Surface Quality and Compressive Properties of Mortise and Tenon Lattice Structures Fabricated by Fused Deposition Modeling
Abstract
1. Introduction
2. Materials and Methods
2.1. Lattice Structure Design
2.2. Lattice Structure Analytical Model
2.3. Lattice Structure Fabrication
2.4. Lattice Structure Performance Tests
3. Results and Discussions
3.1. Surface Morphology and Surface Roughness
3.2. Printing Time and Material Consumption
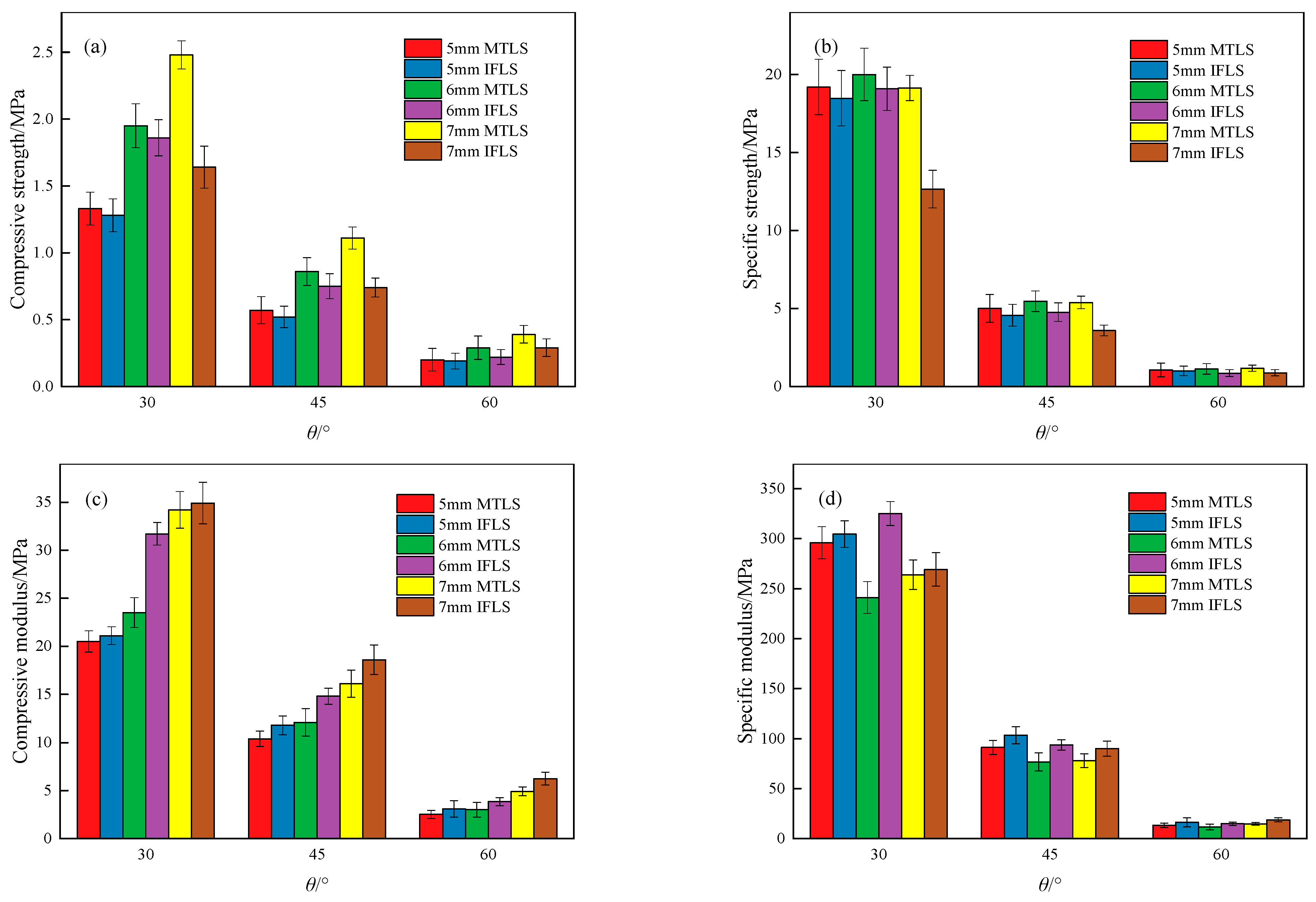
3.3. Compression Performance
3.4. Energy Absorption Properties
3.5. Discussions
4. Conclusions
Author Contributions
Funding
Institutional Review Board Statement
Informed Consent Statement
Data Availability Statement
Conflicts of Interest
References
- Bhat, C.; Prajapati, M.J.; Kumar, A.; Jeng, J.Y. Additive manufacturing-enabled advanced design and process strategies for multi-functional lattice structures. Materials 2024, 17, 3398. [Google Scholar] [CrossRef] [PubMed]
- Yin, H.; Zhang, W.; Zhu, L.; Meng, F.; Liu, J.; Wen, G. Review on lattice structures for energy absorption properties. Compos. Struct. 2023, 304, 116397. [Google Scholar] [CrossRef]
- Li, Z.; Shi, D.; Yang, J.; Luo, W.; Wan, C.; Pan, W. Contribution of optical phonons to lattice thermal conductivity in complex structural thermal insulation materials. J. Eur. Ceram. Soc. 2021, 41, 7981–7987. [Google Scholar] [CrossRef]
- Oliveira, E.F.; Ambekar, R.S.; Galvao, D.S.; Tiwary, C.S. Schwarzites and schwarzynes based load-bear resistant 3D printed hierarchical structures. Addit. Manuf. 2022, 60, 103180. [Google Scholar] [CrossRef]
- Li, X.; Chua, J.W.; Yu, X.; Li, Z.; Zhao, M.; Wang, Z.; Zhai, W. 3D-printed lattice structures for sound absorption: Current progress, mechanisms and models, structural-property relationships, and future outlook. Adv. Sci. 2024, 11, 2305232. [Google Scholar] [CrossRef]
- Köhnen, P.; Haase, C.; Bültmann, J.; Ziegler, S.; Schleifenbaum, J.H.; Bleck, W. Mechanical properties and deformation behavior of additively manufactured lattice structures of stainless steel. Mater. Des. 2018, 145, 205–217. [Google Scholar] [CrossRef]
- Xu, S.; Ding, C.; Han, M.; Huang, M.; Song, C.; Chang, C.; Liu, S.; Yang, S.; Tang, H. Additive manufacturing of anisotropic TC4 cubic hollow-strut lattice structures with high specific yield strength: Optimization, properties, and failure modes. Adv. Eng. Mater. 2024, 26, 2401171. [Google Scholar] [CrossRef]
- Leary, M.; Mazur, M.; Elambasseril, J.; McMillan, M.; Chirent, T.; Sun, Y.; Qian, M.; Easton, M.; Brandt, M. Selective laser melting (SLM) of AlSi12Mg lattice structures. Mater. Des. 2016, 98, 344–357. [Google Scholar] [CrossRef]
- Banait, S.; Jin, X.; Campos, M.; Pérez-Prado, M.T. Precipitation-induced transition in the mechanical behavior of 3D printed Inconel 718 bcc lattices. Scr. Mater. 2021, 203, 114075. [Google Scholar] [CrossRef]
- Qin, D.; Sang, L.; Zhang, Z.; Lai, S.; Zhao, Y. Compression performance and deformation behavior of 3D-printed PLA-based lattice structures. Polymers 2022, 14, 1062. [Google Scholar] [CrossRef]
- Monkova, K.; Monka, P.P.; Hricová, R.; Hausnerova, B.; Knapčíková, L. Tensile properties of four types of ABS lattice structures-A comparative study. Polymers 2023, 15, 4090. [Google Scholar] [CrossRef] [PubMed]
- Wang, H.; Chen, P.; Wu, H.; Chen, A.; Wu, S.; Su, J.; Wang, M.; Feng, X.; Yang, C.; Yang, L.; et al. Comparative evaluation of printability and compression properties of poly-ether-ether-ketone triply periodic minimal surface scaffolds fabricated by laser powder bed fusion. Addit. Manuf. 2022, 57, 102961. [Google Scholar] [CrossRef]
- Ursini, C.; Collini, L. FDM layering deposition effects on mechanical response of TPU lattice structures. Materials 2021, 14, 5645. [Google Scholar] [CrossRef] [PubMed]
- Shuai, X.; Zeng, Y.; Li, P.; Chen, J. Fabrication of fine and complex lattice structure Al2O3 ceramic by digital light processing 3D printing technology. J. Mater. Sci. 2020, 55, 6771–6782. [Google Scholar] [CrossRef]
- Wu, S.; Yang, L.; Wang, C.; Yan, C.; Shi, Y. Si/SiC ceramic lattices with a triply periodic minimal surface structure prepared by laser powder bed fusion. Addit. Manuf. 2022, 56, 102910. [Google Scholar] [CrossRef]
- Finnegan, K.; Kooistra, G.; Wadley, H.N.G.; Deshpande, V.S. The compressive response of carbon fiber composite pyramidal truss sandwich cores. Int. J. Mater. Res. 2007, 98, 1264–1272. [Google Scholar] [CrossRef]
- Gao, H.; Sun, Y.; Lei, X.; Gao, Y.; Liu, H. Mechanical properties and application of glass fiber reinforced polyurethane composites communication lattice tower. Constr. Build. Mater. 2024, 411, 134180. [Google Scholar] [CrossRef]
- Wang, C.; Zhu, J.; Wu, M.; Hou, J.; Zhou, H.; Meng, L.; Li, C.; Zhang, W. Multi-scale design and optimization for solid-lattice hybrid structures and their application to aerospace vehicle components. Chinese J. Aeronaut. 2021, 34, 386–398. [Google Scholar] [CrossRef]
- Zhang, X.Z.; Leary, M.; Tang, H.P.; Song, T.; Qian, M. Selective electron beam manufactured Ti-6Al-4V lattice structures for orthopedic implant applications: Current status and outstanding challenges. Curr. Opin. Solid State Mater. Sci. 2018, 22, 75–99. [Google Scholar] [CrossRef]
- Alkentar, R.; Mankovits, T. Investigation of the performance of Ti6Al4V lattice structures designed for biomedical implants using the finite element method. Materials 2022, 15, 6335. [Google Scholar] [CrossRef]
- Aslan, B.; Yıldız, A.R. Optimum design of automobile components using lattice structures for additive manufacturing. Mater. Test. 2020, 62, 633–639. [Google Scholar] [CrossRef]
- Yin, S.; Chen, H.; Wu, Y.; Li, Y.; Xu, J. Introducing composite lattice core sandwich structure as an alternative proposal for engine hood. Compos. Struct. 2018, 201, 131–140. [Google Scholar] [CrossRef]
- Hanna, B.; Adams, R.; Townsend, S.; Robinson, M.; Soe, S.; Stewart, M.; Burek, R.; Theobald, P. Auxetic metamaterial optimisation for head impact mitigation in American football. Int. J. Impact Eng. 2021, 157, 103991. [Google Scholar] [CrossRef]
- Duncan, O.; Shepherd, T.; Moroney, C.; Foster, L.; Venkatraman, P.D.; Winwood, K.; Allen, T.; Alderson, A. Review of auxetic materials for sports applications: Expanding options in comfort and protection. Appl. Sci. 2018, 8, 941. [Google Scholar] [CrossRef]
- Deshpande, V.S.; Fleck, N.A.; Ashby, M.F. Effective properties of the octet-truss lattice material. J. Mech. Phys. Solids 2001, 49, 1747–1769. [Google Scholar] [CrossRef]
- Queheillalt, D.T.; Murty, Y.; Wadley, H.N.G. Mechanical properties of an extruded pyramidal lattice truss sandwich structure. Scr. Mater. 2008, 58, 76–79. [Google Scholar] [CrossRef]
- Kooistra, G.W.; Deshpande, V.S.; Wadley, H.N.G. Compressive behavior of age hardenable tetrahedral lattice truss structures made from aluminium. Acta Mater. 2004, 52, 4229–4237. [Google Scholar] [CrossRef]
- Kooistra, G.W.; Wadley, H.N.G. Lattice truss structures from expanded metal sheet. Mater. Des. 2007, 28, 507–514. [Google Scholar] [CrossRef]
- Dong, L.; Deshpande, V.; Wadley, H. Mechanical response of Ti–6Al–4V octet–truss lattice structures. Int. J. Solids Struct. 2015, 60–61, 107–124. [Google Scholar] [CrossRef]
- Khan, N.; Riccio, A. A systematic review of design for additive manufacturing of aerospace lattice structures: Current trends and future directions. Prog. Aeronaut. Sci. 2024, 149, 101021. [Google Scholar] [CrossRef]
- Bhatia, A.; Sehgal, A.K. Additive manufacturing materials, methods and applications: A review. Mater. Today Proc. 2023, 81, 1060–1067. [Google Scholar] [CrossRef]
- Uribe-Lam, E.; Treviño-Quintanilla, C.D.; Cuan-Urquizo, E.; Olvera-Silva, O. Use of additive manufacturing for the fabrication of cellular and lattice materials: A review. Mater. Manuf. Process. 2021, 36, 257–280. [Google Scholar] [CrossRef]
- Chougrani, L.; Pernot, J.P.; Véron, P.; Abed, S. Parts internal structure definition using non-uniform patterned lattice optimization for mass reduction in additive manufacturing. Eng. Comput. 2019, 35, 277–289. [Google Scholar] [CrossRef]
- Zhou, H.; Cao, X.; Li, C.; Zhang, X.; Fan, H.; Lei, H.; Fang, D. Design of self-supporting lattices for additive manufacturing. J. Mech. Phys. Solids 2021, 148, 104298. [Google Scholar] [CrossRef]
- Bartkowiak, T.; Peta, K.; Królczyk, J.B.; Niesłony, P.; Bogdan-Chudy, M.; Przeszłowski, Ł.; Trych-Wildner, A.; Wojciechowska, N.; Królczyk, G.M.; Wieczorowski, M. Wetting properties of polymer additively manufactured surfaces–Multiscale and multi-technique study into the surface-measurement-function interactions. Tribol. Int. 2025, 202, 110394. [Google Scholar] [CrossRef]
- Mukhangaliyeva, A.; Dairabayeva, D.; Perveen, A.; Talamona, D. Optimization of dimensional accuracy and surface roughness of SLA patterns and SLA-based IC components. Polymers 2023, 15, 4038. [Google Scholar] [CrossRef]
- Bellini, A.; Güçeri, S. Mechanical characterization of parts fabricated using fused deposition modeling. Rapid Prototyp. J. 2003, 9, 252–264. [Google Scholar] [CrossRef]
- Vaida, C.; Pop, G.; Tucan, P.; Gherman, B.; Pisla, D. Multi-parametric optimization of 3D-printed components. Polymers 2025, 17, 27. [Google Scholar] [CrossRef]
- Shanmugam, V.; Pavan, M.V.; Babu, K.; Karnan, B. Fused deposition modeling based polymeric materials and their performance: A review. Polym. Compos. 2021, 42, 5656–5677. [Google Scholar] [CrossRef]
- Kaur, M.; Yun, T.G.; Han, S.M.; Thomas, E.L.; Kim, W.S. 3D printed stretching-dominated micro-trusses. Mater. Des. 2017, 134, 272–280. [Google Scholar] [CrossRef]
- Kumar, A.; Verma, S.; Jeng, J.Y. Supportless lattice structures for energy absorption fabricated by fused deposition modeling. 3D Print. Addit. Manuf. 2020, 7, 85–96. [Google Scholar] [CrossRef] [PubMed]
- Singh, G.; Singh, J.; Singh, N.; Farina, I.; Colangelo, F.; Pandey, P.M. Effect of unit cell shape and structure volume fraction on the mechanical and vibration properties of 3D printed lattice structures. J. Thermoplast. Compos. Mater. 2024, 37, 1841–1858. [Google Scholar] [CrossRef]
- Calise, G.J.; Saigal, A. Anisotropy and failure in octahedral lattice structure parts fabricated using the FDM technology. In Proceedings of the ASME 2017 International Mechanical Engineering Congress and Exposition, Tampa, FL, USA, 3–9 November 2017. [Google Scholar]
- Gautam, R.; Idapalapati, S.; Feih, S. Printing and characterisation of Kagome lattice structures by fused deposition modelling. Mater. Des. 2018, 137, 266–275. [Google Scholar] [CrossRef]
- Lazar, P.J.L.; Subramanian, J.; Natarajan, E.; Markandan, K.; Ramesh, S. Anisotropic structure-property relations of FDM printed short glass fiber reinforced polyamide TPMS structures under quasi-static compression. J. Mater. Res. Technol. 2023, 24, 9562–9579. [Google Scholar] [CrossRef]
- Wang, Y.; Li, S.; Yu, Y.; Xin, Y.; Zhang, X.; Zhang, Q.; Wang, S. Lattice structure design optimization coupling anisotropy and constraints of additive manufacturing. Mater. Des. 2020, 196, 109089. [Google Scholar] [CrossRef]
- Strano, G.; Hao, L.; Everson, R.M.; Evans, K.E. A new approach to the design and optimisation of support structures in additive manufacturing. Int. J. Adv. Manuf. Technol. 2013, 66, 1247–1254. [Google Scholar] [CrossRef]
- Stanković, T.; Mueller, J.; Shea, K. The effect of anisotropy on the optimization of additively manufactured lattice structures. Addit. Manuf. 2017, 17, 67–76. [Google Scholar] [CrossRef]
- Ghosh, M.; D’Souza, N.A. Improved mechanical performance in FDM cellular frame structures through partial incorporation of faces. Polymers 2024, 16, 1340. [Google Scholar] [CrossRef]
- Vaissier, B.; Pernot, J.P.; Chougrani, L.; Véron, P. Genetic-algorithm based framework for lattice support structure optimization in additive manufacturing. Comput. Aided Des. 2019, 110, 11–23. [Google Scholar] [CrossRef]
- Liu, W.; Song, H.; Wang, Z.; Wang, J.; Huang, C. Improving mechanical performance of fused deposition modeling lattice structures by a snap-fitting method. Mater. Des. 2019, 181, 108065. [Google Scholar] [CrossRef]
- Hu, W.G.; Yu, R.Z.; Yang, P. Characterizing roughness of wooden mortise and tenon considering effects of measured position and assembly condition. Forests 2024, 15, 1584. [Google Scholar] [CrossRef]
- Li, W.; Deng, Q.; Li, X.; Jia, J. Compression failure and energy absorption characterization of mortise and tenon modular cellular structures. Eng. Res. Express 2024, 6, 045566. [Google Scholar] [CrossRef]
- Xu, S.; Deng, Q.; Li, X.; Zhou, J.; Wen, J.; Yang, Z. Energy absorption and deformation of cellular structures with dovetail joints. Mech. Res. Commun. 2025, 143, 104353. [Google Scholar]
- Yan, H.; Xie, S.; Zhang, F.; Jing, K.; He, L. Sound absorption performance of honeycomb metamaterials inspired by mortise-and-tenon structures. Appl. Acoust. 2025, 228, 110292. [Google Scholar] [CrossRef]
- Wadley, H.N.G. Multifunctional periodic cellular metals. Phil. Trans. R. Soc. A 2006, 364, 31–68. [Google Scholar] [CrossRef]
- Zhang, P.; Liu, J.; To, A.C. Role of anisotropic properties on topology optimization of additive manufactured load bearing structures. Scr. Mater. 2017, 135, 148–152. [Google Scholar] [CrossRef]
- Chi, Y.; Langdon, G.S.; Nurick, G.N. The influence of core height and face plate thickness on the response of honeycomb sandwich panels subjected to blast loading. Mater. Des. 2010, 31, 1887–1899. [Google Scholar] [CrossRef]























| No. | t (mm) | θ (°) | Relative Density (%) |
|---|---|---|---|
| 1 | 5 | 30 | 6.93 |
| 2 | 5 | 45 | 11.39 |
| 3 | 5 | 60 | 19.01 |
| 4 | 6 | 30 | 9.75 |
| 5 | 6 | 45 | 15.76 |
| 6 | 6 | 60 | 25.83 |
| 7 | 7 | 30 | 12.96 |
| 8 | 7 | 45 | 20.62 |
| 9 | 7 | 60 | 33.23 |
| Density (g/cm3) | Diameter (mm) | Tensile Strength (MPa) | Elongation at Break (%) | Flexural Strength (MPa) |
|---|---|---|---|---|
| 1.06 | 1.75 | 40 | 30 | 68 |
| Nozzle Temperature (°C) | Bed Temperature (°C) | Layer Height (mm) | Print Speed | Infill Density (%) | Number of Outer Contours |
|---|---|---|---|---|---|
| 270 | 90 | 0.25 | Normal | 100 | 2 |
Disclaimer/Publisher’s Note: The statements, opinions and data contained in all publications are solely those of the individual author(s) and contributor(s) and not of MDPI and/or the editor(s). MDPI and/or the editor(s) disclaim responsibility for any injury to people or property resulting from any ideas, methods, instructions or products referred to in the content. |
© 2025 by the authors. Licensee MDPI, Basel, Switzerland. This article is an open access article distributed under the terms and conditions of the Creative Commons Attribution (CC BY) license (https://creativecommons.org/licenses/by/4.0/).
Share and Cite
Li, B.; Min, B.-W.; Gu, H.; Jiang, J.; Zhang, J.; Zhang, H. Surface Quality and Compressive Properties of Mortise and Tenon Lattice Structures Fabricated by Fused Deposition Modeling. Materials 2025, 18, 628. https://doi.org/10.3390/ma18030628
Li B, Min B-W, Gu H, Jiang J, Zhang J, Zhang H. Surface Quality and Compressive Properties of Mortise and Tenon Lattice Structures Fabricated by Fused Deposition Modeling. Materials. 2025; 18(3):628. https://doi.org/10.3390/ma18030628
Chicago/Turabian StyleLi, Bin, Byung-Won Min, Hai Gu, Jie Jiang, Jie Zhang, and Hao Zhang. 2025. "Surface Quality and Compressive Properties of Mortise and Tenon Lattice Structures Fabricated by Fused Deposition Modeling" Materials 18, no. 3: 628. https://doi.org/10.3390/ma18030628
APA StyleLi, B., Min, B.-W., Gu, H., Jiang, J., Zhang, J., & Zhang, H. (2025). Surface Quality and Compressive Properties of Mortise and Tenon Lattice Structures Fabricated by Fused Deposition Modeling. Materials, 18(3), 628. https://doi.org/10.3390/ma18030628

