Characterization of Modified DNA-Based Polymer Alignment Layers for Photonic Applications
Abstract
1. Introduction
2. Materials and Methods
2.1. DNA and Surfactant
2.2. Synthesis of Biopolymer
2.3. Liquid Crystal
2.4. Preparation of the Alignment Layer
2.5. Atomic Force Microscopy
2.6. Spectroscopy
2.7. Contact Angle Measurements
2.8. Electro-Optics
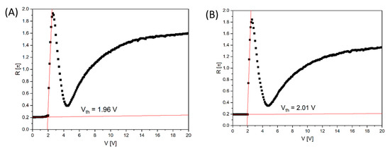
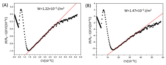
3. Results
4. Conclusions
Author Contributions
Funding
Institutional Review Board Statement
Informed Consent Statement
Data Availability Statement
Acknowledgments
Conflicts of Interest
Abbreviations
| AFM | Atomic force microscopy |
| ATR FT-IR | Attenuated Total Reflectance Fourier Transform Infrared Spectroscopy |
| CA | Contact angle |
| DODA | Dimethyldioctadecylammonium chloride |
| DNA | Deoxyribonucleic acid |
| ECB | Electrically controlled birefringence |
| FTIR | Fourier Transform Infrared Spectroscopy |
| ITO | Indium tin oxide |
| LC | Liquid crystal |
| OLED | Organic light emitting device |
| POM | Polarizing optical microscopy |
| Ra | Average surface roughness |
| SFE | Surface free energy |
| Vth | Threshold voltage |
References
- Ivanovs, K.; Spalvins, K.; Blumberga, D. Approach for Modelling Anaerobic Digestion Processes of Fish Waste. Energy Procedia 2018, 147, 390–396. [Google Scholar] [CrossRef]
- FAO. The State of World Fisheries and Aquaculture 2022; Food and Agriculture Organization of the United Nations: Rome, Italy, 2022. [Google Scholar] [CrossRef]
- Arun, K.B.; Madhavan, A.; Sindhu, R.; Binod, P.; Pandey, A.; R, R.; Sirohi, R. Remodeling Agro-Industrial and Food Wastes into Value-Added Bioactives and Biopolymers. Ind. Crops Prod. 2020, 154, 112621. [Google Scholar] [CrossRef]
- Vogler-Neuling, V.V.; Saba, M.; Gunkel, I.; Zoppe, J.O.; Steiner, U.; Wilts, B.D.; Dodero, A. Biopolymer Photonics: From Nature to Nanotechnology. Adv. Funct. Mater. 2024, 34, 2306528. [Google Scholar] [CrossRef]
- European Bioplastics e.V. Available online: https://www.european-bioplastics.org/ (accessed on 11 February 2025).
- Gautam, K.; Vishvakarma, R.; Sharma, P.; Singh, A.; Kumar Gaur, V.; Varjani, S.; Kumar Srivastava, J. Production of Biopolymers from Food Waste: Constrains and Perspectives. Bioresour. Technol. 2022, 361, 127650. [Google Scholar] [CrossRef] [PubMed]
- Sharmila, G.; Muthukumaran, C.; Kumar, N.M.; Sivakumar, V.M.; Thirumarimurugan, M. Food Waste Valorization for Biopolymer Production. In Current Developments in Biotechnology and Bioengineering; Elsevier: Amsterdam, The Netherlands, 2020; pp. 233–249. ISBN 978-0-444-64321-6. [Google Scholar]
- Precedence Research. Semiconductor and Electronic Report Code:1981; Precedence Research: Pune, India, 2023; Available online: https://www.precedenceresearch.com/displays-market (accessed on 28 April 2025).
- Rusu, R.D.; Abadie, M.J. New High-Performance Materials: Bio-Based, Eco-Friendly Polyimides. In Polyimide for Electronic and Electrical Engineering Applications; Diaham, S., Ed.; IntechOpen: London, UK, 2021; ISBN 978-1-83880-097-0. [Google Scholar]
- Steckl, A.J. DNA—A New Material for Photonics? Nat. Photon 2007, 1, 3–5. [Google Scholar] [CrossRef]
- Steckl, A.J.; Spaeth, H.; You, H.; Gomez, E.; Grote, J. DNA as an Optical Material. Opt. Photonics News 2011, 22, 34. [Google Scholar] [CrossRef]
- Węgłowski, R.; Spadło, A.; Węgłowska, D. Banana DNA Derivatives as Homeotropic Alignment Layers in Optical Devices. Soft Matter 2024, 20, 8561–8569. [Google Scholar] [CrossRef]
- Stasiewicz, K.A.; Bereski, W.; Jakubowska, I.; Kowerdziej, R.; Węgłowska, D.; Spadło, A. The Biopolymer Active Surface for Optical Fibre Sensors. Polymers 2024, 16, 2114. [Google Scholar] [CrossRef]
- Kuzyk, A.; Jungmann, R.; Acuna, G.P.; Liu, N. DNA Origami Route for Nanophotonics. ACS Photonics 2018, 5, 1151–1163. [Google Scholar] [CrossRef]
- Dunn, K.E.; Elfick, A. Harnessing DNA Nanotechnology and Chemistry for Applications in Photonics and Electronics. Bioconjugate Chem. 2023, 34, 97–104. [Google Scholar] [CrossRef]
- Nowak, E.; Wisła-Świder, A.; Khachatryan, G.; Fiedorowicz, M.; Danel, K. Possible Sensor Applications of Selected DNA–Surfactant Complexes. Eur. Biophys. J. 2019, 48, 371–381. [Google Scholar] [CrossRef] [PubMed]
- Eskilsson, K.; Leal, C.; Lindman, B.; Miguel, M.; Nylander, T. DNA−Surfactant Complexes at Solid Surfaces. Langmuir 2001, 17, 1666–1669. [Google Scholar] [CrossRef]
- Liu, K.; Zheng, L.; Ma, C.; Göstl, R.; Herrmann, A. DNA–Surfactant Complexes: Self-Assembly Properties and Applications. Chem. Soc. Rev. 2017, 46, 5147–5172. [Google Scholar] [CrossRef]
- Rau, I.; Grote, J.G.; Kajzar, F.; Pawlicka, A. DNA—Novel Nanomaterial for Applications in Photonics and in Electronics. Comptes Rendus. Phys. 2012, 13, 853–864. [Google Scholar] [CrossRef]
- Mircea, M.; Manea, A.; Kajzar, F.; Rau, I. Tuning NLO Susceptibility in Functionalized DNA. Adv. Opt. Mater. 2016, 4, 271–275. [Google Scholar] [CrossRef]
- Kawabe, Y. DNA-Based Dye Lasers: Progress in This Half a Decade. In Nanobiosystems: Processing, Characterization, and Applications IX; Kobayashi, N., Ouchen, F., Rau, I., Eds.; SPIE: San Diego, CA, USA, 2016; p. 992806. [Google Scholar]
- Islam, A.; Shah, S.H.U.; Haider, Z.; Imran, M.; Amin, A.; Haider, S.K.; Li, M.-D. Biological Interfacial Materials for Organic Light-Emitting Diodes. Micromachines 2023, 14, 1171. [Google Scholar] [CrossRef]
- Marć, P.; Bennis, N.; Spadło, A.; Kalbarczyk, A.; Węgłowski, R.; Garbat, K.; Jaroszewicz, L.R. Monochromatic Depolarizer Based on Liquid Crystal. Crystals 2019, 9, 387. [Google Scholar] [CrossRef]
- Spadło, A.; Bennis, N.; Węgłowski, R.; Węgłowska, D.; Czuprynski, K.; Otón, J.M. Biopolymer as Alignment Layer for Liquid Crystal Mixtures. Mol. Cryst. Liq. Cryst. 2017, 657, 56–65. [Google Scholar] [CrossRef]
- Dunmur, D.; Toriyama, K.; Demus, D.; Goodby, J.; Gray, G.W.; Spiess, H.-W.; Vill, V. Optical Properties. In Handbook of Liquid Crystals; Wiley-VCH: Weinheim, Germany, 1998. [Google Scholar]
- Chychłowski, M.S.; Ertman, S.; Nowinowski-Kruszelnicki, E.; Dąbrowski, R.; Woliński, T.R. Comparison of Different Liquid Crystal Materials under Planar and Homeotropic Boundary Conditions in Capillaries. Acta Phys. Pol. A 2011, 120, 582–584. [Google Scholar] [CrossRef]
- Ata Alla, R.; Hegde, G.; Komitov, L. Light-Control of Liquid Crystal Alignment from Vertical to Planar. Appl. Phys. Lett. 2013, 102, 233505. [Google Scholar] [CrossRef]
- Syed, I.M.; Kaur, S.; Milton, H.E.; Mistry, D.; Bailey, J.; Morgan, P.B.; Jones, J.C.; Gleeson, H.F. Novel Switching Mode in a Vertically Aligned Liquid Crystal Contact Lens. Opt. Express 2015, 23, 9911. [Google Scholar] [CrossRef] [PubMed]
- Jiang, Y.; Zhou, Y.; Wang, M.; Yang, D.-K. Smart Thermally Switchable Liquid Crystal Window. Adv. Photonics Res. 2021, 2, 2000156. [Google Scholar] [CrossRef]
- Sasaki, Y.; Jampani, V.S.R.; Tanaka, C.; Sakurai, N.; Sakane, S.; Le, K.V.; Araoka, F.; Orihara, H. Large-Scale Self-Organization of Reconfigurable Topological Defect Networks in Nematic Liquid Crystals. Nat. Commun. 2016, 7, 13238. [Google Scholar] [CrossRef]
- Li, B.-X.; Nastishin, Y.A.; Wang, H.; Gao, M.; Paladugu, S.; Li, R.; Fukuto, M.; Li, Q.; Shiyanovskii, S.V.; Lavrentovich, O.D. Liquid Crystal Phases with Unusual Structures and Physical Properties Formed by Acute-Angle Bent Core Molecules. Phys. Rev. Res. 2020, 2, 033371. [Google Scholar] [CrossRef]
- Hirschmann, H.; Reiffenrath, V.; Demus, D.; Goodby, J.; Gray, G.W.; Spiess, H.-W.; Vill, V. Applications, TN, STN Dis-Plays. In Handbook of Liquid Crystals; Wiley VCH Verlag GmbH: Weinheim, Germany, 1998; pp. 199–229. Available online: http://onlinelibrary.wiley.com/doi/10.1002/9783527619276.Ch3hb/Summary (accessed on 8 February 2016).
- Kahn, F.J.; Taylor, G.N.; Schonhorn, H. Surface-Produced Alignment of Liquid Crystals. Proc. IEEE 1973, 61, 823–828. [Google Scholar] [CrossRef]
- Owens, D.K.; Wendt, R.C. Estimation of the Surface Free Energy of Polymers. J. Appl. Polym. Sci. 1969, 13, 1741–1747. [Google Scholar] [CrossRef]
- Taillandier, E.; Liquier, J. Infrared Spectroscopy of DNA. In Methods in Enzymology; Elsevier: Amsterdam, The Netherlands, 1992; Volume 211, pp. 307–335. ISBN 978-0-12-182112-8. [Google Scholar]
- Wenzel, R.N. Resistance of solid surfaces to wetting by water. Ind. Eng. Chem. 1936, 28, 988–994. [Google Scholar] [CrossRef]
- Kim, J.G.; Yoo, W.S.; Kim, W.Y.; Lee, W.J. Correlation between Contact Angle and Surface Roughness of Silicon Carbide Wafers. ECS J. Solid State Sci. Technol. 2021, 10, 113008. [Google Scholar] [CrossRef]
- Razavifar, M.; Abdi, A.; Nikooee, E.; Aghili, O.; Riazi, M. Quantifying the Impact of Surface Roughness on Contact Angle Dynamics under Varying Conditions. Sci. Rep. 2025, 15, 16611. [Google Scholar] [CrossRef]
- Clerc, F. Electro-Optical Limits of the Electrically Controlled Birefringence Effect in Nematic Liquid Crystals. Displays 1981, 2, 341–347. [Google Scholar] [CrossRef]
- Ranjini, R.; Matham, M.V.; Nguyen, N.-T. Conoscopic Analysis of Electric Field Driven Planar Aligned Nematic Liquid Crystal. Appl. Opt. 2014, 53, 2773. [Google Scholar] [CrossRef] [PubMed]
- Di Pietro, V.M.; Jullien, A.; Bortolozzo, U.; Forget, N.; Residori, S. Dynamical Optical Response of Nematic Liquid Crystal Cells through Electrically Driven Fréedericksz Transition: Influence of the Nematic Layer Thickness. Opt. Express 2018, 26, 10716. [Google Scholar] [CrossRef] [PubMed]
- Wu, S.-T. Phase Retardation Dependent Optical Response Time of Parallel-Aligned Liquid Crystals. J. Appl. Phys. 1986, 60, 1836–1838. [Google Scholar] [CrossRef]
- Khoo, I.-C.; Wu, S.-T. Optics and Nonlinear Optics of Liquid Crystals; World Scientific: Singapore, 1993; ISBN 978-981-02-0934-6. [Google Scholar]
- Nie, X.; Lin, Y.-H.; Wu, T.X.; Wang, H.; Ge, Z.; Wu, S.-T. Polar Anchoring Energy Measurement of Vertically Aligned Liquid-Crystal Cells. J. Appl. Phys. 2005, 98, 013516. [Google Scholar] [CrossRef]
- Kiselev, A.D.; Chigrinov, V.; Huang, D.D. Photoinduced Ordering and Anchoring Properties of Azo-Dye Films. Phys. Rev. E 2005, 72, 061703. [Google Scholar] [CrossRef]
- Muravsky, A.; Murauski, A. Q&A of Liquid Crystal Alignment: Theory and Practice. Front. Soft Matter 2024, 4, 1382925. [Google Scholar] [CrossRef]
- Lagerwall, J.P.F.; Scalia, G. A New Era for Liquid Crystal Research: Applications of Liquid Crystals in Soft Matter Nano-, Bio- and Microtechnology. Curr. Appl. Phys. 2012, 12, 1387–1412. [Google Scholar] [CrossRef]
- Clark, N.A.; Lagerwall, S.T. Submicrosecond Bistable Electro-Optic Switching in Liquid Crystals. Appl. Phys. Lett. 1980, 36, 899–901. [Google Scholar] [CrossRef]
- Pozhidaev, E.; Chigrinov, V.; Huang, D.; Ho, A.Z.; Kwok, H.S. Photoalignment of Ferroelectric Liquid Crystals by Azodye Layers. Jpn J. Appl. Phys. 2004, 43, 5440. [Google Scholar] [CrossRef]












| Sample | SFE [mN/m] | Disperse [mN/m] | Polar [mN/m] | CA H2O [°] | CA CH2I2 [°] |
|---|---|---|---|---|---|
| GLASS | 31.00 ± 2.03 | 29.58 ± 2.12 | 1.42 ± 0.61 | 95.02 ± 4.90 | 58.25 ± 3.69 |
| DNA | 36.34 ± 1.78 | 2.06 ± 0.63 | 34.28 ± 1.21 | 89.79 ± 7.16 | 49.98 ± 2.15 |
| DODA | 47.08 ± 1.78 | 22.14 ± 0.31 | 24.94 ± 1.92 | 54.33 ± 2.53 | 71.32 ± 0.56 |
| DNA-DODA | 20.46 ± 0.26 | 19.96 ± 0.23 | 0.51 ± 0.23 | 106.90 ± 1.75 | 75.31 ± 0.43 |
Disclaimer/Publisher’s Note: The statements, opinions and data contained in all publications are solely those of the individual author(s) and contributor(s) and not of MDPI and/or the editor(s). MDPI and/or the editor(s) disclaim responsibility for any injury to people or property resulting from any ideas, methods, instructions or products referred to in the content. |
© 2025 by the authors. Licensee MDPI, Basel, Switzerland. This article is an open access article distributed under the terms and conditions of the Creative Commons Attribution (CC BY) license (https://creativecommons.org/licenses/by/4.0/).
Share and Cite
Węgłowski, R.; Mrukiewicz, M.; Węgłowska, D.; Liszewska, M.; Bartosewicz, B.; Chlanda, A.; Spadło, A. Characterization of Modified DNA-Based Polymer Alignment Layers for Photonic Applications. Materials 2025, 18, 2760. https://doi.org/10.3390/ma18122760
Węgłowski R, Mrukiewicz M, Węgłowska D, Liszewska M, Bartosewicz B, Chlanda A, Spadło A. Characterization of Modified DNA-Based Polymer Alignment Layers for Photonic Applications. Materials. 2025; 18(12):2760. https://doi.org/10.3390/ma18122760
Chicago/Turabian StyleWęgłowski, Rafał, Mateusz Mrukiewicz, Dorota Węgłowska, Malwina Liszewska, Bartosz Bartosewicz, Adrian Chlanda, and Anna Spadło. 2025. "Characterization of Modified DNA-Based Polymer Alignment Layers for Photonic Applications" Materials 18, no. 12: 2760. https://doi.org/10.3390/ma18122760
APA StyleWęgłowski, R., Mrukiewicz, M., Węgłowska, D., Liszewska, M., Bartosewicz, B., Chlanda, A., & Spadło, A. (2025). Characterization of Modified DNA-Based Polymer Alignment Layers for Photonic Applications. Materials, 18(12), 2760. https://doi.org/10.3390/ma18122760

