An Innovative Approach of Using a Bio-Based Polyurethane Elastomer to Overcome the “Magic Triangle” in Tires
Abstract
1. Introduction
2. Materials and Methods
2.1. Materials
2.2. Fabrication of PPCD/PO3G-PU Elastomers
2.3. Characterization
2.3.1. Fourier Transform Infrared Spectroscopy (FTIR)
2.3.2. Gel Permeation Chromatography (GPC)
2.3.3. Differential Scanning Calorimetry (DSC)
2.3.4. X-Ray Diffraction (XRD)
2.3.5. Thermogravimetric Analysis (TGA)
2.3.6. Mechanical Performance
2.3.7. Dynamic Mechanical Analysis (DMA)
2.3.8. Akron Abrasion
2.3.9. Rolling Resistance
2.3.10. Scanning Electron Microscopy (SEM)
3. Results and Discussion
3.1. Structural Analysis of the PPCD/PO3G–PU Elastomers
3.2. Thermal Properties of the PPCD/PO3G-PU Elastomers
3.3. Mechanical Properties of the PPCD/PO3G-PU Elastomers
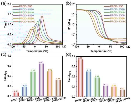
3.4. Dynamic Mechanical Properties of the PPCD/PO3G-PU Elastomers
3.5. Rolling Resistance Properties of the PPCD/PO3G-PU Elastomers
3.6. Wear Resistance Properties of the PPCD/PO3G-PU Elastomers
4. Conclusions
Supplementary Materials
Author Contributions
Funding
Institutional Review Board Statement
Informed Consent Statement
Data Availability Statement
Conflicts of Interest
References
- Hu, S.; He, S.; Wang, Y.; Wu, Y.; Shou, T.; Yin, D.; Mu, G.; Zhao, X.; Gao, Y.; Liu, J.; et al. Self-Repairable, Recyclable and Heat-Resistant Polyurethane for High-Performance Automobile Tires. Nano Energy 2022, 95, 107012. [Google Scholar] [CrossRef]
- Liu, W.; Liu, S.; Li, X.; Zhang, Q.; Wang, C.; Li, K. Static Stiffness Properties of High Load Capacity Non-Pneumatic Tires with Different Tread Structures. Lubricants 2023, 11, 180. [Google Scholar] [CrossRef]
- Grammelis, P.; Margaritis, N.; Dallas, P.; Rakopoulos, D.; Mavrias, G. A Review on Management of End of Life Tires (ELTs) and Alternative Uses of Textile Fibers. Energies 2021, 14, 571. [Google Scholar] [CrossRef]
- Dhanorkar, R.J.; Mohanty, S.; Gupta, V.K. Synthesis of Functionalized Styrene Butadiene Rubber and Its Applications in SBR-Silica Composites for High Performance Tire Applications. Ind. Eng. Chem. Res. 2021, 60, 4517–4535. [Google Scholar] [CrossRef]
- Wu, Q.; Liu, L.; Meng, J.; Liu, S.; Hui, J.; Wang, X.; Xu, L.; Zhang, L. Microstructure and Performance of Green Tire Tread Based on Epoxidized Solution Polymerized Styrene Butadiene Rubber and Epoxidized Natural Rubber. Ind. Eng. Chem. Res. 2023, 62, 5582–5593. [Google Scholar] [CrossRef]
- Weng, P.; Tang, Z.; Guo, B. Solving “Magic Triangle” of Tread Rubber Composites with Phosphonium-Modified Petroleum Resin. Polymer 2020, 190, 122244. [Google Scholar] [CrossRef]
- Jung, J.; Sodano, H.A. Aramid Nanofiber Reinforced Rubber Compounds for the Application of Tire Tread with High Abrasion Resistance and Fuel Saving Efficiency. ACS Appl. Polym. Mater. 2020, 2, 4874–4884. [Google Scholar] [CrossRef]
- Vieira, F.R.; Magina, S.; Evtuguin, D.; Barros-Timmons, A. Lignin as a Renewable Building Block for Sustainable Polyurethanes. Materials 2022, 15, 6182. [Google Scholar] [CrossRef]
- Ng, Y.-H.; Tay, S.-W.; Hong, L. Formation of Icephobic Surface with Micron-Scaled Hydrophobic Heterogeneity on Polyurethane Aerospace Coating. ACS Appl. Mater. Interfaces 2018, 10, 37517–37528. [Google Scholar] [CrossRef]
- Harynska, A.; Kucinska-Lipka, J.; Sulowska, A.; Gubanska, I.; Kostrzewa, M.; Janik, H. Medical-Grade PCL Based Polyurethane System for FDM 3D Printing-Characterization and Fabrication. Materials 2019, 12, 887. [Google Scholar] [CrossRef]
- Luo, G.; Xie, J.; Liu, J.; Zhang, Q.; Luo, Y.; Li, M.; Zhou, W.; Chen, K.; Li, Z.; Yang, P.; et al. Highly Conductive, Stretchable, Durable, Breathable Electrodes Based on Electrospun Polyurethane Mats Superficially Decorated with Carbon Nanotubes for Multifunctional Wearable Electronics. Chem. Eng. J. 2023, 451, 138549. [Google Scholar] [CrossRef]
- Chu, C.-C.; Yeh, S.-K.; Peng, S.-P.; Kang, T.-W.; Guo, W.-J.; Yang, J. Preparation of Microporous Thermoplastic Polyurethane by Low-Temperature Supercritical CO2 Foaming. J. Cell. Plast. 2017, 53, 135–150. [Google Scholar] [CrossRef]
- Teng, Q.; Huang, Y.; Wu, H.; Li, W.; Wu, Q.; Wu, J. Self-Healing Polyurethane Elastomer with Ultra-High Mechanical Strength and Enhanced Thermal Mechanical Properties. Polymer 2024, 290, 126579. [Google Scholar] [CrossRef]
- Kraskiewicz, C.; Chmielewska, B.; Zbiciak, A.; Al Sabouni-Zawadzka, A. Study on Possible Application of Rubber Granulate from the Recycled Tires as an Elastic Cover of Prototype Rail Dampers, with a Focus on Their Operational Durability. Materials 2021, 14, 5711. [Google Scholar] [CrossRef] [PubMed]
- Fathali, M.; Esmaeili, M.; Moghadas Nejad, F. Influence of Tire-Derived Aggregates Mixed with Ballast on Ground-Borne Vibrations. J. Mod. Transport. 2019, 27, 355–363. [Google Scholar] [CrossRef]
- Kraśkiewicz, C.; Zbiciak, A.; Pełczyński, J.; Al Sabouni-Zawadzka, A. Experimental and Numerical Testing of Prototypical under Ballast Mats (UBMs) Produced from Deconstructed Tires—The Effect of Mat Thickness. Constr. Build. Mater. 2023, 369, 130559. [Google Scholar] [CrossRef]
- Fathali, M.; Chalabii, J.; Astaraki, F.; Esmaeili, M. A New Degradation Model for Life Cycle Assessment of Railway Ballast Materials. Constr. Build. Mater. 2021, 270, 121437. [Google Scholar] [CrossRef]
- Yin, D.; Wang, X.; Wang, Y.; Shou, T.; Zhao, X.; Liu, L.; Hu, S.; Zhang, L. Multifunctional Biobased Polyurethane/Tannic Acid Composites with Controllable Damping, Flame-Retardant, and Ultraviolet-Shieldingperformances. ACS Appl. Polym. Mater. 2024, 6, 8409–8418. [Google Scholar] [CrossRef]
- de Luca Bossa, F.; Verdolotti, L.; Russo, V.; Campaner, P.; Minigher, A.; Lama, G.C.; Boggioni, L.; Tesser, R.; Lavorgna, M. Upgrading Sustainable Polyurethane Foam Based on Greener Polyols: Succinic-Based Polyol and Mannich-Based Polyol. Materials 2020, 13, 3170. [Google Scholar] [CrossRef]
- Hu, S.; Wu, Y.; Fu, G.; Shou, T.; Zhai, M.; Yin, D.; Zhao, X. Bio-Based Polyurethane and Its Composites towards High Damping Properties. Int. J. Mol. Sci. 2022, 23, 6618. [Google Scholar] [CrossRef]
- Xie, S.; Li, Y.; Chai, Y.; Chen, Q.; North, M.; Xie, H. Introducing the Reversible Reaction of CO2 with Diamines into Nonisocyanate Polyurethane Synthesis. ACS Macro Lett. 2023, 13, 14–20. [Google Scholar] [CrossRef] [PubMed]
- Rzhevskiy, S.A.; Shurupova, O.V.; Asachenko, A.F.; Plutalova, A.V.; Chernikova, E.V.; Beletskaya, I.P. The Role of Ligand Exchange in Salen Cobalt Complexes in the Alternating Copolymerization of Propylene Oxide and Carbon Dioxide. Int. J. Mol. Sci. 2024, 25, 10946. [Google Scholar] [CrossRef] [PubMed]
- Liu, Z.-H.; Huang, J.-Q.; Sun, L.-J.; Lei, D.; Cao, J.; Chen, S.; Shih, W.-C.; Qing, F.-L.; You, Z.-W. PPC-Based Reactive Hot Melt Polyurethane Adhesive (RHMPA)-Efficient Glues for Multiple Types of Substrates. Chin. J. Polym. Sci. 2018, 36, 58–64. [Google Scholar] [CrossRef]
- Chen, Y.; Liu, Z.; Han, S.; Han, J.; Jiang, D. Poly(Propylene Carbonate) Polyurethane Self-Polishing Coating for Marine Antifouling Application. J. Appl. Polym. Sci. 2016, 133, 43667. [Google Scholar] [CrossRef]
- Qin, Y.; Wang, X.; Wang, F. Recent advances in carbon dioxide based copolymer. Prog. Chem. 2011, 23, 613–622. [Google Scholar] [CrossRef]
- Liu, Z.; Hu, J.; Gao, F.; Cao, H.; Zhou, Q.; Wang, X. Biodegradable and Resilient Poly (Propylene Carbonate) Based Foam from High Pressure CO2 Foaming. Polym. Degrad. Stabil. 2019, 165, 12–19. [Google Scholar] [CrossRef]
- Han, D.; Chen, G.; Xiao, M.; Wang, S.; Chen, S.; Peng, X.; Meng, Y. Biodegradable and Toughened Composite of Poly(Propylene Carbonate)/Thermoplastic Polyurethane (PPC/TPU): Effect of Hydrogen Bonding. Int. J. Mol. Sci. 2018, 19, 2032. [Google Scholar] [CrossRef]
- Ruan, M.; Luan, H.; Wang, G.; Shen, M. Bio-Polyols Synthesized from Bio-Based 1,3-Propanediol and Applications on Polyurethane Reactive Hot Melt Adhesives. Ind. Crops Prod. 2019, 128, 436–444. [Google Scholar] [CrossRef]
- Kasprzyk, P.; Glowinska, E.; Parcheta-Szwindowska, P.; Rohde, K.; Datta, J. Green TPUs from Prepolymer Mixtures Designed by Controlling the Chemical Structure of Flexible Segments. Int. J. Mol. Sci. 2021, 22, 7438. [Google Scholar] [CrossRef]
- Shou, T.; Wu, Y.; Yin, D.; Hu, S.; Wu, S.; Zhao, X.; Zhang, L. In-Situ Self-Crosslinking Strategy for Super-Tough Polylactic Acid/Bio-Based Polyurethane Blends. Int. J. Biol. Macromol. 2024, 261, 129757. [Google Scholar] [CrossRef]
- He, D.; Zhu, D.; Zheng, Z.; Wang, X. Preparation of Photosensitive Resin Based on Poly (Trimethylene Ether Glycol) for 3D Printing. J. Polym. Res. 2023, 30, 289. [Google Scholar] [CrossRef]
- Peng, F.; Yang, X.; Zhu, Y.; Wang, G. Effect of the Symmetry of Polyether Glycols on Structure-Morphology-Property Behavior of Polyurethane Elastomers. Polymer 2022, 239, 124429. [Google Scholar] [CrossRef]
- He, Z.; Huang, Z.; Chen, J.; Chen, A.; Ai, J.; Song, L.; Liu, B. Preparation of Modified CO2-Based Polyurethane for Wet-Type Artificial Leather with Excellent Alkali Resistance. J. Appl. Polym. Sci. 2023, 140, e54671. [Google Scholar] [CrossRef]
- Yin, D.; Wang, Y.; Shou, T.; Liu, L.; Hu, S.; Zhao, X.; Zhang, L. Bio-Based Polyurethane/Tannic Acid Composites with Adjustable Damping Property Enabled by Constructing Multiple Sacrificial Networks. Ind. Crops Prod. 2024, 220, 119240. [Google Scholar] [CrossRef]
- Zia, K.M.; Zuber, M.; Barikani, M.; Jabbar, A.; Khosa, M.K. XRD Pattern of Chitin Based Polyurethane Bio-Nanocomposites. Carbohydr. Polym. 2010, 80, 539–543. [Google Scholar] [CrossRef]
- Ma, L.; Song, L.; Wang, H.; Fan, L.; Liu, B. Synthesis and Characterization of Poly(Propylene Carbonate) Glycol-Based Waterborne Polyurethane with a High Solid Content. Prog. Org. Coat. 2018, 122, 38–44. [Google Scholar] [CrossRef]
- Hayichelaeh, C.; Boonkerd, K. Enhancing the Tire Performances of Truck Tire Tread Based on Rubber Compounds Containing Biobased Processing Oil by Adjusting Sulfur Contents. Ind. Crops Prod. 2024, 213, 118451. [Google Scholar] [CrossRef]
- Zhao, S.; Ji, H.; Yu, J.; Wang, R.; Zhang, L.; Wang, R. Terpene-Based Sustainable Elastomer for Low-Temperature-Resistant Applications: Synthesis, Preparation, and Properties of Poly(Isoprene-Co-Myrcene). Ind. Eng. Chem. Res. 2023, 62, 16177–16187. [Google Scholar] [CrossRef]
- Chen, Z.; Wang, X.; Yin, D.; Liu, L.; Zhang, J.; Zhao, X. Bio-Based Eucommia Ulmoides Gum Composites for High-Performance Engineering Tire Applications. Ind. Crops Prod. 2024, 208, 117911. [Google Scholar] [CrossRef]
- Wu, J.; Chen, L.; Wang, Y.; Su, B.; Cui, Z.; Wang, D. Effect of Temperature on Wear Performance of Aircraft Tire Tread Rubber. Polym. Test 2019, 79, 106037. [Google Scholar] [CrossRef]
- Wu, A.; Weng, L.; Chen, L.; Zhang, Z. Schallamach Waves in the Rolling Inception of Rubber Wheel. Tribol. Int. 2024, 199, 110002. [Google Scholar] [CrossRef]
- Qin, X.; Han, B.; Lu, J.; Wang, Z.; Sun, Z.; Wang, D.; Russell, T.P.; Zhang, L.; Liu, J. Rational Design of Advanced Elastomer Nanocomposites towards Extremely Energy-Saving Tires Based on Macromolecular Assembly Strategy. Nano Energy 2018, 48, 180–188. [Google Scholar] [CrossRef]










| Name | Content |
|---|---|
| Unvulcanized elastomer (phr) | 100 |
| Stearic acid (phr) | 0.5 |
| 1,3-diphenylguanidine (phr) | 1 |
| Dibenzothiazole disulfide (phr) | 2 |
| Sulfur (phr) | 1 |
| NH-2 (phr) | 1 |
Disclaimer/Publisher’s Note: The statements, opinions and data contained in all publications are solely those of the individual author(s) and contributor(s) and not of MDPI and/or the editor(s). MDPI and/or the editor(s) disclaim responsibility for any injury to people or property resulting from any ideas, methods, instructions or products referred to in the content. |
© 2025 by the authors. Licensee MDPI, Basel, Switzerland. This article is an open access article distributed under the terms and conditions of the Creative Commons Attribution (CC BY) license (https://creativecommons.org/licenses/by/4.0/).
Share and Cite
Wang, X.; Yin, D.; Chen, Z.; Zhao, X.; Ye, X.; Hu, S. An Innovative Approach of Using a Bio-Based Polyurethane Elastomer to Overcome the “Magic Triangle” in Tires. Materials 2025, 18, 603. https://doi.org/10.3390/ma18030603
Wang X, Yin D, Chen Z, Zhao X, Ye X, Hu S. An Innovative Approach of Using a Bio-Based Polyurethane Elastomer to Overcome the “Magic Triangle” in Tires. Materials. 2025; 18(3):603. https://doi.org/10.3390/ma18030603
Chicago/Turabian StyleWang, Xin, Dexian Yin, Zhi Chen, Xiuying Zhao, Xin Ye, and Shikai Hu. 2025. "An Innovative Approach of Using a Bio-Based Polyurethane Elastomer to Overcome the “Magic Triangle” in Tires" Materials 18, no. 3: 603. https://doi.org/10.3390/ma18030603
APA StyleWang, X., Yin, D., Chen, Z., Zhao, X., Ye, X., & Hu, S. (2025). An Innovative Approach of Using a Bio-Based Polyurethane Elastomer to Overcome the “Magic Triangle” in Tires. Materials, 18(3), 603. https://doi.org/10.3390/ma18030603
