Understanding Machining Process Parameters and Optimization of High-Speed Turning of NiTi SMA Using Response Surface Method (RSM) and Genetic Algorithm (GA)
Abstract
:1. Introduction
2. Experimental Section
2.1. Materials
2.2. Measurements
2.3. Design with Response Surface Methodology
3. Results and Discussion
3.1. Prediction Model
3.2. Effect of Machining Parameters on Surface Roughness
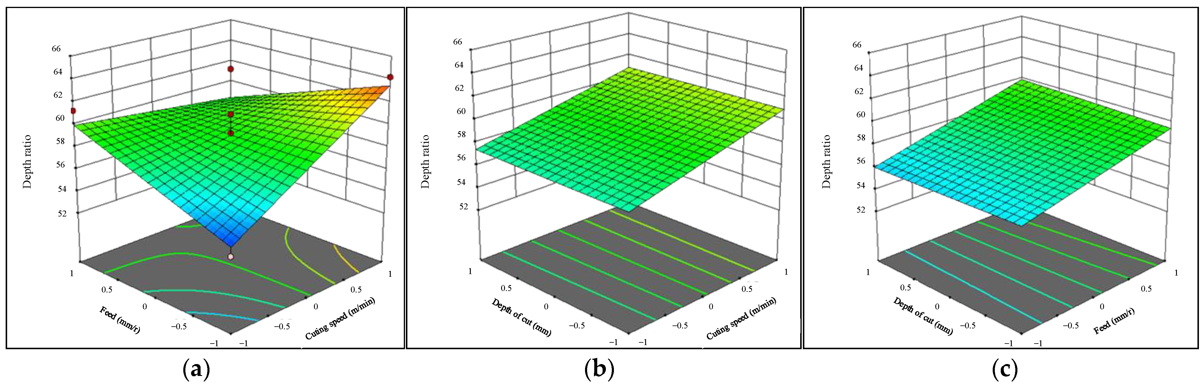
3.3. Effect of Machining Parameters on Remnant Depth Ratio
3.4. Multi-Objective Optimization Using Genetic Algorithm
4. Conclusions
- The prediction models of both surface roughness and the remnant depth ratio are built, and the linear, quadratic, and cross-product terms all have a significant influence on the response variables.
- ANOVA reveals that the impact of the feed on the surface roughness is most apparent, followed by the cutting speed and the depth of the cut. The remnant depth ratio also takes into account the depth of the cut, feed, and the cutting speed.
- Based on the genetic algorithm, taking the minimum surface roughness and the maximum remnant depth ratio as the objectives, the multi-objective optimized solution can be obtained as follows: vc = 126 m/min, f = 0.11 mm/r, ap = 0.14 mm and the Ra and remnant depth ratio reach was 0.489 μm and 64.13%, respectively.
Author Contributions
Funding
Institutional Review Board Statement
Informed Consent Statement
Data Availability Statement
Conflicts of Interest
References
- Oehler, S.D.; Hartl, D.J.; Lopez, R.; Malak, R.J.; Lagoudas, D.C. Design Optimization and Uncertainty Analysis of SMA Morphing Structures. Smart Mater. Struct. 2012, 21, 94016. [Google Scholar] [CrossRef]
- Mohd Jani, J.; Leary, M.; Subic, A.; Gibson, M.A. A Review of Shape Memory Alloy Research, Applications and Opportunities. Mater. Des. 2014, 56, 1078–1113. [Google Scholar] [CrossRef]
- Petrini, L.; Migliavacca, F. Biomedical Applications of Shape Memory Alloys. J. Metall. 2011, 2011, 501483. [Google Scholar] [CrossRef]
- Kaya, E.; Kaya, İ. A Review on Machining of NiTi Shape Memory Alloys: The Process and Post Process Perspective. Int. J. Adv. Manuf. Technol. 2019, 100, 2045–2087. [Google Scholar] [CrossRef]
- Ben Saoud, F.; Korkmaz, M.E. A Review on Machinability of Shape Memory Alloys Through Traditional and Non-Traditional Machining Processes: A Review. İmalat Teknol. Uygulamaları 2022, 2022, 14–32. [Google Scholar] [CrossRef]
- Ross, N.S.; Sivaraman, V.; Ananth, M.B.J.; Jebaraj, M. Multi Response Optimization of Dual Jet CO2+SQL in Milling Inconel 718. Mater. Manuf. Process. 2023, 38, 722–734. [Google Scholar] [CrossRef]
- Ross, K.N.S.; Manimaran, G. Machining Investigation of Nimonic-80A Superalloy Under Cryogenic CO2 as Coolant Using PVD-TiAlN/TiN Coated Tool at 45° Nozzle Angle. Arab. J. Sci. Eng. 2020, 45, 9267–9281. [Google Scholar] [CrossRef]
- Nimel Sworna Ross, K.; Manimaran, G. Effect of Cryogenic Coolant on Machinability of Difficult-to-Machine Ni–Cr Alloy Using PVD-TiAlN Coated WC Tool. J. Braz. Soc. Mech. Sci. Eng. 2019, 41, 44. [Google Scholar] [CrossRef]
- Yu, H.; Young, M.L. Effect of Temperature on High Strain Rate Deformation of Austenitic Shape Memory Alloys by Phenomenological Modeling. J. Alloys Compd. 2019, 797, 194–204. [Google Scholar] [CrossRef]
- Elahinia, M.H.; Hashemi, M.; Tabesh, M.; Bhaduri, S.B. Manufacturing and Processing of NiTi Implants: A Review. Prog. Mater. Sci. 2012, 57, 911–946. [Google Scholar] [CrossRef]
- Huang, H. A Study of High-Speed Milling Characteristics of Nitinol. Mater. Manuf. Process. 2004, 19, 159–175. [Google Scholar] [CrossRef]
- Weinert, K.; Petzoldt, V. Machining of NiTi Based Shape Memory Alloys. Mater. Sci. Eng. A 2004, 378, 180–184. [Google Scholar] [CrossRef]
- Weinert, K.; Petzoldt, V.; Kötter, D.; Buschka, M. Drilling of NiTi Shape Memory Alloys. Materwiss. Werksttech. 2004, 35, 338–341. [Google Scholar] [CrossRef]
- Biermann, D.; Kahleyss, F.; Krebs, E.; Upmeier, T. A Study on Micro-Machining Technology for the Machining of NiTi: Five-Axis Micro-Milling and Micro Deep-Hole Drilling. J. Mater. Eng. Perform. 2011, 20, 745–751. [Google Scholar] [CrossRef]
- Kuppuswamy, R.; Yui, A. High-Speed Micromachining Characteristics for the NiTi Shape Memory Alloys. Int. J. Adv. Manuf. Technol. 2017, 93, 11–21. [Google Scholar] [CrossRef]
- Kowalczyk, M. Application of Taguchi Method to Optimization of Surface Roughness during Precise Turning of NiTi Shape Memory Alloy. Photonics Appl. Astron. Commun. Ind. High Energy Phys. Exp. 2017, 10445, 104455G. [Google Scholar] [CrossRef]
- Kowalczyk, M. Application of the Monte Carlo Method for the Optimization of Surface Roughness during Precise Turning of NiTi Shape Memory Alloy. In Proceedings of the SPIE; SPIE: Bellingham, WA, USA, 2018; Volume 10808, p. 58. [Google Scholar]
- Kowalczyk, M. Temperature Distribution in the Machining Zone during Precise Turning of NiTi Alloy. In Photonics Applications in Astronomy, Communications, Industry, and High-Energy Physics Experiments; SPIE: Bellingham, WA, USA, 2018; p. 73. [Google Scholar] [CrossRef]
- Kowalczyk, M. Cutting Force Prediction in Ball-End Milling of Ni-Ti Alloy. In Proceedings of the SPIE; SPIE: Bellingham, WA, USA, 2019; Volume 11176, p. 101. [Google Scholar]
- Alloys, N.; Carlo, M.; Kowalczyk, M.; Tomczyk, K. Procedure for Determining the Uncertainties in the Modeling of Surface Roughness in the Turning of NiTi Alloys Using the Monte Carlo Method. Materials 2020, 13, 4338. [Google Scholar]
- Wang, G.; Liu, Z.; Ai, X.; Huang, W.; Niu, J. Effect of Cutting Parameters on Strain Hardening of Nickel-Titanium Shape Memory Alloy. Smart Mater. Struct. 2018, 27, 075027. [Google Scholar] [CrossRef]
- Wang, G.; Liu, Z.; Huang, W.; Wang, B.; Niu, J. Influence of Cutting Parameters on Surface Roughness and Strain Hardening during Milling NiTi Shape Memory Alloy. Int. J. Adv. Manuf. Technol. 2019, 102, 2211–2221. [Google Scholar] [CrossRef]
- Kabil, A.O.; Kaynak, Y.; Saruhan, H.; Benafan, O. Multi-Objective Optimization of Cutting Parameters for Machining Process of Ni-Rich NiTiHf High-Temperature Shape Memory Alloy Using Genetic Algorithm. Shape Mem. Superelasticity 2021, 7, 270–279. [Google Scholar] [CrossRef]
- Kaynak, Y.; Taşcıoğlu, E.; Sharif, S.; Suhaimi, M.A.; Benefan, O. The Effect of Cooling on Machining and Phase Transformation Responses of Ni-Rich NiTiHf High-Temperature Shape Memory Alloy. J. Manuf. Process. 2022, 75, 1144–1152. [Google Scholar] [CrossRef]
- Zhang, D.; Li, Y.; Cong, W. Multi-Scale Pseudoelasticity of NiTi Alloys Fabricated by Laser Additive Manufacturing. Mater. Sci. Eng. A 2021, 821, 141600. [Google Scholar] [CrossRef]
- Zhao, Y.; Li, J.; Guo, K.; Sivalingam, V.; Sun, J. Study on Chip Formation Characteristics in Turning NiTi Shape Memory Alloys. J. Manuf. Process. 2020, 58, 787–795. [Google Scholar] [CrossRef]
- Zhao, Y.Z.; Guo, K.; Sivalingam, V.; Li, J.F.; Sun, Q.D.; Zhu, Z.J.; Sun, J. Surface Integrity Evolution of Machined NiTi Shape Memory Alloys after Turning Process. Adv. Manuf. 2021, 9, 446–456. [Google Scholar] [CrossRef]
- Zhao, Y.; Sun, J. Study on the Characteristics of Phase in Turning NiTi Shape Memory Alloy. J. Manuf. Process. 2023, 98, 277–284. [Google Scholar] [CrossRef]
- Benafan, O.; Noebe, R.D.; Padula, S.A.; Garg, A.; Clausen, B.; Vogel, S.; Vaidyanathan, R. Temperature Dependent Deformation of the B2 Austenite Phase of a NiTi Shape Memory Alloy. Int. J. Plast. 2013, 51, 103–121. [Google Scholar] [CrossRef]
- Sivalingam, V.; Sun, J.; Yang, B.; Liu, K.; Raju, R. Machining Performance and Tool Wear Analysis on Cryogenic Treated Insert during End Milling of Ti-6Al-4V Alloy. J. Manuf. Process. 2018, 36, 188–196. [Google Scholar] [CrossRef]
- Biermann, D.; Kahleyss, F.; Surmann, T. Micromilling of NiTi Shape-Memory Alloys with Ball Nose Cutters. Adv. Manuf. Process. 2009, 24, 1266–1273. [Google Scholar] [CrossRef]
- Zhang, Y.; Jiang, S.; Hu, L.; Liang, Y. Deformation Mechanism of NiTi Shape Memory Alloy Subjected to Severe Plastic Deformation at Low Temperature. Mater. Sci. Eng. A 2013, 559, 607–614. [Google Scholar] [CrossRef]
- Ahadi, A.; Sun, Q. Stress-Induced Nanoscale Phase Transition in Superelastic NiTi by in Situ X-Ray Diffraction. Acta Mater. 2015, 90, 272–281. [Google Scholar] [CrossRef]
- Zhao, Y.; Guo, K.; Li, J.; Sun, J. Investigation on Machinability of NiTi Shape Memory Alloys under Different Cooling Conditions. Int. J. Adv. Manuf. Technol. 2021, 116, 1913–1923. [Google Scholar] [CrossRef]
- Mia, M. Mathematical Modeling and Optimization of MQL Assisted End Milling Characteristics Based on RSM and Taguchi Method. Meas. J. Int. Meas. Confed. 2018, 121, 249–260. [Google Scholar] [CrossRef]
- Kaynak, Y.; Karaca, H.E.; Jawahir, I.S. Cryogenic Machining of NiTi Shape Memory Alloys. In Proceedings of the 6th International Conference and Exhibition on Design and Production of Machines and Dies/Molds, Ankara, Turkey, 23–26 June 2011; pp. 123–128. [Google Scholar]
- Kaya, E.; Kaya, İ. Investigation of High Speed Cutting Performance and Phase Transformation Behavior of NiTi Shape Memory Alloys. Int. J. Adv. Manuf. Technol. 2022, 119, 489–502. [Google Scholar] [CrossRef]
- Samal, S.; Rao, K.K.; Mukherjee, P.S.; Mukherjee, T.K. Statistical Modelling Studies on Leachability of Titania-Rich Slag Obtained from Plasma Melt Separation of Metallized Ilmenite. Chem. Eng. Res. Des. 2008, 86, 187–191. [Google Scholar] [CrossRef]
- Samal, S.; Rao, K.K.; Mukherjee, P.S. Optimisation of Titanium Dioxide Rich Slag Production Using Statistics Based Experimental Designs in a Moving Bed Plasma Reactor. Trans. Inst. Min. Metall. Sect. C Miner. Process. Extr. Metall. 2009, 118, 2–9. [Google Scholar] [CrossRef]







| Factor | Parameter | Unit | Level | ||
|---|---|---|---|---|---|
| −1 | 0 | 1 | |||
| A | Cutting speed | m/min | 105 | 144 | 200 |
| B | Feed | mm/rev | 0.05 | 0.1 | 0.15 |
| C | Depth of cut | mm | 0.1 | 0.15 | 0.2 |
| No. | Cutting Parameter | Ra (μm) | (%) | ||
|---|---|---|---|---|---|
| Cutting Speed (m/min) | Feed (mm/rev) | Depth of Cut (mm) | |||
| 1 | 144 | 0.05 | 0.1 | 0.498 | 53.87 |
| 2 | 105 | 0.1 | 0.2 | 0.532 | 64.18 |
| 3 | 144 | 0.1 | 0.15 | 0.476 | 61.25 |
| 4 | 144 | 0.1 | 0.15 | 0.466 | 61.24 |
| 5 | 200 | 0.05 | 0.15 | 0.368 | 56.22 |
| 6 | 105 | 0.15 | 0.15 | 0.610 | 58.48 |
| 7 | 144 | 0.15 | 0.2 | 0.645 | 58.16 |
| 8 | 105 | 0.05 | 0.15 | 0.323 | 60.15 |
| 9 | 200 | 0.15 | 0.15 | 0.662 | 60.73 |
| 10 | 105 | 0.1 | 0.1 | 0.473 | 58.49 |
| 11 | 200 | 0.1 | 0.1 | 0.629 | 58.61 |
| 12 | 144 | 0.15 | 0.1 | 0.736 | 57.05 |
| 13 | 200 | 0.1 | 0.2 | 0.425 | 59.27 |
| 14 | 144 | 0.05 | 0.2 | 0.327 | 58.48 |
| 15 | 144 | 0.1 | 0.15 | 0.462 | 60.96 |
| Source | F Value | p Value | Remarks | Coefficient |
|---|---|---|---|---|
| Model | 55.42 | <0.0001 | Significant | |
| A | 6.11 | 0.056 | 0.0182 | |
| B | 370.42 | <0.0001 | Significant | 0.1421 |
| C | 47.46 | 0.001 | Significant | −0.0508 |
| A2 | 0.41 | 0.548 | −0.007 | |
| B2 | 7.49 | 0.041 | Significant | 0.029 |
| C2 | 24.45 | 0.004 | Significant | 0.053 |
| AB | 0.03 | 0.873 | 0.001 | |
| AC | 39.64 | 0.001 | Significant | −0.065 |
| BC | 3.67 | 0.144 | 0.020 |
| Source | F Value | p Value | Remarks | Coefficient |
|---|---|---|---|---|
| Model | 35.14 | 0.001 | Significant | |
| A | 6.11 | 0.007 | Significant | −0.809 |
| B | 370.42 | 0.011 | Significant | 0.712 |
| C | 47.46 | <0.0001 | Significant | 1.509 |
| A2 | 0.41 | 0.122 | 0.496 | |
| B2 | 7.49 | <0.0001 | Significant | −2.751 |
| C2 | 24.45 | 0.002 | Significant | −1.509 |
| AB | 0.03 | 0.002 | Significant | 1.545 |
| AC | 39.64 | 0.004 | Significant | −1.258 |
| BC | 3.67 | 0.019 | Significant | −0.875 |
Disclaimer/Publisher’s Note: The statements, opinions and data contained in all publications are solely those of the individual author(s) and contributor(s) and not of MDPI and/or the editor(s). MDPI and/or the editor(s) disclaim responsibility for any injury to people or property resulting from any ideas, methods, instructions or products referred to in the content. |
© 2023 by the authors. Licensee MDPI, Basel, Switzerland. This article is an open access article distributed under the terms and conditions of the Creative Commons Attribution (CC BY) license (https://creativecommons.org/licenses/by/4.0/).
Share and Cite
Zhao, Y.; Cui, L.; Sivalingam, V.; Sun, J. Understanding Machining Process Parameters and Optimization of High-Speed Turning of NiTi SMA Using Response Surface Method (RSM) and Genetic Algorithm (GA). Materials 2023, 16, 5786. https://doi.org/10.3390/ma16175786
Zhao Y, Cui L, Sivalingam V, Sun J. Understanding Machining Process Parameters and Optimization of High-Speed Turning of NiTi SMA Using Response Surface Method (RSM) and Genetic Algorithm (GA). Materials. 2023; 16(17):5786. https://doi.org/10.3390/ma16175786
Chicago/Turabian StyleZhao, Yanzhe, Li Cui, Vinothkumar Sivalingam, and Jie Sun. 2023. "Understanding Machining Process Parameters and Optimization of High-Speed Turning of NiTi SMA Using Response Surface Method (RSM) and Genetic Algorithm (GA)" Materials 16, no. 17: 5786. https://doi.org/10.3390/ma16175786
APA StyleZhao, Y., Cui, L., Sivalingam, V., & Sun, J. (2023). Understanding Machining Process Parameters and Optimization of High-Speed Turning of NiTi SMA Using Response Surface Method (RSM) and Genetic Algorithm (GA). Materials, 16(17), 5786. https://doi.org/10.3390/ma16175786

