Investigation on Hot Deformation Behavior and Microstructural Evolution of Al-Mg-Zn Aluminum Alloy via Uniaxial Isothermal Hot Compression Tests
Abstract
1. Introduction
2. Experimental
3. Results and Discussion
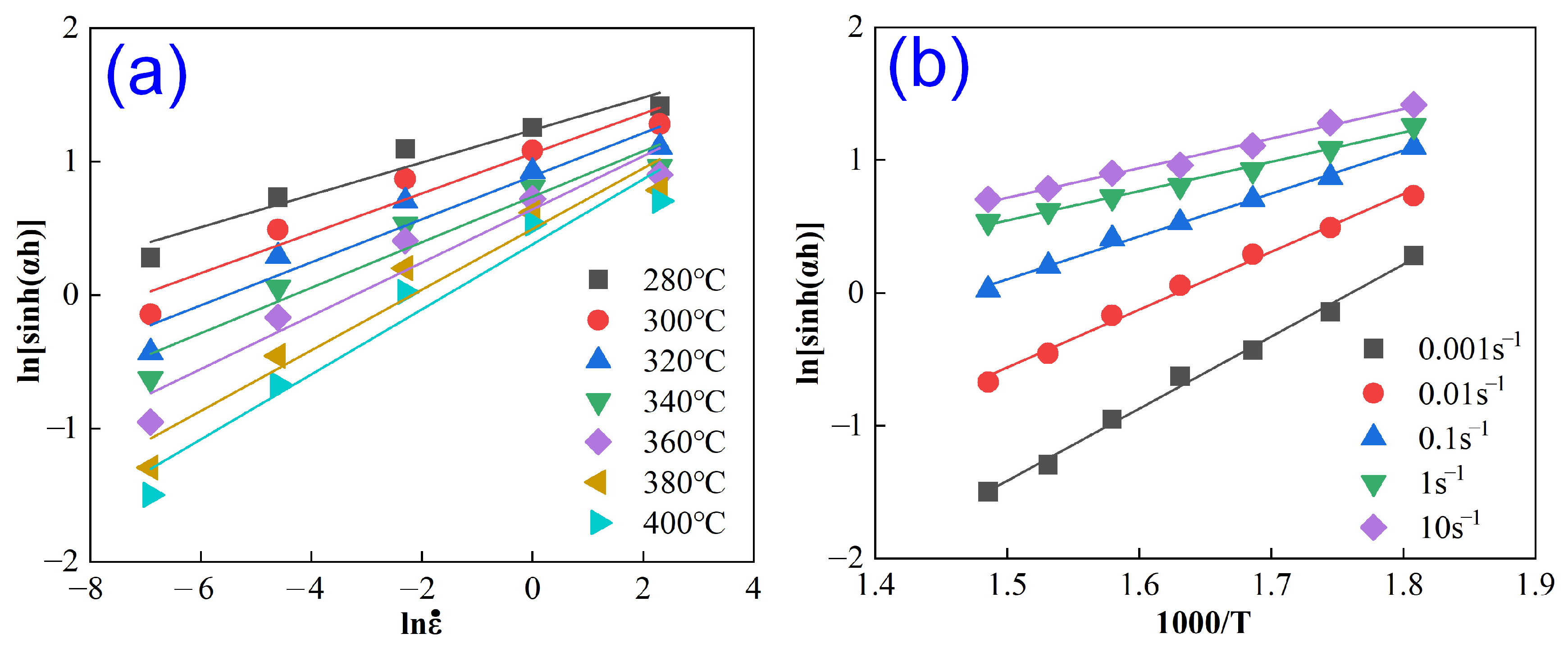
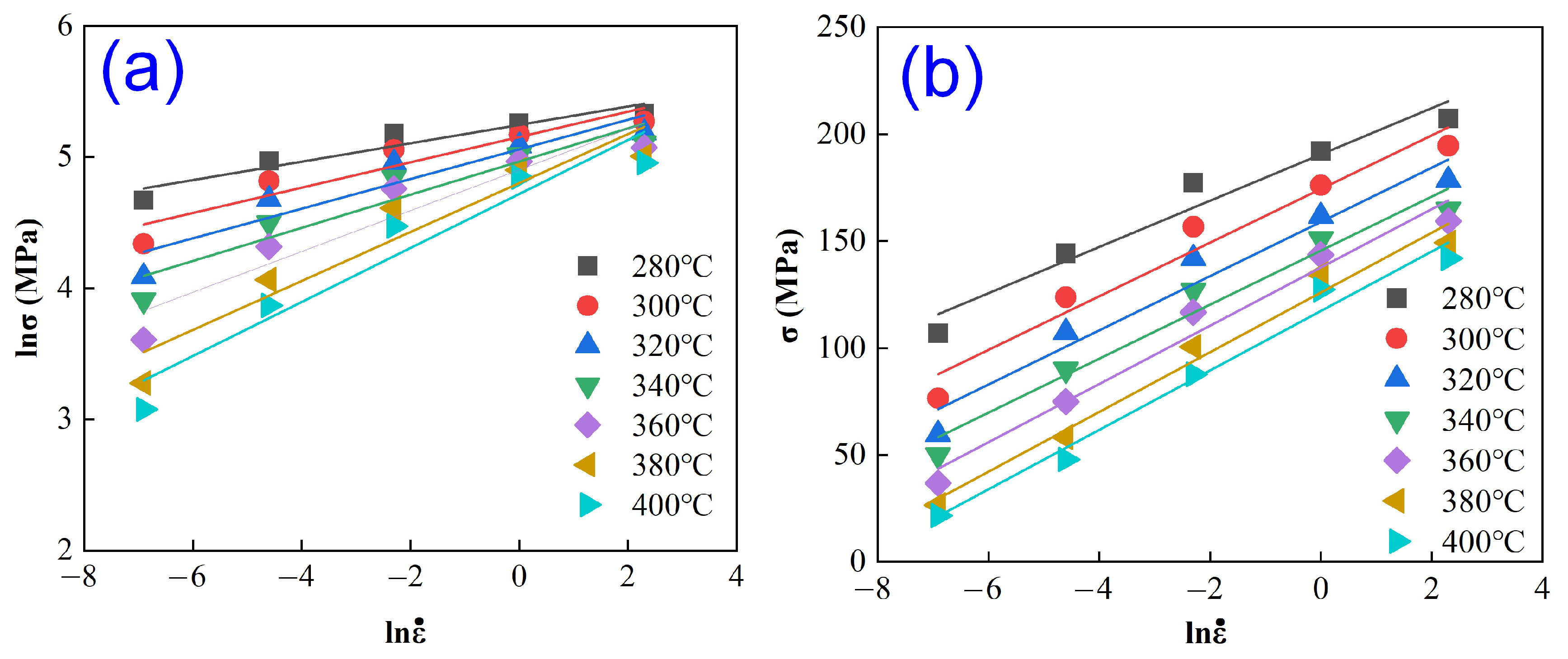
3.1. Single-Pass Hot Compression Flow Behavior of Alloys
- At deformation temperatures of 300~400 °C and strain rates of 0.001~1 s−1, as well as at 280 °C with strain rates of 0.001~0.01 s−1, the flow stress slightly decreases after peaking before stabilizing.
- At 280 °C with strain rates of 0.1~10 s−1, the flow stress declines gradually after reaching its peak.
- At 300~400 °C and a strain rate of 10 s−1, the flow stress exhibits a pronounced decreasing trend post-peak.
3.2. Effect of Deformation Temperature on the Microstructure of the Alloy
3.3. Effect of Strain Rates on the Microstructure of the Alloy
4. Conclusions
Author Contributions
Funding
Institutional Review Board Statement
Data Availability Statement
Conflicts of Interest
References
- Raabe, D.; Tasan, C.C.; Olivetti, E.A. Strategies for improving the sustainability of structural metals. Nature 2019, 575, 64–74. [Google Scholar] [CrossRef]
- Zhang, X.; Chen, Y.; Hu, J. Recent advances in the development of aerospace materials. Prog. Aerosp. Sci. 2018, 97, 22–34. [Google Scholar] [CrossRef]
- Williams, J.C.; Starke, E.A., Jr. Progress in structural materials for aerospace systems. Acta Mater. 2003, 51, 5775–5799. [Google Scholar] [CrossRef]
- Immarigeon, J.; Holt, R.; Koul, A.; Zhao, L.; Wallace, W.; Beddoes, J. Lightweight materials for aircraft applications. Mater. Charact. 1995, 35, 41–67. [Google Scholar] [CrossRef]
- Sun, Y. The use of aluminum alloys in structures: Review and outlook. Structures 2023, 57, 105290. [Google Scholar] [CrossRef]
- You, X.; Xing, Z.; Jiang, S.; Zhu, Y.; Lin, Y.; Qiu, H.; Nie, R.; Yang, J.; Hui, D.; Chen, W.; et al. A review of research on aluminum alloy materials in structural engineering. Dev. Built. Environ. 2024, 17, 100319. [Google Scholar] [CrossRef]
- Stemper, L.; Tunes, M.A.; Tosone, R.; Uggowitzer, P.J.; Pogatscher, S. On the potential of aluminum crossover alloys. Prog. Mater. Sci. 2022, 124, 100873. [Google Scholar] [CrossRef]
- Xiong, B.; Wen, K.; Li, X.; Zhang, Y.; Li, Z.; Yan, H.; Gao, G.; Li, Y.; Xiao, W.; Zhu, K.; et al. Disclosing differential precipitation behavior of a novel high Mg-containing Al-Mg-Zn-Si alloy. Mater. Des. 2024, 246, 113349. [Google Scholar] [CrossRef]
- Hou, S.; Zhang, D.; Ding, Q.; Zhang, J.; Zhuang, L. Solute clustering and precipitation of Al-5.1Mg-0.15Cu-xZn alloy. Mater. Sci. Eng. A 2019, 759, 465–478. [Google Scholar] [CrossRef]
- Hou, S.; Liu, P.; Zhang, D.; Zhang, J.; Zhuang, L. Precipitation hardening behavior and microstructure evolution of Al-5.1 Mg-0.15Cu alloy with 3.0Zn (wt%) addition. J. Mater. Sci. 2018, 53, 3846–3861. [Google Scholar] [CrossRef]
- Huang, B.P.; Zheng, Z.Q. Independent and combined roles of trace Mg and Ag additions in properties precipitation process and precipitation kinetics of Al-Cu-Li-(Mg)-(Ag)-Zr-Ti alloys. Acta Mater. 1998, 46, 4381–4393. [Google Scholar] [CrossRef]
- Hirosawa, S.; Sato, T.; Kamio, A.; Flower, H.M. Classification of the role of microalloying elements in phase decomposition of Al based alloys. Acta Mater. 2000, 48, 1797–1806. [Google Scholar] [CrossRef]
- Ringer, S.P.; Muddle, B.C.; Polmear, I.J. Effects of cold work on precipitation in Al-Cu-Mg-(Ag) and Al-Cu-Li-(Mg-Ag) alloys. Metall. Mater. Trans. A 1995, 26, 1659–1671. [Google Scholar] [CrossRef]
- Li, J.; Li, H. Compositions, structures and property characteristics of Al-Li alloy plate. Light Alloy Fabr. Technol. 2022, 50, 1–12. [Google Scholar] [CrossRef]
- Xu, X.; Wu, G.; Zhang, L.; Tong, X.; Qi, F.; Guo, Y.; Li, L.; Xiong, X.; Wang, C. Regulation of precipitation behavior among T1, S’, and θ’ phases in Al-Cu-Li-(Mg-Ag) alloys by optimizing Ag/Mg ratios. Mater. Sci. Eng. A 2023, 876, 145158. [Google Scholar] [CrossRef]
- Atxaga, G.; Arroyo, A.; Canflanca, B. Hot stamping of aerospace aluminium alloys: Automotive technologies for the aeronautics industry. J. Manuf. Process. 2022, 81, 817–827. [Google Scholar] [CrossRef]
- Xiang, K.; Lei, X.; Ding, L.; Jia, Z.; Yang, X.; Liu, Q. Optimizing mechanical property of spray formed Al-Zn-Mg-Cu alloy by combination of homogenization and warm-rolling. Mater. Sci. Eng. A 2022, 846, 143248. [Google Scholar] [CrossRef]
- Yang, S.; Shen, J.; Yan, X.; Li, X.; Sun, B.; Zhang, F. Flow behavior and constitutive equations of Al-Cu-Li-Mg-Mn-Zn-Ag alloy during isothermal compression. Chin. J. Nonferrous. Met. 2015, 25, 2083–2090. [Google Scholar] [CrossRef]
- Chen, G.; Chen, L.; Zhao, G.; Zhang, C.; Cui, W. Microstructure analysis of an Al-Zn-Mg alloy during porthole die extrusion based on modeling of constitutive equation and dynamic recrystallization. J. Alloy. Compd. 2017, 710, 80–91. [Google Scholar] [CrossRef]
- Dai, Q.; Deng, Y.; Tang, J.; Wang, Y. Deformation characteristics and strain-compensated constitutive equation for AA5083 aluminum alloy under hot compression. T. Nonferr. Metal. Soc. 2019, 29, 2252–2261. [Google Scholar] [CrossRef]
- Zhou, M.; Lin, Y.C.; Deng, J.; Jiang, Y.-Q. Hot tensile deformation behaviors and constitutive model of an Al-Zn-Mg-Cu alloy. Mater. Des. 2014, 59, 141–150. [Google Scholar] [CrossRef]
- McQueen, H.J.; Ryan, N.D. Constitutive analysis in hot working. Mater. Sci. Eng. A 2002, 322, 43–63. [Google Scholar] [CrossRef]
- Jonas, J.; Sellars, C.; Tegart, W.M. Strength and structure under hot-working conditions. Metall. Rev. 1969, 14, 1–24. [Google Scholar] [CrossRef]
- Yan, L. Research of a Novel 6000 Series Aluminum Alloywith Enhanced Age-Hardening Response Forautomotive Body Panels. Ph.D. Thesis, Northeastern University, Shenyang, China, 2015. [Google Scholar]
- T/CINA 0177-2023; Test Method for Grain Size and Recrystallization Area Fraction of Wroughtaluminum and Aluminum Alloy Electron Backscatter Diffraction Method. China Nonferrous Metals Industry Association: Beijing, China, 2023. Available online: https://www.ttbz.org.cn/StandardManage/Detail/106128/ (accessed on 1 August 2023).
- Chen, P.; Li, X.; Yao, Y.; Shi, G.; Wen, K.; Li, Z.; Zhang, Y.; Xiong, B. Hot Deformation Analysis and Microstructure Evolution of a Novel Al-Cu-Li Alloy by Isothermal Compression. Adv. Eng. Mater. 2023, 25, 2201884. [Google Scholar] [CrossRef]
- Liu, M.; Jiang, T.; Xie, X.; Liu, Q.; Li, X.; Roven, H.J. Microstructure evolution and dislocation configurations in nanostructured Al-Mg alloys processed by high pressure torsion. T. Nonferr. Metal. Soc. 2014, 24, 3848–3857. [Google Scholar] [CrossRef]
- Huang, K.; Logé, R.E. A review of dynamic recrystallization phenomena in metallic materials. Mater. Des. 2016, 111, 548–574. [Google Scholar] [CrossRef]
- Murr, L.E. Interfacial phenomena in metals and alloys. In Interfacial Phenomena in Metals and Alloys; U.S. Department of Energy Office of Scientific and Technical Information: Oak Ridge, TN, USA, 1975. [Google Scholar]
- Jiang, L. Study on the Microstructure and Properties of 5A12 Aluminum Alloy During Hot Deformation. Master’s Thesis, Hunan University, Changsha, China, 2017. [Google Scholar]







Disclaimer/Publisher’s Note: The statements, opinions and data contained in all publications are solely those of the individual author(s) and contributor(s) and not of MDPI and/or the editor(s). MDPI and/or the editor(s) disclaim responsibility for any injury to people or property resulting from any ideas, methods, instructions or products referred to in the content. |
© 2025 by the authors. Licensee MDPI, Basel, Switzerland. This article is an open access article distributed under the terms and conditions of the Creative Commons Attribution (CC BY) license (https://creativecommons.org/licenses/by/4.0/).
Share and Cite
He, F.; Huang, J.; Zhu, K.; Li, X.; Wen, K.; Gao, G.; Yan, L.; Yan, H.; Li, Z.; Zhang, Y.; et al. Investigation on Hot Deformation Behavior and Microstructural Evolution of Al-Mg-Zn Aluminum Alloy via Uniaxial Isothermal Hot Compression Tests. Materials 2025, 18, 4903. https://doi.org/10.3390/ma18214903
He F, Huang J, Zhu K, Li X, Wen K, Gao G, Yan L, Yan H, Li Z, Zhang Y, et al. Investigation on Hot Deformation Behavior and Microstructural Evolution of Al-Mg-Zn Aluminum Alloy via Uniaxial Isothermal Hot Compression Tests. Materials. 2025; 18(21):4903. https://doi.org/10.3390/ma18214903
Chicago/Turabian StyleHe, Fei, Junzhe Huang, Kai Zhu, Xiwu Li, Kai Wen, Guanjun Gao, Lizhen Yan, Hongwei Yan, Zhihui Li, Yongan Zhang, and et al. 2025. "Investigation on Hot Deformation Behavior and Microstructural Evolution of Al-Mg-Zn Aluminum Alloy via Uniaxial Isothermal Hot Compression Tests" Materials 18, no. 21: 4903. https://doi.org/10.3390/ma18214903
APA StyleHe, F., Huang, J., Zhu, K., Li, X., Wen, K., Gao, G., Yan, L., Yan, H., Li, Z., Zhang, Y., & Xiong, B. (2025). Investigation on Hot Deformation Behavior and Microstructural Evolution of Al-Mg-Zn Aluminum Alloy via Uniaxial Isothermal Hot Compression Tests. Materials, 18(21), 4903. https://doi.org/10.3390/ma18214903
