Development of PEO in Low-Temperature Ternary Nitrate Molten Salt on Ti6Al4V
Abstract
1. Introduction
2. Materials and Methods
2.1. Coating Fabrication
2.2. Coating Characterization
2.3. Corrosion Resistance Test
3. Results and Discussions
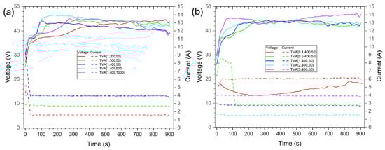
3.1. PEO Processing
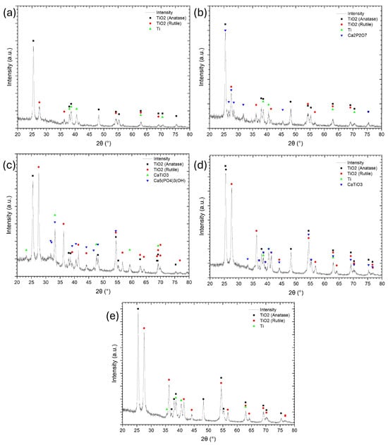
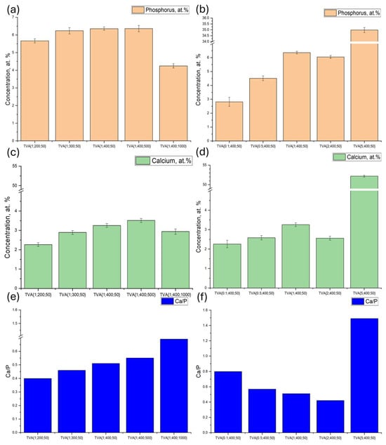
3.2. Coating Characterization
3.3. Corrosion Behavior
4. Conclusions
Supplementary Materials
Author Contributions
Funding
Informed Consent Statement
Data Availability Statement
Conflicts of Interest
Abbreviations
| PEO | Plasma electrolytic oxidation; |
| ADP | Ammonium dihydrogen phosphate; |
| SEM | Scanning electron microscopy; |
| HAp | Hydroxyl-apatite; |
| CA | Contact angle; |
| EDX | Energy-dispersive X-ray spectroscopy on SEM; |
| XRD | X-ray diffraction; |
| TVA | Titanium vanadium alloy substrate, Ti-6Al-4V; |
| RHE | Reference hydrogen electrode. |
References
- Kim, J.; Shin, D.; Jang, S.; Kim, T.; Kim, G.-H.; Jung, K.; Kim, H.G.; Park, J.H. Applicability of the Ti6Al4V Alloy to the Roller Arm for Aircraft Parts Made Using the DMLS Method. Int. J. Aeronaut. Space Sci. 2022, 23, 896–905. [Google Scholar] [CrossRef]
- Inagaki, I.; Takechi, T.; Ariyasu, Y.S.N. Application and Features of Titanium for the Aerospace Industry. Nippon. Steel Sumitomo Met. Tech. Rep. 2014, 106, 22–27. [Google Scholar]
- Srivastava, M.; Jayakumar, V.; Udayan, Y.; M, S.; S M, M.; Gautam, P.; Nag, A. Additive Manufacturing of Titanium Alloy for Aerospace Applications: Insights into the Process, Microstructure, and Mechanical Properties. Appl. Mater. Today 2024, 41, 102481. [Google Scholar] [CrossRef]
- Singh, P.; Pungotra, H.; Kalsi, N.S. On the Characteristics of Titanium Alloys for the Aircraft Applications. Mater. Today Proc. 2017, 4, 8971–8982. [Google Scholar] [CrossRef]
- Wang, Y.; Lu, Y.; Wang, Y.; Wu, Y.; Gao, Q.; Zhang, C. Investigation on Thermal Performance of Quinary Nitrate/Nitrite Mixed Molten Salts with Low Melting Point for Thermal Energy Storage. Sol. Energy Mater. Sol. Cells 2024, 270, 112803. [Google Scholar] [CrossRef]
- Vu, N.B.; Truong, N.H.; Dang, L.T.; Phi, L.T.; Ho, N.T.-T.; Pham, T.N.; Phan, T.P.; Van Pham, P. In Vitro and in Vivo Biocompatibility of Ti-6Al-4V Titanium Alloy and UHMWPE Polymer for Total Hip Replacement. Biomed. Res. Ther. 2016, 3, 14. [Google Scholar] [CrossRef]
- Nicholson, J.W. Titanium Alloys for Dental Implants: A Review. Prosthesis 2020, 2, 100–116. [Google Scholar] [CrossRef]
- Gao, Y.; Jiang, W.; Zeng, D.; Liang, X.; Ma, C.; Xiao, W. Additive Manufacturing of Titanium Alloys for Biomedical Applications: A Systematic Review. Rev. Mater. Res. 2025, 1, 100011. [Google Scholar] [CrossRef]
- Aliofkhazraei, M.; Macdonald, D.D.; Matykina, E.; Parfenov, E.V.; Egorkin, V.S.; Curran, J.A.; Troughton, S.C.; Sinebryukhov, S.L.; Gnedenkov, S.V.; Lampke, T.; et al. Review of Plasma Electrolytic Oxidation of Titanium Substrates: Mechanism, Properties, Applications and Limitations. Appl. Surf. Sci. Adv. 2021, 5, 100121. [Google Scholar] [CrossRef]
- Han, X.; Ma, J.; Tian, A.; Wang, Y.; Li, Y.; Dong, B.; Tong, X.; Ma, X. Surface Modification Techniques of Titanium and Titanium Alloys for Biomedical Orthopaedics Applications: A Review. Colloids Surf. B Biointerfaces 2023, 227, 113339. [Google Scholar] [CrossRef]
- Rescigno, R.; Sacco, O.; Venditto, V.; Fusco, A.; Donnarumma, G.; Lettieri, M.; Fittipaldi, R.; Vaiano, V. Photocatalytic Activity of P-Doped TiO2 Photocatalyst. Photochem. Photobiol. Sci. 2023, 22, 1223–1231. [Google Scholar] [CrossRef]
- Yerokhin, A.L.; Nie, X.; Leyland, A.; Matthews, A.; Dowey, S.J. Plasma Electrolysis for Surface Engineering. Surf. Coat. Technol. 1999, 122, 73–93. [Google Scholar] [CrossRef]
- Kaseem, M.; Fatimah, S.; Nashrah, N.; Ko, Y.G. Recent Progress in Surface Modification of Metals Coated by Plasma Electrolytic Oxidation: Principle, Structure, and Performance. Prog. Mater. Sci. 2021, 117, 100735. [Google Scholar] [CrossRef]
- Cardoso, G.C.; Grandini, C.R.; Rau, J.V. Comprehensive Review of PEO Coatings on Titanium Alloys for Biomedical Implants. J. Mater. Res. Technol. 2024, 31, 311–328. [Google Scholar] [CrossRef]
- Yuferov, Y.V.; Zykov, F.M.; Malshakova, E. Defects of Porous Self-Structured Anodic Alumina Oxide on Industrial Aluminum Grades. Solid State Phenom. 2018, 284, 1134–1139. [Google Scholar] [CrossRef]
- Yuferov, Y.; Arnautov, A.; Shak, A.; Beketov, A. Forming Complex Geometry of Nanopore by Anodic Oxidation of Aluminum by Pulsation Method. AIP Conf. Proc. 2018, 2015, 020113. [Google Scholar]
- Zykov, F.; Selyanin, I.; Shishkin, R.; Kartashov, V.; Borodianskiy, K.; Yuferov, Y. Study of the Photocatalytic Properties of Ni-Doped Nanotubular Titanium Oxide. Coatings 2023, 13, 144. [Google Scholar] [CrossRef]
- Rozenblium, I.; Yuferov, Y.; Borodianskiy, K. A Comprehensive Study of Aluminum Anodization in Transition Modes. Materials 2024, 17, 3438. [Google Scholar] [CrossRef] [PubMed]
- Lugovskoy, A.; Zinigr, M. Plasma Electrolytic Oxidation of Valve Metals. In Materials Science—Advanced Topics; Mastai, Y., Ed.; InTech: Rijeka, Croatia, 2013. [Google Scholar]
- Sikdar, S.; Menezes, P.V.; Maccione, R.; Jacob, T.; Menezes, P.L. Plasma Electrolytic Oxidation (PEO) Process—Processing, Properties, and Applications. Nanomaterials 2021, 11, 1375. [Google Scholar] [CrossRef] [PubMed]
- Stojadinović, S.; Vasilić, R.; Petković, M.; Kasalica, B.; Belča, I.; Žekić, A.; Zeković, L. Characterization of the Plasma Electrolytic Oxidation of Titanium in Sodium Metasilicate. Appl. Surf. Sci. 2013, 265, 226–233. [Google Scholar] [CrossRef]
- Luttrell, T.; Halpegamage, S.; Tao, J.; Kramer, A.; Sutter, E.; Batzill, M. Why Is Anatase a Better Photocatalyst than Rutile?—Model Studies on Epitaxial TiO2 Films. Sci. Rep. 2014, 4, 4043. [Google Scholar] [CrossRef]
- Zhang, J.; Zhou, P.; Liu, J.; Yu, J. New Understanding of the Difference of Photocatalytic Activity among Anatase, Rutile and Brookite TiO2. Phys. Chem. Chem. Phys. 2014, 16, 20382–20386. [Google Scholar] [CrossRef]
- Kazek-Kęsik, A.; Dercz, G.; Suchanek, K.; Kalemba-Rec, I.; Piotrowski, J.; Simka, W. Biofunctionalization of Ti–13Nb–13Zr Alloy Surface by Plasma Electrolytic Oxidation. Part I. Surf. Coatings Technol. 2015, 276, 59–69. [Google Scholar] [CrossRef]
- Gouma, P.I.; Mills, M.J. Anatase-to-Rutile Transformation in Titania Powders. J. Am. Ceram. Soc. 2001, 84, 619–622. [Google Scholar] [CrossRef]
- Alves, S.A.; Bayón, R.; de Viteri, V.S.; Garcia, M.P.; Igartua, A.; Fernandes, M.H.; Rocha, L.A. Tribocorrosion Behavior of Calcium- and Phosphorous-Enriched Titanium Oxide Films and Study of Osteoblast Interactions for Dental Implants. J. Bio-Tribo-Corros. 2015, 1, 23. [Google Scholar] [CrossRef]
- Li, B.; Zhang, L.; Li, Y.; Li, H.; Zhou, L.; Liang, C.; Wang, H. Corrosion Resistance and Biological Properties of Anatase and Rutile Coatings on a Titanium Surface. Chem. Lett. 2019, 48, 1355–1357. [Google Scholar] [CrossRef]
- de Viteri, V.S.; Bayón, R.; Igartua, A.; Barandika, G.; Moreno, J.E.; Peremarch, C.P.-J.; Pérez, M.M. Structure, Tribocorrosion and Biocide Characterization of Ca, P and I Containing TiO2 Coatings Developed by Plasma Electrolytic Oxidation. Appl. Surf. Sci. 2016, 367, 1–10. [Google Scholar] [CrossRef]
- Mashtalyar, D.V.; Nadaraia, K.V.; Gnedenkov, A.S.; Imshinetskiy, I.M.; Piatkova, M.A.; Pleshkova, A.I.; Belov, E.A.; Filonina, V.S.; Suchkov, S.N.; Sinebryukhov, S.L.; et al. Bioactive Coatings Formed on Titanium by Plasma Electrolytic Oxidation: Composition and Properties. Materials 2020, 13, 4121. [Google Scholar] [CrossRef]
- Carballo-Vila, M.; Moreno-Burriel, B.; Chinarro, E.; Jurado, J.R.; Casañ-Pastor, N.; Collazos-Castro, J.E. Titanium Oxide as Substrate for Neural Cell Growth. J. Biomed. Mater. Res. Part A 2009, 90A, 94–105. [Google Scholar] [CrossRef]
- Sollazzo, V.; Pezzetti, F.; Scarano, A.; Piattelli, A.; Massari, L.; Brunelli, G.; Carinci, F. Anatase Coating Improves Implant Osseointegration In Vivo. J. Craniofacial Surg. 2007, 18, 806–810. [Google Scholar] [CrossRef]
- Santos, P.B.; de Castro, V.V.; Baldin, E.K.; Aguzzoli, C.; Longhitano, G.A.; Jardini, A.L.; Lopes, É.S.N.; de Andrade, A.M.H.; de Fraga Malfatti, C. Wear Resistance of Plasma Electrolytic Oxidation Coatings on Ti-6Al-4V Eli Alloy Processed by Additive Manufacturing. Metals 2022, 12, 1070. [Google Scholar] [CrossRef]
- Boonrawd, W.; Awad, K.; Varanasi, V.; Meletis, E.I. Surface Characteristics and In-Vitro Studies of TiO2 Coatings by Plasma Electrolytic Oxidation in Potassium-Phosphate Electrolyte. Ceram. Int. 2022, 48, 7071–7081. [Google Scholar] [CrossRef] [PubMed]
- Tsou, H.-K.; Hsieh, P.-Y.; Chi, M.-H.; Chung, C.-J.; He, J.-L. Improved Osteoblast Compatibility of Medical-Grade Polyetheretherketone Using Arc Ionplated Rutile/Anatase Titanium Dioxide Films for Spinal Implants. J. Biomed. Mater. Res. Part A 2012, 100A, 2787–2792. [Google Scholar] [CrossRef]
- Shokouhfar, M.; Dehghanian, C.; Montazeri, M.; Baradaran, A. Preparation of Ceramic Coating on Ti Substrate by Plasma Electrolytic Oxidation in Different Electrolytes and Evaluation of Its Corrosion Resistance: Part II. Appl. Surf. Sci. 2012, 258, 2416–2423. [Google Scholar] [CrossRef]
- Montazeri, M.; Dehghanian, C.; Shokouhfar, M.; Baradaran, A. Investigation of the Voltage and Time Effects on the Formation of Hydroxyapatite-Containing Titania Prepared by Plasma Electrolytic Oxidation on Ti–6Al–4V Alloy and Its Corrosion Behavior. Appl. Surf. Sci. 2011, 257, 7268–7275. [Google Scholar] [CrossRef]
- Hussein, R.O.; Nie, X.; Northwood, D.O. Influence of Process Parameters on Electrolytic Plasma Discharging Behaviour and Aluminum Oxide Coating Microstructure. Surf. Coat. Technol. 2010, 205, 1659–1667. [Google Scholar] [CrossRef]
- Lu, X.; Mohedano, M.; Blawert, C.; Matykina, E.; Arrabal, R.; Kainer, K.U.; Zheludkevich, M.L. Plasma Electrolytic Oxidation Coatings with Particle Additions—A Review. Surf. Coatings Technol. 2016, 307, 1165–1182. [Google Scholar] [CrossRef]
- Wang, J.; Pan, Y.; Feng, R.; Cui, H.; Gong, B.; Zhang, L.; Gao, Z.; Cui, X.; Zhang, H.; Jia, Z. Effect of Electrolyte Composition on the Microstructure and Bio-Corrosion Behavior of Micro-Arc Oxidized Coatings on Biomedical Ti6Al4V Alloy. J. Mater. Res. Technol. 2020, 9, 1477–1490. [Google Scholar] [CrossRef]
- Rokosz, K.; Hryniewicz, T.; Kacalak, W.; Tandecka, K.; Raaen, S.; Gaiaschi, S.; Chapon, P.; Malorny, W.; Matýsek, D.; Dudek, Ł.; et al. Characterization of Porous Phosphate Coatings Enriched with Calcium, Magnesium, Zinc and Copper Created on CP Titanium Grade 2 by Plasma Electrolytic Oxidation. Metals 2018, 8, 411. [Google Scholar] [CrossRef]
- Yuferov, Y.; Borodianskiy, K. Ca/P in Situ Introduction for Enhancing Coating Biocompatibility via Plasma Electrolytic Oxidation in Low-Temperature Molten Salt. Open Ceram. 2024, 18, 100602. [Google Scholar] [CrossRef]
- Kyrylenko, S.; Warchoł, F.; Oleshko, O.; Husak, Y.; Kazek-Kęsik, A.; Korniienko, V.; Deineka, V.; Sowa, M.; Maciej, A.; Michalska, J.; et al. Effects of the Sources of Calcium and Phosphorus on the Structural and Functional Properties of Ceramic Coatings on Titanium Dental Implants Produced by Plasma Electrolytic Oxidation. Mater. Sci. Eng. C 2021, 119, 111607. [Google Scholar] [CrossRef]
- Rokosz, K.; Hryniewicz, T.; Dudek, Ł. Phosphate Porous Coatings Enriched with Selected Elements via PEO Treatment on Titanium and Its Alloys: A Review. Materials 2020, 13, 2468. [Google Scholar] [CrossRef]
- Sobolev, A.; Kossenko, A.; Borodianskiy, K. Study of the Effect of Current Pulse Frequency on Ti-6Al-4V Alloy Coating Formation by Micro Arc Oxidation. Materials 2019, 12, 3983. [Google Scholar] [CrossRef]
- Sun, C.; Hui, R.; Qu, W.; Yick, S.; Sun, C.; Qian, W. Effects of Processing Parameters on Microstructures of TiO2 Coatings Formed on Titanium by Plasma Electrolytic Oxidation. J. Mater. Sci. 2010, 45, 6235–6241. [Google Scholar] [CrossRef]
- Dogadkin, D.; Sagidugumar, A.; Kaliyev, D.; Dmitriev, N.; Kozhakhmetov, Y. The Role of Signal Waveforms in Plasma Electrolytic Oxidation. Coatings 2025, 15, 36. [Google Scholar] [CrossRef]
- Malinovschi, V.; Marin, A.H.; Ducu, C.; Moga, S.; Andrei, V.; Coaca, E.; Craciun, V.; Lungu, M.; Lungu, C.P. Improvement of Mechanical and Corrosion Properties of Commercially Pure Titanium Using Alumina PEO Coatings. Coatings 2022, 12, 29. [Google Scholar] [CrossRef]
- Vasilyeva, M.S.; Artemyanov, A.P.; Rudnev, V.S.; Kondrikov, N.B. The Porous Structure of Silicon-Containing Surface Layers Formed on Titanium by Plasma-Electrolytic Oxidation. Prot. Met. Phys. Chem. Surfaces 2014, 50, 499–507. [Google Scholar] [CrossRef]
- Sobolev, A.; Kossenko, A.; Zinigrad, M.; Borodianskiy, K. Comparison of Plasma Electrolytic Oxidation Coatings on Al Alloy Created in Aqueous Solution and Molten Salt Electrolytes. Surf. Coat. Technol. 2018, 344, 590–595. [Google Scholar] [CrossRef]
- Cheng, Y.; Shi, X.; Lv, Y.; Zhang, X. Effect of Electrolyte Temperature on Plasma Electrolytic Oxidation of Pure Aluminum. Metals 2024, 14, 615. [Google Scholar] [CrossRef]
- Sobolev, A.; Bograchev, D.; Zinigrad, M.; Borodianskiy, K. Evolution of Corrosion on Microstructure of Ceramic Coating Produced by Plasma Electrolytic Oxidation in Molten Salt. Ceram. Int. 2022, 48, 10990–10998. [Google Scholar] [CrossRef]
- Sobolev, A.; Zinigrad, M.; Borodianskiy, K. Ceramic Coating on Ti-6Al-4V by Plasma Electrolytic Oxidation in Molten Salt: Development and Characterization. Surf. Coat. Technol. 2021, 408, 126847. [Google Scholar] [CrossRef]
- Gomez, J.C.; Calvet, N.; Starace, A.K.; Glatzmaier, G.C. Ca(NO3)2—NaNO3—KNO3 Molten Salt Mixtures for Direct Thermal Energy Storage Systems in Parabolic Trough Plants. J. Sol. Energy Eng. 2013, 135, 021016. [Google Scholar] [CrossRef]
- Shrotri, V.; Muhmood, L. Experimental and Modeling Studies on Density of Ca(NO3)2–NaNO3–KNO3 Ternary Salts with Focus on Calcium Nitrate Density Prediction. Int. J. Thermophys. 2020, 41, 85. [Google Scholar] [CrossRef]
- Chen, M.; Shen, Y.; Zhu, S.; Li, P. Digital Phase Diagram and Thermophysical Properties of KNO3-NaNO3-Ca(NO3)2 Ternary System for Solar Energy Storage. Vacuum 2017, 145, 225–233. [Google Scholar] [CrossRef]
- Mortazavi, G.; Jiang, J.; Meletis, E.I. Investigation of the Plasma Electrolytic Oxidation Mechanism of Titanium. Appl. Surf. Sci. 2019, 488, 370–382. [Google Scholar] [CrossRef]
- Hussein, R.O.; Nie, X.; Northwood, D.O. An Investigation of Ceramic Coating Growth Mechanisms in Plasma Electrolytic Oxidation (PEO) Processing. Electrochim. Acta 2013, 112, 111–119. [Google Scholar] [CrossRef]
- Pietrzyk, S.; Gębarowski, W. Stability of the Soft Sparking State in the Plasma Electrolytic Oxidation Process. Materials 2025, 18, 989. [Google Scholar] [CrossRef] [PubMed]
- Bertuccioli, C.; Garzoni, A.; Martini, C.; Morri, A.; Rondelli, G. Plasma Electrolytic Oxidation (PEO) Layers from Silicate/Phosphate Baths on Ti-6Al-4V for Biomedical Components: Influence of Deposition Conditions and Surface Finishing on Dry Sliding Behaviour. Coatings 2019, 9, 614. [Google Scholar] [CrossRef]
- Chen, Y.-J.; Lin, T.-S. Enhancement of Visible-Light Photocatalytic Efficiency of TiO2 Nanopowder by Anatase/Rutile Dual Phase Formation. Appl. Sci. 2020, 10, 6353. [Google Scholar] [CrossRef]
- Johnson, M.; Ates, M.; Arslan, Z.; Farah, I.; Bogatu, C. Assessment of Crystal Morphology on Uptake, Particle Dissolution, and Toxicity of Nanoscale Titanium Dioxide on Artemia Salina. J. Nanotoxicol. Nanomed. 2017, 2, 11–27. [Google Scholar] [CrossRef] [PubMed]
- Arun, S.; Ahn, S.-G.; Choe, H.-C. Surface Characteristics of HA-Coated and PEO-Treated Ti-6Al-4V Alloy in Solution Containing Ag Nanoparticles. Surf. Interfaces 2023, 39, 102932. [Google Scholar] [CrossRef]
- Canillas, M.; Pena, P.; de Aza, A.H.; Rodríguez, M.A. Calcium Phosphates for Biomedical Applications. Boletín Soc. Española Cerámica Vidr. 2017, 56, 91–112. [Google Scholar] [CrossRef]
- Chaikina, M.V.; Bulina, N.V.; Vinokurova, O.B.; Gerasimov, K.B.; Prosanov, I.Y.; Kompankov, N.B.; Lapina, O.B.; Papulovskiy, E.S.; Ishchenko, A.V.; Makarova, S.V. Possibilities of Mechanochemical Synthesis of Apatites with Different Ca/P Ratios. Ceramics 2022, 5, 404–422. [Google Scholar] [CrossRef]
- Raynaud, S.; Champion, E.; Lafon, J.P.; Bernache-Assollant, D. Calcium Phosphate Apatites with Variable Ca/P Atomic Ratio III. Mechanical Properties and Degradation in Solution of Hot Pressed Ceramics. Biomaterials 2002, 23, 1081–1089. [Google Scholar] [CrossRef] [PubMed]
- Abdel-Kader, A.; Ammar, A.A.; Saleh, S.I. Thermal Behaviour of Ammonium Dihydrogen Phosphate Crystals in the Temperature Range 25–600 °C. Thermochim. Acta 1991, 176, 293–304. [Google Scholar] [CrossRef]
- Pardo, A.; Romero, J.; Ortiz, E. High-Temperature Behaviour of Ammonium Dihydrogen Phosphate. J. Phys. Conf. Ser. 2017, 935, 12050. [Google Scholar] [CrossRef]
- Trujillo, C.-A.; Ramírez-Marquez, N.-T.; Valencia-Rios, J.-S. An Affordable Ammonia Temperature-Programmed Desorption Equipment and Its Calibration Using the Thermal Decomposition of Ammonium Dihydrogen Phosphate. Thermochim. Acta 2020, 689, 178651. [Google Scholar] [CrossRef]
- Dorozhkin, S. Amorphous Calcium Orthophosphates: Nature, Chemistry and Biomedical Applications. Int. J. Mater. Chem. 2012, 2, 19–46. [Google Scholar] [CrossRef]
- Layrolle, P.; Lebugle, A. Characterization and Reactivity of Nanosized Calcium Phosphates Prepared in Anhydrous Ethanol. Chem. Mater. 1994, 6, 1996–2004. [Google Scholar] [CrossRef]
- Kovrlija, I.; Locs, J.; Loca, D. Octacalcium Phosphate: Innovative Vehicle for the Local Biologically Active Substance Delivery in Bone Regeneration. Acta Biomater. 2021, 135, 27–47. [Google Scholar] [CrossRef]
- Han, J.; Tang, S.; San, H.; Sun, X.; Hu, J.; Yu, Y. Formation Mechanism of Calcium Phosphate Coating on a Plasma Electrolytic Oxidized Magnesium and Its Corrosion Behavior in Simulated Body Fluids. J. Alloys Compd. 2020, 818, 152834. [Google Scholar] [CrossRef]
- Dorozhkin, S.V. Calcium Orthophosphates in Nature, Biology and Medicine. Materials 2009, 2, 399–498. [Google Scholar] [CrossRef]
- Franz, S.; Arab, H.; Chiarello, G.L.; Bestetti, M.; Selli, E. Single-Step Preparation of Large Area TiO2 Photoelectrodes for Water Splitting. Adv. Energy Mater. 2020, 10, 2000652. [Google Scholar] [CrossRef]
- Saji, V.S. Plasma Electrolytic Oxidation (PEO) Layers Grown on Metals and Alloys as Supported Photocatalysts. Next Energy 2025, 8, 100259. [Google Scholar] [CrossRef]
- Hanaor, D.A.H.; Sorrell, C.C. Review of the Anatase to Rutile Phase Transformation. J. Mater. Sci. 2011, 46, 855–874. [Google Scholar] [CrossRef]
- Viswanath, R.S.; Miller, P.J. High Temperature Phase Transition in NH4H2PO4. Solid State Commun. 1979, 32, 703–706. [Google Scholar] [CrossRef]
- Xu, L.; Wu, C.; Xu, X.J.; Li, B.Q.; Niu, X.Y.; Huang, Z.; Ding, J.N. The Influences of Frequency on the Fabrication and Structural Studies of Micro-Arc Oxidization Ceramic Films Formed on Pure Titanium. In Proceedings of the Functional Materials Research II; Trans Tech Publications Ltd.: Bäch, Switzerland, 2017; Volume 727, pp. 977–984. [Google Scholar]
- Molaei, M.; Fattah-alhosseini, A.; Nouri, M.; Nourian, A. Systematic Optimization of Corrosion, Bioactivity, and Biocompatibility Behaviors of Calcium-Phosphate Plasma Electrolytic Oxidation (PEO) Coatings on Titanium Substrates. Ceram. Int. 2022, 48, 6322–6337. [Google Scholar] [CrossRef]
- Othman, R.; Mustafa, Z.; Mohd Juoi, J.; Kien, P.T.; Mohd Noor, A.F. Effect of Calcination Temperatures on Phase Transformation and Stability of β-Tricalcium Phosphate Powder Synthesized by a Wet Precipitation Method. In Proceedings of the Current Trends in Materials Engineering II; Trans Tech Publications Ltd.: Bäch, Switzerland, 2017; Volume 264, pp. 132–135. [Google Scholar]
- Bulina, N.V.; Makarova, S.V.; Baev, S.G.; Matvienko, A.A.; Gerasimov, K.B.; Logutenko, O.A.; Bystrov, V.S. A Study of Thermal Stability of Hydroxyapatite. Minerals 2021, 11, 1310. [Google Scholar] [CrossRef]
- Hartjen, P.; Hoffmann, A.; Henningsen, A.; Barbeck, M.; Kopp, A.; Kluwe, L.A.N.; Precht, C.; Quatela, O.; Gaudin, R.; Heiland, M.A.X.; et al. Plasma Electrolytic Oxidation of Titanium Implant Surfaces: Microgroove-Structures Improve Cellular Adhesion and Viability. In Vivo 2018, 32, 241–247. [Google Scholar] [CrossRef]
- Kim, H.; Lim, J.-H.; Lee, K.; Choi, S.Q. Direct Measurement of Contact Angle Change in Capillary Rise. Langmuir 2020, 36, 14597–14606. [Google Scholar] [CrossRef]
- Bocchetta, P.; Chen, L.-Y.; Tardelli, J.D.C.; Reis, A.C.d.; Almeraya-Calderón, F.; Leo, P. Passive Layers and Corrosion Resistance of Biomedical Ti-6Al-4V and β-Ti Alloys. Coatings 2021, 11, 487. [Google Scholar] [CrossRef]
- Tkacz, J.; Slouková, K.; Minda, J.; Drábiková, J.; Fintová, S.; Doležal, P.; Wasserbauer, J. Influence of the Composition of the Hank’s Balanced Salt Solution on the Corrosion Behavior of AZ31 and AZ61 Magnesium Alloys. Metals 2017, 7, 465. [Google Scholar] [CrossRef]
- Hussein, M.A.; Demir, B.Y.; Kumar, A.M.; Abdelaal, A.F. Surface Properties and In Vitro Corrosion Studies of Blasted and Thermally Treated Ti6Al4V Alloy for Bioimplant Applications. Materials 2022, 15, 7615. [Google Scholar] [CrossRef]
- Zaveri, N.; McEwen, G.D.; Karpagavalli, R.; Zhou, A. Biocorrosion Studies of TiO2 Nanoparticle-Coated Ti–6Al–4V Implant in Simulated Biofluids. J. Nanoparticle Res. 2010, 12, 1609–1623. [Google Scholar] [CrossRef]
- Cai, S.; Wen, L.; Jin, Y. A Comparative Study on Corrosion Kinetic Parameter Estimation Methods for the Early Stage Corrosion of Q345B Steel in 3.5wt% NaCl Solution. Int. J. Miner. Metall. Mater. 2017, 24, 1112–1124. [Google Scholar] [CrossRef]
- Schwartz, A.; Kossenko, A.; Zinigrad, M.; Gofer, Y.; Borodianskiy, K.; Sobolev, A. Hydroxyapatite Coating on Ti-6Al-7Nb Alloy by Plasma Electrolytic Oxidation in Salt-Based Electrolyte. Materials 2022, 15, 7374. [Google Scholar] [CrossRef]
- Velazquez-Torres, N.; Porcayo-Calderon, J.; Martinez-Valencia, H.; Lopes-Cecenes, R.; Rosales-Cadena, I.; Sarmiento-Bustos, E.; Rocabruno-Valdés, C.I.; Gonzalez-Rodriguez, J.G. Corrosion Resistance of a Plasma-Oxidized Ti6Al4V Alloy for Dental Applications. Coatings 2021, 11, 1136. [Google Scholar] [CrossRef]
- Alves, V.A.; Reis, R.Q.; Santos, I.C.B.; Souza, D.G.; Gonçalves, T.d.F.; Pereira-da-Silva, M.A.; Rossi, A.; da Silva, L.A. In Situ Impedance Spectroscopy Study of the Electrochemical Corrosion of Ti and Ti–6Al–4V in Simulated Body Fluid at 25 °C and 37 °C. Corros. Sci. 2009, 51, 2473–2482. [Google Scholar] [CrossRef]
- Wróbel-Kaszanek, A.; Drużyński, S.; Kiełkowska, U.; Mazurek, K. Solubility Testing of the Five-Component KNO3 + NH4NO3 + KVO3 + NH4VO3 + H2O System at Temperatures of 293.15 and 313.15 K. J. Chem. Eng. Data 2024, 69, 1731–1739. [Google Scholar] [CrossRef]
- Trypuć, M.; Kiełkowska, U. Solubility in the NaVO3 + NH4VO3 + H2O System. J. Chem. Eng. Data 1997, 42, 523–525. [Google Scholar] [CrossRef]
- Manninen, M.A.E.; Vielma, T.J.; Lassi, U.M. A Closer Look into Solubility in the Binary NaVO3–H2O and NH4VO3–H2O Systems from 298.15 to 333.15 K and 0.1 MPa. J. Chem. Eng. Data 2023, 68, 2500–2511. [Google Scholar] [CrossRef]
- Zhang, X.L.; Jiang, Z.H.; Yao, Z.P.; Wu, Z.D. Electrochemical Study of Growth Behaviour of Plasma Electrolytic Oxidation Coating on Ti6Al4V: Effects of the Additive. Corros. Sci. 2010, 52, 3465–3473. [Google Scholar] [CrossRef]
- Yerokhin, A.L.; Snizhko, L.O.; Gurevina, N.L.; Leyland, A.; Pilkington, A.; Matthews, A. Discharge Characterization in Plasma Electrolytic Oxidation of Aluminium. J. Phys. D Appl. Phys. 2003, 36, 2110. [Google Scholar] [CrossRef]









| Sample | Ti, at.% | Al, at.% | V, at.% | Ca, at.% | P, at.% |
|---|---|---|---|---|---|
| TVA {1, Y, Z} | |||||
| TVA {1; 200; 50} | 80.1 ± 0.3 | 8.5 ± 0.2 | 3.4 ± 0.2 | 2.3 ± 0.2 | 5.7 ± 0.2 |
| TVA {1; 300; 50} | 79.0 ± 0.3 | 8.6 ± 0.1 | 3.3 ± 0.2 | 3.0 ± 0.2 | 6.2 ± 0.2 |
| TVA {1; 400; 50} | 78.8 ± 0.2 | 8.5 ± 0.2 | 3.3 ± 0.1 | 3.2 ± 0.2 | 6.3 ± 0.2 |
| TVA {1; 400; 500} | 78.6 ± 0.5 | 8.4 ± 0.2 | 3.2 ± 0.2 | 3.5 ± 0.1 | 6.4 ± 0.2 |
| TVA {1; 400; 1000} | 81.5 ± 0.3 | 8.2 ± 0.2 | 3.2 ± 0.2 | 2.9 ± 0.1 | 4.3 ± 0.1 |
| TVA {X, 400, 50} | |||||
| TVA {0.1; 400; 50} | 82.1 ± 0.2 | 9.4 ± 0.2 | 3.3 ± 0.3 | 2.3 ± 0.2 | 2.8 ± 0.3 |
| TVA {0.5; 400; 50} | 80.9 ± 0.3 | 8.8 ± 0.2 | 3.2 ± 0.2 | 2.6 ± 0.1 | 4.5 ± 0.2 |
| TVA {1; 400; 50} | 78.8 ± 0.2 | 8.5 ± 0.2 | 3.3 ± 0.1 | 3.2 ± 0.2 | 6.3 ± 0.2 |
| TVA {2; 400; 50} | 79.5 ± 0.3 | 8.5 ± 0.1 | 3.4 ± 0.2 | 2.6 ± 0.1 | 6.1 ± 0.1 |
| TVA {5; 400; 50} | 8.9 ± 0.1 | 0.5 ± 0.1 | 0.6 ± 0.1 | 52.2 ± 0.2 | 35.0 ± 0.2 |
| Sample | OCP [mV] | Ecorr [mV] | Icorr [nA/cm2] | Rp [MΩ·cm2] | ba [V/dec] | −bc [V/dec] |
|---|---|---|---|---|---|---|
| Ti-6Al-4V | −77 ± 4 | −102 ± 52 | 552 ± 19 | 0.083 ± 0.003 | 0.212 ± 0.016 | 0.211 ± 0.005 |
| TVA {X, 400, 50} | ||||||
| TVA {0.1; 400; 50} | 832 ± 36 | 756 ± 36 | 209 ± 81 | 0.089 ± 0.027 | 0.082 ± 0.002 | 0.083 ± 0.013 |
| TVA {0.5; 400; 50} | 692 ± 54 | 525 ± 29 | 153 ± 24 | 0.076 ± 0.010 | 0.061 ± 0.021 | 0.049 ± 0.011 |
| TVA {1; 400; 50} | 956 ± 44 | 793 ± 35 | 219 ± 10 | 0.066 ± 0.016 | 0.090 ± 0.035 | 0.053 ± 0.011 |
| TVA {2; 400; 50} | 983 ± 34 | 816 ± 70 | 231 ± 55 | 0.053 ± 0.010 | 0.082 ± 0.024 | 0.044 ± 0.009 |
| TVA {5; 400; 50} | 734 ± 26 | 622 ± 5 | 653 ± 248 | 0.025 ± 0.011 | 0.076 ± 0.019 | 0.068 ± 0.006 |
| TVA {1, Y, Z} | ||||||
| TVA {1; 200; 50} | 855 ± 40 | 658 ± 13 | 175 ± 12 | 0.070 ± 0.010 | 0.084 ± 0.005 | 0.042 ± 0.006 |
| TVA {1; 300; 50} | 890 ± 33 | 700 ± 3 | 219 ± 50 | 0.053 ± 0.009 | 0.076 ± 0.012 | 0.039 ± 0.005 |
| TVA {1; 400; 50} | 956 ± 44 | 793 ± 35 | 219 ± 10 | 0.066 ± 0.016 | 0.090 ± 0.035 | 0.053 ± 0.011 |
| TVA {1; 400; 500} | 931 ± 141 | 804 ± 43 | 217 ± 29 | 0.062 ± 0.008 | 0.076 ± 0.009 | 0.052 ± 0.003 |
| TVA {1; 400; 1000} | 971 ± 11 | 813 ± 10 | 258 ± 30 | 0.055 ± 0.008 | 0.075 ± 0.016 | 0.059 ± 0.004 |
Disclaimer/Publisher’s Note: The statements, opinions and data contained in all publications are solely those of the individual author(s) and contributor(s) and not of MDPI and/or the editor(s). MDPI and/or the editor(s) disclaim responsibility for any injury to people or property resulting from any ideas, methods, instructions or products referred to in the content. |
© 2025 by the authors. Licensee MDPI, Basel, Switzerland. This article is an open access article distributed under the terms and conditions of the Creative Commons Attribution (CC BY) license (https://creativecommons.org/licenses/by/4.0/).
Share and Cite
Garashchenko, M.; Yuferov, Y.; Borodianskiy, K. Development of PEO in Low-Temperature Ternary Nitrate Molten Salt on Ti6Al4V. Materials 2025, 18, 3603. https://doi.org/10.3390/ma18153603
Garashchenko M, Yuferov Y, Borodianskiy K. Development of PEO in Low-Temperature Ternary Nitrate Molten Salt on Ti6Al4V. Materials. 2025; 18(15):3603. https://doi.org/10.3390/ma18153603
Chicago/Turabian StyleGarashchenko, Michael, Yuliy Yuferov, and Konstantin Borodianskiy. 2025. "Development of PEO in Low-Temperature Ternary Nitrate Molten Salt on Ti6Al4V" Materials 18, no. 15: 3603. https://doi.org/10.3390/ma18153603
APA StyleGarashchenko, M., Yuferov, Y., & Borodianskiy, K. (2025). Development of PEO in Low-Temperature Ternary Nitrate Molten Salt on Ti6Al4V. Materials, 18(15), 3603. https://doi.org/10.3390/ma18153603

