Metal Organic Frameworks: Current State and Analysis of Their Use as Modifiers of the Vulcanization Process and Properties of Rubber
Abstract
1. State-of-the Art in the Field of MOFs
- the first group—materials with a system of internal openings filled and supported by guest particles, which is destroyed when they leave,
- the second group—porous materials with a strong skeleton system that persists even after the removal of guest particles,
- the third group—materials with a flexible, pliable skeleton that can change reversibly under the influence of guest particles or in response to external stimuli such as light, temperature, or an electric field. Other names for this group are dynamic porous coordination polymers [4] or breathable materials [5].
1.1. Characteristics of MOFs
1.2. Synthesis of MOFs
1.3. Modification of MOFs: Possibilities and Limitations
1.4. Application of MOFs
Polymers Modified with MOFs
- PS polymerization leading to the creation of homogeneous chains without interactions between them, with a low activation energy and elimination of the glass transition temperature [80];
2. Introduction to Original Own Research
3. Materials
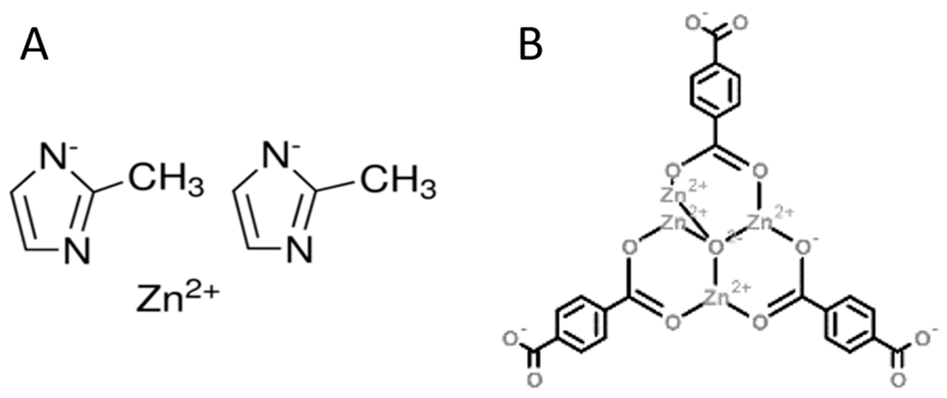
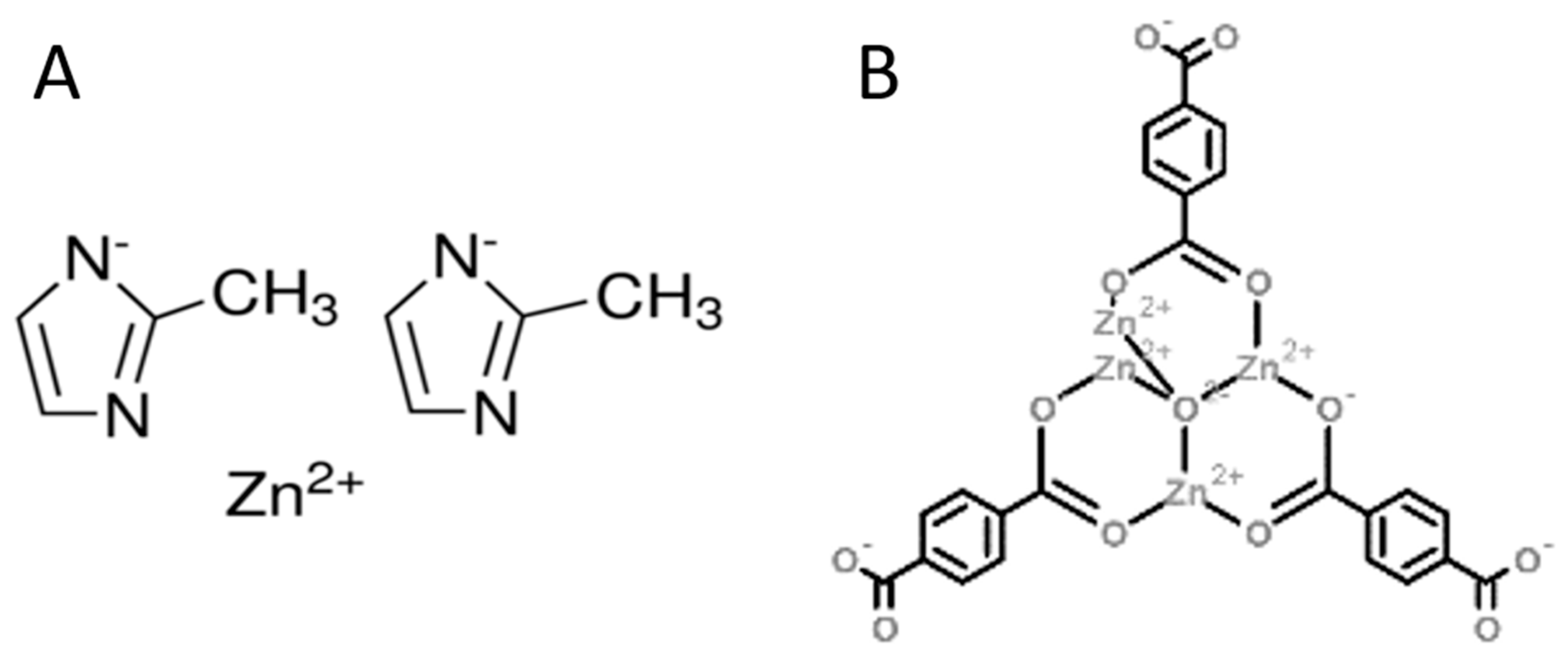
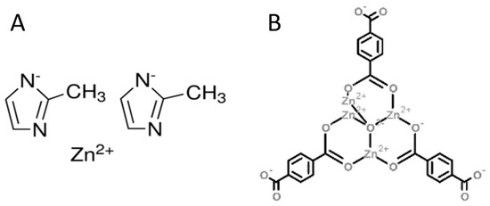
3.1. MOF Structure and Zinc Amount
3.2. Preparation of Rubber Samples
4. Experimental Techniques
4.1. Kinetics of Vulcanization
4.2. XRD of MOF Containing Samples
4.3. ToF-SIMS of MOFs
4.4. Crosslink Density and Structure of the Rubber Vulcanizates
4.5. Thermal Properties of the Rubber Vulcanizates
4.6. Mechanical Properties of the Rubber Vulcanizates
5. Results and Discussion
, were expected to be emitted, if they are formed at all. Unfortunately, neither such ions nor ions containing zinc and other organic ligands with larger masses were observed in the spectra.6. Conclusions
Author Contributions
Funding
Institutional Review Board Statement
Informed Consent Statement
Data Availability Statement
Acknowledgments
Conflicts of Interest
References
- Shibata, Y. CAN 11:5339. J. College Sci. Imp. Univ. Tokyo 1916, 37, 1–17. [Google Scholar]
- Farrusseng, D. (Ed.) Metal–Organic Frameworks: Applications from Catalysis to Gas Storage; John Wiley & Sons: Hoboken, NJ, USA, 2011. [Google Scholar]
- Kitagawa, S.; Kondo, M. Functional Micropore Chemistry of Crystalline Metal Complex-Assembled Compounds. Bull. Chem. Soc. Jpn. 1998, 71, 1739–1753. [Google Scholar] [CrossRef]
- Kitagawa, S.; Kitaura, R.; Noro, S. Functional Porous Coordination Polymers. Angew. Chem. Int. Ed. 2004, 43, 2334–2375. [Google Scholar] [CrossRef]
- Thallapally, P.K.; Tian, J.; Kishan, M.R.; Fernandez, C.A.; Dalgarno, S.J.; McGrail, P.B.; Warren, J.E.; Atwood, J.L. Flexible (Breathing) Interpenetrated Metal−Organic Frameworks for CO2 Separation Applications. J. Am. Chem. Soc. 2008, 130, 16842–16843. [Google Scholar] [CrossRef]
- Yaghi, O.M.; Li, G.; Li, H. Selective binding and removal of guests in a microporous metal–organic framework. Nature 1995, 378, 703–706. [Google Scholar] [CrossRef]
- Furukawa, H.; Ko, N.; Go, Y.B.; Aratani, N.; Choi, S.B.; Choi, E.; Yazaydin, A.Ö.; Snurr, R.Q.; O’Keeffe, M.; Kim, J.; et al. Ultrahigh Porosity in Metal-Organic Frameworks. Science 2010, 329, 424–428. [Google Scholar] [CrossRef] [PubMed]
- Corma, A.; García, H.; Xamena, F.X.L. Engineering Metal Organic Frameworks for Heterogeneous Catalysis. Chem. Rev. 2010, 110, 4606–4655. [Google Scholar] [CrossRef]
- Salles, F.; Ghoufi, A.; Maurin, G.; Bell, R.G.; Mellot-Draznieks, C.; Férey, G. Molecular Dynamics Simulations of Breathing MOFs: Structural Transformations of MIL-53(Cr) upon Thermal Activation and CO2 Adsorption. Angew. Chem. Int. Ed. 2008, 47, 8487–8491. [Google Scholar] [CrossRef] [PubMed]
- Kreno, L.E.; Leong, K.; Farha, O.K.; Allendorf, M.; Van Duyne, R.P.; Hupp, J.T. Metal–Organic Framework Materials as Chemical Sensors. Chem. Rev. 2012, 112, 1105–1125. [Google Scholar] [CrossRef]
- Coudert, F.-X. Thermodynamic Methods for Prediction of Gas Separation in Flexible Frameworks. In Metal–Organic Framework Application from Cataysis to Gas Storage; Farrusseng, D., Ed.; Viley-VCH: Singapore, 2011. [Google Scholar]
- Boronat, M.; Corma, A.; Renz, M.; Viruela, P.M. Predicting the Activity of Single Isolated Lewis Acid Sites in Solid Catalysts. Chem. Eur. J. 2006, 12, 7067–7077. [Google Scholar] [CrossRef]
- Cheetham, A.K.; Rao, C.N.R.; Feller, R.K. Structural diversity and chemical trends in hybrid inorganic–organic framework materials. Chem. Commun. 2006, 46, 4780–4795. [Google Scholar] [CrossRef]
- Noro, S.-I.; Kitagawa, S.; Akutagawa, T.; Nakamura, T. Coordination polymers constructed from transition metal ions and organic N-containing heterocyclic ligands: Crystal structures and microporous properties. Prog. Polym. Sci. 2009, 34, 240–279. [Google Scholar] [CrossRef]
- Férey, G. Metal–organic frameworks: The young child of the porous solids family. Stud. Surf. Sci. Catal. 2007, 170, 66–84. [Google Scholar] [CrossRef]
- Rowsell, J.L.; Yaghi, O.M. Metal–organic frameworks: A new class of porous materials. Microporous Mesoporous Mater. 2004, 73, 3–14. [Google Scholar] [CrossRef]
- Morozan, A.; Jaouen, F. Metal organic frameworks for electrochemical applications. Energy Environ. Sci. 2012, 5, 9269–9290. [Google Scholar] [CrossRef]
- Raptopoulou, C.P. Metal–Organic Frameworks: Synthetic Methods and Potential Applications. Materials 2021, 14, 310. [Google Scholar] [CrossRef] [PubMed]
- Tian, Y.; Zhao, Y.; Chen, Z.; Zhang, G.; Weng, L.; Zhao, D. Design and Generation of Extended Zeolitic Metal–Organic Frameworks (ZMOFs): Synthesis and Crystal Structures of Zinc(II) Imidazolate Polymers with Zeolitic Topologies. Chem. Eur. J. 2007, 13, 4146–4154. [Google Scholar] [CrossRef] [PubMed]
- Eddaoudi, M.; Li, H.; Yaghi, O.M. Highly Porous and Stable Metal−Organic Frameworks: Structure Design and Sorption Properties. J. Am. Chem. Soc. 2000, 122, 1391–1397. [Google Scholar] [CrossRef]
- Pichon, A.; Lazuen-Garay, A.; James, S.L. Solvent-free synthesis of a microporous metal–organic framework. CrystEngComm 2006, 8, 211–214. [Google Scholar] [CrossRef]
- Schlesinger, M.; Schulze, S.; Hietschold, M.; Mehring, M. Evaluation of synthetic methods for microporous metal–organic frameworks exemplified by the competitive formation of [Cu2(btc)3(H2O)3] and [Cu2(btc)(OH)(H2O)]. Microporous Mesoporous Mater. 2010, 132, 121–127. [Google Scholar] [CrossRef]
- Mueller, U.; Schubert, M.; Teich, F.; Puetter, H.; Schierle-Arndt, K.; Pastré, J. Metal–organic frameworks—Prospective industrial applications. J. Mater. Chem. 2006, 16, 626–636. [Google Scholar] [CrossRef]
- Férey, G. Hybrid porous solids: Past, present, future. Chem. Soc. Rev. 2008, 37, 191–214. [Google Scholar] [CrossRef]
- Qiu, S.; Zhu, G. Molecular engineering for synthesizing novel structures of metal–organic frameworks with multifunctional properties. Coord. Chem. Rev. 2009, 253, 2891–2911. [Google Scholar] [CrossRef]
- Ni, Z.; Masel, R.I. Rapid Production of Metal−Organic Frameworks via Microwave-Assisted Solvothermal Synthesis. J. Am. Chem. Soc. 2006, 128, 12394–12395. [Google Scholar] [CrossRef]
- Farha, O.K.; Hupp, J.T. Rational Design, Synthesis, Purification, and Activation of Metal−Organic Framework Materials. Acc. Chem. Res. 2010, 43, 1166–1175. [Google Scholar] [CrossRef] [PubMed]
- Eddaoudi, M.; Kim, J.; Rosi, N.; Vodak, D.; Wachter, J.; O’Keeffe, M.; Yaghi, O.M. Systematic Design of Pore Size and Functionality in Isoreticular MOFs and Their Application in Methane Storage. Science 2002, 295, 469–472. [Google Scholar] [CrossRef] [PubMed]
- Nelson, A.P.; Farha, O.K.; Mulfort, K.L.; Hupp, J.T. Supercritical Processing as a Route to High Internal Surface Areas and Permanent Microporosity in Metal−Organic Framework Materials. J. Am. Chem. Soc. 2009, 131, 458–460. [Google Scholar] [CrossRef] [PubMed]
- Custelcean, R.; Gorbunova, M.G. A Metal−Organic Framework Functionalized with Free Carboxylic Acid Sites and Its Selective Binding of a Cl(H2O)4− Cluster. J. Am. Chem. Soc. 2005, 127, 16362–16363. [Google Scholar] [CrossRef]
- Kosal, M.E.; Chou, J.-H.; Wilson, S.R.; Suslick, K.S. A functional zeolite analogue assembled from metalloporphyrins. Nat. Mater. 2002, 1, 118–121. [Google Scholar] [CrossRef]
- Halper, S.R.; Do, L.; Stork, J.R.; Cohen, S.M. Topological Control in Heterometallic Metal−Organic Frameworks by Anion Templating and Metalloligand Design. J. Am. Chem. Soc. 2006, 128, 15255–15268. [Google Scholar] [CrossRef]
- Cao, M.-L.; Mo, H.-J.; Liang, J.-J.; Ye, B.-H. Reversible single-crystal-to-single-crystal transformation driven by adsorption/desorption of water over organic solvents and thermal stimulation. CrystEngComm 2009, 11, 784–790. [Google Scholar] [CrossRef]
- Dalrymple, S.A.; Shimizu, G.K.H. Selective guest inclusion in a non-porous H-bonded host. Chem. Commun. 2006, 9, 956–958. [Google Scholar] [CrossRef] [PubMed]
- Oh, M.; Mirkin, C.A. Ion Exchange as a Way of Controlling the Chemical Compositions of Nano- and Microparticles Made from Infinite Coordination Polymers. Angew. Chem. Int. Ed. 2006, 45, 5492–5494. [Google Scholar] [CrossRef]
- Hermes, S.; Schröder, F.; Amirjalayer, S.; Schmid, R.; Fischer, R.A. Loading of porous metal–organic open frameworks with organometallic CVD precursors: Inclusion compounds of the type [LnM]a@MOF-5. J. Mater. Chem. 2006, 16, 2464–2472. [Google Scholar] [CrossRef]
- Hermes, S.; Schröter, M.; Schmid, R.; Khodeir, L.; Muhler, M.; Tissler, A.; Fischer, R.W.; Fischer, R.A. Metal@MOF: Loading of Highly Porous Coordination Polymers Host Lattices by Metal Organic Chemical Vapor Deposition. Angew. Chem. Int. Ed. 2005, 44, 6237–6241. [Google Scholar] [CrossRef]
- Schröder, F.; Esken, D.; Cokoja, M.; Berg, M.W.E.v.D.; Lebedev, O.I.; Van Tendeloo, G.; Walaszek, B.; Buntkowsky, G.; Limbach, H.-H.; Chaudret, B.; et al. Ruthenium Nanoparticles inside Porous [Zn4O(bdc)3] by Hydrogenolysis of Adsorbed [Ru(cod)(cot)]: A Solid-State Reference System for Surfactant-Stabilized Ruthenium Colloids. J. Am. Chem. Soc. 2008, 130, 6119–6130. [Google Scholar] [CrossRef] [PubMed]
- Chui, S.S.-Y.; Lo, S.M.-F.; Charmant, J.P.H.; Orpen, A.G.; Williams, I.D. A Chemically Functionalizable Nanoporous Material [Cu3(TMA)2(H2O)3]n. Science 1999, 283, 1148–1150. [Google Scholar] [CrossRef]
- Férey, G.; Mellot-Draznieks, C.; Serre, C.; Millange, F.; Dutour, J.; Surblé, S.; Margiolaki, I. A Chromium Terephthalate-Based Solid with Unusually Large Pore Volumes and Surface Area. Science 2005, 309, 2040–2042. [Google Scholar] [CrossRef]
- Vimont, A.; Goupil, J.-M.; Lavalley, J.-C.; Daturi, M.; Surblé, S.; Serre, C.; Millange, F.; Férey, G.; Audebrand, N. Investigation of Acid Sites in a Zeotypic Giant Pores Chromium(III) Carboxylate. J. Am. Chem. Soc. 2006, 128, 3218–3227. [Google Scholar] [CrossRef]
- Férey, G.; Serre, C.; Mellot-Draznieks, C.; Millange, F.; Surblé, S.; Dutour, J.; Margiolaki, I. A Hybrid Solid with Giant Pores Prepared by a Combination of Targeted Chemistry, Simulation, and Powder Diffraction. Angew. Chem. 2004, 116, 6456–6461. [Google Scholar] [CrossRef]
- Hwang, Y.K.; Hong, D.; Chang, J.; Jhung, S.H.; Seo, Y.; Kim, J.; Vimont, A.; Daturi, M.; Serre, C.; Férey, G. Amine Grafting on Coordinatively Unsaturated Metal Centers of MOFs: Consequences for Catalysis and Metal Encapsulation. Angew. Chem. 2008, 120, 4212–4216. [Google Scholar] [CrossRef]
- Wu, C.-D.; Hu, A.; Zhang, L.; Lin, W. A Homochiral Porous Metal−Organic Framework for Highly Enantioselective Heterogeneous Asymmetric Catalysis. J. Am. Chem. Soc. 2005, 127, 8940–8941. [Google Scholar] [CrossRef] [PubMed]
- Kaye, S.S.; Long, J.R. Matrix Isolation Chemistry in a Porous Metal−Organic Framework: Photochemical Substitutions of N2 and H2 in Zn4O[(η6-1,4-Benzenedicarboxylate)Cr(CO)3]3. J. Am. Chem. Soc. 2008, 130, 806–807. [Google Scholar] [CrossRef] [PubMed]
- Wang, Z.; Tanabe, K.K.; Cohen, S.M. Accessing Postsynthetic Modification in a Series of Metal-Organic Frameworks and the Influence of Framework Topology on Reactivity. Inorg. Chem. 2009, 48, 296–306. [Google Scholar] [CrossRef] [PubMed]
- Wang, Z.; Cohen, S.M. Tandem Modification of Metal–Organic Frameworks by a Postsynthetic Approach. Angew. Chem. Int. Ed. 2008, 47, 4699–4702. [Google Scholar] [CrossRef] [PubMed]
- Morris, W.; Doonan, C.J.; Furukawa, H.; Banerjee, R.; Yaghi, O.M. Crystals as Molecules: Postsynthesis Covalent Functionalization of Zeolitic Imidazolate Frameworks. J. Am. Chem. Soc. 2008, 130, 12626–12627. [Google Scholar] [CrossRef]
- Haneda, T.; Kawano, M.; Kawamichi, T.; Fujita, M. Direct Observation of the Labile Imine Formation through Single-Crystal-to-Single-Crystal Reactions in the Pores of a Porous Coordination Network. J. Am. Chem. Soc. 2008, 130, 1578–1579. [Google Scholar] [CrossRef]
- Dugan, E.; Wang, Z.; Okamura, M.; Medina, A.; Cohen, S.M. Covalent modification of a metal–organic framework with isocyanates: Probing substrate scope and reactivity. Chem. Commun. 2008, 29, 3366–3368. [Google Scholar] [CrossRef]
- Meilikhov, M.; Yusenko, K.; Fischer, R.A. Turning MIL-53(Al) Redox-Active by Functionalization of the Bridging OH-Group with 1,1′-Ferrocenediyl-Dimethylsilane. J. Am. Chem. Soc. 2009, 131, 9644–9645. [Google Scholar] [CrossRef]
- Farrusseng, D.; Conivet, J.; Quadrelli, A. Design of Functional Metal–Organic Frameworks by Post-Synthetic Modification. In Metal–Organic Framework Application from Cataysis to Gas Storage; Farrusseng, D., Ed.; Viley-VCH: Singapore, 2011. [Google Scholar]
- Yang, S.J.; Choi, J.Y.; Chae, H.K.; Cho, J.H.; Nahm, K.S.; Park, C.R. Preparation and Enhanced Hydrostability and Hydrogen Storage Capacity of CNT@MOF-5 Hybrid Composite. Chem. Mater. 2009, 21, 1893–1897. [Google Scholar] [CrossRef]
- Szczęśniak, B.; Choma, J.; Jaroniec, M. Materiały kompozytowe MOF-grafen. Wiad. Chem. 2017, 71, 671–691. [Google Scholar]
- Kongshaug, K.O.; Fjellvåg, H.; Lillerud, K.P. The synthesis and crystal structure of a hydrated magnesium phosphate Mg3(PO4)2·4H2O. Solid State Sci. 2001, 3, 353–359. [Google Scholar] [CrossRef]
- Kuppler, R.J.; Timmons, D.J.; Fang, Q.-R.; Li, J.-R.; Makal, T.A.; Young, M.D.; Yuan, D.; Zhao, D.; Zhuang, W.; Zhou, H.-C. Potential applications of metal-organic frameworks. Coord. Chem. Rev. 2009, 253, 3042–3066. [Google Scholar] [CrossRef]
- Zhao, D.; Yuan, D.; Zhou, H.-C. The current status of hydrogen storage in metal–organic frameworks. Energy Environ. Sci. 2008, 1, 222–235. [Google Scholar] [CrossRef]
- Ma, S.; Sun, D.; Wang, X.; Zhou, H. A Mesh-Adjustable Molecular Sieve for General Use in Gas Separation. Angew. Chem. Int. Ed. 2007, 46, 2458–2462. [Google Scholar] [CrossRef]
- Dybtsev, D.N.; Chun, H.; Yoon, S.H.; Kim, D.; Kim, K. Microporous Manganese Formate: A Simple Metal−Organic Porous Material with High Framework Stability and Highly Selective Gas Sorption Properties. J. Am. Chem. Soc. 2004, 126, 32–33. [Google Scholar] [CrossRef]
- Tchalala, M.R.; Bhatt, P.M.; Chappanda, K.N.; Tavares, S.R.; Adil, K.; Belmabkhout, Y.; Shkurenko, A.; Cadiau, A.; Heymans, N.; De Weireld, G.; et al. Fluorinated MOF platform for selective removal and sensing of SO2 from flue gas and air. Nat. Commun. 2019, 10, 1328. [Google Scholar] [CrossRef]
- Yazaydın, A.; Snurr, R.Q.; Park, T.-H.; Koh, K.; Liu, J.; LeVan, M.D.; Benin, A.I.; Jakubczak, P.; Lanuza, M.; Galloway, D.B.; et al. Screening of Metal−Organic Frameworks for Carbon Dioxide Capture from Flue Gas Using a Combined Experimental and Modeling Approach. J. Am. Chem. Soc. 2009, 131, 18198–18199. [Google Scholar] [CrossRef]
- Zou, R.; Sakurai, H.; Xu, Q. Preparation, Adsorption Properties, and Catalytic Activity of 3D Porous Metal–Organic Frameworks Composed of Cubic Building Blocks and Alkali-Metal Ions. Angew. Chem. Int. Ed. 2006, 45, 2542–2546. [Google Scholar] [CrossRef]
- Tan, C.; Liu, G.; Li, H.; Cui, Y.; Liu, Y. Ultrathin two-dimensional metal–organic framework nanosheets—An emerging class of catalytic nanomaterials. Dalton Trans. 2020, 49, 11073–11084. [Google Scholar] [CrossRef]
- Tarnowicz-Ligus, S.; Augustyniak, A.; Trzeciak, A.M. Incorporation of PdCl2P2 Complexes in Ni-MOF for Catalyzing Heck Arylation of Functionalized Olefins. Eur. J. Inorg. Chem. 2019, 2019, 4282–4288. [Google Scholar] [CrossRef]
- Xiao, Y.; Guo, W.; Chen, H.; Li, H.; Xu, X.; Wu, P.; Shen, Y.; Zheng, B.; Huo, F.; Wei, W.D. Ultrathin 2D Cu-porphyrin MOF nanosheets as a heterogeneous catalyst for styrene oxidation. Mater. Chem. Front. 2019, 3, 1580–1585. [Google Scholar] [CrossRef]
- Wang, Y.; Cao, W.; Wang, L.; Zhuang, Q.; Ni, Y. Electrochemical determination of 2,4,6-trinitrophenol using a hybrid film composed of a copper-based metal organic framework and electroreduced graphene oxide. Microchim. Acta 2018, 185, 315. [Google Scholar] [CrossRef]
- Lu, Y.; Young, D.J. Coordination polymers for n-type thermoelectric applications. Dalton Trans. 2020, 49, 7644–7657. [Google Scholar] [CrossRef] [PubMed]
- Li, H.; Ke, F.; Zhu, J. MOF-Derived Ultrathin Cobalt Phosphide Nanosheets as Efficient Bifunctional Hydrogen Evolution Reaction and Oxygen Evolution Reaction Electrocatalysts. Nanomaterials 2018, 8, 89. [Google Scholar] [CrossRef] [PubMed]
- Stavila, V.; Talin, A.A.; Allendorf, M.D. MOF-based electronic and opto-electronic devices. Chem. Soc. Rev. 2014, 43, 5994–6010. [Google Scholar] [CrossRef]
- Chandler, B.D.; Cramb, D.T.; Shimizu, G.K.H. Microporous Metal−Organic Frameworks Formed in a Stepwise Manner from Luminescent Building Blocks. J. Am. Chem. Soc. 2006, 128, 10403–10412. [Google Scholar] [CrossRef]
- Wang, M.-S.; Guo, S.-P.; Li, Y.; Cai, L.-Z.; Zou, J.-P.; Xu, G.; Zhou, W.-W.; Zheng, F.-K.; Guo, G.-C. A Direct White-Light-Emitting Metal−Organic Framework with Tunable Yellow-to-White Photoluminescence by Variation of Excitation Light. J. Am. Chem. Soc. 2009, 131, 13572–13573. [Google Scholar] [CrossRef]
- White, K.A.; Chengelis, D.A.; Gogick, K.A.; Stehman, J.; Rosi, N.L.; Petoud, S. Near-Infrared Luminescent Lanthanide MOF Barcodes. J. Am. Chem. Soc. 2009, 131, 18069–18071. [Google Scholar] [CrossRef]
- Chen, B.; Yang, Y.; Zapata, F.; Lin, G.; Qian, G.; Lobkovsky, E.B. Luminescent Open Metal Sites within a Metal–Organic Framework for Sensing Small Molecules. Adv. Mater. 2007, 19, 1693–1696. [Google Scholar] [CrossRef]
- Taylor-Pashow, K.M.L.; Della Rocca, J.; Xie, Z.; Tran, S.; Lin, W. Postsynthetic Modifications of Iron-Carboxylate Nanoscale Metal−Organic Frameworks for Imaging and Drug Delivery. J. Am. Chem. Soc. 2009, 131, 14261–14263. [Google Scholar] [CrossRef]
- Zhong, Y.; Li, X.; Chen, J.; Wang, X.; Wei, L.; Fang, L.; Kumar, A.; Zhuang, S.; Liu, J. Recent advances in MOF-based nanoplatforms generating reactive species for chemodynamic therapy. Dalton Trans. 2020, 49, 11045–11058. [Google Scholar] [CrossRef] [PubMed]
- Pérez-Cejuela, H.M.; Herrero-Martínez, J.M.; Simó-Alfonso, E.F. Recent Advances in Affinity MOF-Based Sorbents with Sample Preparation Purposes. Molecules 2020, 25, 4216. [Google Scholar] [CrossRef] [PubMed]
- Liu, Y.; Zhao, Y.; Chen, X. Bioengineering of Metal-organic Frameworks for Nanomedicine. Theranostics 2019, 9, 3122–3133. [Google Scholar] [CrossRef] [PubMed]
- Available online: www.ecofuel-asia-tour.com (accessed on 12 February 2023).
- Czaja, A.; Leung, E.; Trukhan, N.; Muller, U. Industrial MOF Synthesis. In Metal–Organic Framework Application from Cataysis to Gas Storage; Farrusseng, D., Ed.; Viley-VCH: Singapore, 2011. [Google Scholar]
- Uemura, T.; Horike, S.; Kitagawa, K.; Mizuno, M.; Endo, K.; Bracco, S.; Comotti, A.; Sozzani, P.; Nagaoka, M.; Kitagawa, S. Conformation and Molecular Dynamics of Single Polystyrene Chain Confined in Coordination Nanospace. J. Am. Chem. Soc. 2008, 130, 6781–6788. [Google Scholar] [CrossRef]
- Uemura, T.; Yanai, N.; Watanabe, S.; Tanaka, H.; Numaguchi, R.; Miyahara, M.T.; Ohta, Y.; Nagaoka, M.; Kitagawa, S. Unveiling thermal transitions of polymers in subnanometre pores. Nat. Commun. 2010, 1, 83. [Google Scholar] [CrossRef] [PubMed]
- Le Ouay, B.; Watanabe, C.; Mochizuki, S.; Takayanagi, M.; Nagaoka, M.; Kitao, T.; Uemura, T. Selective sorting of polymers with different terminal groups using metal-organic frameworks. Nat. Commun. 2018, 9, 3635. [Google Scholar] [CrossRef] [PubMed]
- Iizuka, T.; Honjo, K.; Uemura, T. Enhanced mechanical properties of a metal–organic framework by polymer insertion. Chem. Commun. 2019, 55, 691–694. [Google Scholar] [CrossRef]
- Le Ouay, B.; Kitagawa, S.; Uemura, T. Opening of an Accessible Microporosity in an Otherwise Nonporous Metal–Organic Framework by Polymeric Guests. J. Am. Chem. Soc. 2017, 139, 7886–7892. [Google Scholar] [CrossRef]
- Kitao, T.; MacLean, M.W.A.; Le Ouay, B.; Sasaki, Y.; Tsujimoto, M.; Kitagawa, S.; Uemura, T. Preparation of polythiophene microrods with ordered chain alignment using nanoporous coordination template. Polym. Chem. 2017, 8, 5077–5081. [Google Scholar] [CrossRef]
- Jang, Y.J.; Jung, Y.E.; Kim, G.W.; Lee, C.Y.; Park, Y.D. Metal–organic frameworks in a blended polythiophene hybrid film with surface-mediated vertical phase separation for the fabrication of a humidity sensor. RSC Adv. 2019, 9, 529–535. [Google Scholar] [CrossRef] [PubMed]
- Chen, T.-Y.; Huang, Y.-J.; Li, C.-T.; Kung, C.-W.; Vittal, R.; Ho, K.-C. Metal-organic framework/sulfonated polythiophene on carbon cloth as a flexible counter electrode for dye-sensitized solar cells. Nano Energy 2017, 32, 19–27. [Google Scholar] [CrossRef]
- Xu, S.; Gao, Q.; Zhou, C.; Li, J.; Shen, L.; Lin, H. Improved thermal stability and heat-aging resistance of silicone rubber via incorporation of UiO-66-NH2. Mater. Chem. Phys. 2021, 274, 125182. [Google Scholar] [CrossRef]
- Moreton, J.C.; Denny, M.S.; Cohen, S.M. High MOF loading in mixed-matrix membranes utilizing styrene/butadiene copolymers. Chem. Commun. 2016, 52, 14376–14379. [Google Scholar] [CrossRef] [PubMed]
- Sheng, L.; Wang, C.; Yang, F.; Xiang, L.; Huang, X.; Yu, J.; Zhang, L.; Pan, Y.; Li, Y. Enhanced C3H6/C3H8 separation performance on MOF membranes through blocking defects and hindering framework flexibility by silicone rubber coating. Chem. Commun. 2017, 53, 7760–7763. [Google Scholar] [CrossRef] [PubMed]
- Kreider, M.C.; Sefa, M.; Fedchak, J.A.; Scherschligt, J.; Bible, M.; Natarajan, B.; Klimov, N.N.; Miller, A.E.; Ahmed, Z.; Hartings, M.R. Toward 3D printed hydrogen storage materials made with ABS-MOF composites. Polym. Adv. Technol. 2018, 29, 867–873. [Google Scholar] [CrossRef]
- Young, A.J.; Guillet-Nicolas, R.; Marshall, E.S.; Kleitz, F.; Goodhand, A.J.; Glanville, L.B.L.; Reithofer, M.R.; Chin, J.M. Direct ink writing of catalytically active UiO-66 polymer composites. Chem. Commun. 2019, 55, 2190–2193. [Google Scholar] [CrossRef]
- Thakkar, H.; Eastman, S.; Al-Naddaf, Q.; Rownaghi, A.A.; Rezaei, F. 3D-Printed Metal–Organic Framework Monoliths for Gas Adsorption Processes. ACS Appl. Mater. Interfaces 2017, 9, 35908–35916. [Google Scholar] [CrossRef]
- Halevi, O.; Tan, J.M.R.; Lee, P.S.; Magdassi, S. Hydrolytically Stable MOF in 3D-Printed Structures. Adv. Sustain. Syst. 2018, 2, 1700150. [Google Scholar] [CrossRef]
- Troyano, J.; Carné-Sánchez, A.; Maspoch, D. Programmable Self-Assembling 3D Architectures Generated by Patterning of Swellable MOF-Based Composite Films. Adv. Mater. 2019, 31, e1808235. [Google Scholar] [CrossRef]
- Shi, Y.; Zhang, W.; Abrahams, B.F.; Braunstein, P.; Lang, J. Fabrication of Photoactuators: Macroscopic Photomechanical Responses of Metal–Organic Frameworks to Irradiation by UV Light. Angew. Chem. 2019, 131, 9553–9558. [Google Scholar] [CrossRef]
- Liu, H.; Peng, H.; Xin, Y.; Zhang, J. Metal–organic frameworks: A universal strategy towards super-elastic hydrogels. Polym. Chem. 2019, 10, 2263–2272. [Google Scholar] [CrossRef]
- Zhou, S.; Strømme, M.; Xu, C. Highly Transparent, Flexible, and Mechanically Strong Nanopapers of Cellulose Nanofibers @Metal–Organic Frameworks. Chem. Eur. J. 2019, 25, 3515–3520. [Google Scholar] [CrossRef]
- Kalaj, M.; Denny, M.S.; Bentz, K.C.; Palomba, J.M.; Cohen, S.M. Nylon–MOF Composites through Postsynthetic Polymerization. Angew. Chem. 2019, 131, 2358–2362. [Google Scholar] [CrossRef]
- Peterson, G.W.; Lee, D.T.; Barton, H.F.; Epps, T.H.; Parsons, G.N. Fibre-based composites from the integration of metal–organic frameworks and polymers. Nat. Rev. Mater. 2021, 6, 605–621. [Google Scholar] [CrossRef]
- Koster, G.; Boses, C.; Zimmer, R.; Fuchs, H.-B.; Ozel, F.; Lauer, W. Lothar Braun Pneumatic Tire Having a Rubber Component Containing Zinc Organic Framework Material. U.S. Patent 11/523,146, 22 March 2007. [Google Scholar]
- Joseph, J.; Sreethu, T.K.; Mohanty, S.; Gupta, V.K.; Bhowmick, A.K. Metal-Organic Framework: A smart replacement for conventional nanofillers for the enhancement of mechanical properties and thermal stability of SBR nanocomposite. Rubber Chem. Technol. 2021, 94, 515–532. [Google Scholar] [CrossRef]
- Lei, Z.; Wu, Y.; Tang, L.; Chen, J. Preparation of MOF-Zn and ZnO composite and its properties in SBR. Polym. Compos. 2022, 43, 8749–8760. [Google Scholar] [CrossRef]
- Tian, X.; Hu, J.; Sun, X.; Duan, Y.; Jiang, M. Novel application of Zn-containing Zeolitic Imidazolate Frameworks in promoting the vulcanization and mechanical properties of natural rubber composites. J. Appl. Polym. Sci. 2023, 140, e54294. [Google Scholar] [CrossRef]
- Esmizadeh, E.; Naderi, G.; Barmar, M. Effect of organo-clay on properties and mechanical behavior of Fluorosilicone rubber. Fibers Polym. 2014, 15, 2376–2385. [Google Scholar] [CrossRef]
- Vahidifar, A.; Esmizadeh, E.; Rodrigue, D. Effect of the simultaneous curing and foaming kinetics on the morphology development of polyisoprene closed cell foams. Elastomery 2018, 22, 3–18. [Google Scholar]
- Kamal, M.R.; Sourour, S. Kinetics and thermal characterization of thermoset cure. Polym. Eng. Sci. 1973, 13, 59–64. [Google Scholar] [CrossRef]
- Bielinski, D.M.; Glab, P.; Chrusciel, J. Modification of styrene-butadiene rubber with polymethylsiloxanes. Part I. Polimery 2007, 52, 195. [Google Scholar] [CrossRef][Green Version]
- Flory, P.J.; Rehner, J. Statistical Mechanics of Cross-Linked Polymer Networks II. Swelling. J. Chem. Phys. 1943, 11, 521–526. [Google Scholar] [CrossRef]
- Izzati, D.A.; Som, S.C.M.; Chan, C.H.; Faiza, M.A. Rubber-Solvent Interaction Parameter (χ1,2) of NR/SBR Rubber Blend Solution in Determination of Crosslink Concentration for Vulcanized Rubber Blend. Adv. Mater. Res. 2016, 1134, 75–81. [Google Scholar]
- Saville, B.; Watson, B. Structural Characterization of Sulfur-Vulcanized Rubber Networks. Rubber Chem. Technol. 1967, 40, 100–108. [Google Scholar] [CrossRef]
- Yin, H.; Kim, H.; Choi, J.; Yip, A.C. Thermal stability of ZIF-8 under oxidative and inert environments: A practical perspective on using ZIF-8 as a catalyst support. Chem. Eng. J. 2015, 278, 293–300. [Google Scholar] [CrossRef]
- Wang, S.; Xie, X.; Xia, W.; Cui, J.; Zhang, S.; Du, X. Study on the structure activity relationship of the crystal MOF-5 synthesis, thermal stability and N2 adsorption property. High Temp. Mater. Process. 2020, 39, 171–177. [Google Scholar] [CrossRef]
- Junkong, P.; Morimoto, R.; Miyaji, K.; Tohsan, A.; Sakaki, Y.; Ikeda, Y. Effect of fatty acids on the accelerated sulfur vulcanization of rubber by active zinc/carboxylate complexes. RSC Adv. 2020, 10, 4772–4785. [Google Scholar] [CrossRef]





| Components | Conventional Curing System (CV) | ||||||||
|---|---|---|---|---|---|---|---|---|---|
| ZnO | 75_ZnO_25_ZIF-8 | 50_ZnO_50_ZIF-8 | 25_ZnO_75_ZIF-8 | 0_ZnO_100_ZIF-8 | 75_ZnO_25_MOF-5 | 50_ZnO_50_MOF-5 | 25_ZnO_75_MOF-5 | 0_ZnO_100_MOF-5 | |
| SPRINTANTM SLR-4602 (s-SBR) | 100.00 | ||||||||
| Sulfur | 3.00 | ||||||||
| N-cyclohexylbenzothiazol-2-sulphenamide (CBS) | 1.50 | ||||||||
| Stearic acid | 3.00 | ||||||||
| Zinc oxide (ZnO) | 3.00 | 2.25 | 1.50 | 0.75 | - | 2.25 | 1.50 | 0.75 | - |
| ZIF-8 | - | 2.10 | 4.20 | 6.30 | 8.40 | - | - | - | - |
| MOF-5 | - | - | - | - | - | 1.75 | 3.5 | 5.25 | 7.00 |
| Components | Effective curing system (EF) | ||||||||
| ZnO | 75_ZnO_25_ZIF-8 | 50_ZnO_50_ZIF-8 | 25_ZnO_75_ZIF-8 | 0_ZnO_100_ZIF-8 | 75_ZnO_25_MOF-5 | 50_ZnO_50_MOF-5 | 25_ZnO_75_MOF-5 | 0_ZnO_100_MOF-5 | |
| SPRINTANTM SLR-4602 (s-SBR) | 100.00 | ||||||||
| Sulfur | 0.60 | ||||||||
| N-cyclohexylbenzothiazol-2-sulphenamide (CBS) | 4.00 | ||||||||
| Stearic acid | 3.00 | ||||||||
| Zinc oxide (ZnO) | 3.00 | 2.25 | 1.50 | 0.75 | - | 2.25 | 1.50 | 0.75 | - |
| ZIF-8 | - | 2.10 | 4.20 | 6.30 | 8.40 | - | - | - | - |
| MOF-5 | - | - | - | - | - | 1.75 | 3.5 | 5.25 | 7.00 |
| Sample | ML [dNm] | MH [dNm] | ts2 [min] | t05 [min] | t90 [min] | CRI [%/min] | Ea [kJ/mol] |
|---|---|---|---|---|---|---|---|
| CV_100_ZnO | 0.18 | 9.50 | 9.10 | 8.16 | 20.02 | 9.,16 | 37.3 ± 1.1 |
| CV_75_ZnO_25_ZIF-8 | 0.19 | 6.84 | 5.14 | 4.13 | 19.16 | 7.13 | 60.0 ± 2.2 |
| CV_50_ZnO_50_ZIF-8 | 0.20 | 9.54 | 7.40 | 6.55 | 19.39 | 8.34 | 29.0 ± 0.9 |
| CV_25_ZnO_75_ZIF-8 | 0.27 | 7.45 | 8.02 | 6.44 | 24.42 | 6.10 | 18.9 ± 0.6 |
| CV_0_ZnO_100_ZIF-8 | 0.30 | 9.78 | 9.70 | 8.44 | 26.29 | 6.03 | 33.9 ± 1.2 |
| CV_75_ZnO_25_MOF-5 | 0.25 | 7.06 | 10.31 | 8.67 | 18.78 | 11.81 | 62.8 ± 1.9 |
| CV_50_ZnO_50_MOF-5 | 0.25 | 7.71 | 10.72 | 8.91 | 30.46 | 5.07 | 62.3 ± 2.2 |
| CV_25_ZnO_75_MOF-5 | 0.27 | 7.71 | 14.33 | 10.23 | 34.10 | 5.06 | 30.0 ± 0.9 |
| CV_0_ZnO_100_MOF-5 | 0.30 | 7.84 | 15.16 | 11.00 | 35.18 | 5.00 | 85.5 ± 2.6 |
| EF_100_ZnO | 0.19 | 6.67 | 16.09 | 13.59 | 24.54 | 11.83 | 46.2 ± 1.6 |
| EF_75_ZnO_25_ZIF-8 | 0.20 | 4.63 | 13.87 | 10.03 | 20.10 | 16.05 | 46.6 ± 1.5 |
| EF_50_ZnO_50_ZIF-8 | 0.21 | 6.10 | 12.08 | 8.37 | 22.12 | 9.96 | 28.3 ± 0.9 |
| EF_25_ZnO_75_ZIF-8 | 0.25 | 5.27 | 20.03 | 13.62 | 30.92 | 9.18 | 83.3 ± 2.5 |
| EF_0_ZnO_100_ZIF-8 | 0.22 | 7.01 | 19.71 | 15.50 | 35.09 | 6.50 | 33.5 ± 1.2 |
| EF_75_ZnO_25_MOF-5 | 0.24 | 4.98 | 18.99 | 14.21 | 26.88 | 12.67 | 65.9 ± 2.0 |
| EF_50_ZnO_50_MOF-5 | 0.22 | 5.43 | 29.49 | 12.13 | 42.07 | 7.95 | 71.1 ± 2.1 |
| EF_25_ZnO_75_MOF-5 | 0.19 | 6.29 | 31.87 | 13.16 | 49.54 | 5.66 | 66.0 ± 1.9 |
| EF_0_ZnO_100_MOF-5 | 0.21 | 6.52 | 34.80 | 13.99 | 69.48 | 2.88 | 103.7 ± 3.1 |
| Positive Ions | ||||
| Zn+ | C4H5N2Zn+ | C4H6N2Zn+ | C18H36O2Zn+ | |
| ZiF-8 | + | + | + | - |
| negative ions | ||||
| C4H5N2− | C18H36O2− | |||
| ZiF-8 | + | + | ||
| positive ions | ||||
| Zn+ | C8H5O4Zn+ | C18H36O2Zn+ | ||
| MOF-5 | + | - | - | |
| negative ions | ||||
| C8H5O4− | C18H36O2− | |||
| MOF-5 | + | + | ||
| Sample | T50 [°C] | Tg [°C] | Sample | T50 [°C] | Tg [°C] |
|---|---|---|---|---|---|
| CV_100_ZnO | 477 | −15.5 | EF_100_ZnO | 485 | −19.2 |
| CV_75_ZnO_25_ZIF-8 | 474 | −16.4 | EF_75_ZnO_25_ZIF-8 | 478 | −20.6 |
| CV_50_ZnO_50_ZIF-8 | 476 | −16.3 | EF_50_ZnO_50_ZIF-8 | 483 | −18.5 |
| CV_25_ZnO_75_ZIF-8 | 474 | −16.7 | EF_25_ZnO_75_ZIF-8 | 479 | −20.0 |
| CV_0_ZnO_100_ZIF-8 | 477 | −16.6 | EF_0_ZnO_100_ZIF-8 | 485 | −19.3 |
| CV_75_ZnO_25_MOF-5 | 473 | −16.8 | EF_75_ZnO_25_MOF-5 | 480 | −20.4 |
| CV_50_ZnO_50_MOF-5 | 472 | −16.7 | EF_50_ZnO_50_MOF-5 | 479 | −19.7 |
| CV_25_ZnO_75_MOF-5 | 472 | −16.9 | EF_25_ZnO_75_MOF-5 | 478 | −19.7 |
| CV_0_ZnO_100_MOF-5 | 471 | −16.7 | EF_0_ZnO_100_MOF-5 | 478 | −20.0 |
Disclaimer/Publisher’s Note: The statements, opinions and data contained in all publications are solely those of the individual author(s) and contributor(s) and not of MDPI and/or the editor(s). MDPI and/or the editor(s) disclaim responsibility for any injury to people or property resulting from any ideas, methods, instructions or products referred to in the content. |
© 2023 by the authors. Licensee MDPI, Basel, Switzerland. This article is an open access article distributed under the terms and conditions of the Creative Commons Attribution (CC BY) license (https://creativecommons.org/licenses/by/4.0/).
Share and Cite
Klajn, K.; Gozdek, T.; Bieliński, D.M. Metal Organic Frameworks: Current State and Analysis of Their Use as Modifiers of the Vulcanization Process and Properties of Rubber. Materials 2023, 16, 7631. https://doi.org/10.3390/ma16247631
Klajn K, Gozdek T, Bieliński DM. Metal Organic Frameworks: Current State and Analysis of Their Use as Modifiers of the Vulcanization Process and Properties of Rubber. Materials. 2023; 16(24):7631. https://doi.org/10.3390/ma16247631
Chicago/Turabian StyleKlajn, Katarzyna, Tomasz Gozdek, and Dariusz M. Bieliński. 2023. "Metal Organic Frameworks: Current State and Analysis of Their Use as Modifiers of the Vulcanization Process and Properties of Rubber" Materials 16, no. 24: 7631. https://doi.org/10.3390/ma16247631
APA StyleKlajn, K., Gozdek, T., & Bieliński, D. M. (2023). Metal Organic Frameworks: Current State and Analysis of Their Use as Modifiers of the Vulcanization Process and Properties of Rubber. Materials, 16(24), 7631. https://doi.org/10.3390/ma16247631

