Monitoring Fatigue Damage of Orthotropic Steel Decks Using Nonlinear Ultrasonic Waves
Abstract
1. Introduction
2. Materials and Methods
2.1. Nonlinear Ultrasonics
2.2. Experimental Specimens
2.3. Fatigue Loading Configuration
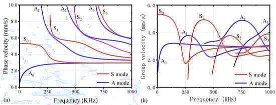
2.4. Ultrasonic Testing Configuration
3. Results
3.1. Changes in Ultrasonic Signals before and after Fatigue Loading
3.2. Evaluation of OSD Fatigue Life
4. Discussion
4.1. Comparison with Linear Ultrasonics
4.2. Influence of Welding on Ultrasonic Nonlinearity
5. Conclusions
Author Contributions
Funding
Institutional Review Board Statement
Informed Consent Statement
Data Availability Statement
Conflicts of Interest
References
- Kozy, B.M.; Connor, R.J.; Paterson, D.; Mertz, D.R. Proposed Revisions to Aashto-Lrfd Bridge Design Specifications for Orthotropic Steel Deck Bridges. J. Bridge Eng. 2011, 16, 759–767. [Google Scholar] [CrossRef]
- Shi, L.; Cheng, B.; Xiang, S.; Li, D.; Liu, T. Monitoring for Fatigue Crack Geometry in Orthotropic Steel Bridge Decks by Application of Reflected Lamb Waves. Thin-Walled Struct. 2023, 192, 111170. [Google Scholar] [CrossRef]
- Zeng, Y.; He, H.; Qu, Y.; Sun, X.; Tan, H.; Zhou, J. Numerical Simulation of Fatigue Cracking of Diaphragm Notch in Orthotropic Steel Deck Model. Materials 2023, 16, 467. [Google Scholar] [CrossRef] [PubMed]
- Liu, Y.; Huang, W.; Yu, B.; Chen, Z.; Wang, P. Fatigue Performance Analysis of Welded T-Joints in Orthotropic Steel Bridge Decks with Ultrasonic Impact Treatment. Materials 2023, 16, 6196. [Google Scholar] [CrossRef]
- Abdelbaset, H.; Zhu, Z. Behavior and Fatigue Life Assessment of Orthotropic Steel Decks: A State-of-the-Art-Review. Structures 2024, 60, 105957. [Google Scholar] [CrossRef]
- Fisher, J.W.; Barsom, J.M. Evaluation of Cracking in the Rib-to-Deck Welds of the Bronx–Whitestone Bridge. J. Bridge Eng. 2016, 21, 04015065. [Google Scholar] [CrossRef]
- Tecchio, G.; Lorenzoni, F.; Caldon, M.; Donà, M.; da Porto, F.; Modena, C. Monitoring of Orthotropic Steel Decks for Experimental Evaluation of Residual Fatigue Life. J. Civ. Struct. Health Monit. 2017, 7, 517–539. [Google Scholar] [CrossRef]
- Gao, S.; Zhang, R.; Fan, Z.; Li, N.; Yue, Y.; Xie, L. Online Monitoring of Fatigue Damage in Welded Joints Using Diffuse Ultrasound. Ultrasonics 2024, 138, 107191. [Google Scholar] [CrossRef]
- Pahlavan, L.; Blacquière, G. Fatigue Crack Sizing in Steel Bridge Decks Using Ultrasonic Guided Waves. NDT E Int. 2016, 77, 49–62. [Google Scholar] [CrossRef]
- Shi, L.; Cheng, B.; Li, D.; Xiang, S.; Liu, T.; Zhao, Q. A Cnn-Based Lamb Wave Processing Model for Field Monitoring of Fatigue Cracks in Orthotropic Steel Bridge Decks. Structures 2023, 57, 105146. [Google Scholar] [CrossRef]
- Deng, Y.; Li, A.; Feng, D. Fatigue Reliability Assessment for Orthotropic Steel Decks Based on Long-Term Strain Monitoring. Sensors 2018, 18, 181. [Google Scholar] [CrossRef] [PubMed]
- Di, J.; Ruan, X.; Zhou, X.; Wang, J.; Peng, X. Fatigue Assessment of Orthotropic Steel Bridge Decks Based on Strain Monitoring Data. Eng. Struct. 2021, 228, 111437. [Google Scholar] [CrossRef]
- Wei, S.; Zhang, Z.; Li, S.; Li, H. Strain Features and Condition Assessment of Orthotropic Steel Deck Cable-Supported Bridges Subjected to Vehicle Loads by Using Dense Fbg Strain Sensors. Smart Mater. Struct. 2017, 26, 104007. [Google Scholar] [CrossRef]
- Li, D.; Nie, J.-H.; Ren, W.-X.; Ng, W.-H.; Wang, G.-H.; Wang, Y. A Novel Acoustic Emission Source Location Method for Crack Monitoring of Orthotropic Steel Plates. Eng. Struct. 2022, 253, 113717. [Google Scholar] [CrossRef]
- Sakagami, T. Remote Nondestructive Evaluation Technique Using Infrared Thermography for Fatigue Cracks in Steel Bridges. Fatigue Fract. Eng. Mater. Struct. 2015, 38, 755–779. [Google Scholar] [CrossRef]
- Yamada, T.; Shiraishi, A.; Okuno, M.; Sugiyama, H.; Kanjo, N.; Tsukamoto, S.; Yamagami, T. Application of Electromagnetic Testing to Orthotropic Steel Deck. In Proceedings of the 6th International Conference on Bridge Maintenance, Safety and Management, Lake Maggiore, Italy, 8–12 July 2012. [Google Scholar]
- Farreras-Alcover, I.; Chryssanthopoulos, M.K.; Andersen, J.E. Data-Based Models for Fatigue Reliability of Orthotropic Steel Bridge Decks Based on Temperature, Traffic and Strain Monitoring. Int. J. Fatigue 2017, 95, 104–119. [Google Scholar] [CrossRef]
- Liu, J.; Li, T.; Li, D.; Shen, W. Experimental and Numerical Validation of Guided Wave Based on Time-Reversal for Evaluating Grouting Defects of Multi-Interface Sleeve. Smart Struct. Syst. 2024, 33, 41. [Google Scholar]
- Bjørheim, F.; Siriwardane, S.C.; Pavlou, D. A Review of Fatigue Damage Detection and Measurement Techniques. Int. J. Fatigue 2022, 154, 106556. [Google Scholar] [CrossRef]
- Lee, Y.F.; Lu, Y. Advanced Numerical Simulations Considering Crack Orientation for Fatigue Damage Quantification Using Nonlinear Guided Waves. Ultrasonics 2022, 124, 106738. [Google Scholar] [CrossRef]
- Hu, B.; Amjad, U.; Kundu, T. Monitoring Fatigue Cracks in Riveted Plates Using a Sideband Intensity Based Nonlinear Ultrasonic Technique. Ultrasonics 2024, 141, 107335. [Google Scholar] [CrossRef]
- Wang, X.; Wang, X.; Niu, X.-G.; Xiao, D.-M.; Hu, X.-L. Application of Nonlinear Ultrasonic Technique to Characterize the Creep Damage in Asme T92 Steel Welded Joints. NDT E Int. 2018, 98, 8–16. [Google Scholar] [CrossRef]
- Worlton, D.C. Experimental Confirmation of Lamb Waves at Megacycle Frequencies. J. Appl. Phys. 1961, 32, 967–971. [Google Scholar] [CrossRef]
- Zhang, H.; Wang, F.; Lin, J.; Hua, J. Lamb Wave-Based Damage Assessment for Composite Laminates Using a Deep Learning Approach. Ultrasonics 2024, 141, 107333. [Google Scholar] [CrossRef] [PubMed]
- Chen, H.; Zeng, J.; Wang, J.; Xu, B.; Mo, Y. Multiscale Homogenization Numerical Study on the Mechanism of Interface Debonding Detection for Steel–Concrete Composite Structures with Multichannel Surface Wave Measurements. Constr. Build. Mater. 2023, 368, 130386. [Google Scholar] [CrossRef]
- Wang, K.; Liu, M.; Su, Z.; Yuan, S.; Fan, Z. Analytical Insight into “Breathing” Crack-Induced Acoustic Nonlinearity with an Application to Quantitative Evaluation of Contact Cracks. Ultrasonics 2018, 88, 157–167. [Google Scholar] [CrossRef] [PubMed]
- Nilsson, M.; Huttunen-Saarivirta, E.; Bohner, E.; Ferreira, M. Non-Destructive Evaluation of Corrosion in Steel Liner Plates Embedded in Concrete Using Nonlinear Ultrasonics. Constr. Build. Mater. 2023, 408, 133691. [Google Scholar] [CrossRef]
- Kanakambaran, K.V.; Balasubramaniam, K. Frequency Sweep Study on the Generation of Dual-Mode Second Harmonics (Dmsh) on an Isotropic Nonlinear Elastic Cylindrical Rod by T(0,1) Mode. J. Sound Vib. 2024, 579, 118374. [Google Scholar] [CrossRef]
- Wang, K.; Liu, M.; Su, Z.; Guo, S.; Cui, F. Mode-Mismatching Enhanced Disbond Detection Using Material Nonlinearity in Guided Waves at Low Frequency. J. Sound Vib. 2021, 490, 115733. [Google Scholar] [CrossRef]
- Asokkumar, A.; Jasiūnienė, E.; Raišutis, R.; Kažys, R.J. Comparison of Ultrasonic Non-Contact Air-Coupled Techniques for Characterization of Impact-Type Defects in Pultruded Gfrp Composites. Materials 2021, 14, 1058. [Google Scholar] [CrossRef]
- Liu, J.; Jun, Y.; Li, D.; Cui, X.; Zhou, J. Combined Two-Level Guided Wave Structural Health Monitoring Strategy Using Multifeature Integration and Machine Learning: Application to Early-Age Grouted Sleeves. Smart Mater. Struct. 2023, 32, 095026. [Google Scholar] [CrossRef]
- Motulsky, H.J.; Lennart, A.R. Fitting Curves to Data Using Nonlinear Regression: A Practical and Nonmathematical Review. FASEB J. 1987, 1, 365–374. [Google Scholar] [CrossRef] [PubMed]














| Specimens | ||||
|---|---|---|---|---|
| S2 | 0.97042 | 0.69347 | 0.25813 | 1.18431 |
| S3 | 0.97996 | 0.63097 | 0.23621 | 1.03675 |
| S4 | 0.97254 | 0.67169 | 0.25296 | 1.28564 |
| S5 | 0.83359 | 2.12618 | 0.74694 | 9.94756 |
| S6 | 0.96443 | 1.24339 | 0.42064 | 3.52888 |
| S7 | 0.86297 | 0.48607 | 0.26865 | 0.70411 |
Disclaimer/Publisher’s Note: The statements, opinions and data contained in all publications are solely those of the individual author(s) and contributor(s) and not of MDPI and/or the editor(s). MDPI and/or the editor(s) disclaim responsibility for any injury to people or property resulting from any ideas, methods, instructions or products referred to in the content. |
© 2024 by the authors. Licensee MDPI, Basel, Switzerland. This article is an open access article distributed under the terms and conditions of the Creative Commons Attribution (CC BY) license (https://creativecommons.org/licenses/by/4.0/).
Share and Cite
Liu, J.; Zheng, F.; Shen, W.; Li, D. Monitoring Fatigue Damage of Orthotropic Steel Decks Using Nonlinear Ultrasonic Waves. Materials 2024, 17, 2792. https://doi.org/10.3390/ma17122792
Liu J, Zheng F, Shen W, Li D. Monitoring Fatigue Damage of Orthotropic Steel Decks Using Nonlinear Ultrasonic Waves. Materials. 2024; 17(12):2792. https://doi.org/10.3390/ma17122792
Chicago/Turabian StyleLiu, Jiahe, Fangtong Zheng, Wei Shen, and Dongsheng Li. 2024. "Monitoring Fatigue Damage of Orthotropic Steel Decks Using Nonlinear Ultrasonic Waves" Materials 17, no. 12: 2792. https://doi.org/10.3390/ma17122792
APA StyleLiu, J., Zheng, F., Shen, W., & Li, D. (2024). Monitoring Fatigue Damage of Orthotropic Steel Decks Using Nonlinear Ultrasonic Waves. Materials, 17(12), 2792. https://doi.org/10.3390/ma17122792

