Impact of Annealing in Various Atmospheres on Characteristics of Tin-Doped Indium Oxide Layers towards Thermoelectric Applications
Abstract
1. Introduction
2. Materials and Methods
3. Results
3.1. Structural Investigations
3.2. Microscopic Investigations
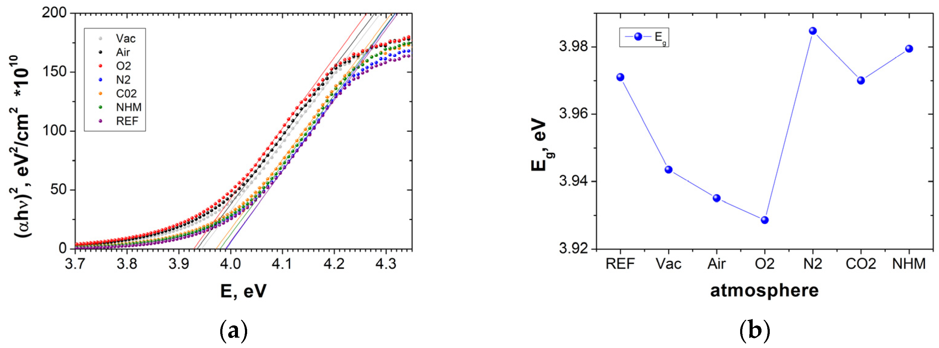
3.3. Optical Properties
3.4. Thermal Properties
3.5. Electrical and Thermoelectrical Properties
4. Discussion
5. Conclusions
Author Contributions
Funding
Institutional Review Board Statement
Informed Consent Statement
Data Availability Statement
Acknowledgments
Conflicts of Interest
References
- Ghosh, D.K.; Bose, S.; Das, G.; Mukhopadhyay, S.; Sengupta, A. Realization of performance enhancement of thin film silicon solar cells by applying ITO/AZO bilayer TCO films as front electrode. J. Mater. Sci. Mater. Electron. 2023, 34, 2189. [Google Scholar] [CrossRef]
- Ohashi, N.; Kaneko, R.; Sakai, C.; Wasai, Y.; Higuchi, S.; Yazawa, K.; Tahara, H.; Handa, T.; Nakamura, T.; Murdey, R.; et al. Bilayer Indium Tin Oxide Electrodes for Deformation-Free Ultrathin Flexible Perovskite Solar Cells. Sol. RRL 2023, 7, 2300221. [Google Scholar] [CrossRef]
- Heffner, H.; Soldera, M.; Lasagni, A.F. Optoelectronic performance of indium tin oxide thin films structured by sub-picosecond direct laser interference patterning. Sci. Rep. 2023, 13, 9798. [Google Scholar] [CrossRef]
- Luo, B.; Cao, L.; Gao, H.; Zhang, Z.; Luo, F.; Zhou, H.; Ma, K.; Liu, D.; Miao, M. Superior Thermoelectric Performance of Robust Column-Layer ITO Thin Films Tuning by Profuse Interfaces. ACS Appl. Mater. Interfaces 2022, 14, 36258–36267. [Google Scholar] [CrossRef]
- Li, F.; Chen, C.; Tan, F.; Li, C.; Yue, G.; Shen, L.; Zhang, W. Semitransparent inverted polymer solar cells employing a sol-gel-derived TiO2 electron-selective layer on FTO and MoO3/Ag/MoO3 transparent electrode. Nanoscale Res. Lett. 2014, 9, 579. [Google Scholar] [CrossRef] [PubMed]
- Marikkannan, M.; Subramanian, M.; Mayandi, J.; Tanemura, M.; Vishnukanthan, V.; Pearce, J.M. Effect of ambient combinations of argon, oxygen, and hydrogen on the properties of DC magnetron sputtered indium tin oxide films. AIP Adv. 2015, 5, 017128. [Google Scholar] [CrossRef]
- Voisin, L.; Ohtsuka, M.; Petrovska, S.; Sergiienko, R.; Nakamura, T. Structural, optical and electrical properties of DC sputtered indium saving indium-tin oxide (ITO) thin films. Optik 2018, 156, 728–737. [Google Scholar] [CrossRef]
- Koseoglu, H.; Turkoglu, F.; Kurt, M.; Yaman, M.D.; Akca, F.G.; Aygun, G.; Ozyuzer, L. Improvement of optical and electrical properties of ITO thin films by electro-annealing. Vacuum 2015, 120, 8–13. [Google Scholar] [CrossRef]
- Gwamuri, J.; Marikkannan, M.; Mayandi, J.; Bowen, P.K.; Pearce, J.M. Influence of Oxygen Concentration on the Performance of Ultra-Thin RF Magnetron Sputter Deposited Indium Tin Oxide Films as a Top Electrode for Photovoltaic Devices. Materials 2016, 9, 63. [Google Scholar] [CrossRef]
- Jung, Y.S.; Choi, Y.W.; Lee, H.C.; Lee, D.W. Effects of thermal treatment on the electrical and optical properties of silver-based indium tin oxide/metal/indium tin oxide structures. Thin Solid Films 2003, 440, 278–284. [Google Scholar] [CrossRef]
- Valla, A.; Carroy, P.; Ozanne, F.; Muñoz, D. Understanding the role of mobility of ITO films for silicon heterojunction solar cell applications. Sol. Energy Mater. Sol. Cells 2016, 157, 874–880. [Google Scholar] [CrossRef]
- Snyder, G.J.; Tobe, E.S. Complex thermoelectric materials. Nat. Mater. 2008, 7, 105–114. [Google Scholar] [CrossRef]
- Kim, S.; Kim, D.; Byeon, J.; Lim, J.; Song, J.; Park, S.; Park, C.; Song, P. Transparent amorphous oxide semiconductor as excellent thermoelectric materials. Coatings 2018, 8, 462. [Google Scholar] [CrossRef]
- Ashida, T.; Miyamura, A.; Oka, N.; Sato, Y.; Yagi, T.; Taketoshi, N.; Baba, T.; Shigesato, Y. Thermal transport properties of polycrystalline tin-doped indium oxide films. J. Appl. Phys. 2009, 105, 073709. [Google Scholar] [CrossRef]
- Available online: http://www.thermtest.com/material-property-search/ (accessed on 15 November 2023).
- Tanzi, M.C.; Farè, S.; Candiani, G. Organization, Structure, and Properties of Materials. Found. Biomater. Eng. 2019, 3, 3–103. [Google Scholar] [CrossRef]
- Zhang, Y.; Zhu, W.; Hui, F.; Lanza, M.; Borca-Tasciuc, T.; Muńoz Rojo, M. A Review on Principles and Applications of Scanning Thermal Microscopy (SThM). Adv. Funct. Mater. 2019, 30, 1900892. [Google Scholar] [CrossRef]
- Gomes, S.; Assy, A.; Chapuis, P.-O. Scanning thermal microscopy: A review. Phys. Status Solidi A 2015, 212, 477. [Google Scholar] [CrossRef]
- Bodzenta, J.; Kaźmierczak-Bałata, A. Scanning thermal microscopy and its applications for quantitative thermal measurements. J. Appl. Phys. 2022, 132, 140902. [Google Scholar] [CrossRef]
- Zhang, Q.; Zhu, W.; Zhou, J.; Deng, Y. Realizing the Accurate Measurements of Thermal Conductivity over a Wide Range by Scanning Thermal Microscopy Combined with Quantitative Prediction of Thermal Contact Resistance. Small 2023, 19, 2300968. [Google Scholar] [CrossRef]
- Yang, X.; Wang, C.; Lu, R.; Shen, Y.; Zhao, H.; Li, J.; Li, R.; Zhang, L.; Chen, H.; Zhang, T.; et al. Progress in measurement of thermoelectric properties of micro/nano thermoelectric materials: A critical review. Nano Energy 2022, 101, 107553. [Google Scholar] [CrossRef]
- Yamashita, Y.; Honda, K.; Yagi, T.; Jia, J.; Taketoshi, N.; Shigesato, Y. Thermal conductivity of hetero-epitaxial ZnO thin films on c- and r-plane sapphire substrates: Thickness and grain size effect. J. Appl. Phys. 2019, 125, 035101. [Google Scholar] [CrossRef]
- Trefon-Radziejewska, D.; Juszczyk, J.; Fleming, A.; Horny, N.; Antoniow, J.S.; Chirtoc, M.; Kaźmierczak-Bałata, A.; Bodzenta, J. Thermal characterization of metal phthalocyanine layers using Photothermal Radiometry and Scanning Thermal Microscopy methods. Synth. Met. 2017, 232, 72–78. [Google Scholar] [CrossRef]
- Dalola, S.; Faglia, G.; Comini, E.; Ferroni, M.; Soldano, C.; Zappa, D.; Ferrari, V.; Sberveglieri, G. Seebeck effect in ZnO nanowires for micropower generation. Procedia Eng. 2011, 25, 1481–1484. [Google Scholar] [CrossRef]
- Zappa, D.; Dalola, S.; Faglia, G.; Comini, E.; Ferroni, M.; Soldano, C.; Sberveglieri, G. Integration of ZnO and CuO nanowires into a thermoelectric module. Beilstein J. Nanotechnol. 2014, 5, 927–936. [Google Scholar] [CrossRef] [PubMed]
- Parida, B.; Gil, Y.; Kim, H. Highly Transparent Conducting Indium Tin Oxide Thin Films Prepared by Radio Frequency Magnetron Sputtering and Thermal Annealing. J. Nanosci. Nanotechnol. 2019, 19, 1455–1462. [Google Scholar] [CrossRef] [PubMed]
- Kim, J.; Lee, D.; Song, S.; Cho, S.Y.; Bae, J.-S.; Kim, W.; Youn, B.; Kim, Y.; Lee, J.-S.; Bu, S.D.; et al. Surface chemistry modification in ITO films induced by Sn2+ ionic state variation. Curr. Appl. Phys. 2017, 17, 1415–1421. [Google Scholar] [CrossRef]
- Karasiński, P.; Gondek, E.; Drewniak, S.; Kityk, I.V. Nano-sized blue spectral shift in sol–gel derived mesoporous titania films. J. Sol-Gel Sci. Technol. 2012, 61, 355–361. [Google Scholar] [CrossRef]
- Domanowska, A.; Krzywiecki, M.; Adamowicz, B.; Gorantla, S.M.; Suchanek, K.; Mitura-Nowak, M.; Michalewicz, A.; Zięba, M.; Karasiński, P. Sol-gel derived SiOx:TiOy films for integrated optics: HR S/TEM and AES/XPS insight to structure and chemical composition. Mater. Sci. Eng. B 2024, 303, 117289. [Google Scholar] [CrossRef]
- Kaźmierczak-Bałata, A.; Bodzenta, J.; Dehbashi, M.; Mayandi, J.; Venkatachalapathy, V. Influence of post processing on thermal conductivity of ITO thin films. Materials 2023, 16, 362. [Google Scholar] [CrossRef]
- Bodzenta, J.; Juszczyk, J.; Chirtoc, M. Quantitative thermal microscopy based on determination of thermal probe dynamic resistance. Rev. Sci. Instrum. 2013, 84, 093702. [Google Scholar] [CrossRef]
- Juszczyk, J.; Kaźmierczak-Bałata, A.; Firek, P.; Bodzenta, J. Measuring thermal conductivity of thin films by Scanning Thermal Microscopy combined with thermal spreading resistance analysis. Ultramicroscopy 2017, 175, 81–86. [Google Scholar] [CrossRef] [PubMed]
- Guenther, G.; Schierning, G.; Theissmann, R.; Kruk, R.; Schmechel, R.; Baehtz, C.; Prodi-Schwab, A. Formation of metallic indium-tin phase from indium-tin-oxide nanoparticles under reducing conditions and its influence on the electrical properties. J. Appl. Phys. 2008, 104, 034501. [Google Scholar] [CrossRef]
- Morikawa, H.; Kurata, H.; Fujita, M. On the grain boundary segregation of Sn in indium-tin-oxide thin films. J. Electron. Microsc. 2000, 49, 67–72. [Google Scholar] [CrossRef] [PubMed]
- Guillén, C.; Herrero, J. Structure, optical, and electrical properties of indium tin oxide thin films prepared by sputtering at room temperature and annealed in air or nitrogen. J. Appl. Phys. 2007, 101, 073514. [Google Scholar] [CrossRef]
- Byeon, J.; Kim, S.; Lim, J.-H.; Song, J.Y.; Park, S.H.; Song, P. Thermoelectric and electrical properties of micro-quantity Sn-doped amorphous indium–zinc oxide thin films. Jpn. J. Appl. Phys. 2017, 56, 010304. [Google Scholar] [CrossRef]
- Kaźmierczak-Bałata, A.; Grządziel, L.; Guziewicz, M.; Venkatachalapathy, V.; Kuznetsov, A.; Krzywiecki, M. Correlations of thermal properties with grain structure, morphology, and defect balance in nanoscale polycrystalline ZnO films. Appl. Surf. Sci. 2021, 546, 149095. [Google Scholar] [CrossRef]
- Tchenka, A.; Agdad, A.; Mellalou, A.; Chaik, M.; Haj, D.A.; Narjis, A.; Nkhaili, L.; Ibnouelghazi, E.; Ech-Chamikh, E. Spectroscopic Investigations and Thermoelectric Properties of RF-Sputtered ITO Thin Films. J. Electron. Mater. 2022, 51, 1401–1408. [Google Scholar] [CrossRef]








| Atmosphere | Ra, nm | Eg, eV | k, W·m−1 K−1 | σ, 103 S·cm−1 | S, μV·K−1 | ZT, 10−3 |
|---|---|---|---|---|---|---|
| REF | 1.90 | 3.97 | 5.1 | 5.06 | 14.1 | 5.8 |
| Vacuum | 1.08 | 3.94 | 8.3 | 2.73 | 22.3 | 4.8 |
| Air | 2.00 | 3.93 | 10.6 | 2.79 | 24.4 | 4.6 |
| O2 | 1.56 | 3.93 | 6.4 | 2.11 | 20.9 | 2.7 |
| N2 | 1.89 | 3.98 | 11.8 | 4.76 | 13.6 | 2.2 |
| CO2 | 1.03 | 3.97 | 3.5 | 4.99 | 15.3 | 9.7 |
| NHM | 0.95 | 3.98 | 6.7 | 5.53 | 15.5 | 5.9 |
Disclaimer/Publisher’s Note: The statements, opinions and data contained in all publications are solely those of the individual author(s) and contributor(s) and not of MDPI and/or the editor(s). MDPI and/or the editor(s) disclaim responsibility for any injury to people or property resulting from any ideas, methods, instructions or products referred to in the content. |
© 2024 by the authors. Licensee MDPI, Basel, Switzerland. This article is an open access article distributed under the terms and conditions of the Creative Commons Attribution (CC BY) license (https://creativecommons.org/licenses/by/4.0/).
Share and Cite
Kaźmierczak-Bałata, A.; Bodzenta, J.; Szperlich, P.; Jesionek, M.; Michalewicz, A.; Domanowska, A.; Mayandi, J.; Venkatachalapathy, V.; Kuznetsov, A. Impact of Annealing in Various Atmospheres on Characteristics of Tin-Doped Indium Oxide Layers towards Thermoelectric Applications. Materials 2024, 17, 4606. https://doi.org/10.3390/ma17184606
Kaźmierczak-Bałata A, Bodzenta J, Szperlich P, Jesionek M, Michalewicz A, Domanowska A, Mayandi J, Venkatachalapathy V, Kuznetsov A. Impact of Annealing in Various Atmospheres on Characteristics of Tin-Doped Indium Oxide Layers towards Thermoelectric Applications. Materials. 2024; 17(18):4606. https://doi.org/10.3390/ma17184606
Chicago/Turabian StyleKaźmierczak-Bałata, Anna, Jerzy Bodzenta, Piotr Szperlich, Marcin Jesionek, Anna Michalewicz, Alina Domanowska, Jeyanthinath Mayandi, Vishnukanthan Venkatachalapathy, and Andrej Kuznetsov. 2024. "Impact of Annealing in Various Atmospheres on Characteristics of Tin-Doped Indium Oxide Layers towards Thermoelectric Applications" Materials 17, no. 18: 4606. https://doi.org/10.3390/ma17184606
APA StyleKaźmierczak-Bałata, A., Bodzenta, J., Szperlich, P., Jesionek, M., Michalewicz, A., Domanowska, A., Mayandi, J., Venkatachalapathy, V., & Kuznetsov, A. (2024). Impact of Annealing in Various Atmospheres on Characteristics of Tin-Doped Indium Oxide Layers towards Thermoelectric Applications. Materials, 17(18), 4606. https://doi.org/10.3390/ma17184606

