A Comprehensive Analysis of the Effectiveness of a Water-Based Extraction Method in Cement Bypass Dust Valorization
Abstract
1. Introduction
2. Materials and Methods
2.1. Materials
2.2. Experimental Procedure
2.3. Methods
2.3.1. X-Ray Diffraction (XRD)
2.3.2. X-Ray Fluorescence Spectroscopy (XRF)
2.3.3. Fourier-Transform Infrared Spectroscopy (FT-IR)
2.3.4. Scanning Electron Microscopy (SEM)
3. Results and Discussion
3.1. Starting Material Characterization
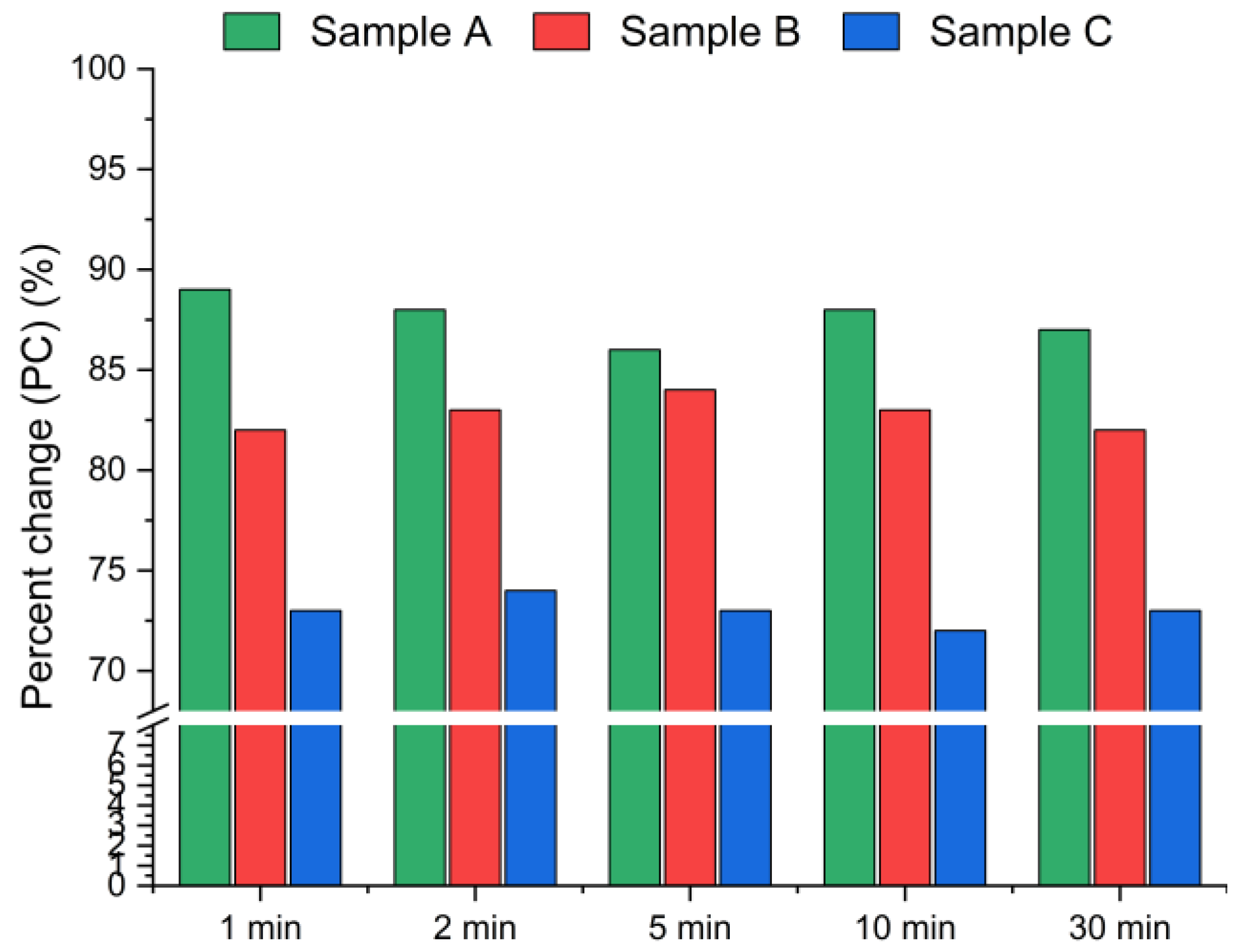
3.2. Effect of Temperature and Contact Time on the Leachability of Metals and Chlorine
3.3. Effect of Leaching Time
3.4. Effect of Leaching Conditions on the Mineralogical Composition and Surface Chemistry
3.5. Effect of Leaching Conditions on the Mineralogical Composition and Surface Chemistry
4. Conclusions
Author Contributions
Funding
Institutional Review Board Statement
Informed Consent Statement
Data Availability Statement
Conflicts of Interest
References
- CEMBUREAU European Cement Association Activity Report 2023. 17 June 2024. Available online: https://www.cembureau.eu/media/sblceede/cembureau-activity-report-2024.pdf (accessed on 18 August 2025).
- Directive 2008/98/EC of the European Parliament and of the Council of 19 November 2008 on Waste and Repealing Certain Directives. Available online: http://data.europa.eu/eli/dir/2008/98/2018-07-05 (accessed on 18 August 2025).
- Yang, H. Xi’an Zaize 2025 Alternative Fuels in China Global Cement Magazine March 2025; Pro Global Media Ltd.: Epsom, UK, 2025; ISSN 1753-6812. [Google Scholar]
- 2023 Annual Report, Vicat Plant. Available online: https://www.vicat.com/news/2023-publications-read-our-annual-report-and-facts-figures (accessed on 1 August 2025).
- Xu, Z.; Ierulli, V.; Bar-Ziv, E.; McDonald, A. Thermal degradation and organic chlorine removal from mixed plastic wastes. Energies 2022, 15, 6058. [Google Scholar] [CrossRef]
- Ma, W.; Wenga, T.; Frandsen, F.J.; Yan, B.; Chen, G. The fate of chlorine during MSW incineration: Vaporization, transformation, deposition, corrosion and remedies. Prog. Energy Combust. Sci. 2020, 76, 100789. [Google Scholar] [CrossRef]
- Broström, M.; Enestam, S.; Backman, R.; Mäkelä, K. Condensation in the KCl–NaCl system. Fuel Process. Technol. 2013, 105, 142–148. [Google Scholar] [CrossRef]
- Sipple, E.M.; Mullner, J. A Green Building in a Grey Cement Plant—Transforming Bypass Dust into Industrial Salt with the ReduDust Process, Rohoznik (SVK). 2016. Available online: https://www.atec-ltd.com/images/Redudust_ZKG_11.pdf (accessed on 19 July 2025).
- Sutou, K.; Harada, H.; Ueno, N. Chlorine bypass system for stable kiln operation and the recycling of waste. In Proceedings of the 1999 IEEE/-IAS/PCA Cement Industry Technical Conference. Conference Record (Cat. No.99CH36335), Roanoke, VA, USA, 11–15 April 1999; pp. 179–193. [Google Scholar] [CrossRef]
- Zhan, M.-X.; Fu, J.; Chen, T.; Li, Y.; Zhang, J.; Li, X.-D.; Yan, J.-H.; Buekens, A. Effects of bypass system on PCDD/F emission and chlorine circulation in cement kilns. Environ. Sci. Pollut. Res. Int. 2016, 23, 19657–19666. [Google Scholar] [CrossRef]
- Nikolov, A.; Kostov-Kytin, V.; Tarassov, M.; Tsvetanova, L.; Jordanov, N.B.; Karamanova, E.; Rostovsky, I. Characterization of cement kiln dust from Bulgarian cement plants. J. Chem. Technol. Metall. 2025, 60, 455–463. [Google Scholar] [CrossRef]
- Al- Bakri, A.Y.; Ahmed, H.M.; Hefni, M.A. Cement kiln dust (CKD): Potential beneficial applications and Eco-sustainable solutions. Sustainability 2022, 14, 7022. [Google Scholar] [CrossRef]
- Abiad, A.M.K.; Pilakoutas, K.; Guadagnini, M.; Kinoshita, H. The influence of cement bypass dust composition on the properties of slag-based mortars. Constr. Build. Mater. 2024, 444, 137829. [Google Scholar] [CrossRef]
- Maslehuddin, M.; Al-Amoudi, O.S.B.; Rahman, M.K.; Ali, M.R.; Barry, M.S. Properties of cement kiln dust concrete. Constr. Build. Mater. 2009, 23, 2357–2361. [Google Scholar] [CrossRef]
- Abo-El-Enein, S.A.; Hekal, E.E.; Gabr, N.A.; El-Barbary, M.I. Blended cements containing cement kiln dust. Silic. Indu. 1994, 59, 9–10. [Google Scholar]
- Bonfante, F.; Humbert, P.; Tulliani, J.-M.; Palmero, P.; Ferrara, G. CO2 uptake of cement by-pass dust via direct aqueous carbonation: An experimental design for time and temperature optimization. Mater. Struct. 2024, 57, 181. [Google Scholar] [CrossRef]
- Sultan, M.E.; Abo-El-Enein, S.A.; Sayed, A.Z.; El-Sokkary, T.M.; Hammad, H.A. Incorporation of cement bypass flue dust in fly ash and blast furnace slag-based geopolymer. Case Stud. Constr. Mater. 2018, 8, 315–322. [Google Scholar] [CrossRef]
- Heikal, M.; Aiad, I.; Helmy, I.M. Portland cement clinker, granulated slag and by-pass cement dust composites. Cem. Concr. Res. 2002, 32, 1805–1812. [Google Scholar] [CrossRef]
- Wojtacha-Rychter, K.; Król, M.; Gołaszewska, M.; Całus-Moszko, J.; Magdziarczyk, M.; Smoliński, A. Dust from chlorine bypass installation as cementitious materials replacement in concrete making. J. Build. Eng. 2022, 51, 104309. [Google Scholar] [CrossRef]
- Zheng, M.; Zhang, Y.; Yan, S.; Wu, Z.; Li, X.; Wu, D.; Xiong, L. Effect of carrier-encapsulated microbial calcium carbonate on the performance of cement mortar. Constr. Build. Mater. 2025, 483, 141579. [Google Scholar] [CrossRef]
- EN 197–1(2011); Cement Composition, Specifications and Conformity Criteria for Common Cements—European Standards, European Committee for Standardisation, 2011. BSI: Londen, UK, 2011.
- Siddique, R. Cement kiln dust. In Waste Materials and By-Products in Concrete; Springer: Berlin/Heidelberg, Germany, 2007; pp. 351–380. [Google Scholar]
- Al-Rawas, A.A. Microfabric and mineralogical studies on the stabilization of an expansive soil using cement by-pass dust and some types of slags. Can. Geotech. J. 2002, 39, 1150–1167. [Google Scholar] [CrossRef]
- Taha, R.; Al-Rawas, A.; Al-Harthy, A.; Qatan, A. Use of cement bypass dust as filler in asphalt concrete mixtures. J. Mater. Civ. Eng. 2002, 14, 338–343. [Google Scholar] [CrossRef]
- Ata, A.A.; Salem, T.N.; Elkhawas, N.M. Properties of soil–bentonite–cement bypass mixture for cutoff walls. Constr. Build. Mater. 2015, 93, 950–956. [Google Scholar] [CrossRef]
- El Zayat, M. Adsorption of Heavy Metals Cations in Wastewater Using Cement Kiln Dust. Ph.D. Dissertation, The American University in Cairo, AUC Knowledge Fountain, New Cairo, Egypt, 2015. Available online: https://fount.aucegypt.edu/etds/30 (accessed on 19 July 2025).
- Vojvodíková, B.; Procházka, L.; Boháčová, J. X-ray diffraction of alkali-activated materials with cement by-pass dust. Crystals 2021, 11, 782. [Google Scholar] [CrossRef]
- Kalina, L.; Bílek, V.; Kiripolský, T., Jr.; Novotný, R.; Másilko, J. Cement kiln by-pass dust: An effective alkaline activator for pozzolanic materials. Materials 2018, 11, 1770. [Google Scholar] [CrossRef] [PubMed]
- Štěpánková, E.; Kalina, L.; Bílek, V.; Bartoníčková, E., Jr. Utilization of by-pass cement kiln dust in alkali-activated materials. Key Eng. Mater. 2018, 761, 23–26. [Google Scholar] [CrossRef]
- Daous, M.A. Recovery of potassium salts from kiln dust of local cement plants. In Proceedings of the 6th Saudi Engineering Conference, Dhahran, Saudi Arabia, 6–8 May 2024; KFUPM: Dhahran, Saudi Arabia, 2024. [Google Scholar]
- Seo, M.; Lee, S.Y.; Lee, C.; Cho, S.S. Recycling of cement kiln dust as a raw material for cement. Environments 2019, 6, 113. [Google Scholar] [CrossRef]
- Wang, J.; Zeng, P.; Liu, Z.; Li, Y. Manufacture of potassium chloride from cement kiln bypass dust: An industrial implementation case for transforming waste into valuable resources. Heliyon 2023, 9, e21806. [Google Scholar] [CrossRef]
- Choi, H.B.; Kim, J.M.; Choi, S.M.; Kim, S.S. KCl extracted from chlorine bypass dust as activator for plain concrete. Materials 2021, 14, 6091. [Google Scholar] [CrossRef] [PubMed]
- Baran, T.; Ostrowski, M.; Pichniarczyk, P.; Kosmal, M. Residue after the extraction of potassium and chlorine from by-pass dust as a new raw material for the synthesis of low-emission Portland clinker. Cement. Wapno Beton 2023, 28, 120–131. [Google Scholar] [CrossRef]
- Lee, Y.H.; Yang, H.; Lee, S.M.; Kim, S.S. Surface properties of cement kiln dust with water treatment for selective extraction of calcium and potassium. ACS Omega 2020, 5, 24351–24355. [Google Scholar] [CrossRef] [PubMed]
- PN ISO 9297:1994; Water Quality—Determination of Chloride. Silver Nitrate Titration with Chromate Indicator (Mohr’s Method). ISO: Geneva, Switzerland, 2021.
- Uliasz-Bocheńczyk, A. Chemical characteristics of dust from cement kilns. Miner. Resour. Manag. 2023, 35, 87–102. [Google Scholar] [CrossRef]
- EL-sayed, N.; Kohail, M.; Khalaf, M.A. The efficiency of chloride extraction using un-galvanized steel anode. Ain Shams Eng. J. 2021, 12, 1353–1360. [Google Scholar] [CrossRef]
- Liang, S.; Yin, L.; Zhang, D.; Su, D.; Qu, H.Y. ResNet14Attention network for identifying the titration end-point of potassium dichromate. Heliyon 2023, 9, e18992. [Google Scholar] [CrossRef]
- Meija, J.; Michałowska-Kaczmarczyk, A.M.; Michałowski, T. Mohr’s method challenge. Anal. Bioanal. Chem. 2016, 408, 1721–1722. [Google Scholar] [CrossRef][Green Version]
- Li, Y.; Yang, Z.; Yang, K.; Wei, J.; Li, Z.; Ma, C.; Yang, X.; Wang, T.; Zeng, G.; Yu, G.; et al. Removal of chloride from water and wastewater: Removal mechanisms and recent trends. Sci. Total Environ. 2022, 821, 153174. [Google Scholar] [CrossRef]
- Zhao, S.; Zhao, Y.; Cui, Z.; Zhang, H.; Zhang, J. Effect of pH, temperature, and salinity levels on heavy metal fraction in lake sediments. Toxics 2024, 12, 494. [Google Scholar] [CrossRef]
- Youn, M.H.; Park, K.T.; Lee, Y.H.; Kang, S.-P.; Lee, S.M.; Kim, S.S.; Kim, Y.E.; Ko, Y.N.; Jeong, S.K.; Lee, W. Carbon dioxide sequestration process for the cement industry. J. CO2 Util. 2019, 34, 325–334. [Google Scholar] [CrossRef]
- BS EN 206: 2013; Concrete—Specification, Performance, Production and Conformity. Incorporating Corrigendum May 2014. BSI: Londen, UK, 2021.
- Al-Saleh, S.A. Analysis of total chloride content in concrete. Case Stud. Constr. Mater. 2015, 3, 78–82. [Google Scholar] [CrossRef]
- BRMCA Information Sheet. Available online: https://brmca.org.uk/documents/BRMCA_Information_Sheet_Concrete_chloride_class_v190927.pdf (accessed on 1 October 2025).
- Liu, W.; Sun, B.; Zhang, D.; Chen, L.; Yang, T. Effect of pH on the selective separation of metals from acidic wastewater by controlling potential. Sep. Purif. Technol. 2018, 205, 223–230. [Google Scholar] [CrossRef]
- Castells, C.B.; Ràfols, C.; Rosés, M.; Bosch, E. Effect of temperature on pH measurements and acid-base equilibria in methanol-water mixtures. J. Chromatogr. A 2003, 1002, 41–53. [Google Scholar] [CrossRef]
- Czapik, P.; Zapała-Sławeta, J.; Owsiak, Z.; Stępień, P. Hydration of cement by-pass dust. Constr. Build. Mater. 2020, 231, 117139. [Google Scholar] [CrossRef]
- Ofomaja, A.E.; Ho, Y.S. Effect of pH on cadmium biosorption by coconut copra meal. J. Hazar. Mater. 2007, 139, 356–362. [Google Scholar] [CrossRef] [PubMed]
- Cruz-Lopes, L.P.; Macena, M.; Esteves, B.; Guiné, R.P.F. Ideal pH for the adsorption of metal ions Cr6+, Ni2+, Pb2+ in aqueous solution with different adsorbent materials. Open Agric. 2021, 6, 115–123. [Google Scholar] [CrossRef]
- Taylor, H.F.W.; Famy, C.; Scrivener, K.L. Delayed ettringite formation. Cem. Concr Res. 2001, 31, 683–693. [Google Scholar] [CrossRef]
- Zhou, Q.; Lachowski, E.E.; Glasser, F.P. Metaettringite, a decomposition product of ettringite. Cem. Concr Res. 2004, 34, 703–710. [Google Scholar] [CrossRef]
- Gou, J.; Li, S.; Jiang, C.; Li, Z.; You, G. A study on the influence of gypsum and Ca(OH)2 on the mechanical properties and hydration behavior of multi-component solid waste-based cementitious materials. Materials 2025, 18, 1964. [Google Scholar] [CrossRef] [PubMed]
- Wei, M.; Chen, L.; Lei, N.; Li, H.; Huang, L. Mechanical properties and microstructures of thermally activated ultrafine recycled fine powder cementitious materials. Constr. Build. Mater. 2025, 475, 141195. [Google Scholar] [CrossRef]
- Song, Y.; Zhang, Y.; Shen, S.; Pan, C.; Yan, D.; Wang, Z.; Wang, S.; Ruan, S. Effects of Ca(OH)2 on the reinforcement corrosion of sulfoaluminate cement mortar. Mater. Struct. 2023, 56, 26. [Google Scholar] [CrossRef]
- Wang, H.; Feng, P.; Liu, X.; Shi, J.; Wang, C.; Wang, W.; Li, H.; Hong, J. The role of ettringite seeds in enhancing the ultra-early age strength of Portland cement containing aluminum sulfate accelerator. Compos. B Eng. 2024, 287, 111856. [Google Scholar] [CrossRef]
- Min, D.; Mingshu, T. Formation and expansion of ettringite crystals. Cem. Concr. Res. 1994, 24, 119–126. [Google Scholar] [CrossRef]
- Luo, B.; Su, Y.; Ding, X.; Chen, Y.; Liu, C. Modulation of initial CaO/Al2O3 and SiO2/Al2O3 ratios on the properties of slag/fly ash-based geopolymer stabilized clay: Synergistic effects and stabilization mechanism. Mater. Today Commun. 2025, 47, 113295. [Google Scholar] [CrossRef]
- Rożek, P.; Król, M.; Mozgawa, W. Spectroscopic studies of fly ash-based geopolymers. Spectrochim. Acta. A Mol. Biomol. Spectrosc. 2018, 198, 283–289. [Google Scholar] [CrossRef]
- Yuan, Y.; Zhan, W.; Valdivieso, A.L.; Ma, S.; Tian, Y.; Yi, H.; Dong, G.; Song, S.; Cisternas, L.A.; Jia, F. Novel insights into sylvite flotation modulated by exposing facets. Powder Technol. 2024, 443, 119969. [Google Scholar] [CrossRef]
- Chand, G. Microstructural study of sustainable cements produced from industrial by-products, natural minerals and agricultural wastes: A critical review on engineering properties. Clean. Eng. Techno. 2021, 4, 100224. [Google Scholar] [CrossRef]















| Sample | SiO2 | Al2O3 | Fe2O3 | CaO | MgO | Na2O | K2O | SO3 | LOI | Cl |
|---|---|---|---|---|---|---|---|---|---|---|
| A | 8.03 | 2.52 | 1.94 | 49.47 | 0.69 | 1.02 | 14.91 | 6.51 | 12.97 | 13.65 |
| B | 7.19 | 2.44 | 2.00 | 49.53 | 0.62 | 4.42 | 10.21 | 6.71 | 10.12 | 15.43 |
| C | 7.12 | 2.16 | 2.35 | 73.64 | 1.22 | 0.73 | 4.52 | 2.49 | 7.35 | 4.32 |
| Constitute | Concrete Composition, kg/m3 | Chloride Content, % | Total Chloride Content, kg |
|---|---|---|---|
| Cement | 315 | 0.08 | 0.2520 |
| Fine Aggregate | 790 | 0.04 | 0.3160 |
| Coarse Aggregate | 1080 | 0.01 | 0.1080 |
| Admixture | 1 | 0.10 | 0.0010 |
| Solid residue (CBPD) | 10 | 0.50 | 0.0175 |
| Water | 160 | 0.00 | 0.0000 |
| Total | 2381 | 0.28 | 0.6945 |
Disclaimer/Publisher’s Note: The statements, opinions and data contained in all publications are solely those of the individual author(s) and contributor(s) and not of MDPI and/or the editor(s). MDPI and/or the editor(s) disclaim responsibility for any injury to people or property resulting from any ideas, methods, instructions or products referred to in the content. |
© 2025 by the authors. Licensee MDPI, Basel, Switzerland. This article is an open access article distributed under the terms and conditions of the Creative Commons Attribution (CC BY) license (https://creativecommons.org/licenses/by/4.0/).
Share and Cite
Wojtacha-Rychter, K.; Król, M.; Dechnik, J. A Comprehensive Analysis of the Effectiveness of a Water-Based Extraction Method in Cement Bypass Dust Valorization. Materials 2025, 18, 4668. https://doi.org/10.3390/ma18204668
Wojtacha-Rychter K, Król M, Dechnik J. A Comprehensive Analysis of the Effectiveness of a Water-Based Extraction Method in Cement Bypass Dust Valorization. Materials. 2025; 18(20):4668. https://doi.org/10.3390/ma18204668
Chicago/Turabian StyleWojtacha-Rychter, Karolina, Magdalena Król, and Jakub Dechnik. 2025. "A Comprehensive Analysis of the Effectiveness of a Water-Based Extraction Method in Cement Bypass Dust Valorization" Materials 18, no. 20: 4668. https://doi.org/10.3390/ma18204668
APA StyleWojtacha-Rychter, K., Król, M., & Dechnik, J. (2025). A Comprehensive Analysis of the Effectiveness of a Water-Based Extraction Method in Cement Bypass Dust Valorization. Materials, 18(20), 4668. https://doi.org/10.3390/ma18204668

