Accelerated Carbonation of Vibro-Compacted Porous Concrete for Eco-Friendly Precast Elements
Abstract
1. Introduction
2. Materials and Methods
2.1. Materials
2.2. Mix Design
2.3. Hardening Environments
- -
- Normal climatic chamber (NCC): temperature of 21 ± 2 °C and relative humidity of 65 ± 10%. The concentration of CO2 was 0.04% (approximately atmospheric conditions).
- -
- Accelerated carbonation chamber (ACC): same temperature and relative humidity as that for NCC. Only the concentration of CO2 was different: 5% CO2.
2.4. Test Methods
2.4.1. X-ray Diffraction (XRD) Pattern
2.4.2. X-ray Fluorescence Spectrometry (XRF) Analysis
2.4.3. Thermogravimetric Analysis and Differential Thermal Analysis (TGA-DTA)
2.4.4. Carbonation Depth
2.4.5. Compressive Strength of Hardened Specimens
2.4.6. Physical Characterisation of Hardened Samples
3. Results and Discussion
3.1. Characterisation of Raw Materials
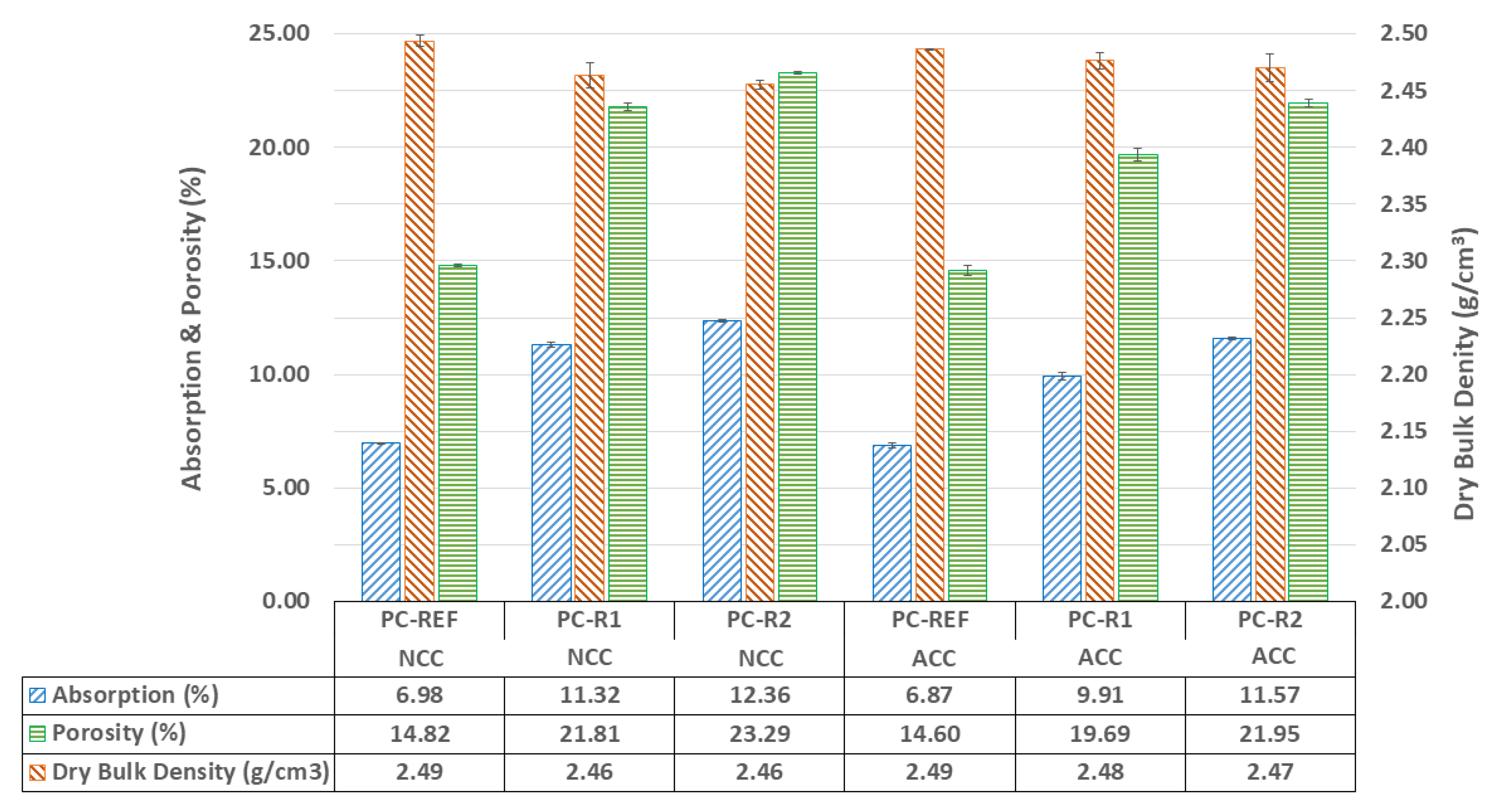
3.2. Dry Bulk Density, Water Absorption and Accessible Porosity for Water
3.3. Compressive Strength
3.4. XRD of Hardened Mixtures
3.5. Depth of Carbonation
3.6. TGA/DTA of Hardened Mixtures
- (i)
- From room temperature to 105 °C. In this phase, the loss of physically absorbed water was observed, i.e., moisture was lost. The mixtures PC-R1 and PC-R2 showed a higher moisture content related to the higher water absorption presented by R1 and R2, observable on practically all the curing days, since the DTA peak is higher than for the reference simples [20,47].
- (ii)
- In the second stage, from 105 °C to 400 °C, dehydration of the calcium silicates and aluminates took place, also according to the analyses carried out on the raw materials previously used [53].
- (iii)
- In the third stage, from about 400 to 480 °C, the decomposition of portlandite occurred, which was identified by an endothermic peak at around 410–420 °C. For the case of the reference mixture, a peak was found for all curing times in the normal climatic environment. However, for this same mixture in the CO2 curing environment the portlandite disappeared for all the curing times studied. This indicates that the carbonation is complete as indicated by XRD. This is also in accordance with the observed improvements in compressive strength (see Figure 5). For the mixtures PC-R1 and PC-R2, cured in the NCC environment, portlandite was also observed for all curing times studied. However, for these same mixtures cured in the ACC, the portlandite practically disappears for the curing times analysed. The difference that exists to be able to observe the peak of the portlandite at the minimum curing age studied (7 days) is due to the amount of this compound in the mixture [81].
- (iv)
- The fourth stage, ranging from 480 to 640 °C, comprised the section where weight loss occurred due to the initial decomposition of carbonates formed during the hardening process [82].
- (v)
- Finally, in the fifth and last stage from 640 to 1000 °C, decomposition of calcium carbonate occurred [83].
4. Conclusions
- The substitution of recycled concrete aggregate (R1) presented a very significant CO2 sequestration advantage.
- Accelerated carbonation reduced the curing time (setting of the mixture in less curing time), reduced water accessible porosity, and increased the dry bulk density compressive strength mean values, especially during early stages of curing (1–14 days).
- In vibro-compacted concrete samples subjected to accelerated carbonation, a decrease or disappearance of the portlandite phase and an increase in calcium carbonate was observed using TGA/DTA and XRD techniques, with the consequent sequestration of CO2.
- The amount of CO2 sequestration at 28 days for the PC-REF (natural aggregates), PC-R1 (recycled concrete aggregates) and PC-R2 (mixed recycled aggregates) mixtures was approximately 12.36 kg/t, 52.52 kg/t and 5.5 kg/t, respectively, representing an increase of 123%, 525%, and 55% over the curing under an atmospheric environment.
Author Contributions
Funding
Institutional Review Board Statement
Informed Consent Statement
Data Availability Statement
Acknowledgments
Conflicts of Interest
References
- Xi, C.; Cao, S.J. Challenges and Future Development Paths of Low Carbon Building Design: A Review. Buildings 2022, 12, 163. [Google Scholar] [CrossRef]
- Kisku, N.; Joshi, H.; Ansari, M.; Panda, S.K.; Nayak, S.; Dutta, S.C. A Critical Review and Assessment for Usage of Recycled Aggregate as Sustainable Construction Material. Constr. Build. Mater. 2017, 131, 721–740. [Google Scholar] [CrossRef]
- Ibn-Mohammed, T.; Greenough, R.; Taylor, S.; Ozawa-Meida, L.; Acquaye, A. Operational vs. Embodied Emissions in Buildings—A Review of Current Trends. Energy Build 2013, 66, 232–245. [Google Scholar] [CrossRef]
- Li, L. Integrating Climate Change Impact in New Building Design Process: A Review of Building Life Cycle Carbon Emission Assessment Methodologies. Clean. Eng. Technol. 2021, 5, 100286. [Google Scholar] [CrossRef]
- Grynning, S.; Gradeci, K.; Gaarder, J.E.; Time, B.; Lohne, J.; Kvande, T. Climate Adaptation in Maintenance Operation and Management of Buildings. Buildings 2020, 10, 107. [Google Scholar] [CrossRef]
- Xue, Q.; Wang, Z.; Chen, Q. Multi-Objective Optimization of Building Design for Life Cycle Cost and CO2 Emissions: A Case Study of a Low-Energy Residential Building in a Severe Cold Climate. Build. Simul. 2022, 15, 83–98. [Google Scholar] [CrossRef]
- Gan, V.J.L.; Cheng, J.C.P.; Lo, I.M.C.; Chan, C.M. Developing a CO2-e Accounting Method for Quantification and Analysis of Embodied Carbon in High-Rise Buildings. J. Clean. Prod. 2017, 141, 825–836. [Google Scholar] [CrossRef]
- Shi, J.; Tan, J.; Liu, B.; Chen, J.; Dai, J.; He, Z. Experimental Study on Full-Volume Slag Alkali-Activated Mortars: Air-Cooled Blast Furnace Slag versus Machine-Made Sand as Fine Aggregates. J. Hazard Mater 2021, 403, 123983. [Google Scholar] [CrossRef]
- Wilberforce, T.; Baroutaji, A.; Soudan, B.; Al-Alami, A.H.; Olabi, A.G. Outlook of Carbon Capture Technology and Challenges. Sci. Total Environ. 2019, 657, 56–72. [Google Scholar] [CrossRef]
- Liu, B.; Qin, J.; Shi, J.; Jiang, J.; Wu, X.; He, Z. New Perspectives on Utilization of CO2 Sequestration Technologies in Cement-Based Materials. Constr. Build. Mater 2021, 272, 121660. [Google Scholar] [CrossRef]
- Higuchi, T.; Morioka, M.; Yoshioka, I.; Yokozeki, K. Development of a New Ecological Concrete with CO2 Emissions below Zero. Constr. Build. Mater 2014, 67, 338–343. [Google Scholar] [CrossRef]
- Turner, L.K.; Collins, F.G. Carbon Dioxide Equivalent (CO2-e) Emissions: A Comparison between Geopolymer and OPC Cement Concrete. Constr. Build. Mater 2013, 43, 125–130. [Google Scholar] [CrossRef]
- Kaliyavaradhan, S.K.; Ling, T.C. Potential of CO2 Sequestration through Construction and Demolition (C&D) Waste—An Overview. J. CO2 Util. 2017, 20, 234–242. [Google Scholar] [CrossRef]
- Valdez-Tamez, P.L.; Durán-Herrera, A.; Miguel, F.-S.; Juárez-Alvarado, C.A. Influencia de La Carbonatación En Morteros de Cemento Pórtland y Ceniza Volante. Ing. Investig. Y Tecnol. 2009, 10, 39–49. [Google Scholar]
- Eperjesi, L.N. El Hormigón Como Fuente de Captación Del Dióxido de Carbono Atmosférico. In Proceedings of the III Jornadas de Investigación, Transferencia y Extensión de la Facultad de Ingenieria, La Plata, Argentina, 20–22 April 2015. [Google Scholar]
- Liang, C.; Pan, B.; Ma, Z.; He, Z.; Duan, Z. Utilization of CO2 Curing to Enhance the Properties of Recycled Aggregate and Prepared Concrete: A Review. Cem. Concr. Compos. 2020, 105, 103446. [Google Scholar] [CrossRef]
- Pacheco-Torgar, F. Introduction to Carbon Dioxide Sequestration–Based Cementitious Construction Materials. Carbon Dioxide Sequestration Cem. Constr. Mater. 2018, 3–12. [Google Scholar] [CrossRef]
- Shi, C.; Li, Y.; Zhang, J.; Li, W.; Chong, L.; Xie, Z. Performance Enhancement of Recycled Concrete Aggregate—A Review. J. Clean. Prod. 2016, 112, 466–472. [Google Scholar] [CrossRef]
- Carballo, L.Q.; del Rosario Perez Perez, M.; Fernández, D.C.; Amores, A.C.; Rodríguez, J.M.F. Optimum Particle Size of Treated Calcites for CO2 Capture in a Power Plant. Materials 2019, 12, 1284. [Google Scholar] [CrossRef]
- Suescum-Morales, D.; Kalinowska-Wichrowska, K.; Fernández, J.M.; Jiménez, J.R. Accelerated Carbonation of Fresh Cement-Based Products Containing Recycled Masonry Aggregates for CO2 Sequestration. J. CO2 Util. 2021, 46, 101461. [Google Scholar] [CrossRef]
- Kashef-Haghighi, S.; Shao, Y.; Ghoshal, S. Mathematical Modeling of CO2 Uptake by Concrete during Accelerated Carbonation Curing. Cem. Concr. Res. 2015, 67, 1–10. [Google Scholar] [CrossRef]
- Rostami, V.; Shao, Y.; Boyd, A.J. Carbonation Curing versus Steam Curing for Precast Concrete Production. J. Mater. Civ. Eng. 2012, 24, 1221–1229. [Google Scholar] [CrossRef]
- Hu, L.; Jia, Y.; Chen, Z.; Yao, Y.; Sun, J.; Xie, Q.; Yang, H. An Insight of Carbonation-Hydration Kinetics and Microstructure Characterization of Cement Paste under Accelerated Carbonation at Early Age. Cem. Concr. Compos. 2022, 134, 104763. [Google Scholar] [CrossRef]
- Tam, V.W.Y.; Butera, A.; Le, K.N.; Li, W. Utilising CO2 Technologies for Recycled Aggregate Concrete: A Critical Review. Constr. Build. Mater 2020, 250, 118903. [Google Scholar] [CrossRef]
- Scrivener, K.L.; John, V.M.; Gartner, E.M. Eco-Efficient Cements. Potential, Economically Viable Solutions for a Low-CO2, Cementbased Materials Industry; United Nations Environment Program: Paris, France, 2016. [Google Scholar]
- Zhang, D.; Ghouleh, Z.; Shao, Y. Review on Carbonation Curing of Cement-Based Materials. J. CO2 Util. 2017, 21, 119–131. [Google Scholar] [CrossRef]
- Jang, J.G.; Kim, G.M.; Kim, H.J.; Lee, H.K. Review on Recent Advances in CO2 Utilization and Sequestration Technologies in Cement-Based Materials. Constr. Build. Mater 2016, 127, 762–773. [Google Scholar] [CrossRef]
- Li, X.; Ling, T.C. Instant CO2 Curing for Dry-Mix Pressed Cement Pastes: Consideration of CO2 Concentrations Coupled with Further Water Curing. J. CO2 Util. 2020, 38, 348–354. [Google Scholar] [CrossRef]
- dos Reis, G.S.; Quattrone, M.; Ambrós, W.M.; Cazacliu, B.G.; Sampaio, C.H. Current Applications of Recycled Aggregates from Construction and Demolition: A Review. Materials 2021, 14, 1700. [Google Scholar] [CrossRef]
- López-Uceda, A.; Fernández-Ledesma, E.; Salas-Morera, L.; Jiménez, J.R.; Suescum-Morales, D. Effect of the Composition of Mixed Recycled Aggregates on Physical–Mechanical Properties. Crystals 2021, 11, 1518. [Google Scholar] [CrossRef]
- Arafa, M.; Tayeh, B.A.; Alqedra, M.; Shihada, S.; Hanoona, H. Investigating the Effect of Sulfate Attack on Compressive Strength of Recycled Aggregate Concrete. J. Eng. Res. Technol. 2017, 8, 66–77. [Google Scholar]
- Suescum-Morales, D.; Salas-Morera, L.; Jiménez, J.R.; García-Hernández, L. A Novel Artificial Neural Network to Predict Compressive Strength of Recycled Aggregate Concrete. Appl. Sci. 2021, 11, 11077. [Google Scholar] [CrossRef]
- Tam, V.W.Y.; Soomro, M.; Evangelista, A.C.J. A Review of Recycled Aggregate in Concrete Applications (2000–2017). Constr. Build. Mater. 2018, 172, 272–292. [Google Scholar] [CrossRef]
- Jiménez, J.R.; Ayuso, J.; López, M.; Fernández, J.M.; de Brito, J. Use of Fine Recycled Aggregates from Ceramic Waste in Masonry Mortar Manufacturing. Constr. Build. Mater. 2013, 40, 679–690. [Google Scholar] [CrossRef]
- Ledesma, E.F.; Jiménez, J.R.; Ayuso, J.; Fernández, J.M.; de Brito, J. Maximum Feasible Use of Recycled Sand from Construction and Demolition Waste for Eco-Mortar Production—Part-I: Ceramic Masonry Waste. J. Clean. Prod. 2015, 87, 692–706. [Google Scholar] [CrossRef]
- Suescum-Morales, D.; Fernández-Rodríguez, J.M.; Jiménez, J.R. Use of Carbonated Water to Improve the Mechanical Properties and Reduce the Carbon Footprint of Cement-Based Materials with Recycled Aggregates. J. CO2 Util. 2022, 57, 101886. [Google Scholar] [CrossRef]
- Li, Y.; Fu, T.; Wang, R.; Li, Y. An Assessment of Microcracks in the Interfacial Transition Zone of Recycled Concrete Aggregates Cured by CO2. Constr. Build. Mater. 2020, 236, 117543. [Google Scholar] [CrossRef]
- Zhan, B.; Poon, C.S.; Liu, Q.; Kou, S.; Shi, C. Experimental Study on CO2 Curing for Enhancement of Recycled Aggregate Properties. Constr. Build. Mater 2014, 67, 3–7. [Google Scholar] [CrossRef]
- Kou, S.C.; Zhan, B.J.; Poon, C.S. Use of a CO2 Curing Step to Improve the Properties of Concrete Prepared with Recycled Aggregates. Cem. Concr. Compos. 2014, 45, 22–28. [Google Scholar] [CrossRef]
- Shi, C.; He, F.; Wu, Y. Effect of Pre-Conditioning on CO2 Curing of Lightweight Concrete Blocks Mixtures. Constr. Build. Mater 2012, 26, 257–267. [Google Scholar] [CrossRef]
- Zhan, B.J.; Poon, C.S.; Shi, C.J. Materials Characteristics Affecting CO2 Curing of Concrete Blocks Containing Recycled Aggregates. Cem. Concr. Compos. 2016, 67, 50–59. [Google Scholar] [CrossRef]
- Zhang, J.; Shi, C.; Li, Y.; Pan, X.; Poon, C.-S.; Xie, Z. Performance Enhancement of Recycled Concrete Aggregates through Carbonation. J. Mater. Civ. Eng. 2015, 27, 4015029. [Google Scholar] [CrossRef]
- Sáez del Bosque, I.F.; van den Heede, P.; de Belie, N.; Sánchez de Rojas, M.I.; Medina, C. Carbonation of Concrete with Construction and Demolition Waste Based Recycled Aggregates and Cement with Recycled Content. Constr. Build. Mater 2020, 234, 117336. [Google Scholar] [CrossRef]
- UNE-EN-197-1; Part 1: Composition, Specifications and Conformity Criteria for Common Cements. European Committee For Standardisation: London, UK, 2011.
- UNE-EN 1097-6; Tests for Mechanical and Physical Properties of Aggregates—Part 6: Determination of Particle Density and Water Absorption. European Committee For Standardisation: London, UK, 2014.
- Hu, X.; Shi, C.; Zhu, D.; de Schutter, G. Investigation on Influential Factors on Chloride Concentration Index of Cement-Based Materials by Pore Solution Expression Method. Constr. Build. Mater. 2020, 231, 117135. [Google Scholar] [CrossRef]
- Zhang, J.; Scherer, G.W. Comparison of Methods for Arresting Hydration of Cement. Cem. Concr. Res. 2011, 41, 1024–1036. [Google Scholar] [CrossRef]
- UNE-EN 14630; Products and Systems for the Protection and Repair of Concrete Structures—Test Methods—Determination of Carbonation Depth in Hardened Concrete by the Phenolphthalein Method. European Committee For Standardisation: London, UK, 2007.
- UNE-EN 12390-3; Testing Hardened Concrete—Part 3: Compressive Strength of Test Specimens. European Committee For Standardisation: London, UK, 2020.
- UNE 83980; Concrete Durability. Test Methods. Determination of the Water Absorption, Density and Accessible Porosity for Water in Concrete. European Committee For Standardisation: London, UK, 2014.
- UNE-EN 933-1; Tests for Geometrical Properties of Aggregates—Part 1: Determination of Particle Size Distribution—Sieving Method. European Committee For Standardisation: London, UK, 2012.
- Lozano-Lunar, A.; Dubchenko, I.; Bashynskyi, S.; Rodero, A.; Fernández, J.M.; Jiménez, J.R. Performance of Self-Compacting Mortars with Granite Sludge as Aggregate. Constr. Build. Mater. 2020, 251, 118998. [Google Scholar] [CrossRef]
- Esquinas, A.R.; Ramos, C.; Jiménez, J.R.; Fernández, J.M.; de Brito, J. Mechanical Behaviour of Self-Compacting Concrete Made with Recovery Filler from Hot-Mix Asphalt Plants. Constr. Build. Mater. 2017, 131, 114–128. [Google Scholar] [CrossRef]
- Reig, L.; Tashima, M.M.; Borrachero, M.V.; Monzó, J.; Cheeseman, C.R.; Payá, J. Properties and Microstructure of Alkali-Activated Red Clay Brick Waste. Constr. Build. Mater 2013, 43, 98–106. [Google Scholar] [CrossRef]
- JCPDS. Joint Committee on Power Diffraction Standard-International Centre for Diffraction; JCPDS: Newtown Square, PA, USA, 2003. [Google Scholar]
- Saiz Martínez, P.; González Cortina, M.; Fernández Martínez, F.; Rodríguez Sánchez, A. Comparative Study of Three Types of Fine Recycled Aggregates from Construction and Demolition Waste (CDW), and Their Use in Masonry Mortar Fabrication. J. Clean. Prod. 2016, 118, 162–169. [Google Scholar] [CrossRef]
- Roncero, J.; Valls, S.; Gettu, R. Study of the Influence of Superplasticizers on the Hydration of Cement Paste Using Nuclear Magnetic Resonance and X-Ray Diffraction Techniques. Cem. Concr. Res. 2002, 32, 103–108. [Google Scholar] [CrossRef]
- Tang, S.W.; Cai, X.H.; He, Z.; Shao, H.Y.; Li, Z.J.; Chen, E. Hydration Process of Fly Ash Blended Cement Pastes by Impedance Measurement. Constr. Build. Mater. 2016, 113, 939–950. [Google Scholar] [CrossRef]
- Rada, E.; Ragazzi, M.; Katsoyiannis, I.; Viotti, P.; Al-Kayiem, H.H.; Schiavon, M.; Ionescu, G.; Sliusar, N.; Bumanis, G.; Zorica, J.; et al. Processing of Gypsum Construction and Demolition Waste and Properties of Secondary Gypsum Binder. Recycling 2022, 7, 30. [Google Scholar] [CrossRef]
- Lippiatt, N.; Ling, T.C.; Eggermont, S. Combining Hydration and Carbonation of Cement Using Super-Saturated Aqueous CO2 Solution. Constr. Build. Mater 2019, 229, 116825. [Google Scholar] [CrossRef]
- Alhawat, M.; Ashour, A.; Yildirim, G.; Aldemir, A.; Sahmaran, M. Properties of Geopolymers Sourced from Construction and Demolition Waste: A Review. J. Build. Eng. 2022, 50, 104104. [Google Scholar] [CrossRef]
- Dixon, D.E.; Prestrera, J.R.; Burg, G.R.U.; Chairman, S.A.; Abdun-Nur, E.A.; Barton, S.G.; Bell, L.W.; Blas, S.J., Jr.; Carrasquillo, R.L.; Carrasquillo, P.M.; et al. Standard Practice for Selecting Proportions for Normal, Heavyweight, and Mass Concrete (ACI 211.1-91); ACI: Farmington Hills, MI, USA, 1991. [Google Scholar]
- Reddy, M.S.; Dinakar, P.; Rao, B.H. Mix Design Development of Fly Ash and Ground Granulated Blast Furnace Slag Based Geopolymer Concrete. J. Build. Eng. 2018, 20, 712–722. [Google Scholar] [CrossRef]
- Ng, T.S.; Foster, S.J. Development of a Mix Design Methodology for High-Performance Geopolymer Mortars. Struct. Concr. 2013, 14, 148–156. [Google Scholar] [CrossRef]
- Bondar, D.; Nanukuttan, S.; Provis, J.L.; Soutsos, M. Efficient Mix Design of Alkali Activated Slag Concretes Based on Packing Fraction of Ingredients and Paste Thickness. J. Clean. Prod. 2019, 218, 438–449. [Google Scholar] [CrossRef]
- Junaid, M.T.; Kayali, O.; Khennane, A.; Black, J. A Mix Design Procedure for Low Calcium Alkali Activated Fly Ash-Based Concretes. Constr. Build. Mater. 2015, 79, 301–310. [Google Scholar] [CrossRef]
- de Oliveira Andrade, J.J.; Possan, E.; Squiavon, J.Z.; Ortolan, T.L.P. Evaluation of Mechanical Properties and Carbonation of Mortars Produced with Construction and Demolition Waste. Constr. Build. Mater. 2018, 161, 70–83. [Google Scholar] [CrossRef]
- Mazurana, L.; Bittencourt, P.R.S.; Scremin, F.R.; Neves Junior, A.; Possan, E. Determination of CO2 Capture in Rendering Mortars Produced with Recycled Construction and Demolition Waste by Thermogravimetry. J. Therm. Anal. Calorim. 2022, 147, 1071–1080. [Google Scholar] [CrossRef]
- Ferreira, R.L.S.; Anjos, M.A.S.; Nóbrega, A.K.C.; Pereira, J.E.S.; Ledesma, E.F. The Role of Powder Content of the Recycled Aggregates of CDW in the Behaviour of Rendering Mortars. Constr. Build. Mater. 2019, 208, 601–612. [Google Scholar] [CrossRef]
- Rubio De Hita, P.; Pérez-Gálvez, F.; Morales-Conde, M.J.; Pedreño-Rojas, M.A. Characterisation of Recycled Ceramic Mortars for Use in Prefabricated Beam-Filling Pieces in Structural Floors. Mater. Constr. 2019, 69, e189. [Google Scholar] [CrossRef]
- Silva, J.; de Brito, J.; Veiga, R. Recycled Red-Clay Ceramic Construction and Demolition Waste for Mortars Production. J. Mater. Civ. Eng. 2010, 22, 236–244. [Google Scholar] [CrossRef]
- Kalinowska-Wichrowska, K.; Suescum-Morales, D. The Experimental Study of the Utilization of Recycling Aggregate from the Demolition of Elements of a Reinforced Concrete Hall. Sustainability 2020, 12, 5182. [Google Scholar] [CrossRef]
- Hamada, H.; Alattar, A.; Tayeh, B.; Yahaya, F.; Almeshal, I. Influence of Different Curing Methods on the Compressive Strength of Ultra-High-Performance Concrete: A Comprehensive Review. Case Stud. Constr. Mater. 2022, 17, e01390. [Google Scholar] [CrossRef]
- Ashraf, W. Carbonation of Cement-Based Materials: Challenges and Opportunities. Constr. Build. Mater. 2016, 120, 558–570. [Google Scholar] [CrossRef]
- Fernández Bertos, M.; Simons, S.J.R.; Hills, C.D.; Carey, P.J. A Review of Accelerated Carbonation Technology in the Treatment of Cement-Based Materials and Sequestration of CO2. J. Hazard. Mater. 2004, 112, 193–205. [Google Scholar] [CrossRef]
- Šavija, B.; Luković, M. Carbonation of Cement Paste: Understanding, Challenges, and Opportunities. Constr. Build. Mater. 2016, 117, 285–301. [Google Scholar] [CrossRef]
- Chen, T.; Gao, X. Effect of Carbonation Curing Regime on Strength and Microstructure of Portland Cement Paste. J. CO2 Util. 2019, 34, 74–86. [Google Scholar] [CrossRef]
- He, P.; Shi, C.; Tu, Z.; Poon, C.S.; Zhang, J. Effect of Further Water Curing on Compressive Strength and Microstructure of CO2-Cured Concrete. Cem. Concr. Compos. 2016, 72, 80–88. [Google Scholar] [CrossRef]
- Monkman, S.; Shao, Y. Carbonation Curing of Slag-Cement Concrete for Binding CO2 and Improving Performance. J. Mater. Civ. Eng. 2010, 22, 296. [Google Scholar] [CrossRef]
- Li, N.; Shi, C.; Zhang, Z.; Wang, H.; Liu, Y. A Review on Mixture Design Methods for Geopolymer Concrete. Compos. B Eng. 2019, 178, 107490. [Google Scholar] [CrossRef]
- Esquinas, A.R.; Ledesma, E.F.; Otero, R.; Jiménez, J.R.; Fernández, J.M. Mechanical Behaviour of Self-Compacting Concrete Made with Non-Conforming Fly Ash from Coal-Fired Power Plants. Constr. Build. Mater. 2018, 182, 385–398. [Google Scholar] [CrossRef]
- Ye, G.; Liu, X.; de Schutter, G.; Poppe, A.M.; Taerwe, L. Influence of Limestone Powder Used as Filler in SCC on Hydration and Microstructure of Cement Pastes. Cem. Concr. Compos. 2007, 29, 94–102. [Google Scholar] [CrossRef]
- Ashraf, W.; Olek, J. Elucidating the Accelerated Carbonation Products of Calcium Silicates Using Multi-Technique Approach. J. CO2 Util. 2018, 23, 61–74. [Google Scholar] [CrossRef]








| Material | Dry Particle Density (g/cm3) | Water Absorption (%) |
|---|---|---|
| Natural aggregate (NA-0/3) | 2.62 | 1.78 |
| Natural gravel (GN-5/7) | 2.43 | 2.64 |
| Natural gravel (GN-4/12.5) | 2.47 | 3.14 |
| Recycled aggregate (R1) | 2.21 | 7.43 |
| Recycled aggregate (R2) | 2.17 | 9.03 |
| Materials | PC-REF (kg/m3) | PC-R1 (kg/m3) | PC-R2 (kg/m3) |
|---|---|---|---|
| CEM | 240.00 | 240.00 | 240.00 |
| GN-4/12.5 | 800.00 | - | - |
| NA-0/3 | 500.00 | 500.00 | 500.00 |
| GN-5/7 | 900.00 | - | - |
| R1 | - | 1535.74 | - |
| R2 | - | - | 1504.69 |
| Absorption water * | 57.74 | 122.96 | 143.59 |
| Effective water | 96.00 | 96.00 | 96.00 |
| Total water | 153.74 | 218.96 | 239.59 |
| w/c ** | 0.4 | 0.4 | 0.4 |
| BASF GLENIUM 3030 NSS | 0.60 | 0.60 | 0.60 |
| Oxides | Cement | GN-4/12.5 | NA-0/3 | GN-5/7 | R1 | R2 |
|---|---|---|---|---|---|---|
| Na2O | 0.24 | - | - | - | 0.81 | 0.82 |
| MgO | 1.32 | 0.89 | 0.64 | 0.96 | 2.77 | 3.15 |
| Al2O3 | 3.73 | 0.20 | 0.78 | 0.73 | 7.77 | 10.79 |
| SiO2 | 15.58 | 0.39 | 1.76 | 2.13 | 51.41 | 52.15 |
| P2O5 | 0.10 | - | - | - | 0.11 | 0.12 |
| SO3 | 4.80 | 0.07 | 0.09 | 0.11 | 1.13 | 1.37 |
| Cl2O3 | 0.18 | - | - | 0.05 | 0.06 | 0.12 |
| K2O | 1.21 | 0.04 | 0.15 | 0.09 | 1.79 | 2.43 |
| CaO | 70.02 | 98.32 | 92.09 | 95.76 | 30.62 | 24.55 |
| TiO2 | 0.22 | - | - | - | 0.43 | 0.55 |
| MnO2 | 0.06 | - | - | - | 0.09 | 0.09 |
| Fe2O3 | 2.45 | 0.09 | 4.50 | 0.18 | 2.75 | 3.67 |
| CuO | - | - | - | - | - | - |
| ZnO | 0.03 | - | - | - | - | - |
| SrO | 0.08 | - | - | - | 0.03 | 0.04 |
| Rb2O | - | - | - | - | - | - |
| Cr2O3 | - | - | - | - | 0.21 | 0.15 |
| Mixtures | ΔMass (%) | H2O Cement | Portlandite | CaCO3 | CO2 Seq | CO2 Seq | |||
|---|---|---|---|---|---|---|---|---|---|
| 105–400 °C | 400–480 °C | 480–640 °C | 640–1000 °C | (%) | (%) | (%) | (%) | (g/t) | |
| PC-REF/7DAYS/NCC | −1.2752 | −1.7077 | −2.3130 | −40.5267 | 1.2752 | 0.4325 | 38.8190 | 0.1592 | 1592.4310 |
| PC-REF/7DAYS/ACC | −0.8015 | −1.0649 | −2.2948 | −40.0432 | 0.8015 | 0.2635 | 38.9782 | ||
| PC-R1/7DAYS/NCC | −3.1483 | −3.9885 | −5.1963 | −18.3624 | 3.1483 | 0.8402 | 14.3739 | 4.0476 | 40,476.3909 |
| PC-R1/7DAYS/ACC | −2.8449 | −3.4805 | −5.8313 | −21.9021 | 2.8449 | 0.6356 | 18.4216 | ||
| PC-R2/7DAYS/NCC | −2.3160 | −2.7638 | −3.5338 | −20.2394 | 2.3160 | 0.4478 | 17.4757 | 0.2415 | 2415.0101 |
| PC-R2/7DAYS/ACC | −2.1509 | −2.6213 | −4.4900 | −20.3385 | 2.1509 | 0.4704 | 17.7172 | ||
| PC-REF/14DAYS/NCC | −1.3326 | −1.8820 | −2.6694 | −39.6945 | 1.3326 | 0.5494 | 37.8125 | 1.2012 | 12,012.1098 |
| PC-REF/14DAYS/ACC | −0.9163 | −1.1992 | −2.4841 | −40.2129 | 0.9163 | 0.2829 | 39.0137 | ||
| PC-R1/14DAYS/NCC | −3.1467 | −3.8229 | −5.2193 | −23.6197 | 3.1467 | 0.6763 | 19.7968 | 4.1610 | 41,610.4493 |
| PC-R1/14DAYS/ACC | −2.6401 | −3.2689 | −5.7487 | −27.2267 | 2.6401 | 0.6288 | 23.9578 | ||
| PC-R2/14DAYS/NCC | −2.6237 | −3.1832 | −4.3868 | −18.7149 | 2.6237 | 0.5595 | 15.5316 | 0.3791 | 3791.0311 |
| PC-R2/14DAYS/ACC | −1.8525 | −2.3550 | −4.3778 | −18.2658 | 1.8525 | 0.5025 | 15.9107 | ||
| PC-REF/28DAYS/NCC | −0.8775 | −1.2202 | −2.0380 | −39.5306 | 0.8775 | 0.3427 | 38.3103 | 1.2369 | 12,368.6202 |
| PC-REF/28DAYS/ACC | −0.6853 | −0.9253 | −2.0187 | −40.4725 | 0.6853 | 0.2400 | 39.5472 | ||
| PC-R1/28DAYS/NCC | −2.9087 | −3.4849 | −4.9369 | −23.0493 | 2.9087 | 0.5761 | 19.5644 | 5.2526 | 52,526.2249 |
| PC-R1/28DAYS/ACC | −2.4322 | −3.1562 | −6.0719 | −27.9732 | 2.4322 | 0.7240 | 24.8170 | ||
| PC-R2/28DAYS/NCC | −2.5870 | −3.0668 | −4.3516 | −17.0063 | 2.5870 | 0.4798 | 13.9395 | 0.5509 | 5508.6438 |
| PC-R2/28DAYS/ACC | −1.7986 | −2.3600 | −4.5540 | −16.8504 | 1.7986 | 0.5614 | 14.4904 | ||
Disclaimer/Publisher’s Note: The statements, opinions and data contained in all publications are solely those of the individual author(s) and contributor(s) and not of MDPI and/or the editor(s). MDPI and/or the editor(s) disclaim responsibility for any injury to people or property resulting from any ideas, methods, instructions or products referred to in the content. |
© 2023 by the authors. Licensee MDPI, Basel, Switzerland. This article is an open access article distributed under the terms and conditions of the Creative Commons Attribution (CC BY) license (https://creativecommons.org/licenses/by/4.0/).
Share and Cite
Merino-Lechuga, A.M.; González-Caro, Á.; Fernández-Ledesma, E.; Jiménez, J.R.; Fernández-Rodríguez, J.M.; Suescum-Morales, D. Accelerated Carbonation of Vibro-Compacted Porous Concrete for Eco-Friendly Precast Elements. Materials 2023, 16, 2995. https://doi.org/10.3390/ma16082995
Merino-Lechuga AM, González-Caro Á, Fernández-Ledesma E, Jiménez JR, Fernández-Rodríguez JM, Suescum-Morales D. Accelerated Carbonation of Vibro-Compacted Porous Concrete for Eco-Friendly Precast Elements. Materials. 2023; 16(8):2995. https://doi.org/10.3390/ma16082995
Chicago/Turabian StyleMerino-Lechuga, Antonio Manuel, Ágata González-Caro, Enrique Fernández-Ledesma, José Ramón Jiménez, José María Fernández-Rodríguez, and David Suescum-Morales. 2023. "Accelerated Carbonation of Vibro-Compacted Porous Concrete for Eco-Friendly Precast Elements" Materials 16, no. 8: 2995. https://doi.org/10.3390/ma16082995
APA StyleMerino-Lechuga, A. M., González-Caro, Á., Fernández-Ledesma, E., Jiménez, J. R., Fernández-Rodríguez, J. M., & Suescum-Morales, D. (2023). Accelerated Carbonation of Vibro-Compacted Porous Concrete for Eco-Friendly Precast Elements. Materials, 16(8), 2995. https://doi.org/10.3390/ma16082995

