Nd3+-Doped Scheelite-Type Multifunctional Materials—Their Thermal Stability and Magnetic Properties
Abstract
1. Introduction
2. Materials and Methods
2.1. Synthesis of CNMWO Solid Solution
2.2. Characterization of Methods
3. Results and Discussion
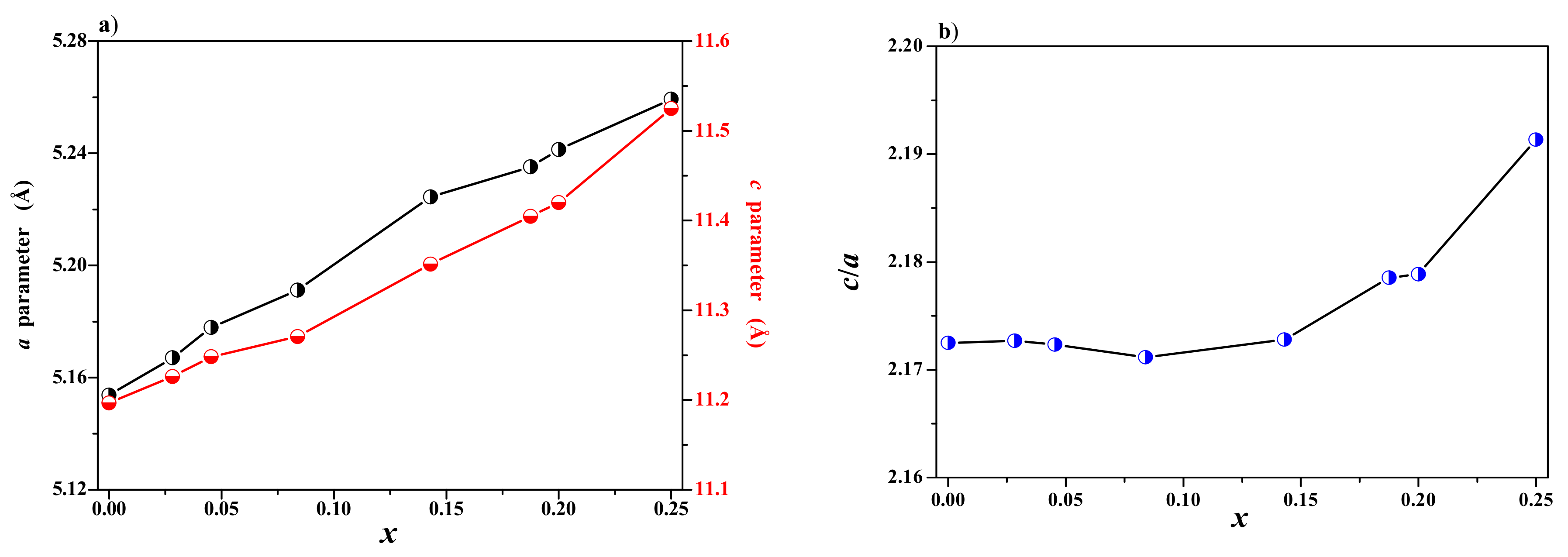
3.1. X-ray Diffraction Studies of CNMWO Materials
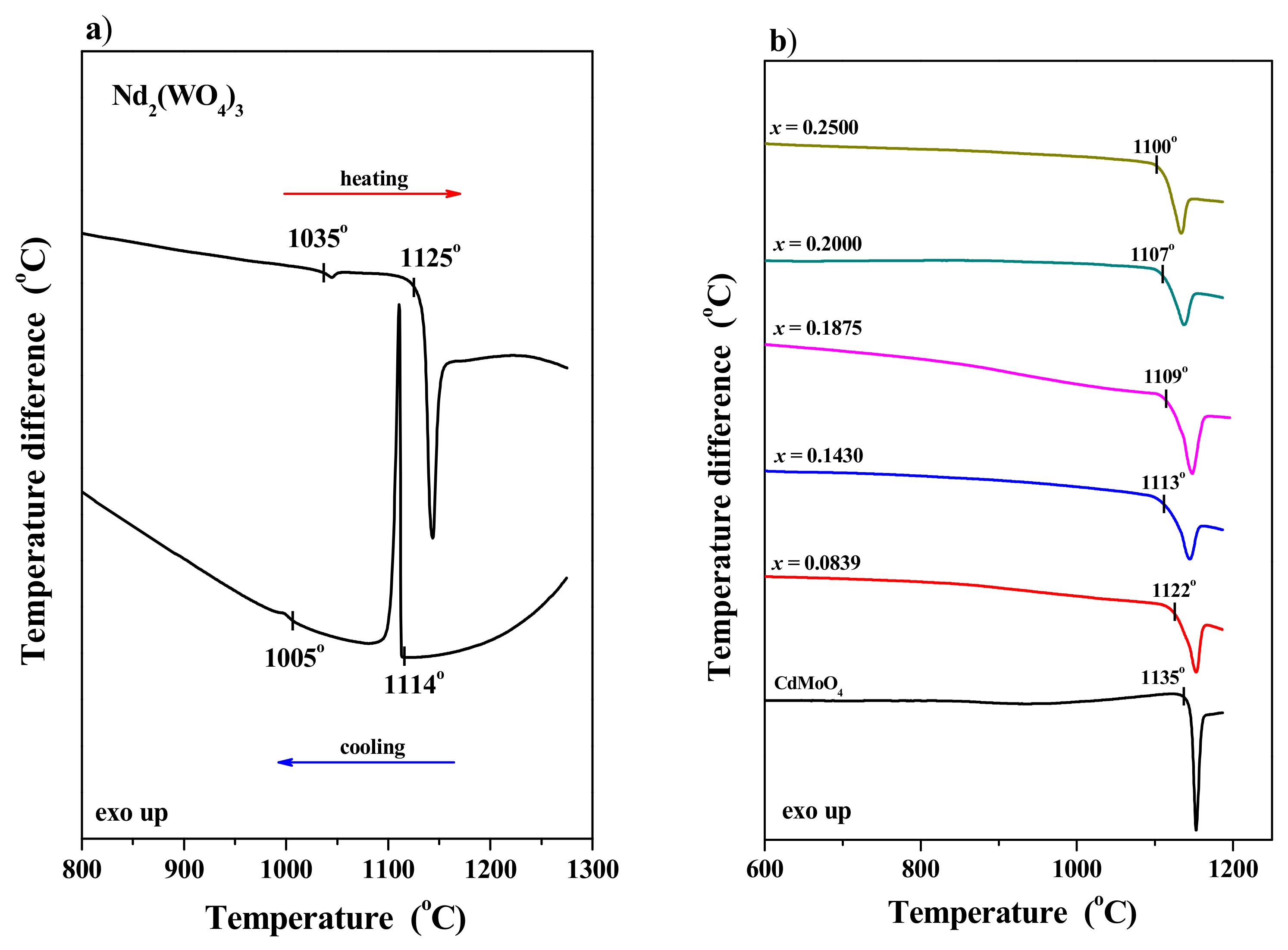
3.2. Thermal Stability and Morphology of CNMWO Solid Solution
3.3. Optical Properties of CNMWO Materials
3.4. EPR Studies of CNMWO Samples
4. Conclusions
Author Contributions
Funding
Institutional Review Board Statement
Informed Consent Statement
Data Availability Statement
Conflicts of Interest
Appendix A
| Nd2(WO4)3 Content [mol%] | CdMoO4 Content [mol%] | Formula of CNMWO Solid Solution, Values of x Parameter | Lattice Parameters | Eg [eV] | |||
|---|---|---|---|---|---|---|---|
| a [Å] | c [Å] | c/a | |||||
| 0 | 100 | x = 0 | CdMoO4 | 5.15373(8) | 11.1965(4) | 2.1725 | 3.32 |
| 3.00 | 97.00 | x = 0.0283 | Cd0.9151▯0.0283Nd0.0566(MoO4)0.9151(WO4)0.0849 | 5.16702(9) | 11.2263(6) | 2.1727 | 3.46 |
| 5.00 | 95.00 | x = 0.0455 | Cd0.8635▯0.0455Nd0.0910(MoO4)0.8635(WO4)0.1365 | 5.17786(10) | 11.2480(7) | 2.1723 | 3.48 |
| 10.00 | 90.00 | x = 0.0839 | Cd0.7483▯0.0839Nd0.1678(MoO4)0.7483(WO4)0.2517 | 5.19115(8) | 11.2708(7) | 2.1712 | 3.46 |
| 20.00 | 80.00 | x = 0.1430 | Cd0.5710▯0.1430Nd0.2860(MoO4)0.5710(WO4)0.4290 | 5.22441(9) | 11.3516(8) | 2.1728 | 3.75 |
| 30.00 | 70.00 | x = 0.1875 | Cd0.4375▯0.1875Nd0.3750(MoO4)0.4375(WO4)0.5625 | 5.23509(11) | 11.4048(5) | 2.1785 | 3.64 |
| 33.33 | 66.67 | x = 0.2000 | Cd0.4000▯0.2000Nd0.4000(MoO4)0.4000(WO4)0.6000 | 5.24128(8) | 11.4201(9) | 2.1789 | 3.57 |
| 50.00 | 50.00 | x = 0.2500 | Cd0.2500▯0.2500Nd0.5000(MoO4)0.2500(WO4)0.7500 | 5.25931(12) | 11.5249(6) | 2.1913 | 3.69 |
References
- Ronda, C.R.; Jüstel, T.; Nikol, H. Rare earth phosphors: Fundamentals and applications. J. Alloys Compd. 1998, 277, 669–676. [Google Scholar] [CrossRef]
- Boulon, G. Fifty years of advances in solid-state laser materials. Opt. Mater. 2012, 34, 499–512. [Google Scholar] [CrossRef]
- Balembois, F.; Castaing, M.; Herault, E.; Georges, P. Low-wavelength emission of Nd-doped lasers. Laser Photonics Rev. 2011, 5, 659–676. [Google Scholar] [CrossRef]
- Zhang, P.; Nizamani, B.; Salam, S.; Alghamdi, T.A.; Jafry, A.A.A.; Azooz, S.M.; Harun, S.W. Tin oxide as a Q-switcher in an Nd-doped fiber laser. Microw. Opt. Technol. Lett. 2024, 66, e34002. [Google Scholar] [CrossRef]
- Zhang, G.; Luo, F.F.; Liu, X.F.; Dong, G.P.; Zhang, Q.; Lina, G.; Zhou, Q.L.; Qiu, J.R.; Hu, L.L.; Chen, D.P. Nd-Doped Phosphate Glass Microstructured Optical Fiber Laser. Laser Phys. 2010, 20, 1425–1427. [Google Scholar] [CrossRef]
- Khafaji, M.; Zamani, M.; Golizadeh, M.; Bavi, O. Inorganic nanomaterials for chemo/photothermal therapy: A promising horizon on effective cancer treatment. Biophys. Rev. 2019, 11, 35–352. [Google Scholar] [CrossRef]
- Yu, Z.; He, Y.; Schomann, T.; Wu, K.; Hao, Y.; Suidgeest, E.; Zhang, H.; Eich, C.; Cruz, L.J. Rare-Earth-Metal (Nd3+, Ce3+ and Gd3+)-Doped CaF2: Nanoparticles for Multimodal Imaging in Biomedical Applications. Pharmaceutics 2022, 14, 2796. [Google Scholar] [CrossRef]
- Nunesa, D.M.; Pessatto, L.R.; Mungo, D.; Oliveira, R.J.; Pinto, L.M.C.; Iemma, M.R.C.; Altei, W.F.; Martines, M.A.U.; Duarte, A.P. New complexes of usnate with lanthanides ions: La(III), Nd(III), Tb(III), Gd(III), synthesis, characterization, and investigation of cytotoxic properties in MCF-7 cells. Inorg. Chim. Acta 2020, 506, 119546. [Google Scholar] [CrossRef]
- Pudovkin, M.; Oleynikova, E.; Kiiamov, A.; Cherosov, M.; Gafurov, M. Nd3+, Yb3+:YF3 Optical Temperature Nanosensors Operating in the Biological Windows. Materials 2023, 16, 39. [Google Scholar] [CrossRef]
- Maciejewska, K.; Marciniak, L. The role of Nd3+ concentration in the modulation of the thermometric performance of Stokes/anti-Stokes luminescence thermometer in NaYF4:Nd3+. Sci. Rep. 2023, 13, 472. [Google Scholar] [CrossRef]
- Pudovkin, M.S.; Ginkel, A.K.; Lukinova, E.V. Temperature sensitivity of Nd3+, Yb3+:YF3 ratiometric luminescent thermometers at different Yb3+ concentration. Opt. Mater. 2021, 119, 111328. [Google Scholar] [CrossRef]
- Suta, M.; Antic, Ž.; Ðorđevic, V.; Kuzman, S.; Dramicanin, M.D.; Meijerink, A. Making Nd3+ a Sensitive Luminescent Thermometer for Physiological Temperatures—An Account of Pitfalls in Boltzmann Thermometry. Nanomaterials 2020, 10, 543. [Google Scholar] [CrossRef] [PubMed]
- Mokni, I.; Slimi, S.; Badri, A.; Solé, R.M.; Aguiló, M.; Díaz, F.; Ayed, B.; Mateos, X. Sr6Y(PO4)5: Nd3+ a novel whitlockite-type phosphor for optical temperature sensing applications: Synthesis and luminescence properties. Ceram. Int. 2024, 50, 22936–22946. [Google Scholar] [CrossRef]
- Zhou, P.; Zhang, Q.; Peng, F.; Sun, B.; Dou, X.; Liu, B.; Han, D.; Xue, Y.; Ding, K. Optical properties of Nd3+ ions doped GdTaO4 for pressure and temperature sensing. J. Rare Earths 2022, 40, 870–877. [Google Scholar] [CrossRef]
- León-Luis, S.F.; Muñoz-Santiuste, J.E.; Lavín, V.; Rodríguez-Mendoza, U.R. Optical pressure and temperature sensor based on the luminescence properties of Nd3+ ion in a gadolinium scandium gallium garnet crystal. Opt. Express 2012, 20, 10393–10398. [Google Scholar] [CrossRef]
- Wang, X.; Liu, Q.; Bu, Y.; Liu, C.-S.; Liua, T.; Yan, Y. Optical temperature sensing of rare-earth ion doped phosphors. RSC Adv. 2015, 5, 86219. [Google Scholar] [CrossRef]
- Guzik, M.; Cybińska, J.; Tomaszewicz, E.; Guyot, Y.; Legendziewicz, J.; Boulon, G.; Stręk, W. Spectroscopic behavior of Nd3+ in a new microcrystalline ZnY4W3O16 tungstate. Opt. Mater. 2011, 34, 487–495. [Google Scholar] [CrossRef]
- Guzik, M.; Tomaszewicz, E.; Guyot, Y.; Legendziewicz, J.; Boulon, G. Structural and spectroscopic characterizations of two promising Nd-doped monoclinic or tetragonal laser tungstates. J. Mater. Chem. 2012, 22, 14896–14906. [Google Scholar] [CrossRef]
- Guzik, M.; Bieza, M.; Tomaszewicz, E.; Guyot, Y.; Boulon, G. Development of Nd3+-doped monoclinic dimolybdates La2Mo2O9 as optical materials. Z. Naturforsch. B J. Chem. Sci. 2014, 69, 193–204. [Google Scholar] [CrossRef]
- Guzik, M.; Bieza, M.; Tomaszewicz, E.; Guyot, Y.; Zych, E.; Boulon, G. Nd3+dopant influence on the structural and spectroscopic properties of microcrystalline La2Mo2O9 molybdate. Opt. Mater. 2015, 41, 21–31. [Google Scholar] [CrossRef]
- Guzik, M.; Tomaszewicz, E.; Guyot, Y.; Legendziewicz, J.; Boulon, G. Structural and spectroscopic characterizations of new Cd1-3xNd2x▯xMoO4 scheelite-type molybdates with vacancies as potential optical materials. J. Mater. Chem. C 2015, 3, 4057–4069. [Google Scholar] [CrossRef]
- Groń, T.; Tomaszewicz, E.; Berkowski, M.; Sawicki, B.; Urbanowicz, P.; Kusz, J.; Duda, H.; Oboz, M. Some optical, magnetic and transport properties of CdMoO4:Nd3+. Ceram. Int. 2016, 42, 4185–4193. [Google Scholar] [CrossRef]
- Fuks, H.; Typek, J.; Berkowski, M.; Głowacki, M.; Tomaszewicz, E. EPR study of RE3+ (RE = Nd, Gd, Dy) doped CdMoO4 single crystal. Mater. Chem. Phys. 2019, 221, 156–167. [Google Scholar] [CrossRef]
- Sobota, M.; Sobota, P.; Bieza, M.; Guzik, M.; Tomaszewicz, E.; Guyot, Y.; Boulon, G. Influence of synthesis route and grain size on structural and spectroscopic properties of cubic Nd3+-doped Y6MoO12 nano and micro-powders as optical materials. Opt. Mater. 2019, 90, 300–314. [Google Scholar] [CrossRef]
- Bieza, M.; Tomaszewicz, E.; Siczek, M.; Guyot, Y.; Boulon, G.; Guzik, M. The first characterization of cubic Nd3+-doped mixed La2MoWO9 in micro-crystalline powders and translucent micro-ceramics. J. Mater. Chem. 2022, C10, 10083–10098. [Google Scholar]
- Sawicki, B.; Tomaszewicz, E.; Groń, T.; Oboz, M.; Zajdel, P.; Gruszka, I.; Guzik, M.; Urbanowicz, P. Structural, magnetic and electrical properties of Nd3+-doped PbWO4 ceramic materials. Acta Phys. Pol. A 2022, 142, 629–636. [Google Scholar] [CrossRef]
- Sawicki, B.; Tomaszewicz, E.; Guzik, M.; Groń, T.; Oboz, M.; Duda, H.; Pawlus, S.; Urbanowicz, P. Effect of Ca2+ site substitution on structural, optical, electrical and magnetic properties in Nd3+ and Mn2+-co-doped calcium molybdato-tungstates. Ceram. Int. 2023, 49, 944–955. [Google Scholar] [CrossRef]
- Sawicki, B.; Tomaszewicz, E.; Groń, T.; Oboz, M.; Kusz, J.; Berkowski, M. Magnetic and electrical characteristics of Nd3+-doped lead molybdato-tungstate single crystals. Materials 2023, 16, 620. [Google Scholar] [CrossRef]
- Prokop, K.A.; Siczek, M.; Tomaszewicz, E.; Rola, K.; Guyot, Y.; Boulon, G.; Guzik, M. Structural ordering studies of Nd3+ ion in eulytite-type M3Y(PO4)3 (M = Sr2+ or Ba2+) phosphates. First translucent ceramics from micro-crystalline cubic powders. Ceram. Int. 2024, 50, 8042–8056. [Google Scholar] [CrossRef]
- Ohana, E.; Malka, D. O-Band Grating Couplers Using Silicon Nitride Structures. Appl. Sci. 2023, 13, 9951. [Google Scholar] [CrossRef]
- Moshaev, V.; Leibin, Y.; Malka, D. Optimizations of Si PIN diode phase-shifter for controlling MZM quadrature bias point using SOI rib waveguide technology. Opt. Laser Technol. 2021, 138, 106844. [Google Scholar] [CrossRef]
- Sleight, A.W. Accurate cell dimensions for ABO4 molybdates and tungstates. Acta Cryst. B 1972, 28, 2899–2902. [Google Scholar] [CrossRef]
- Zhang, X.; Lin, J.; Mikhalik, V.B.; Kraus, H. Studies of scintillation properties of CaMoO4 at milikelvin temperatures. Appl. Phys. Lett. 2015, 106, 241904. [Google Scholar] [CrossRef]
- Ju, Z.; Wei, R.; Gao, X.; Liu, W.; Pang, C. Red phosphor SrWO4:Eu3+ for potential application in white LED. Opt. Mater. 2011, 33, 909–913. [Google Scholar] [CrossRef]
- Xi, H.; Zhou, D.; He, B.; Xie, H. Microwave dielectric properties of scheelite structured PbMoO4 ceramic with ultralow sintering temperature. J. Am. Ceram. Soc. 2014, 97, 1375–1378. [Google Scholar] [CrossRef]
- Taupin, D. Une methode generale pour l’indexation des diagrammes de poudres. J. Appl. Crystallogr. 1968, 1, 87. [Google Scholar] [CrossRef]
- Taupin, D. A powder–diagram authomatic–indexing routine. J. Appl. Crystallogr. 1973, 6, 380–385. [Google Scholar] [CrossRef]
- Weil, M.; Stöger, B.; Aleksandrov, L. Nd2(WO4)3. Acta Cryst. E 2009, 65, i45. [Google Scholar] [CrossRef]
- Shannon, R.D. Revised effective ionic radii and systematic studies of interatomic distances in halides and chalcogenides. Acta Cryst. A 1976, 32, 751–767. [Google Scholar] [CrossRef]
- Tomaszewicz, E.; Piątkowska, M.; Pawlikowska, M.; Groń, T.; Oboz, M.; Sawicki, B.; Urbanowicz, P. New vacancied and Dy3+-doped molybdates–their structure, thermal stability, electrical and magnetic properties. Ceram. Int. 2016, 42, 18357–18367. [Google Scholar] [CrossRef]
- Nassau, K.; Jamieson, P.B.; Shiever, J.W. The neodymium molybdate-tungstate system. J. Phys. Chem. Solids 1969, 30, 1225–1230. [Google Scholar] [CrossRef]
- Brixner, L.H.; Sleight, A.W. Crystal growth and precision lattice constants of some Ln2(WO4)3-type rare earth tungstates. Mater. Res. Bull. 1973, 8, 1269–1273. [Google Scholar] [CrossRef]
- Nassau, K.; Levinstein, H.J.; Loiacono, G.M. A comprehensive study of trivalent tungstates and molybdates of the type L2(MO4)3. J. Phys. Chem. Solids 1965, 26, 1805–1816. [Google Scholar] [CrossRef]
- Piątkowska, M.; Tomaszewicz, E. Synthesis, structure, and thermal stability of new scheelite-type Pb1-3x▯xPr2x(MoO4)1-3x(WO4)3x ceramic materials. J. Therm. Anal. Calorim. 2016, 126, 111–119. [Google Scholar] [CrossRef][Green Version]
- Tomaszewicz, E.; Dąbrowska, G.; Filipek, E.; Fuks, H.; Typek, J. New scheelite-type Cd1-3x▯xGd2x(MoO4)1-3x(WO4)3x ceramics–their structure, thermal and magnetic properties. Ceram. Int. 2016, 42, 6673–6681. [Google Scholar] [CrossRef]
- Zhang, Y.; Holzwarth, N.A.W.; Williams, R.T. Electronic band structure of the scheelite materials CaMoO4, CaWO4, PbMoO4, and PbWO4. Phys. Rev. B 1998, 57, 12738–12750. [Google Scholar] [CrossRef]
- Lacomba-Perales, R.; Ruiz-Fuertes, J.; Errandonea, D.; Martinez-Garcia, D.; Segura, A. Optical absorption of divalent metal tungstates: Correlation between the band-gap energy and the cation ionic radius. EPL 2008, 83, 37002. [Google Scholar] [CrossRef]
- Tauc, J.; Grigorovici, R.; Vancu, A. Optical properties and electronic structures of amorphous germanium. Phys. Status Solidi 1966, 15, 627–637. [Google Scholar] [CrossRef]
- Tauc, J.; Menth, A. States in the gap. J. Non-Cryst. Solids 1972, 8–10, 569–585. [Google Scholar] [CrossRef]
- Fuks, H.; Kaczmarek, S.M.; Macalik, L.; Hanuza, J. EPR and Raman properties of KY(WO4)2 single crystals weakly doped with Er, Yb and Nd. Opt. Mater. 2012, 34, 2086–2090. [Google Scholar] [CrossRef]
- Kaczmarek, S.M.; Leniec, G.; Fuks, H.; Tomaszewicz, E.; Dąbrowska, G.; Skibiński, T. EPR studies of new cadmium and rare-earth molybdates, molybdato-tungstates and their solid solutions. J. Alloys Compd. 2012, 520, 195–201. [Google Scholar] [CrossRef]
- Mingalieva, L.V.; Voronkova, V.K.; Galeev, R.T.; Sukhanov, A.A.; Melnik, S.; Prodius, D.; Turta, K.I. EPR Investigation of Exchange Interactions Between Neodymium Ions in {[Nd2(α-C4H3OCOO)6(H2O)2]}n. Appl. Magn. Reson. 2010, 37, 737–750. [Google Scholar] [CrossRef]
- Karolewicz, M.; Fuks, H.; Tomaszewicz, E. Synthesis and thermal, optical and magnetic properties of new Mn2+-doped and Eu3+-co-doped scheelites. J. Therm. Anal. Calorim. 2019, 138, 2219–2231. [Google Scholar] [CrossRef]
- Tomaszewicz, E.; Filipek, E.; Fuks, H.; Typek, J. Thermal and magnetic properties of new scheelite type Cd1−3x▯xGd2xMoO4 ceramic materials. J. Eur. Ceram. Soc. 2014, 34, 1511–1522. [Google Scholar] [CrossRef]
- Piątkowska, M.; Fuks, H.; Tomaszewicz, E.; Kochmańska, A.E. New vacancied and Gd3+-doped lead molybdato-tungstates and tungstates prepared via solid state and citrate-nitrate combustion method. Ceram. Int. 2017, 43, 7839–7850. [Google Scholar] [CrossRef]
- Tomaszewicz, E.; Fuks, H.; Typek, J.; Sawicki, B.; Oboz, M.; Groń, T.; Mydlarz, T. Preparation, thermal stability and magnetic properties of new AgY1-xGdx(WO4)2 ceramic materials. Ceram. Int. 2015, 41, 5734–5748. [Google Scholar] [CrossRef]
- Skrzypek, D.; Malicka, E.; Wałkowska, A.; Cichoń, A. Structural and magnetic properties of single-crystalline spinel systems ZnCr2xInxSe4. J. Cryst. Growth 2010, 312, 471–477. [Google Scholar] [CrossRef]








Disclaimer/Publisher’s Note: The statements, opinions and data contained in all publications are solely those of the individual author(s) and contributor(s) and not of MDPI and/or the editor(s). MDPI and/or the editor(s) disclaim responsibility for any injury to people or property resulting from any ideas, methods, instructions or products referred to in the content. |
© 2024 by the authors. Licensee MDPI, Basel, Switzerland. This article is an open access article distributed under the terms and conditions of the Creative Commons Attribution (CC BY) license (https://creativecommons.org/licenses/by/4.0/).
Share and Cite
Tomaszewicz, E.; Dąbrowska, G.; Fuks, H.; Kochmański, P. Nd3+-Doped Scheelite-Type Multifunctional Materials—Their Thermal Stability and Magnetic Properties. Materials 2024, 17, 4883. https://doi.org/10.3390/ma17194883
Tomaszewicz E, Dąbrowska G, Fuks H, Kochmański P. Nd3+-Doped Scheelite-Type Multifunctional Materials—Their Thermal Stability and Magnetic Properties. Materials. 2024; 17(19):4883. https://doi.org/10.3390/ma17194883
Chicago/Turabian StyleTomaszewicz, Elżbieta, Grażyna Dąbrowska, Hubert Fuks, and Paweł Kochmański. 2024. "Nd3+-Doped Scheelite-Type Multifunctional Materials—Their Thermal Stability and Magnetic Properties" Materials 17, no. 19: 4883. https://doi.org/10.3390/ma17194883
APA StyleTomaszewicz, E., Dąbrowska, G., Fuks, H., & Kochmański, P. (2024). Nd3+-Doped Scheelite-Type Multifunctional Materials—Their Thermal Stability and Magnetic Properties. Materials, 17(19), 4883. https://doi.org/10.3390/ma17194883

