Nanostructure-Integrated Electrode Based on Ni/NiO Coaxial Bilayer Nanotube Array with Large Specific Capacitance for Miniaturized Applications
Abstract
1. Introduction
2. Materials and Methods
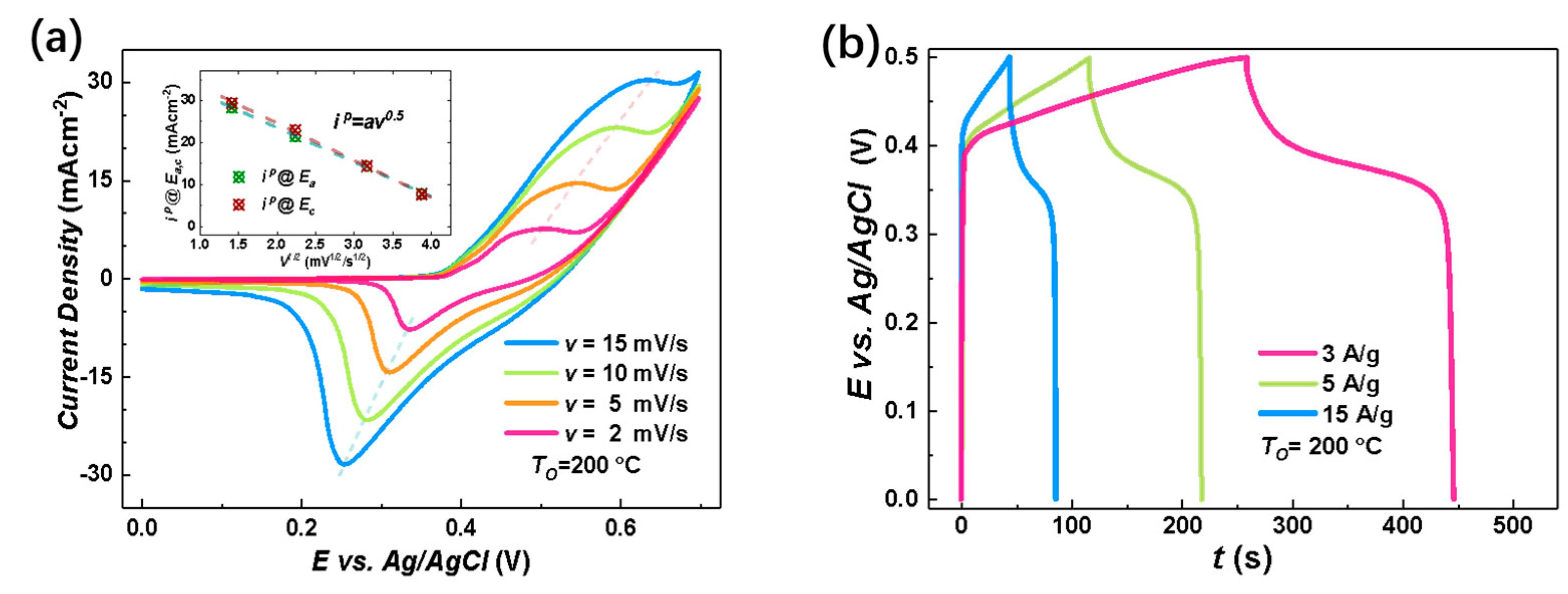
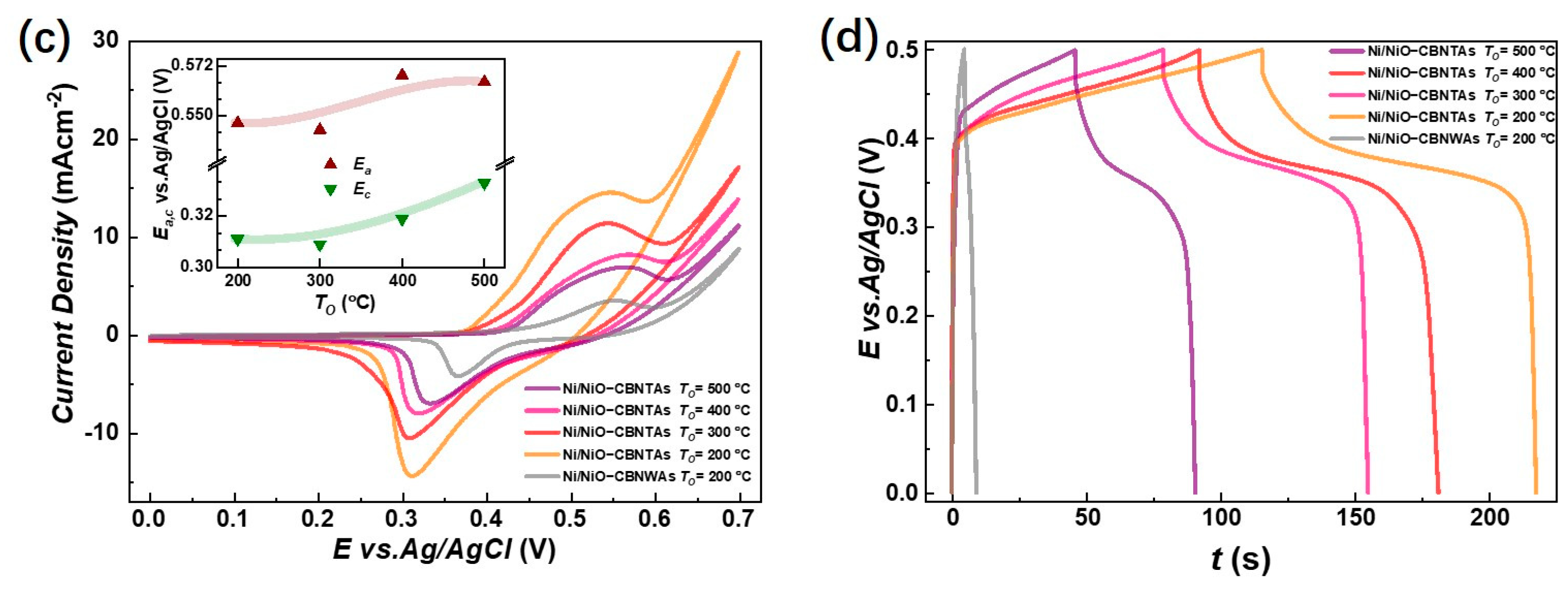
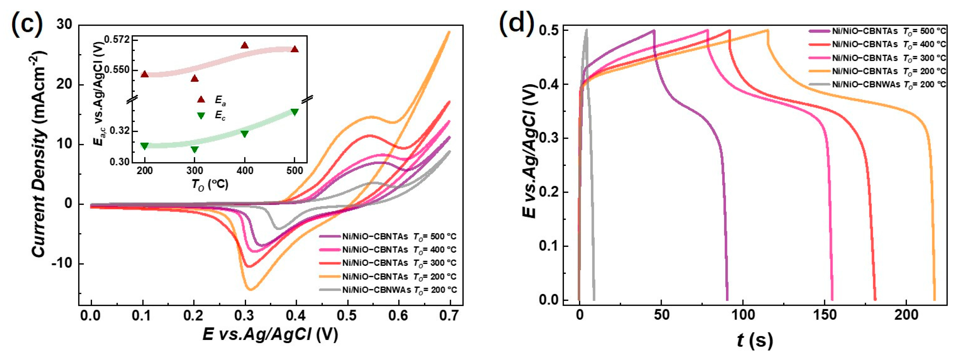
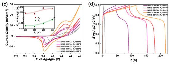
3. Results and Discussion
4. Conclusions
Supplementary Materials
Author Contributions
Funding
Institutional Review Board Statement
Informed Consent Statement
Data Availability Statement
Conflicts of Interest
Abbreviations
| SC | Supercapacitors |
| IoT | Internet of Things |
| MSC | Micro-supercapacitor |
| CBNTA | Coaxial Bilayer Nanotube Array |
| TM | Transition Metal |
| TMO | Transition Metal Oxide |
| AAO | Anodic Aluminum Oxide |
| GCD | Galvanostatic Charge/Discharge |
| 1P-TO | First-Order Transverse Optical |
| 1P-LO | First-Order Longitudinal Optical |
| EDL | Electric Double Layer |
| CBNWA | Coaxial Bilayer Nanowire array |
| CV | Cyclic Voltammetry |
| EIS | Electrochemical Impedance Spectroscopy |
References
- Winter, M.; Brodd, R.J. What are batteries, fuel cells, and supercapacitors? Chem. Rev. 2004, 104, 4245–4269. [Google Scholar] [CrossRef]
- Simon, P.; Gogotsi, Y. Perspectives for electrochemical capacitors and related devices. Nat. Mater. 2020, 19, 1151–1163. [Google Scholar] [CrossRef] [PubMed]
- Simon, P.; Gogotsi, Y. Materials for electrochemical capacitors. Nat. Mater. 2008, 7, 845–854. [Google Scholar] [CrossRef] [PubMed]
- Wang, G.P.; Zhang, L.; Zhang, J.J. A review of electrode materials for electrochemical supercapacitors. Chem. Soc. Rev. 2012, 41, 797–828. [Google Scholar] [CrossRef]
- Huang, P.; Lethien, C.; Pinaud, S.; Brousse, K.; Laloo, R.; Turq, V.; Respaud, M.; Demortiere, A.; Daffos, B.; Taberna, P.L.; et al. On-chip and freestanding elastic carbon films for micro-supercapacitors. Science 2016, 351, 691–695. [Google Scholar] [CrossRef]
- Kyeremateng, N.A.; Brousse, T.; Pech, D. Microsupercapacitors as miniaturized energy-storage components for on-chip electronics. Nat. Nanotechnol. 2017, 12, 7–15. [Google Scholar] [CrossRef]
- Qi, D.P.; Liu, Y.; Liu, Z.Y.; Zhang, L.; Chen, X.D. Design of Architectures and Materials in In-Plane Micro-supercapacitors: Current Status and Future Challenges. Adv. Mater. 2017, 29, 19. [Google Scholar] [CrossRef] [PubMed]
- Zhang, J.H.; Zhang, G.X.; Zhou, T.; Sun, S.H. Recent Developments of Planar Micro-Supercapacitors: Fabrication, Properties, and Applications. Adv. Funct. Mater. 2020, 30, 21. [Google Scholar] [CrossRef]
- Jayakumar, S.; Santhosh, P.C.; Mohideen, M.M.; Radhamani, A.V. A Comprehensive Review of Metal oxides (RuO2, CO3O4, MnO2 and NiO) for Supercapacitor Applications and Global Market Trends. J. Alloys Compd. 2024, 976, 173170. [Google Scholar] [CrossRef]
- Wang, Y. Nanowire Materials for Supercapacitor Electrode: Preparation, Performance and Prospects. J. Energy Storage 2024, 97, 112848. [Google Scholar] [CrossRef]
- Zhao, J.S.; Tian, Y.; Liu, A.F.; Song, L.; Zhao, Z.S. The NiO Electrode Materials in Electrochemical capacitor: A review. Mater. Sci. Semicond. Process. 2019, 96, 78–90. [Google Scholar] [CrossRef]
- Chime, U.K.; Nkele, A.C.; Ezugwu, S.; Nwanya, A.C.; Shinde, N.M.; Kebede, M.; Ejikeme, P.M.; Maaza, M.; Ezema, F.I. Recent Progress in Nickel Oxide-Based Electrodes for High-Performance Supercapacitors. Curr. Opin. Electrochem. 2019, 21, 175–181. [Google Scholar] [CrossRef]
- Hu, Y.T.; Wu, Y.; Wang, J. Manganese-Oxide-Based Electrode Materials for Energy Storage Applications: How Close Are We to the Theoretical Capacitance? Adv. Mater. 2018, 30, 1802569. [Google Scholar] [CrossRef]
- Sakib, M.N.; Ahmed, S.; Rahat, S.M.S.M.; Shuchi, S.B.A. Review of Recent Advances in Manganese-Based Supercapacitors. J. Energy Storge. 2021, 44, 103322. [Google Scholar] [CrossRef]
- Pan, L.; Wang, D.; Wang, J.B.; Chu, Y.; Li, X.S.; Wang, W.C.; Mitsuzaki, N.; Jia, S.Y.; Chen, Z.D. Morphological Control and Performance Engineering of Co-Based Materials for Supercapacitors. Phys. Chem. Chem. Phys. 2024, 26, 9096–9111. [Google Scholar] [CrossRef]
- Wang, X.L.; Hu, A.Y.; Meng, C.; Wu, C.; Yang, S.B.; Hong, X.D. Recent Advance in Co3O4 and Co3O4-Containing Electrode Materials for High-Performance Supercapacitors. Molecules 2020, 25, 269. [Google Scholar] [CrossRef] [PubMed]
- Majumdar, D.; Maiyalagan, T.; Jiang, Z.Q. Recent Progress in Ruthenium Oxide-Based Composites for Supercapacitor Applications. ChemElectroChem 2019, 6, 4343–4372. [Google Scholar] [CrossRef]
- Patowary, B.B.; Brahma, D.; Mondal, A. Study of RuO2- and MnO2-Based Electrode Materials and Their Performance Review in Conjunction with PANi for Supercapacitor Applications. Ionics 2025, 31, 67–115. [Google Scholar] [CrossRef]
- Han, X.F.; Shamaila, S.; Sharif, R.; Chen, J.Y.; Liu, H.R.; Liu, D.P. Structural and Magnetic Properties of Various Ferromagnetic Nanotubes. Adv. Mater. 2009, 21, 4619–4624. [Google Scholar] [CrossRef]
- Yu, T.; Zhang, Z.W.; Xu, Y.H.; Liu, Y.; Li, W.J.; Nie, Y.; Zhang, X.; Xiang, G. Exchange Bias Coupling in NiO/Ni Bilayer Tubular Nanostructures Synthetized by Electrodeposition and Thermal Oxidation. J. Magn. Magn. Mater. 2017, 429, 74–78. [Google Scholar] [CrossRef]
- Wang, H.W.; Yi, H.; Chen, X.; Wang, X.F. Facile synthesis of a nano-structured nickel oxide electrode with outstanding pseudocapacitive properties. Electrochim. Acta 2013, 105, 353–361. [Google Scholar] [CrossRef]
- Wang, J.X.; Zhao, J.W.; Qin, L.R.; Zhao, B.L.; Jiang, Z.Y. Synthesis of ordered Ni/NiO nanocables for electrochemical capacitor application. J. Nanopart. Res. 2018, 20, 8. [Google Scholar] [CrossRef]
- Ferrari, A.C.; Meyer, J.C.; Scardaci, V.; Casiraghi, C.; Lazzeri, M.; Mauri, F.; Piscanec, S.; Jiang, D.; Novoselov, K.S.; Roth, S.; et al. Raman spectrum of graphene and graphene layers. Phys. Rev. Lett. 2006, 97, 4. [Google Scholar] [CrossRef] [PubMed]
- Yao, M.M.; Hu, Z.H.; Xu, Z.J.; Liu, Y.F.; Liu, P.P.; Zhang, Q. Template synthesis and characterization of nanostructured hierarchical mesoporous ribbon-like NiO as high performance electrode material for supercapacitor. Electrochim. Acta 2015, 158, 96–104. [Google Scholar] [CrossRef]
- Jiang, Y.; Chen, D.D.; Song, J.S.; Jiao, Z.; Ma, Q.L.; Zhang, H.J.; Cheng, L.L.; Zhao, B.; Chu, Y.L. A facile hydrothermal synthesis of graphene porous NiO nanocomposite and its application in electrochemical capacitors. Electrochim. Acta 2013, 91, 173–178. [Google Scholar] [CrossRef]
- Lo, C.C.; Huang, C.C.; Liu, C.M.; Chen, C.; Kuo, C.Y.; Lin, H.J.; Tseng, Y.C. Magnetic properties of electroless-deposited Ni and Ni-NiO core-shell nano-arrays. J. Magn. Magn. Mater. 2011, 323, 1950–1953. [Google Scholar] [CrossRef]
- Zhang, W.; Krishnan, K.M. Epitaxial exchange-bias systems: From fundamentals to future spin-orbitronics. Mater. Sci. Eng. R Rep. 2016, 105, 1–20. [Google Scholar] [CrossRef]
- Anjali, P.; Sonia, T.S.; Shakir, I.; Nair, S.V.; Balakrishnan, A. On the synthesis and electrochemical characterization of ordered hierarchical NiO micro bouquets with trimodal pore size distribution. J. Alloys Compd. 2015, 618, 396–402. [Google Scholar] [CrossRef]
- Senthilkumar, V.; Kadumudi, F.B.; Ho, N.T.; Kim, J.W.; Park, S.; Bae, J.S.; Choi, W.M.; Cho, S.; Kim, Y.S. NiO nanoarrays of a few atoms thickness on 3D nickel network for enhanced pseudocapacitive electrode applications. J. Power Sources 2016, 303, 363–371. [Google Scholar] [CrossRef]
- Paravannoor, A.; Ranjusha, R.; Asha, A.M.; Vani, R.; Kalluri, S.; Subramanian, K.R.V.; Sivakumar, N.; Kim, T.N.; Nair, S.V.; Balakrishnan, A. Chemical and structural stability of porous thin film NiO nanowire based electrodes for supercapacitors. Chem. Eng. J. 2013, 220, 360–366. [Google Scholar] [CrossRef]
- Han, D.D.; Xu, P.C.; Jing, X.Y.; Wang, J.; Song, D.L.; Liu, J.Y.; Zhang, M.L. Facile approach to prepare hollow core-shell NiO microspherers for supercapacitor electrodes. J. Solid State Chem. 2013, 203, 60–67. [Google Scholar] [CrossRef]
- Hasan, M.; Jamal, M.; Razeeb, K.M. Coaxial NiO/Ni nanowire arrays for high performance pseudocapacitor applications. Electrochim. Acta 2012, 60, 193–200. [Google Scholar] [CrossRef]
- Liu, J.W.; Essner, J.; Li, J. Hybrid Supercapacitor Based on Coaxially Coated Manganese Oxide on Vertically Aligned Carbon Nanofiber Arrays. Chem. Mat. 2010, 22, 5022–5030. [Google Scholar] [CrossRef]
- Liu, N.S.; Li, J.; Ma, W.Z.; Liu, W.J.; Shi, Y.L.; Tao, J.Y.; Zhang, X.H.; Su, J.; Li, L.Y.; Gao, Y.H. Ultrathin and Lightweight 3D Free-Standing Ni@NiO Nanowire Membrane Electrode for a Supercapacitor with Excellent Capacitance Retention at High Rates. ACS Appl. Mater. Interfaces 2014, 6, 13627–13634. [Google Scholar] [CrossRef]
- Lu, Q.; Lattanzi, M.W.; Chen, Y.P.; Kou, X.M.; Li, W.F.; Fan, X.; Unruh, K.M.; Chen, J.G.G.; Xiao, J.Q. Supercapacitor Electrodes with High-Energy and Power Densities Prepared from Monolithic NiO/Ni Nanocomposites. Angew. Chem. 2011, 50, 6847–6850. [Google Scholar] [CrossRef]
- Ren, B.; Fan, M.Q.; Liu, Q.; Wang, J.; Song, D.L.; Bai, X.F. Hollow NiO nanofibers modified by citric acid and the performances as supercapacitor electrode. Electrochim. Acta 2013, 92, 197–204. [Google Scholar] [CrossRef]
- Lazanas, A.C.; Prodromidis, M.I. Electrochemical Impedance Spectroscopy—A Tutorial. ACS Meas. Sci. Au 2023, 3, 162–193. [Google Scholar] [CrossRef]
- Sutar, S.H.; Patil, S.B.; Bansal, L.; Sadale, S.B.; Kumar, R.; Mujawar, S.H. Electrochemical and impedance analysis of nickel oxide nanoflakes-based electrodes for efficient chromo supercapacitors. Electrochim. Acta 2024, 498, 144614. [Google Scholar]
- Chatterjee, S.; Maiti, R.; Miah, M.; Saha, S.K.; Chakravorty, D. NiO Nanoparticle Synthesis Using a Triblock Copolymer: Enhanced Magnetization and High Specific Capacitance of Electrodes Prepared from the Powder. ACS Omega 2017, 2, 283–289. [Google Scholar] [CrossRef]
- Jahromi, S.P.; Pandikumar, A.; Goh, B.T.; Lim, Y.S.; Basirun, W.J.; Lim, H.N.; Huang, N.M. Influence of particle size on performance of a nickel oxide nanoparticle-based supercapacitor. Rsc. Adv. 2015, 5, 14010–14019. [Google Scholar] [CrossRef]
- Pandurangan, P.; Parvin, T.N.; Soundiraraju, B.; Johnbosco, Y.; Ramalingam, M.; Bhagavathiachari, M.; Suthanthiraraj, S.A.; Narayanan, S.S. Ultrasmall NiO nanoclusters modified with conical Ni(II)-SR staples for high performance supercapacitor applications. New J. Chem. 2017, 41, 6127–6136. [Google Scholar] [CrossRef]
- Yang, X.M.; Cui, Y.J.; Qi, Y.Y.; Fu, L.Y.; Rezayan, A.; Xu, C.C.; Wang, J.S.; Sui, D.; Zhang, Y.S. Self-supporting NiO-coated activated carbon nanofibers based on atomic layer deposition for supercapacitor. J. Alloys Compd. 2023, 958, 170513. [Google Scholar] [CrossRef]
- Wang, B.; Chen, J.S.; Wang, Z.Y.; Madhavi, S.; Lou, X.W. Green Synthesis of NiO Nanobelts with Exceptional Pseudo-Capacitive Properties. Adv. Energy Mater. 2012, 2, 1188–1192. [Google Scholar] [CrossRef]
- Liu, A.F.; Che, H.W.; Mao, Y.X.; Wang, Y.Q.; Mu, J.B.; Wu, C.X.; Bai, Y.M.; Zhang, X.L.; Wang, G.S. Template-free synthesis of one-dimensional hierarchical NiO nanotubes self-assembled by nanosheets for high-performance supercapacitors. Ceram. Int. 2016, 42, 11435–11441. [Google Scholar] [CrossRef]
- Zang, L.; Zhu, J.Y.; Xia, Y.C. Facile Synthesis of Porous NiO Nanofibers for High-Performance Supercapacitors. J. Mater. Eng. Perform. 2014, 23, 679–683. [Google Scholar] [CrossRef]
- Zhang, M.; Li, Q.; Fang, D.; Ayhan, I.A.; Zhou, Y.; Dong, L.J.; Xiong, C.X.; Wang, Q. NiO hierarchical hollow nanofibers as high-performance supercapacitor electrodes. RSC Adv. 2015, 5, 96205–96212. [Google Scholar] [CrossRef]
- Muduli, S.; Pati, S.K.; Pani, T.K.; Martha, S.K. One pot synthesis of carbon decorated NiO nanorods as cathode materials for high-performance asymmetric supercapacitors. J. Energy Storage 2023, 66, 107339. [Google Scholar] [CrossRef]
- Xiong, S.L.; Yuan, C.Z.; Zhang, X.G.; Qian, Y.T. Mesoporous NiO with various hierarchical nanostructures by quasi-nanotubes/nanowires/nanorods self-assembly: Controllable preparation and application in supercapacitors. CrystEngComm 2011, 13, 626–632. [Google Scholar] [CrossRef]
- Khairy, M.; El-Safty, S.A. Mesoporous NiO nanoarchitectures for electrochemical energy storage: Influence of size, porosity, and morphology. RSC Adv. 2013, 3, 23801–23809. [Google Scholar] [CrossRef]
- Sun, X.; Wang, G.K.; Hwang, J.Y.; Lian, J. Porous nickel oxide nano-sheets for high performance pseudocapacitance materials. J. Mater. Chem. 2011, 21, 16581–16588. [Google Scholar] [CrossRef]
- Ramkumar, R.; Dhakal, G.; Shim, J.J.; Kim, W.K. NiO/Ni Nanowafer Aerogel Electrodes for High Performance Supercapacitors. Nanomaterials 2022, 12, 3813. [Google Scholar] [CrossRef] [PubMed]
- Fan, M.Q.; Ren, B.; Yu, L.; Liu, Q.; Wang, J.; Song, D.L.; Liu, J.Y.; Jing, X.Y.; Liu, L.H. Facile growth of hollow porous NiO microspheres assembled from nanosheet building blocks and their high performance as a supercapacitor electrode. CrystEngComm 2014, 16, 10389–10394. [Google Scholar] [CrossRef]
- Vijayakumar, S.; Nagamuthu, S.; Muralidharan, G. Supercapacitor Studies on NiO Nanoflakes Synthesized Through a Microwave Route. ACS Appl. Mater. Interfaces 2013, 5, 2188–2196. [Google Scholar] [CrossRef] [PubMed]
- Zhu, Z.H.; Ping, J.; Huang, X.P.; Hu, J.G.; Chen, Q.Y.; Ji, X.B.; Banks, C.E. Hexagonal nickel oxide nanoplate-based electrochemical supercapacitor. J. Mater. Sci. 2012, 47, 503–507. [Google Scholar] [CrossRef]
- Yao, M.M.; Hu, Z.H.; Liu, Y.F.; Liu, P.P.; Ai, Z.H.; Rudolf, O. 3D hierarchical mesoporous roselike NiO nanosheets for high-performance supercapacitor electrodes. J. Alloys Compd. 2015, 648, 414–418. [Google Scholar] [CrossRef]
- Pang, H.; Shi, Y.F.; Du, J.M.; Ma, Y.H.; Li, G.C.; Chen, J.; Zhang, J.S.; Zheng, H.H.; Yuan, B.Q. Porous nickel oxide microflowers synthesized by calcination of coordination microflowers and their applications as glutathione electrochemical sensor and supercapacitors. Electrochim. Acta 2012, 85, 256–262. [Google Scholar] [CrossRef]
- Abbas, S.A.; Jung, K.D. Preparation of mesoporous microspheres of NiO with high surface area and analysis on their pseudocapacitive behavior. Electrochim. Acta 2016, 193, 145–153. [Google Scholar] [CrossRef]
- Wang, Y.L.; Chang, B.B.; Guan, D.X.; Pei, K.M.; Chen, Z.; Yang, M.S.; Dong, X.P. Preparation of nanospherical porous NiO by a hard template route and its supercapacitor application. Mater. Lett. 2014, 135, 172–175. [Google Scholar] [CrossRef]
- Yu, F.; Zhu, L.; You, T.; Wang, F.X.; Wen, Z.B. Preparation of chestnut-like porous NiO nanospheres as electrodes for supercapacitors. RSC Adv. 2015, 5, 96165–96169. [Google Scholar] [CrossRef]
- Ray, S.K.; Kokayi, M.; Desai, R.; Dahal, R.; Ashie, M.D.; Mantripragada, S.; Bastakoti, B.P. Ni/NiO nanoparticles loaded carbon sphere for high-performance supercapacitor. Mater. Chem. Phys. 2024, 320, 129403. [Google Scholar] [CrossRef]






Disclaimer/Publisher’s Note: The statements, opinions and data contained in all publications are solely those of the individual author(s) and contributor(s) and not of MDPI and/or the editor(s). MDPI and/or the editor(s) disclaim responsibility for any injury to people or property resulting from any ideas, methods, instructions or products referred to in the content. |
© 2025 by the authors. Licensee MDPI, Basel, Switzerland. This article is an open access article distributed under the terms and conditions of the Creative Commons Attribution (CC BY) license (https://creativecommons.org/licenses/by/4.0/).
Share and Cite
Gong, Q.; Huang, X.; Liu, Y.; Zhang, S.; Yu, T. Nanostructure-Integrated Electrode Based on Ni/NiO Coaxial Bilayer Nanotube Array with Large Specific Capacitance for Miniaturized Applications. Materials 2025, 18, 1286. https://doi.org/10.3390/ma18061286
Gong Q, Huang X, Liu Y, Zhang S, Yu T. Nanostructure-Integrated Electrode Based on Ni/NiO Coaxial Bilayer Nanotube Array with Large Specific Capacitance for Miniaturized Applications. Materials. 2025; 18(6):1286. https://doi.org/10.3390/ma18061286
Chicago/Turabian StyleGong, Qianxun, Xiaoyan Huang, Yong Liu, Sijie Zhang, and Tian Yu. 2025. "Nanostructure-Integrated Electrode Based on Ni/NiO Coaxial Bilayer Nanotube Array with Large Specific Capacitance for Miniaturized Applications" Materials 18, no. 6: 1286. https://doi.org/10.3390/ma18061286
APA StyleGong, Q., Huang, X., Liu, Y., Zhang, S., & Yu, T. (2025). Nanostructure-Integrated Electrode Based on Ni/NiO Coaxial Bilayer Nanotube Array with Large Specific Capacitance for Miniaturized Applications. Materials, 18(6), 1286. https://doi.org/10.3390/ma18061286

