An Extended Kolmogorov–Avrami–Ishibashi (EKAI) Model to Simulate Dynamic Characteristics of Polycrystalline-Ferroelectric-Gate Field-Effect Transistors
Abstract
1. Introduction
1.1. Necessity of a Physics-Based Model for Ferroelectric Device Dynamics
1.2. Presentation of the KAI with the Characteristic Times for the EKAI Model
2. EKAI Model
2.1. Polarization Variation under a Constant Electric Field
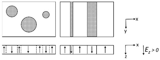
2.2. Effect of the Spontaneous Polarization Direction Different from the Z-Axis
2.3. Switching Polarization under Time-Dependent Electric Fields
3. Total Calculation Scheme for Describing Time-Varying Switching Polarizations of Specific Devices

3.1. MFM Capacitor
3.2. MFIM Capacitor
3.3. MFIS FET
4. Calculation Results of FeFETs and Comparison to the Experimental
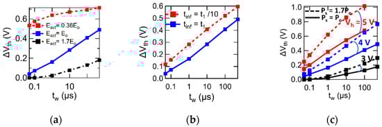
4.1. Parameters Being Able to Be Assigned
4.2. Method for Determining Significant Three Parameters
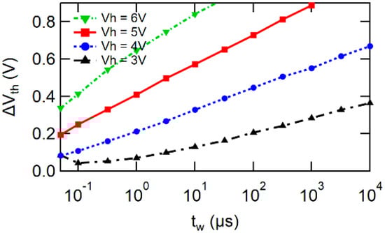
4.3. Calculation Using Optimized Parameters and Comparison with the Experimental Data
5. Discussion
5.1. Insight Regarding FeFET Dynamics
5.1.1. Details of PWVR Operations Using vs. Domains
5.1.2. Strategy to Reduce Charge Injections into FeFET Gate Stacks
5.1.3. Short Consideration in Negative-Capacitance-Transistors
5.2. Coercive Field in the EKAI Model
6. Conclusions
6.1. The EKAI Model and the Calculation Scheme for FeFETs
6.2. Comparison with Experimental Data and Discussion
Author Contributions
Funding
Institutional Review Board Statement
Informed Consent Statement
Data Availability Statement
Acknowledgments
Conflicts of Interest
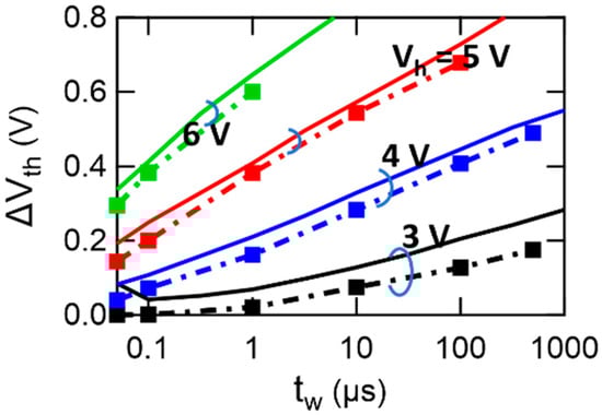
Appendix A. Summary of Experimental Results of FeFETs
- (1)
- drain current () versus gate voltage (),
- (2)
- Induced charge in the metal gate versus , and
- (3)
- -pulse-write-and- read, i.e., PWVR.
- (1)
- Experimental –

- (2)
- Experimental –

- (3)
- Experimental PWVR


References
- Tarui, Y.; Hirai, T.; Teramoto, K.; Koike, H.; Nagashima, K. Application of the ferroelectric materials to ULSI memories. Appl. Surf. Sci. 1997, 656, 113–114. [Google Scholar] [CrossRef]
- Park, B.-E.; Ishiwara, H.; Okuyama, M.; Sakai, S.; Yoon, S.-M. (Eds.) Ferroelectric-Gate Field Effect Transistor Memories—Device Physics and Applications, 2nd ed.; Springer Nature: Singapore, 2020. [Google Scholar]
- Sakai, S.; Ilangovan, R. Metal-ferroelectric-insulator-semiconductor memory FET with long retention and high endurance. IEEE Electron Device Lett. 2004, 25, 369. [Google Scholar] [CrossRef]
- Zhang, W.; Takahashi, M.; Sakai, S. Electrical properties of CaxSr1−xBi2Ta2O9 ferroelectric-gate field-effect transistors. Semicond. Sci. Technol. 2013, 28, 085003. [Google Scholar] [CrossRef]
- Takahashi, M.; Sakai, S. Area-scalable 109-cycle-high-endurance FeFET of strontium bismuth tantalate using a dummy-gate process. Nanomaterials 2021, 11, 101. [Google Scholar] [CrossRef] [PubMed]
- Devonshire, A.F. Theory of barium titanate. Philos. Mag. J. Sci. 1949, 40, 1040. [Google Scholar] [CrossRef]
- Lines, M.E.; Glass, A.M. Principles and Applications of Ferroelectrics and Related Materials; Oxford University Press: New York, NY, USA, 1977. [Google Scholar]
- Tilley, R.; Zeks, B. Landau theory of phase transitions in thick films. Solid State Commun. 1984, 49, 823. [Google Scholar] [CrossRef]
- Zhirnov, V.A. A contribution to the theory of domain walls in ferroelectrics. Sov. Phys. JETP 1959, 35, 822. [Google Scholar]
- Chenskii, E.V. Thermodynamic relations for the domain structure of ferroelectrics. Sov. Phys. Solid State 1973, 14, 1940. [Google Scholar]
- Li, Y.L.; Hu, S.Y.; Liu, Z.K.; Chen, L.Q. Effect of substrate constraint on the stability and evolution of ferroelectric domain structures in thin films. Acta Mater. 2002, 50, 395. [Google Scholar] [CrossRef]
- Dayal, K.; Bhattacharya, K. A real-space non-local phase-field model of ferroelectric domain patterns in complex geometries. Acta Mater. 2007, 55, 1907. [Google Scholar] [CrossRef]
- Krill, C.E.; Chen, L.-Q. Computer simulation of 3-D grain growth using a phase field model. Acta Mater. 2002, 50, 3057. [Google Scholar] [CrossRef]
- Landau, L.D.; Khalatnikov, I.M. On the anomalous absorption of sound near a second order transition point. Dokl. Acad. Nauk. SSSR 1954, 96, 469. (In Russian) [Google Scholar]
- Lo, V.C.; Chen, Z.J. Simulation of the effects of space charge and Schottky barriers on ferroelectric thin film capacitor using Landau Khalatnikov theory. IEEE Trans. Ultrason. Ferroelectr. Freq. Control 2002, 49, 980. [Google Scholar] [CrossRef] [PubMed]
- Vizdrik, G.; Ducharme, S.; Fridkin, V.M.; Yudin, S.G. Kinetics of ferroelectric switching in ultrathin films. Phys. Rev. B 2003, 68, 094113. [Google Scholar] [CrossRef]
- Hu, H.-L.; Chen, L.-Q. Three-dimensional computer simulation of ferroelectric domain formation. J. Am. Ceram. Soc. 1998, 81, 492. [Google Scholar] [CrossRef]
- Landau, L.D.; Lifshitz, E.M. Statistical Physics; 2nd Revised and Enlarged Edition; Pergamon Press: Oxford, UK, 1969; p. 380, Chapter XII. [Google Scholar]
- Geivandov, A.R.; Palto, S.P.; Yudin, S.G.; Blinov, L.M. Switching time dispersion and retention of bistable states in Langmuir–Blodgett ferroelectric films. J. Exp. Theor. Phys. 2004, 99, 83. [Google Scholar] [CrossRef]
- Miller, R.C.; Weinreich, G. Mechanism for the sidewise motion of 180° domain walls in barium titanate. Phys. Rev. 1960, 117, 1460. [Google Scholar] [CrossRef]
- Tybell, T.; Paruch, P.; Giamarchi, T.; Triscone, J.-M. Domain wall creep in epitaxial ferroelectric Pb(Zr0.2Ti0.8)O3 thin films. Phys. Rev. Lett. 2002, 89, 097601. [Google Scholar] [CrossRef]
- Shin, Y.-H.; Grinburg, I.; Chen, I.-W.; Rappe, A.M. Nucleation and growth mechanism of ferroelectric domain-wall motion. Nature 2007, 449, 882. [Google Scholar] [CrossRef]
- Etesami, S.R.; Sukhov, A.; Berakdar, J. Kinetics of nanosize ferroelectrics. Phys. Rev. B 2016, 94, 174105. [Google Scholar] [CrossRef]
- Choudhury, S.; Li, Y.; Odagawa, N.; Vasudevarao, A.; Tian, L.; Capek, P.; Dierolf, V.; Morozovska, A.N.; Eliseev, E.A.; Kalinin, S.; et al. The influence of 180° ferroelectric domain wall width on the threshold field for wall motion. J. Appl. Phys. 2008, 104, 084107. [Google Scholar] [CrossRef]
- Marton, P.; Rychetsky, I.; Hlinka, J. Domain walls of ferroelectric BaTiO3 within the Ginzburg-Landau-Devonshire phenomenological model. Phys. Rev. B 2010, 81, 144125. [Google Scholar] [CrossRef]
- Zhang, W.; Takahashi, M.; Sakai, S. Investigation of ferroelectric grain sizes and orientations in Pt/CaxSr1–xBi2Ta2O9/Hf–Al–O/Si high performance ferroelectric-gate field-effect-transistors. Materials 2019, 12, 399. [Google Scholar] [CrossRef] [PubMed]
- Hu, G.D.; Xu, J.B.; Wilson, I.H. Domain imaging and local piezoelectric properties of the (200)-predominant SrBi2Ta2O9 thin film. Appl. Phys. Lett. 1999, 75, 1610. [Google Scholar] [CrossRef]
- Gruverman, A.; Pignolet, A.; Satyalakshmi, K.M.; Alexe, M.; Zakharov, N.D.; Hesse, D. Nanoscopic switching behavior of epitaxial SrBi2Ta2O9 films deposited by pulsed laser deposition. Appl. Phys. Lett. 2000, 76, 106. [Google Scholar] [CrossRef]
- Liu, J.S.; Zhang, S.R.; Zeng, H.Z.; Fei, W.D.; Du, S.Y. 90° switching of polarization in La3+-doped SrBi2Ta2O9 thin films. J. Appl. Phys. 2006, 99, 094103. [Google Scholar] [CrossRef]
- Li, L.Z.; Gao, P.; Nelson, C.T.; Jokisaari, J.R.; Zhang, Y.; Kim, S.-J.; Melville, A.; Adamo, C.; Schlom, D.G.; Pan, X.Q. Atomic scale structure changes induced by charged domain walls in ferroelectric materials. Nano Lett. 2013, 13, 5218–5223. [Google Scholar] [CrossRef]
- Li, L.Z.; Britson, J.; Jokisaari, J.R.; Zhang, Y.; Adamo, C.; Melville, A.; Schlom, D.G.; Chen, L.-Q.; Pan, X.Q. Giant resistive switching via control of ferroelectric charged domain walls. Adv. Mater. 2016, 28, 6574. [Google Scholar] [CrossRef]
- Kolmogorov, A.N. On the Statistical Theory of Crystallization of Metals. Izv. Akad. Nauk SSSR Ser. Mat. 1937, 3, 355. (In Russian) [Google Scholar]
- Avrami, M. Kinetics of Phase Change. I General Theory. J. Chem. Phys. 1939, 7, 1103. [Google Scholar] [CrossRef]
- Avrami, M. Kinetics of Phase Change. II Transformation-Time Relations for Random Distribution of Nuclei. J. Chem. Phys. 1940, 8, 212. [Google Scholar] [CrossRef]
- Avrami, M. Granulation, Phase Change, and Microstructure Kinetics of Phase Change. III. J. Chem. Phys. 1941, 9, 177. [Google Scholar] [CrossRef]
- Ishibashi, Y.; Takagi, Y. Note on ferroelectric domain switching. J. Phys. Soc. Jpn. 1971, 31, 506. [Google Scholar] [CrossRef]
- So, Y.W.; Kim, D.J.; Noh, T.W. Polarization switching kinetics of epitaxial Pb(Zr0.4Ti0.6)O3. Appl. Phys. Lett. 2005, 86, 092905. [Google Scholar] [CrossRef]
- Li, W.; Alexe, M. Investigation on switching kinetics in epitaxial Pb(Zr0.2Ti0.8)O3 ferroelectric thin films: Role of the 90° domain walls. Appl. Phys. Lett. 2007, 91, 262903. [Google Scholar] [CrossRef]
- Lohse, O.; Grossmann, M.; Boettger, U.; Bolten, D.; Waser, R. Relaxation mechanism of ferroelectric switching in Pb(Zr,Ti)O3 thin films. J. Appl. Phys. 2001, 89, 2332. [Google Scholar] [CrossRef]
- Zhukov, S.; Genenko, Y.A.; von Seggerna, H. Experimental and theoretical investigation on polarization reversal in unfatigued lead-zirconate-titanate ceramic. J. Appl. Phys. 2010, 108, 014106. [Google Scholar] [CrossRef]
- Tagantsev, A.K.; Stolichnov, I.; Setter, N.; Cross, J.S.; Tsukada, M. Non-Kolmogorov-Avrami switching kinetics in ferroelectric thin films. Phys. Rev. B 2002, 66, 214109. [Google Scholar] [CrossRef]
- Hyun, S.D.; Park, H.W.; Kim, Y.J.; Park, M.H.; Lee, Y.H.; Kim, H.J.; Kwon, Y.J.; Moon, T.; Kim, K.D.; Lee, Y.B.; et al. Dispersion in ferroelectric switching performance of polycrystalline Hf0.5Zr0.5O2 thin films. ACS Appl. Mater. Interfaces 2018, 10, 35374. [Google Scholar] [CrossRef]
- Li, Y.X.; Li, J.Z.; Liang, R.R.; Zhao, R.T.; Xiong, B.K.; Liu, H.F.; Tian, H.; Yang, Y.; Ren, T.L. Switching dynamics of ferroelectric HfO2-ZrO2 with various ZrO2 contents. Appl. Phys. Lett. 2019, 114, 142902. [Google Scholar] [CrossRef]
- Mulaosmanovic, H.; Ocker, J.; Mu, S.; Schroeder, U.; Mu, J.; Polakowski, P.; Flachowsky, S.; van Bentum, R.; Mikolajick, T.; Slesazeck, S. switching kinetics in nanoscale hafnium oxide based ferroelectric field-effect transistors. ACS Appl. Mater. Interfaces 2017, 9, 3792. [Google Scholar] [CrossRef] [PubMed]
- Böscke, T.S.; Müller, J.; Bräuhaus, D.; Schröder, U.; Böttger, U. Ferroelectricity in hafnium oxide: CMOS compatible ferroelectric field effect transistors. In Proceedings of the 2011 International Electron Devices Meeting, Washington, DC, USA, 5–7 December 2011; pp. 24.5.1–24.5.4. [Google Scholar] [CrossRef]
- Gong, N.; Ma, T.-P. A study of endurance issues in HfO2-based ferroelectric field effect transistors: Charge trapping and trap generation. IEEE Electron Device Lett. 2018, 39, 15. [Google Scholar] [CrossRef]
- Toprasertpong, K.; Takenaka, M.; Takagi, S. Direct observation of interface charge behaviors in FeFET by quasi-static split C-V and Hall techniques: Revealing FeFET operation. In Proceedings of the 2019 IEEE International Electron Devices Meeting, San Francisco, CA, USA, 7–11 December 2019; pp. 23.7.1–23.7.4. [Google Scholar] [CrossRef]
- Tan, A.J.; Liao, Y.-H.; Wang, L.-C.; Shanke, N.; Bae, J.-H.; Hu, C.; Salahuddin, S. Ferroelectric HfO2 memory transistors with high-κ interfacial layer and write endurance exceeding 1010 cycles. IEEE Electron Device Lett. 2021, 42, 994. [Google Scholar] [CrossRef]
- Mikolajick, T.; Slesazeck, S.; Mulaosmanovic, H.; Park, M.H.; Fichtner, S.; Lomenzo, P.D.; Hoffmann, M.; Schroeder, U. Next generation ferroelectric materials for semiconductor process integration and their applications. J. Appl. Phys. 2021, 129, 100901. [Google Scholar] [CrossRef]
- Ishibashi, Y. Polarization reversal in ferroelectrics. Ouyoubutsuri 1998, 67, 1249. [Google Scholar] [CrossRef]
- Merz, W.J. Domin formation and domain wall motions in ferroelectric BaTiO3 single crystals. Phys. Rev. 1954, 95, 690. [Google Scholar] [CrossRef]
- Fatuzzo, E.; Merz, W.J. Switching Mechanism in Triglycine sulfate and other ferroelectrics. Phys. Rev. 1959, 116, 61. [Google Scholar] [CrossRef]
- Paruch, P.; Giamarchi, T.; Tybell, T.; Triscone, J.-M. Nanoscale studies of domain wall motion in epitaxial ferroelectric thin films. J. Appl. Phys. 2006, 100, 051608. [Google Scholar] [CrossRef]
- Kim, D.J.; Jo, J.Y.; Kim, T.H.; Yang, S.M.; Chen, B.; Kim, Y.S.; Noh, T.W. Observation of inhomogeneous domain nucleation in epitaxial Pb(Zr,Ti)O3 capacitors. Appl. Phys. Lett. 2007, 91, 132903. [Google Scholar] [CrossRef]
- Jo, J.Y.; Yang, S.M.; Kim, T.H.; Lee, H.N.; Yoon, J.-G.; Park, S.; Jo, Y.; Jung, M.H.; Noh, T.W. Nonlinear dynamics of domain-wall propagation in epitaxial ferroelectric thin films. Phys. Rev. Lett. 2009, 102, 045701. [Google Scholar] [CrossRef]
- Liu, S.; Grinberg, I.; Rappe, A.M. Intrinsic ferroelectric switching from first principles. Nature 2016, 534, 360. [Google Scholar] [CrossRef] [PubMed]
- Sakai, S.; Zhang, W.; Takahashi, M. Method for disclosing invisible physical properties in metal-ferroelectric-insulator-semiconductor gate stacks. J. Phys. D Appl. Phys. 2017, 50, 165107. [Google Scholar] [CrossRef]
- Zhang, W.; Takahashi, M.; Sasaki, Y.; Kusuhara, M.; Sakai, S. 3.3V write-voltage Ir/Ca0.2Sr0.8Bi2Ta2O9/HfO2/Si ferroelectric-gate field-effect transistors with 109 endurance and good retention. Jpn. J. Appl. Phys. 2017, 56, 04CE04. [Google Scholar] [CrossRef]
- Sze, S.M. Physics of Semiconductor Devices, 2nd ed.; John Wiley & Sons: New York, NY, USA, 1981; Chapters 7–8. [Google Scholar]
- de Araujo, C.P.; Cuchiaro, J.D.; McMillan, L.D.; Scott, M.C.; Scott, J.F. Fatigue-free ferroelectric capacitors with platinum electrodes. Nature 1995, 374, 627. [Google Scholar] [CrossRef]
- Shimakawa, Y.; Kubo, Y.; Izumi, F. Crystal structure and ferroelectric properties of ABi2Ta2O9(A = Ca, Sr, and Ba). Phys. Rev. B 2000, 61, 6559. [Google Scholar] [CrossRef]
- Paruch, P.; Guyonnet, J. Nanoscale studies of ferroelectric domain walls pinned elastic interfaces. Comptes Rendus Phys. 2013, 14, 667. [Google Scholar] [CrossRef]
- Pertsev, N.A.; Petraru, A.; Kohlstedt, H.; Waser, R.; Bdikin, I.K.; Kiselev, D.; Kholkin, A.L. Dynamics of ferroelectric nanodomains in BaTiO3 epitaxial thin films via piezoresponse force microscopy. Nanotechnology 2008, 19, 375703. [Google Scholar] [CrossRef]
- Paruch, P.; Giamarchi, T.; Triscone, J.-M. Domain wall roughness in epitaxial ferroelectric PbZr0.2Ti0.8O3 thin films. Phys. Rev. Lett. 2005, 94, 197601. [Google Scholar] [CrossRef]
- Xiao, Z.; Poddar, S.; Ducharme, S.; Hong, X. Domain wall roughness and creep in nanoscale crystalline ferroelectric polymers. Appl. Phys. Lett. 2013, 103, 112903. [Google Scholar] [CrossRef]
- Zhao, D.; Katsouras, I.; Asadi, K.; Blom, P.W.M.; de Leeuw, D.M. Switching dynamics in ferroelectric P(VDF-TrFE) thin films. Phys. Rev. B 2015, 92, 214115. [Google Scholar] [CrossRef]
- Ishibashi, Y. Computational method of activation energy of thick domain walls. J. Phys. Soc. Jpn. 1979, 46, 1254. [Google Scholar] [CrossRef]
- Fukuda, M.; Mizubayashi, W.; Kohno, A.; Miyazaki, S.; Hirose, M. Analysis of tunnel current through ultrathin gate oxides. Jpn. J. Appl. Phys. 1998, 37, L1534. [Google Scholar] [CrossRef]
- Register, L.F.; Posenbaum, E.; Yang, K. Analytic model for direct tunneling current in polycrystalline silicon-gate metal-oxide-semiconductor devices. Appl. Phys. Lett. 1999, 74, 457. [Google Scholar] [CrossRef]
- Salahuddin, S.; Datta, S. Can the subthreshold swing in a classical FET be lowered below 60 mV/decade? In Proceedings of the 2008 IEEE International Electron Devices Meeting, San Francisco, CA, USA, 15–17 December 2008; pp. 1–4. [Google Scholar] [CrossRef]
- Watanabe, T.; Sakai, T.; Funakubo, H.; Saito, K.; Osada, M.; Yoshimoto, M.; Sasaki, A.; Liu, J.; Kakihana, M. Ferroelectric property of a-/b-axis-oriented epitaxial Sr0.8Bi2.2Ta2O9 thin films grown by metalorganic chemical vapor deposition. Jpn. J. Appl. Phys. 2002, 41, L1478. [Google Scholar] [CrossRef]
- Lettieri, J.; Zurbuchen, M.A.; Jia, Y.; Schlom, D.G.; Streiffer, S.K.; Hawley, M.E. Epitaxial growth of SrBi2Nb2O9 on (110) SrTiO3 and the establishment of a lower bound on the spontaneous polarization of SrBi2Nb2O9. Appl. Phys. Lett. 2000, 77, 3090. [Google Scholar] [CrossRef]
- Azodi, M.; Harnagea, C.; Buscaglia, V.; Buscaglia, M.T.; Nanni, P.; Rosei, F.; Pignolet, A. Ferroelectric switching in Bi4Ti3O12 nanorods. IEEE Trans. Ultrason. Ferroelectr. Freq. Control 2012, 59, 1903. [Google Scholar] [CrossRef] [PubMed]
- Park, B.H.; Kang, B.S.; Bu, S.D.; Noh, T.W.; Jo, W. Lanthanum-substituted bismuth titanate for use in non-volatile memories. Nature 1999, 401, 682. [Google Scholar] [CrossRef]
- Sakai, T.; Watanabe, T.; Funakubo, H.; Saito, K.; Osada, M. Effect of La substitution on electrical properties of highly oriented Bi4Ti3O12 films prepared by metalorganic chemical vapor deposition. Jpn. J. Appl. Phys. 2003, 42, 166. [Google Scholar] [CrossRef]
- Garg, A.; Snedden, A.; Lightfoot, P.; Scott, J.F.; Hu, X.; Barber, Z.H. Investigation of structural and ferroelectric properties of pulsed-laser-ablated epitaxial Nd-doped bismuth titanate films. J. Appl. Phys. 2004, 96, 3408. [Google Scholar] [CrossRef]
- Cheng, Z.X.; Kannan, C.V.; Ozawa, K.; Kimura, H.; Wang, X.L. Orientation dependent ferroelectric properties in samarium doped bismuth titanate thin films grown by the pulsed-laser-ablation method. Appl. Phys. Lett. 2006, 89, 032901. [Google Scholar] [CrossRef]
- Shur, V.Y. Kinetics of ferroelectric domains: Application of general approach to LiNbO3 and LiTaO3. J. Mater. Sci. 2006, 41, 199. [Google Scholar] [CrossRef]
- Zhang, W. (National Institute of Advanced Industrial Science and Technology, Tsukuba, Ibaraki, Japan); Takahashi, M. (National Institute of Advanced Industrial Science and Technology, Tsukuba, Ibaraki, Japan); Sakai, S. (National Institute of Advanced Industrial Science and Technology, Tsukuba, Ibaraki, Japan). Personal communication, Unpublished data not intended for publication. 2017.
- Sakai, S.; Zhang, W.; Takahashi, M. Dynamic analog characteristics of 109 Cycle-endurance low-voltage nonvolatile ferroelectric-gate memory transistors. In Proceedings of the 2017 IEEE International Memory Workshop, Monterey, CA, USA, 14–17 May 2017; pp. 1–4. [Google Scholar] [CrossRef]
- Michaelson, H.B. Relation between an atomic electronegativity scale and the work function. IBM J. Res. Dev. 1978, 22, 72. [Google Scholar] [CrossRef]
- Sakai, S.; Ilangovan, R.; Tahahashi, M. Pt/SrBi2Ta2O9/Hf-Al-O/Si field-effect-transistor with long retention using unsaturated ferroelectric polarization switching. Jpn. J. Appl. Phys. 2004, 43, 7876. [Google Scholar] [CrossRef]
- Takahashi, M.; Zhang, W.; Sakai, S. High-endurance ferroelectric NOR flash memory using (Ca,Sr)Bi2Ta2O9 FeFETs. In Proceedings of the 2018 IEEE International Memory Workshop, Kyoto, Japan, 13–16 May 2018; pp. 1–4. [Google Scholar] [CrossRef]
- Chen, J.; Chan, T.Y.; Chen, I.C.; Ko, P.K.; Hu, C. Sub-breakdown drain leakage current in MOSFET. IEEE Electron Device Lett. 1987, 8, 515. [Google Scholar] [CrossRef]
- Wang, S.; Takahashi, M.; Li, Q.H.; Takeuchi, K.; Sakai, S. Operational method of a ferroelectric (Fe)-NAND flash memory array. Semicond. Sci. Technol. 2009, 24, 105029. [Google Scholar] [CrossRef]













Disclaimer/Publisher’s Note: The statements, opinions and data contained in all publications are solely those of the individual author(s) and contributor(s) and not of MDPI and/or the editor(s). MDPI and/or the editor(s) disclaim responsibility for any injury to people or property resulting from any ideas, methods, instructions or products referred to in the content. |
© 2024 by the authors. Licensee MDPI, Basel, Switzerland. This article is an open access article distributed under the terms and conditions of the Creative Commons Attribution (CC BY) license (https://creativecommons.org/licenses/by/4.0/).
Share and Cite
Sakai, S.; Takahashi, M. An Extended Kolmogorov–Avrami–Ishibashi (EKAI) Model to Simulate Dynamic Characteristics of Polycrystalline-Ferroelectric-Gate Field-Effect Transistors. Materials 2024, 17, 1077. https://doi.org/10.3390/ma17051077
Sakai S, Takahashi M. An Extended Kolmogorov–Avrami–Ishibashi (EKAI) Model to Simulate Dynamic Characteristics of Polycrystalline-Ferroelectric-Gate Field-Effect Transistors. Materials. 2024; 17(5):1077. https://doi.org/10.3390/ma17051077
Chicago/Turabian StyleSakai, Shigeki, and Mitsue Takahashi. 2024. "An Extended Kolmogorov–Avrami–Ishibashi (EKAI) Model to Simulate Dynamic Characteristics of Polycrystalline-Ferroelectric-Gate Field-Effect Transistors" Materials 17, no. 5: 1077. https://doi.org/10.3390/ma17051077
APA StyleSakai, S., & Takahashi, M. (2024). An Extended Kolmogorov–Avrami–Ishibashi (EKAI) Model to Simulate Dynamic Characteristics of Polycrystalline-Ferroelectric-Gate Field-Effect Transistors. Materials, 17(5), 1077. https://doi.org/10.3390/ma17051077

