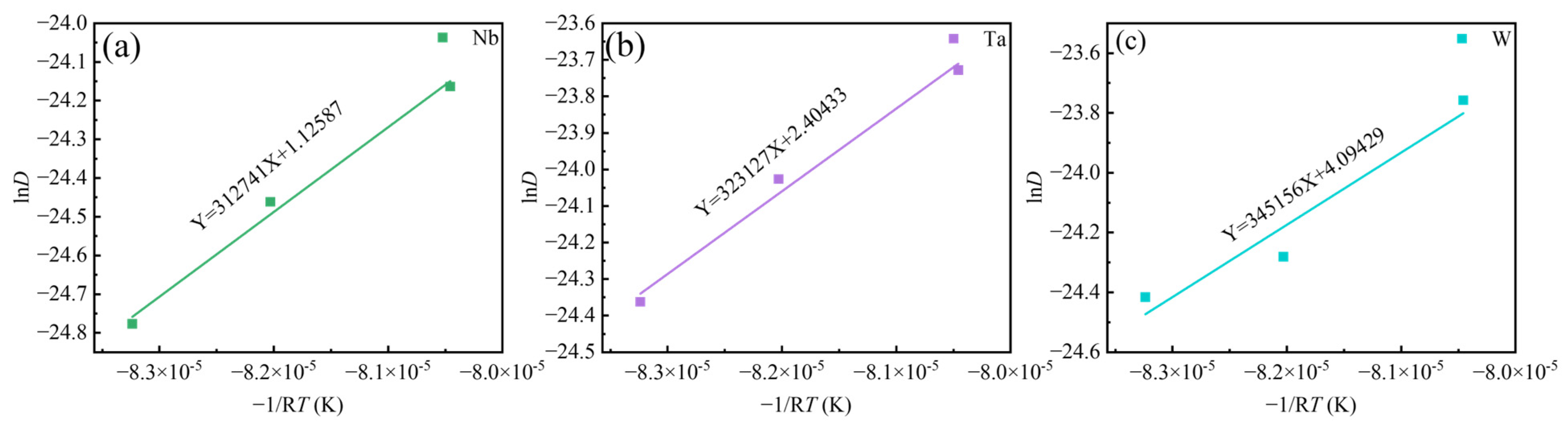
3.3. Effect of Homogenization on Element Segregation
3.4. Hot Compression Behavior of Homogenized Ta-GH4151 Alloy
4. Discussion
5. Conclusions
Author Contributions
Funding
Institutional Review Board Statement
Informed Consent Statement
Data Availability Statement
Conflicts of Interest
References
- Chen, Y.; Lv, S.-M.; Xie, X.-F.; Wen, X.-C.; Qu, J.-L.; Du, J.-H. Solidification behaviour and hot cracking susceptibility of a novel Ni-based superalloy. Iron Steel Res. Int. 2024, 31, 956–966. [Google Scholar] [CrossRef]
- Belan, J.; Kuchariková, L.; Tillová, E.; Matvija, M.; Uhríčik, M. The Hardness Evolution of Cast and the High-Cycle Fatigue Life Change of Wrought Ni-Base Superalloys after Additional Heat Treatment. Materials 2021, 14, 7427. [Google Scholar] [CrossRef] [PubMed]
- Chen, M.-S.; Cai, H.-W.; Lin, Y.-C.; Wang, G.-Q.; Li, H.-B.; Liu, A.; Li, Z.-H.; Peng, S. Investigation on Mechanism of Microstructure Evolution during Multi-Process Hot Forming of GH4169 Superalloy Forging. Materials 2024, 17, 1697. [Google Scholar] [CrossRef] [PubMed]
- Zhang, Y.-W.; Liu, J.-T.; Jia, J.; Liu, M.-D.; Li, X.-K. Recent development of fourth generation powder metallurgy superalloys in America and Europe. Powd. Metal. Ind. 2022, 32, 1–14. [Google Scholar]
- Zhang, H.-P.; Bai, J.-M.; Li, X.-K.; Li, X.-Y.; Jia, J.; Liu, J.-T.; Zhang, Y.W. Effect of Hf and Ta on the tensile properties of PM Ni-based superalloys. J. Alloy. Compd. 2023, 932, 167653. [Google Scholar] [CrossRef]
- Qu, S.; Li, Y.; Tong, M.; Wang, C.; Yang, Y. Effects of 1 at.% Ta substitution for 1 at.% W on the coarsening kinetics and deformation behavior of γʹ-strengthened CoNi-base superalloys. Mater. Sci. Eng. A 2021, 823, 141776. [Google Scholar]
- Zhang, H.-P.; Bai, J.-M.; Li, X.-K.; Li, X.-Y.; Jia, J.; Liu, J.-T.; Zhang, Y.-W. Effect of hafnium and tantalum on the microstructure of PM Ni-based superalloys. J. Alloy. Compd. 2022, 57, 6803–6818. [Google Scholar]
- Gai, Y.-C.; Zhang, R.; Zhou, Z.-J.; Lyu, S.-M.; Cui, C.-Y.; Qu, J.-L. Study on Solidification Segregation Behavior and Homogenization Heat Treatment of GH4151 Alloy. Rare. Metal. Mat. Eng. 2024, 53, 159–168. [Google Scholar]
- Li, X.-X.; Jia, C.-L.; Zhang, Y.; Lyu, S.-M.; Jiang, Z.-H. Incipient melting phase and its dissolution kinetics for a new superalloy. Trans. Nonferrous Met. Soc. China 2020, 30, 2107–2118. [Google Scholar] [CrossRef]
- Jia, L.; Cui, H.; Yang, S.; Lyu, S.-M.; Xie, X.-F.; Qu, J.-L. As-cast microstructure and homogenization kinetics of a typical hard-to-deform Ni-base superalloy. J. Mater. Res. Technol. 2023, 23, 5368–5381. [Google Scholar]
- Tan, Y.-G.; Liu, F.; Zhang, A.-W.; Han, D.-W.; Yao, X.-Y.; Zhang, W.-W.; Sun, W.-R. Element Segregation and Solidification Behavior of a Nb, Ti, Al Co-Strengthened Superalloy ЭK151. Acta. Metall. Sin. 2019, 32, 1298–1308. [Google Scholar] [CrossRef]
- Li, X.-X.; Jia, C.-L.; Zhang, Y.; Lyu, S.-M.; Jiang, Z.-H. Segregation and homogenization for a new nickel-based superalloy. Vacuum 2020, 177, 109379. [Google Scholar]
- Zhang, J. Effect of Ti and Ta on hot cracking susceptibility of directionally solidified Ni-based superalloy IN792. Scr. Mater. 2003, 48, 677–681. [Google Scholar] [CrossRef]
- Reed, R.-C.; Tao, T.; Warnken, N. Alloys-By-Design: Application to nickel-based single crystal superalloys. Acta Mater. 2009, 57, 5898–5913. [Google Scholar] [CrossRef]
- Kearsey, R.-M.; Beddoes, J.-C.; Jones, P.; Au, P. Compositional design considerations for microsegregation in single crystal superalloy systems. Intermetallics 2004, 12, 903–910. [Google Scholar] [CrossRef]
- Song, W.; Wang, X.; Li, J.; Meng, J.; Yang, Y.; Liu, J.; Zhou, Y.; Sun, X. Influence of Ta/Al ratio on the microstructure and creep property of a Ru-containing Ni-based single-crystal superalloy. J. Mater. Sci. Technol. 2021, 89, 16–23. [Google Scholar] [CrossRef]
- Peng, P.; Lu, L.; Liu, Z.; Xu, Y.; Zhang, X.; Ma, Z.; Zhang, H.; Guo, M.; Liu, L. Investigation on influence of Ta on microstructure evolution of directionally solidified Ni-based superalloys. J. Alloy. Compd. 2022, 927, 167009. [Google Scholar] [CrossRef]
- Gao, S.; Hou, J.; Yang, F.; Guo, Y.; Wang, C.; Zhou, L. Effects of tantalum on microstructure and mechanical properties of cast IN617 alloy. Mater. Sci. Eng. A 2017, 706, 153–160. [Google Scholar] [CrossRef]
- Lypchanskyi, O.; Sleboda, T.; Zyguła, K.; Łukaszek, A.; Wojtaszek, M. Evaluation of Hot Workability of Nickel-Based Superalloy Using Activation Energy Map and Processing Maps. Materials 2020, 13, 3629. [Google Scholar] [CrossRef]
- Jia, L.; Cui, H.; Yang, S.; Lv, S.; Xie, X.; Qu, J. Hot deformation behavior and flow stress modeling of coarse-grain nickel-base GH4151 superalloy ingot materials in cogging. J. Mater. Res. Technol. 2023, 26, 6625–6671. [Google Scholar] [CrossRef]
- Li, Y.; Dong, Y.; Jiang, Z.; Yao, K.; Du, S.; Liu, Y.; Hou, Z. Study on microsegregation and homogenization process of a novel nickel-based wrought superalloy. J. Mater. Res. Technol. 2022, 19, 3366–3379. [Google Scholar]
- Shi, X.; Duan, S.; Yang, W.; Guo, H.; Guo, J. Solidification and Segregation Behaviors of Superalloy IN718 at a Slow Cooling Rate. Materials 2018, 12, 2398. [Google Scholar]
- Sohrabi, M.-J.; Mirzadeh, H.; Rafiei, M. Solidification behavior and Laves phase dissolution during homogenization heat treatment of Inconel 718 superalloy. Vacuum 2018, 154, 235–243. [Google Scholar]
- Wang, Y.; Tan, Y.; Li, X.; Zhao, J.; You, X. Microsegregation and homogenization behavior of a Ni-Co based refractory superalloy for turbine discs. Mater. Charact. 2023, 196, 112598. [Google Scholar]
- Chang, L.; Jin, H.; Sun, W. Solidification behavior of Ni-base superalloy Udimet 720Li. J. Alloy. Compd. 2015, 653, 266–270. [Google Scholar]
- Zheng, L.; Zhang, G.; Lee, T.-L.; Gorley, M.-J.; Wang, Y.; Xiao, C.; Li, Z. The effects of Ta on the stress rupture properties and microstructural stability of a novel Ni-base superalloy for land-based high temperature applications. Mater. Des. 2014, 61, 61–69. [Google Scholar]
- Zhu, C.-Z.; Zhang, R.; Cui, C.-Y.; Zhou, Y.-Z.; Liang, F.-G.; Liu, X.; Sun, X.-F. Influence of Ta content on microstructure and creep behavior of a Ni–Co base disc superalloy. Mater. Sci. Eng. A 2021, 802, 140646. [Google Scholar] [CrossRef]
- Zhao, G.; Zang, X.; Jing, Y.; Lü, N.; Wu, J. Role of carbides on hot deformation behavior and dynamic recrystallization of hard-deformed superalloy U720Li. Mater. Sci. Eng. A 2021, 815, 141293. [Google Scholar]
- Li, H.-Y.; Dong, J.-X.; Li, L.-H. Evolution of microstructure and hot deformation behavior of GH4738 alloy during homogenization. Trans. Mater. Heat Treat. 2017, 38, 61–69. [Google Scholar]
- Sponseller, D.-L. Differential Thermal Analysis of Nickel-Base Superalloys. Superalloys 1996, 4683, 259–270. [Google Scholar]
- Mirzadeh, H.; Najafizadeh, A. Aging kinetics of 17-4 PH stainless steel. Mater. Chem. Phys. 2009, 116, 119–124. [Google Scholar] [CrossRef]
- Naghizadeh, M.; Mirzadeh, H. Modeling the kinetics of deformation-induced martensitic transformation in AISI 316 metastable austenitic stainless steel. Vacuum 2018, 157, 243–248. [Google Scholar] [CrossRef]
- Mirzadeh, H.; Cabrera, J.-M.; Najafizadeh, A.; Calvillo, P.-R. EBSD study of a hot deformed austenitic stainless steel. Mater. Sci. Eng. A 2012, 538, 236–245. [Google Scholar] [CrossRef]
- Pan, X.-L.; Yu, H.-Y.; Tu, G.-F.; Sun, W.-R.; Hu, Z.-Q. Segregation and diffusion behavior of niobium in a highly alloyed nickel-base superalloy. Trans. Nonferrous Met. Soc. China 2011, 21, 2402–2407. [Google Scholar] [CrossRef]
- Semiatin, S.-L.; Kramb, R.-C.; Turner, R.-E.; Zhang, F.; Antony, M.M. Analysis of the homogenization of a nickel-base superalloy. Scripta Mater. 2004, 51, 491–495. [Google Scholar] [CrossRef]
- Pérez, R.-A.; Dyment, F.; García Bermúdez, G.; Abriola, D.; Behar, M. Diffusion of Ta in α-Ti. Appl. Phys. A-Mater. 2003, 76, 247–250. [Google Scholar] [CrossRef]
- Chen, J.; Xiao, J.; Zhang, L.; Du, Y. Interdiffusion in fcc Ni-X(X=Rh, Ta, W, Re and Ir) alloys. J. Alloy. Compd. 2016, 657, 457–463. [Google Scholar] [CrossRef]
- Patil, R.-V.; Kale, G.-B. Chemical diffusion of niobium in nickel. J. Nucl. Mater. 1996, 230, 57–60. [Google Scholar] [CrossRef]
- Qu, J.-L.; Xie, X.-F.; Bi, Z.-N.; Du, J.-H.; Zhang, M.-C. Hot deformation characteristics and dynamic recrystallization mechanism of GH4730 Ni-based superalloy. J. Alloy. Compd. 2019, 785, 918–924. [Google Scholar] [CrossRef]
- Spigarelli, S. Study of hot workability of a heat treated AA6082. Scripta Mater. 2003, 49, 179–183. [Google Scholar] [CrossRef]
- Ezatpour, H.-R.; Chaichi, A.; Sajjadi, S.-A. The effect of Al2O3-nanoparticles as the reinforcement additive on the hot deformation behavior of 7075 aluminum alloy. Mater. Des. 2015, 88, 1049–1056. [Google Scholar] [CrossRef]
- Lyu, S.-M.; Jia, C.-L.; He, X.-B.; Wan, Z.-P.; Li, Y.; Qu, X.H. Hot Deformation Characteristics and Dynamic Recrystallization Mechanisms of a Novel Nickel-Based Superalloy. Adv. Eng. Mater. 2020, 22, 108626. [Google Scholar]
- Wan, Z.; Hu, L.; Sun, Y.; Wang, T.; Li, Z. Hot deformation behavior and processing workability of a Ni-based alloy. J. Alloy. Compd. 2018, 769, 367–375. [Google Scholar] [CrossRef]
- Prasad, Y.-V.; Gegel, H.-L.; Doraivelu, S.-M.; Malas, J.-C.; Morgan, J.-T.; Lark, K.-A.; Barker, D.-R. Modeling of Dynamic Material Behavior in Hot Deformation: Forging of Ti-6242. Metall. Trans. A 1984, 15, 1883–1892. [Google Scholar]
- Kim, Y.; Song, Y.-B.; Lee, S.-H.; Kwon, Y.-S. Characterization of the hot deformation behavior and microstructural evolution of Tie6Ale4V sintered preforms using materials modeling techniques. J. Alloy. Compd. 2016, 676, 15–25. [Google Scholar] [CrossRef]
- Yan, Z.; Hu, J.; Sun, S. Experimental Investigations and Constitutive of the Dynamic Recrystallization Behavior of a Novel GH4720Li Superalloys with Yttrium Micro-Alloying. Materials 2024, 17, 3840. [Google Scholar] [CrossRef]
- Heng, Y.-B. Study of Thermal Deformation Behavior and Dynamic Recrystallization Mechanism of as-Cast GH4151 Alloy; Lanzhou University of Technology: Lanzhou, China, 2023. [Google Scholar]

















| Alloy | C | Co | Cr | Mo | W | Al | Ti | Nb | Ta | Ni |
|---|---|---|---|---|---|---|---|---|---|---|
| Ta-GH4151 | 0.04 | 15.0 | 11.0 | 4.5 | 3.0 | 3.0 | 2.5 | 33.0 | 3.0 | Bal. |
| Temperature/°C | Heating Rate/(°C/s) | Holding Time/s | Deformation Rate/s−1 | Strain/% |
|---|---|---|---|---|
| 1130, 1150, 1170 | 5 | 600 | 0.01, 0.1, 1 | 50 |
| W | Mo | Co | Cr | Al | Ti | Nb | Ta | Ni | C | |
|---|---|---|---|---|---|---|---|---|---|---|
| γ + γ′ | 1.6 ± 0.6 | 0.5 ± 0.5 | 11.5 ± 0.6 | 3.6 ± 0.3 | 4.8 ± 0.2 | 6.0 ± 0.3 | 3.5 ± 0.5 | 5.5 ± 0.6 | 59.3 ± 1.1 | 3.6 ± 0.7 |
| η | 2.3 ± 0.7 | 1.5 ± 0.6 | 12.4 ± 0.7 | 3.3 ± 0.3 | 2.9 ± 0.2 | 4.7 ± 0.3 | 7.5 ± 0.6 | 6.5 ± 0.6 | 54.0 ± 1.2 | 2.7 ± 0.8 |
| Laves | 5.2 ± 0.6 | 15.5 ± 0.9 | 16.6 ± 0.7 | 16.1 ± 0.6 | 0.6 ± 0.1 | 1.4 ± 0.2 | 16.0 ± 0.8 | 5.8 ± 0.6 | 19.5 ± 0.8 | 3.3 ± 0.9 |
| MC | 4.0 ± 0.8 | 1.0 ± 0.5 | 1.3 ± 0.4 | 0.5 ± 0.3 | 0 | 13.2 ± 0.5 | 34.9 ± 1.0 | 30.3 ± 0.9 | 3.0 ± 0.6 | 12.0 ± 1.1 |
| Nb | W | Ta | |||||||
|---|---|---|---|---|---|---|---|---|---|
| δ | δ | δ | |||||||
| As cast | 1.4 | 8.0 | 1.000 | 1.7 | 4.7 | 1.000 | 1.6 | 5.2 | 1.000 |
| 1180 °C/4 h | 1.6 | 4.7 | 0.466 | 2.2 | 4.5 | 0.756 | 1.6 | 3.6 | 0.551 |
| 1180 °C/6 h | 2.1 | 4.6 | 0.376 | 2.4 | 4.4 | 0.665 | 2.0 | 3.6 | 0.441 |
| 1180 °C/8 h | 2.2 | 4.4 | 0.331 | 2.7 | 4.3 | 0.532 | 2.2 | 3.5 | 0.358 |
| 1180 °C/12 h | 2.2 | 4.0 | 0.271 | 2.8 | 3.8 | 0.366 | 2.4 | 3.3 | 0.250 |
| 1195 °C/4 h | 1.9 | 3.7 | 0.271 | 2.6 | 4.5 | 0.632 | 1.7 | 3.5 | 0.496 |
| 1195 °C/6 h | 2.1 | 3.7 | 0.241 | 2.6 | 4.1 | 0.499 | 2.0 | 3.4 | 0.386 |
| 1195 °C/8 h | 2.2 | 3.4 | 0.180 | 2.8 | 4.0 | 0.399 | 2.2 | 3.2 | 0.275 |
| 1195 °C/12 h | 2.2 | 3.1 | 0.135 | 3.0 | 3.8 | 0.266 | 2.4 | 3.0 | 0.165 |
| 1215 °C/2 h | 2.1 | 3.6 | 0.226 | 2.7 | 4.2 | 0.499 | 2.0 | 3.6 | 0.441 |
| 1215 °C/4 h | 2.1 | 3.4 | 0.177 | 2.9 | 3.9 | 0.333 | 2.4 | 3.3 | 0.248 |
| 1215 °C/8 h | 2.3 | 3.1 | 0.109 | 3.1 | 3.6 | 0.166 | 2.6 | 3.1 | 0.138 |
Disclaimer/Publisher’s Note: The statements, opinions and data contained in all publications are solely those of the individual author(s) and contributor(s) and not of MDPI and/or the editor(s). MDPI and/or the editor(s) disclaim responsibility for any injury to people or property resulting from any ideas, methods, instructions or products referred to in the content. |
© 2025 by the authors. Licensee MDPI, Basel, Switzerland. This article is an open access article distributed under the terms and conditions of the Creative Commons Attribution (CC BY) license (https://creativecommons.org/licenses/by/4.0/).
Share and Cite
Cui, T.; Xie, X.; Yu, W.; Qu, J.; Lyu, S.; Du, J. As-Casting Structure and Homogenization Behavior of Ta-Containing GH4151 Ni-Based Superalloy. Materials 2025, 18, 1742. https://doi.org/10.3390/ma18081742
Cui T, Xie X, Yu W, Qu J, Lyu S, Du J. As-Casting Structure and Homogenization Behavior of Ta-Containing GH4151 Ni-Based Superalloy. Materials. 2025; 18(8):1742. https://doi.org/10.3390/ma18081742
Chicago/Turabian StyleCui, Tianliang, Xingfei Xie, Wugang Yu, Jinglong Qu, Shaomin Lyu, and Jinhui Du. 2025. "As-Casting Structure and Homogenization Behavior of Ta-Containing GH4151 Ni-Based Superalloy" Materials 18, no. 8: 1742. https://doi.org/10.3390/ma18081742
APA StyleCui, T., Xie, X., Yu, W., Qu, J., Lyu, S., & Du, J. (2025). As-Casting Structure and Homogenization Behavior of Ta-Containing GH4151 Ni-Based Superalloy. Materials, 18(8), 1742. https://doi.org/10.3390/ma18081742

