Synthesis, Characterization, and DFT Calculations of a New Sulfamethoxazole Schiff Base and Its Metal Complexes
Abstract
1. Introduction
2. Experimental Methods
2.1. Materials and Methods
2.2. Synthesis Procedure of the Schiff Base, C17H15N3O4S
2.3. General Procedure for the Preparation of L1–4
2.3.1. [Gd(L)2(NO3)3(H2O)] (L1)
2.3.2. [Sm(L)2(NO3)3(H2O)] (L2)
2.3.3. [Nd(L)2(NO3)3(H2O)] (L3)
2.3.4. [Zn(L)2(NO3)2(H2O)]H2O (L4)
3. Computational Methods
4. Biological Activities
4.1. Determining Total Phenol Content
4.2. DPPH Radical-Scavenging Assay
4.3. Determining Anti-Inflammatory Activity
4.4. Determining Anti-Hemolytic Activity by H2O2 Method
5. Results and Discussion
5.1. Geometric Optimization
5.2. FTIR Studies
5.2.1. FTIR of the Schiff Base (L)
5.2.2. FTIR of the Schiff Base (L1–L4)
5.3. NMR Analysis of the Schiff Base
5.4. UV–Vis Analysis of Schiff Base
5.5. Mass Spectroscopic Study
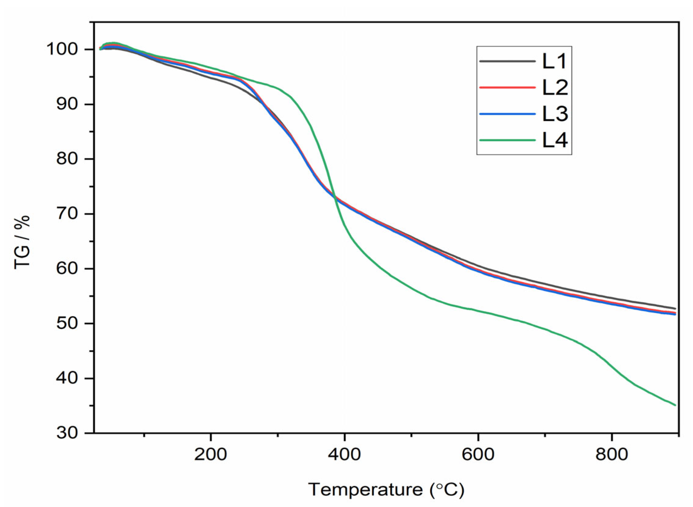
5.6. Thermal Analyses
5.7. Biological Activities
6. Conclusions
Supplementary Materials
Author Contributions
Funding
Informed Consent Statement
Data Availability Statement
Conflicts of Interest
References
- Da Silva, C.M.; da Silva, D.L.; Modolo, L.V.; Alves, R.B.; de Resende, M.A.; Martins, C.V.B.; de Fátima, Â. Schiff Bases: A Short Review of Their Antimicrobial Activities. J. Adv. Res. 2011, 2, 1–8. [Google Scholar] [CrossRef]
- Vora, J.J.; Vasava, S.B.; Parmar, K.C.; Chauhan, S.K.; Sharma, S.S. Synthesis, Spectral and Microbial Studies of Some Novel Schiff Base Derivatives of 4-Methylpyridin-2-Amine. J. Chem. 2009, 6, 1205–1210. [Google Scholar] [CrossRef]
- El-Nawawy, M.A.; Farag, R.S.; Sabbah, I.A.; Abu-Yamin, A.M. Synthesis, Spectroscopic Thermal Studies and Biological Activity of New Sulfamethoxazol Schiff Base and Its Copper Complexes. Int. J. Pharm. Sci. Res. 2011, 2, 3143–3148. [Google Scholar] [CrossRef]
- Hussain, Z.; Yousif, E.; Ahmed, A.; Altaie, A. Synthesis and Characterization of Schiff’s Bases of Sulfamethoxazole. Org. Med. Chem. Lett. 2014, 4, 1. [Google Scholar] [CrossRef] [PubMed]
- Bakır, T.K.; Lawag, J.B. Preparation, Characterization, Antioxidant Properties of Novel Schiff Bases Including 5-Chloroisatin-Thiocarbohydrazone. Res. Chem. Intermed. 2020, 46, 2541–2557. [Google Scholar] [CrossRef]
- Jarrahpour, A.; Khalili, D.; De Clercq, E.; Salmi, C.; Brunel, J.M. Synthesis, Antibacterial, Antifungal and Antiviral Activity Evaluation of Some New Bis-Schiff Bases of Isatin and Their Derivatives. Molecules 2007, 12, 1720–1730. [Google Scholar] [CrossRef]
- KUŞ, C.; Altanlar, N. Synthesis of Some New Benzimidazole Carbamate Derivatives for Evaluation of Antifungal Activity. Turk. J. Chem. 2003, 27, 35–39. [Google Scholar]
- Yernale, N.G.; Bennikallu Hire Mathada, M. Synthesis, Characterization, Antimicrobial, DNA Cleavage, and In Vitro Cytotoxic Studies of Some Metal Complexes of Schiff Base Ligand Derived from Thiazole and Quinoline Moiety. Bioinorg. Chem. Appl. 2014, 2014, 314963. [Google Scholar] [CrossRef] [PubMed]
- Al Momani, W.M.; Taha, Z.A.; Ajlouni, A.M.; Shaqra, Q.M.A.; Al Zouby, M. A Study of in Vitro Antibacterial Activity of Lanthanides Complexes with a Tetradentate Schiff Base Ligand. Asian Pac. J. Trop. Biomed. 2013, 3, 367–370. [Google Scholar] [CrossRef]
- Saeed, S.; Rashid, N.; Ali, M.; Hussain, R. Synthesis, Characterization and Antibacterial Activity of Nickel (II) and Copper (II) Complexes of N-(Alkyl(Aryl)Carbamothioyl)-4-Nitrobenzamide. Eur. J. Chem. 2010, 1, 200–205. [Google Scholar] [CrossRef]
- Li, Y.; Yang, Z.-S.; Zhang, H.; Cao, B.-J.; Wang, F.-D.; Zhang, Y.; Shi, Y.-L.; Yang, J.-D.; Wu, B.-A. Artemisinin Derivatives Bearing Mannich Base Group: Synthesis and Antimalarial Activity. Bioorg. Med. Chem. 2003, 11, 4363–4368. [Google Scholar] [CrossRef]
- Mohanta, R.; Sahu, S.K. Insilico Designing and Synthesis of Imidazole Derivatives as Antimicrobial Agent. Int. J. Pharma Bio Sci. 2013, 4, 758–766. [Google Scholar]
- Tyagi, M.; Chandra, S.; Tyagi, P.; Akhtar, J.; Kandan, A.; Singh, B. Synthesis, Characterization and Anti-Fungal Evaluation of Ni(II) and Cu(II) Complexes with a Derivative of 4-Aminoantipyrine. J. Taibah Univ. Sci. 2017, 11, 110–120. [Google Scholar] [CrossRef]
- Johnson, M. The Organic Chemistry of Drug Synthesis. J. Am. Chem. Soc. 2008, 2, 3231–3232. [Google Scholar]
- Parsekar, S.U.; Haldar, P.; Antharjanam, P.K.S.; Kumar, M.; Koley, A.P. Synthesis, Characterization, Crystal Structure, DNA and Human Serum Albumin Interactions, as Well as Antiproliferative Activity of a Cu(II) Complex Containing a Schiff Base Ligand Formed in Situ from the Cu(II)-induced Cyclization of 1,5-bis(Salicylidene). Appl. Organomet. Chem. 2021, 35, e6152. [Google Scholar] [CrossRef]
- Jalal, A.; Shahzadi, S.; Shahid, K.; Ali, S.; Badshah, A.; Mazhar, M.; Khan, K.M. Preparation, Spectroscopic Studies and Biological Activity of Mono-Organotin(IV) Derivatives of Non-Steroidal Anti-Inflammatory Drugs. Turk. J. Chem. 2004, 28, 629–644. [Google Scholar]
- Aliyu, H.; Mohammed, A. Synthesis and Characterization of Iron (Ii) and Nickel (Ii) Schiff Base Complexes. Bayero J. Pure Appl. Sci. 2010, 2, 132–134. [Google Scholar] [CrossRef]
- Malik, M.; Dar, O.; Gull, P.; Hashmi, A.; Wani, M. Heterocyclic Schiff Base Transition Metal Complexes in Antimicrobial and Anticancer Chemotherapy. MedChemComm 2018, 9, 409–436. [Google Scholar] [CrossRef] [PubMed]
- Odularu, A.T. Ease to Challenges in Achieving Successful Synthesized Schiff Base, Chirality, and Application as Antibacterial Agent. BioMed Res. Int. 2023, 2023, 1626488. [Google Scholar] [CrossRef]
- Lemilemu, F.; Bitew, M.; Demissie, T.B.; Eswaramoorthy, R.; Endale, M. Synthesis, Antibacterial and Antioxidant Activities of Thiazole-Based Schiff Base Derivatives: A Combined Experimental and Computational Study. BMC Chem. 2021, 15, 67. [Google Scholar] [CrossRef]
- Login, C.C.; Bâldea, I.; Tiperciuc, B.; Benedec, D.; Vodnar, D.C.; Decea, N.; Suciu, Ş. A Novel Thiazolyl Schiff Base: Antibacterial and Antifungal Effects and In Vitro Oxidative Stress Modulation on Human Endothelial Cells. Oxidative Med. Cell. Longev. 2019, 2019, 1607903. [Google Scholar] [CrossRef]
- Vashi, K.; Naik, H.B. Synthesis of Novel Schiff Base and Azetidinone Derivatives and Their Antibacterial Activity. J. Chem. 2004, 1, 272–275. [Google Scholar] [CrossRef]
- Al-Amiery, A.A.; Al-Majedy, Y.K.; Kadhum, A.A.H.; Mohamad, A.B. Hydrogen Peroxide Scavenging Activity of Novel Coumarins Synthesized Using Different Approaches. PLoS ONE 2015, 10, e0132175. [Google Scholar] [CrossRef] [PubMed]
- Jain, A.K.; Singla, R.K.; Shrivastava, B. Thiazole: A Remarkable Antimicrobial And Antioxidant Agents. Pharmacologyonline 2011, 2, 1072–1084. [Google Scholar]
- Ricciotti, E.; Laudanski, K.; FitzGerald, G.A. Nonsteroidal Anti-Inflammatory Drugs and Glucocorticoids in COVID-19. Adv. Biol. Regul. 2021, 81, 100818. [Google Scholar] [CrossRef] [PubMed]
- Spiegel, M. Current Trends in Computational Quantum Chemistry Studies on Antioxidant Radical Scavenging Activity. J. Chem. Inf. Model. 2022, 62, 2639–2658. [Google Scholar] [CrossRef] [PubMed]
- Azat Aziz, M.; Shehab Diab, A.; Abdulrazak Mohammed, A. Antioxidant Categories and Mode of Action. Antioxidants 2019, 2019, 3–22. [Google Scholar]
- Bose, B.; Choudhury, H.; Tandon, P.; Kumaria, S. Studies on Secondary Metabolite Profiling, Anti-Inflammatory Potential, in Vitro Photoprotective and Skin-Aging Related Enzyme Inhibitory Activities of Malaxis Acuminata, a Threatened Orchid of Nutraceutical Importance. J. Photochem. Photobiol. B Biol. 2017, 173, 686–695. [Google Scholar] [CrossRef]
- García-Lafuente, A.; Guillamón, E.; Villares, A.; Rostagno, M.A.; Martínez, J.A. Flavonoids as Anti-Inflammatory Agents: Implications in Cancer and Cardiovascular Disease. Inflamm. Res. 2009, 58, 537–552. [Google Scholar] [CrossRef]
- Kirchmair, J.; Göller, A.H.; Lang, D.; Kunze, J.; Testa, B.; Wilson, I.D.; Glen, R.C.; Schneider, G. Predicting Drug Metabolism: Experiment and/or Computation? Nat. Rev. Drug Discov. 2015, 14, 387–404. [Google Scholar] [CrossRef]
- Banerjee, P.; Eckert, A.O.; Schrey, A.K.; Preissner, R. ProTox-II: A Webserver for the Prediction of Toxicity of Chemicals. Nucleic Acids Res. 2018, 46, W257–W263. [Google Scholar] [CrossRef]
- Ebosie, N.P.; Ogwuegbu, M.O.C.; Onyedika, G.O.; Onwumere, F.C. Biological and Analytical Applications of Schiff Base Metal Complexes Derived from Salicylidene-4-Aminoantipyrine and Its Derivatives: A Review. J. Iran. Chem. Soc. 2021, 18, 3145–3175. [Google Scholar] [CrossRef]
- Yang, T.L.; Qin, W.W. Synthesis and Luminescence Spectral Properties of Europium (III) and Terbium (III) Complexes with a New Schiff Base Ligand N,N′,N″-Tri-(2,4-Dihydroxyl-Acetophenone)-Triaminotriethylamine. Ind. J. Chem. Sec. A Inorg. Phys. Theor. Anal. Chem. 2006, 45, 2035–2039. [Google Scholar]
- Mandal, L.; Biswas, S.; Yamashita, M. Magnetic Behavior of Luminescent Dinuclear Dysprosium and Terbium Complexes Derived from Phenoxyacetic Acid and 2,2′-Bipyridine. Magnetochemistry 2019, 5, 56. [Google Scholar] [CrossRef]
- Sakiyama, H. Magnetic Susceptibility Equation for Dinuclear High-Spin Cobalt(II) Complexes Considering the Exchange Interaction between Two Axially Distorted Octahedral Cobalt(II) Ions. Inorg. Chim. Acta 2006, 359, 2097–2100. [Google Scholar] [CrossRef]
- Jin, H.-Y.; Chen, J.-Z.; Wang, X.-W.; Hou, S.-E. Solvothermal Synthesis and Crystal Structure of a 18-Membered Macrocycle Schiff Base Dinuclear Copper(II) Complex: Cu2(NO3)4(APTY)4 (APTY = 1,5-Dimethyl-2-Phenyl-4-{[(1E)-Pyridine-4-Ylmethylene]Amino}-1,2-Dihydro-3H-Pyrazol-3-One). J. Chem. Crystallogr. 2009, 39, 182–185. [Google Scholar] [CrossRef]
- Shakya, P.R.; Singh, A.K.; Rao, T.R. Complexes of Some 4f Metal Ions of the Mesogenic Schiff-Base, N,N′-Di-(4-Decyloxysalicylidene)-1′,3′-Diaminobenzene: Synthesis and Spectral Studies. J. Coord. Chem. 2012, 65, 3519–3529. [Google Scholar] [CrossRef]
- Hudlicky, T.; Butora, G.; Fearnley, S.P.; Gum, A.G.; Persichini, P.J.; Stabile, M.R.; Merola, J.S. Intramolecular Diels–Alder Reactions of the Furan Diene (IMDAF); Rapid Construction of Highly Functionalised Isoquinoline Skeletons. J. Chem. Soc. Perkin Trans. 1995, 1, 2393–2398. [Google Scholar] [CrossRef]
- Wu, H.-J.; Yen, C.-H.; Chuang, C.-T. Intramolecular Diels-Alder Reaction of Furans with Allenyl Ethers Followed by Sulfur and Silicon Atom-Containing Group Rearrangement. J. Org. Chem. 1998, 63, 5064–5070. [Google Scholar] [CrossRef]
- Frisch, M.J.; Trucks, G.W.; Schlegel, H.B.; Scuseria, G.E.; Robb, M.A.; Cheeseman, J.R.; Scalmani, G.; Barone, V.; Petersson, G.A.; Nakatsuji, H.; et al. Gaussian, version 16; Gaussian Inc.: Wallingford, CT, USA, 2016. [Google Scholar]
- O’Boyle, N.M.; Banck, M.; James, C.A.; Morley, C.; Vandermeersch, T.; Hutchison, G.R. Open Babel: An Open Chemical Toolbox. J. Cheminform. 2011, 3, 33. [Google Scholar] [CrossRef]
- Zhao, Y.; Truhlar, D.G. The M06 Suite of Density Functionals for Main Group Thermochemistry, Thermochemical Kinetics, Noncovalent Interactions, Excited States, and Transition Elements: Two New Functionals and Systematic Testing of Four M06-Class Functionals and 12 Other Function. Theor. Chem. Acc. 2008, 120, 215–241. [Google Scholar] [CrossRef]
- Rassolov, V.A.; Ratner, M.A.; Pople, J.A.; Redfern, P.C.; Curtiss, L.A. 6-31G* Basis Set for Third-Row Atoms. J. Comput. Chem. 2001, 22, 976–984. [Google Scholar] [CrossRef]
- Mardirossian, N.; Head-Gordon, M. How Accurate Are the Minnesota Density Functionals for Noncovalent Interactions, Isomerization Energies, Thermochemistry, and Barrier Heights Involving Molecules Composed of Main-Group Elements? J. Chem. Theory Comput. 2016, 12, 4303–4325. [Google Scholar] [CrossRef]
- St. John, P.C.; Guan, Y.; Kim, Y.; Kim, S.; Paton, R.S. Prediction of Organic Homolytic Bond Dissociation Enthalpies at near Chemical Accuracy with Sub-Second Computational Cost. Nat. Commun. 2020, 11, 2328. [Google Scholar] [CrossRef] [PubMed]
- Awoonor-Williams, E.; Abu-Saleh, A.A.-A.A. Covalent and Non-Covalent Binding Free Energy Calculations for Peptidomimetic Inhibitors of SARS-CoV-2 Main Protease. Phys. Chem. Chem. Phys. 2021, 23, 6746–6757. [Google Scholar] [CrossRef] [PubMed]
- Abu-Saleh, A.A.-A.A.; Sharma, S.; Yadav, A.; Poirier, R.A. Role of Asp190 in the Phosphorylation of the Antibiotic Kanamycin Catalyzed by the Aminoglycoside Phosphotransferase Enzyme: A Combined QM:QM and MD Study. J. Phys. Chem. B 2020, 124, 3494–3504. [Google Scholar] [CrossRef]
- Grimme, S. Semiempirical Hybrid Density Functional with Perturbative Second-Order Correlation. J. Chem. Phys. 2006, 124, 034108. [Google Scholar] [CrossRef]
- Kesharwani, M.K.; Brauer, B.; Martin, J.M.L. Frequency and Zero-Point Vibrational Energy Scale Factors for Double-Hybrid Density Functionals (and Other Selected Methods): Can Anharmonic Force Fields Be Avoided? J. Phys. Chem. A 2015, 119, 1701–1714. [Google Scholar] [CrossRef]
- Tao, J.; Perdew, J.P.; Staroverov, V.N.; Scuseria, G.E. Climbing the Density Functional Ladder: Nonempirical Meta–Generalized Gradient Approximation Designed for Molecules and Solids. Phys. Rev. Lett. 2003, 91, 146401. [Google Scholar] [CrossRef]
- Dunning, T.H., Jr. Gaussian Basis Sets for Use in Correlated Molecular Calculations. I. The Atoms Boron through Neon and Hydrogen. J. Chem. Phys. 1989, 90, 1007–1023. [Google Scholar] [CrossRef]
- Iron, M.A. Evaluation of the Factors Impacting the Accuracy of 13 C NMR Chemical Shift Predictions Using Density Functional Theory—The Advantage of Long-Range Corrected Functionals. J. Chem. Theory Comput. 2017, 13, 5798–5819. [Google Scholar] [CrossRef]
- Boussahel, S.; Di Stefano, V.; Muscarà, C.; Cristani, M.; Melilli, M.G. Phenolic Compounds Characterization and Antioxidant Properties of Monocultivar Olive Oils from Northeast Algeria. Agriculture 2020, 10, 494. [Google Scholar] [CrossRef]
- Abhipsa, B.; Samar Gourav, P.; Falguni, P.; Biswaranjan, P. Modification of the Time of Incubation in Colorimetric Method for Accurate Determination of the Total Antioxidants Capacity Using 2,2-Diphenyl-1-Picrylhydrazyl Stable Free Radical. J. Appl. Biol. Biotechnol. 2020, 9, 156–161. [Google Scholar] [CrossRef]
- Naz, R.; Ayub, H.; Nawaz, S.; Islam, Z.U.; Yasmin, T.; Bano, A.; Wakeel, A.; Zia, S.; Roberts, T.H. Antimicrobial Activity, Toxicity and Anti-Inflammatory Potential of Methanolic Extracts of Four Ethnomedicinal Plant Species from Punjab, Pakistan. BMC Complement. Altern. Med. 2017, 17, 302. [Google Scholar] [CrossRef] [PubMed]
- Kesimli, B.; Topacli, A. Infrared Studies on Co and Cd Complexes of Sulfamethoxazole. Spectrochim. Acta Part A Mol. Biomol. Spectrosc. 2001, 57, 1031–1036. [Google Scholar] [CrossRef] [PubMed]
- Prenzler, P.D.; Hockless, D.C.R.; Heath, G.A. Steric and Electronic Effects in the First Homoleptic Imino Ether Complex: Synthesis and X-Ray Crystallographic Determination of [Pt(NHC(OEt)Et)4](CF3SO3)2. Inorg. Chem. 1997, 36, 5845–5849. [Google Scholar] [CrossRef]
- Bilgin, A.; Çetintaş, S.; Cerrahoğlu, E.; Yildiz, U.; Bingöl, D. A New Schiff Base: Synthesis, Characterization and Optimization of Metal Ions-Binding Properties. Sep. Sci. Technol. 2016, 51, 2138–2144. [Google Scholar] [CrossRef]
- Al-Khodir, F. Ca(II), Zn(II) and Au(III) Sulfamethoxazole Sulfa-Drug Complexes: Synthesis, Spectroscopic and Anticancer Evaluation Studies. Orient. J. Chem. 2015, 31, 2179–2187. [Google Scholar] [CrossRef]
- Jaber, Z.A. Preparation and Characterization of Cu (II), Mn(II) and Zn(II)Complexes with New Sulfamethoxazole Compounds. Baghdad Sci. J. 2017, 14, 575–581. [Google Scholar] [CrossRef]
- Mahasin, F.; Alias, B.A.S. A Comparative Study of Microwave Assisted and Conventional Synthesis of Mixed Ligand Complexes with Cr(III), Co(II), Ni(II) Cu(II) and Cd(II). Baghdad Sci. J. 2014, 11, 1556–1566. [Google Scholar]
- Pal Singh, N.; Nanda Srivastava, A. Synthesis, Characterization and Spectral Studies of Noble Heterobinuclear Complexes of Transition Metal Ions and Their Biological Activity. J. Chem. 2011, 8, 809–814. [Google Scholar] [CrossRef]
- Gehad Geindy Mohamed, M.M.O.; Hindy, A.M. Metal Complexes of Schiff Bases: Preparation, Characterization, and Biological Activity. Turk. J. Chem. 2006, 30, 361–382. [Google Scholar]
- Das, S.; Edison, A.S.; Merz, K.M. Metabolite Structure Assignment Using In Silico NMR Techniques. Anal. Chem. 2020, 92, 10412–10419. [Google Scholar] [CrossRef]
- Lodewyk, M.W.; Siebert, M.R.; Tantillo, D.J. Computational Prediction of 1 H and 13 C Chemical Shifts: A Useful Tool for Natural Product, Mechanistic, and Synthetic Organic Chemistry. Chem. Rev. 2012, 112, 1839–1862. [Google Scholar] [CrossRef]
- Willoughby, P.H.; Jansma, M.J.; Hoye, T.R. A Guide to Small-Molecule Structure Assignment through Computation of (1H and 13C) NMR Chemical Shifts. Nat. Protoc. 2014, 9, 643–660. [Google Scholar] [CrossRef]
- Abu-Yamin, A.-A.; Taher, D.; Korb, M.; Al Khalyfeh, K.; Ishtaiwi, Z.; Juwhari, H.K.; Helal, W.; Amarne, H.; Mahmood, S.; Loloee, R.; et al. Synthesis, Chemical and Physical Properties of Lanthanide(III) (Nd, Gd, Tb) Complexes Derived from (E)-Ethyl 4-(2-Hydroxybenzylideneamino)Benzoate. Polyhedron 2022, 222, 115906. [Google Scholar] [CrossRef]
- Amkiss, S.; Bakha, M.; Belmehdi, O.; Carmona-Espinazo, F.; López-Sáez, J.-B.; Idaomar, M. Antioxidant Activity and Polyphenols Content of Artemisia Herba-Alba Extract and Their Cytotoxicity against Human Lung Cancer Cells NCI-N417. J. Herbs Spices Med. Plants 2022, 28, 337–350. [Google Scholar] [CrossRef]
- Rajagopal, P.L.; Kiron, K.R.S.; RobinJose, S.S.; Saritha, M. Anti-Inflammatory (Invitro) Activity of the Leaves of Ficus Gibbosa Blume.by HRBC Membrane Stabilisation. J. Pharm. Biol. Sci. 2013, 7, 55–57. [Google Scholar] [CrossRef]
- Chou, C.-T. The Antiinflammatory Effect of an Extract OfTripterygium Wilfordii Hook F on Adjuvant-Induced Paw Oedema in Rats and Inflammatory Mediators Release. Phytother. Res. 1997, 11, 152–154. [Google Scholar] [CrossRef]
- Murtaza, S.; Akhtar, M.S.; Kanwal, F.; Abbas, A.; Ashiq, S.; Shamim, S. Synthesis and Biological Evaluation of Schiff Bases of 4-Aminophenazone as an Anti-Inflammatory, Analgesic and Antipyretic Agent. J. Saudi Chem. Soc. 2017, 21, S359–S372. [Google Scholar] [CrossRef]
- Kilpin, K.J.; Dyson, P.J. Enzyme Inhibition by Metal Complexes: Concepts, Strategies and Applications. Chem. Sci. 2013, 4, 1410. [Google Scholar] [CrossRef]
- Uivarosi, V. Metal Complexes of Quinolone Antibiotics and Their Applications: An Update. Molecules 2013, 18, 11153–11197. [Google Scholar] [CrossRef] [PubMed]
- Fouad, A.; Straus, S.; McDonald, D.; Heimer, F.; Xia, Q. Optical Properties of GaX (X=P, As, Sb) under Hydrostatic Pressure. Exp. Theor. Nanotechnol. 2023, 7, 283–290. [Google Scholar]
- Kojal, N.; Javec, S. Structural and Thermal Properties of H6Ta2O17. Exp. Theor. Nanotechnol. 2023, 7, 309–316. [Google Scholar] [CrossRef]
- Raman, V.; Rajan, A. Thermodynamic Properties of MgFeH3 Alloy. Exp. Theor. Nanotechnol. 2023, 7, 381–392. [Google Scholar] [CrossRef]
- Radiman, S.; Rusop, M. Investigation of Structural and Optical Properties of In_doped AlSb Nanostructur. Exp. Theor. Nanotechnol. 2023, 7, 49–76. [Google Scholar] [CrossRef]
- Jabbar, O.; Reshak, A.H. Structural, Electronic, and Optoelectronic Properties of XYZ2 (X = Zn,Cd; Y = Si,Sn; Z = pnicogens) Chalcopyrite Compounds: First-Principles Calculations. Exp. Theor. Nanotechnol. 2023, 7, 97–110. [Google Scholar] [CrossRef]
- Liu, J.; Yang, R. Structural, Dynamical, Thermodynamic Properties of CdYF3 Perovskite. Exp. Theor. Nanotechnol. 2023, 7, 111–126. [Google Scholar] [CrossRef]
- Sahnoun, R. Gap Bowing of in Pb1-XCaxS, Pb1-XCaxSe and Pb1-XCaxTe Alloys. Exp. Theor. Nanotechnol. 2023, 7, 149–158. [Google Scholar] [CrossRef]









| 3462 | υ (OH) | |
|---|---|---|
| 3373w | 3299 | υ (CH) furan ring |
| 3155w 3101w | 3158 3062 | υ (CH3) antisymmetric υ (CH3) symmetric |
| 3082w, 2973w | 3192, 3184 | υ (sp2 alkene moiety) |
| 1661m | 1687 | υ C=N imino group |
| 1611w | 1648 | υ (C=N) isoxazole ring |
| 1593s | 1622 | 1593s |
| 1502s | 1599 | 1502s |
| 1463s | 1502, 1431 | υ furan moiety |
| 1374–1389s | 1483, 1300 | υ isoxazole ring vibrations |
| 1326s | 1415 | υ (SO2) antisymmetric |
| 1156vs | 1187 | υ (SO2) symmetric |
| 925s | 883 | υ (SN bond stretching) |
| 882w | 831 | υ out-of-plane CH (isoxazole ring) |
| Comp. | ν(OH) Water | ν(N-H) | ν(C=N) Azomethine | ν(C=N) Isoxazole Ring | ν(C-N) | νs(SO2) νas(SO2) | ν(Ln-O) | ν(Ln-N) | NO3− Frequencies | |||||
|---|---|---|---|---|---|---|---|---|---|---|---|---|---|---|
| ν4 | ν1 | ν2 | ν6 | ν3 | ν5 | |||||||||
| L | 3462 | 3206 | 1661 | 1611 | 1389 | 1156 1326 | - | - | ||||||
| L1 | 3461 | 3207 | 1660 | 1588 | 1372 | 1155 1319 | 567 | 430 | 1498 | 1319 | 1030 | 882 | 738 | 694 |
| L2 | 3459 | 3204 | 1658 | 1584 | 1374 | 1155 1312 | 559 | 446 | 1489 | 1306 | 1022 | 879 | 730 | 695 |
| L3 | 3462 | 3206 | 1660 | 1584 | 1370 | 1156 1319 | 563 | 444 | 1463 | 1318 | 1028 | 883 | 737 | 695 |
| L4 | 3460 | 3205 | 1658 | 1582 | 1366 | 1154 1292 | 559 | 440 | ||||||
| Atom | Calculated | Observed |
|---|---|---|
| C1 | 187.9 | 170.3 |
| C23 | 173.0 | 156.0 |
| C3 | 172.0 | 150.7 |
| C27 | 177.6 | 153.7 |
| C33 | 161.6 | 147.5 |
| C36 | 157.0 | 146.1 |
| C16 | 143.3 | 139.1 |
| C31 | 144.9 | 132.9 |
| C18 | 144.7 | 132.9 |
| C17 | 143.4 | 129.8 |
| C19 | 137.0 | 128.6 |
| C29 | 131.6 | 125.6 |
| C21 | 130.3 | 121.9 |
| C37 | 124.0 | 113.8 |
| C35 | 123.3 | 113.0 |
| C2 | 105.5 | 95.7 |
| C5 | 15.1 | 12.5 |
| H32 | 8.23 | 8.29 |
| H28 | 8.31 | 9.54 |
| H22 | 8.27 | 8.10 |
| H20 | 7.95 | 7.90 |
| H39 | 7.67 | 7.53 |
| H24 | 7.52 | 7.41 |
| H38 | 7.31 | 7.06 |
| H25 | 7.38 | 7.26 |
| H30 | 7.05 | 6.53 |
| H4 | 6.57 | 6.05 |
| H40 | 6.79 | 6.62 |
| H12 | 5.93 | 10.95 |
| H8 | 2.21 | 3.29 |
| H6 | 2.43 | 3.29 |
| H7 | 2.21 | 3.29 |
| Chemical | Total Phenols (mg/mL) | Antioxidant Activity | Anti-Hemolytic Activity | Anti-Inflammatory Activity | |||
|---|---|---|---|---|---|---|---|
| Inhibition (%) | IC50 µg/m | Inhibition (%) | IC50 µg/m | Inhibition (%) | IC50 µg/m | ||
| L | 0.279 ± 0.003 | 55.1 ± 0.003 | 0.7372 | 45.75 ± 0.002 | 0.8081 | 83.94 | 0.1738 |
| L1 | 0.296 ± 0.001 | 80.7 ± 0.002 | 0.5015 | 6.56 ± 0.001 | 0.7805 | 99.96 | 0.3918 |
| L2 | 0.29 ± 0.006 | 44.78 ± 0.004 | 0.6201 | 40.7 ± 0.001 | 0.562 | 99.545 | 0.7063 |
| L3 | 0.683 ± 0.001 | 80.734 ± 0.001 | 0.7188 | 37.01 ± 0.001 | 0.7643 | 99.55 | 0.6743 |
| L4 | 0.209 ± 0.02 | 30.5 ± 0.02 | 0.7185 | 27.23 ± 0.003 | 0.4768 | 99.093 | 0.748 |
Disclaimer/Publisher’s Note: The statements, opinions and data contained in all publications are solely those of the individual author(s) and contributor(s) and not of MDPI and/or the editor(s). MDPI and/or the editor(s) disclaim responsibility for any injury to people or property resulting from any ideas, methods, instructions or products referred to in the content. |
© 2023 by the authors. Licensee MDPI, Basel, Switzerland. This article is an open access article distributed under the terms and conditions of the Creative Commons Attribution (CC BY) license (https://creativecommons.org/licenses/by/4.0/).
Share and Cite
Al-Hawarin, J.I.; Abu-Yamin, A.-A.; Abu-Saleh, A.A.-A.A.; Saraireh, I.A.M.; Almatarneh, M.H.; Hasan, M.; Atrooz, O.M.; Al-Douri, Y. Synthesis, Characterization, and DFT Calculations of a New Sulfamethoxazole Schiff Base and Its Metal Complexes. Materials 2023, 16, 5160. https://doi.org/10.3390/ma16145160
Al-Hawarin JI, Abu-Yamin A-A, Abu-Saleh AA-AA, Saraireh IAM, Almatarneh MH, Hasan M, Atrooz OM, Al-Douri Y. Synthesis, Characterization, and DFT Calculations of a New Sulfamethoxazole Schiff Base and Its Metal Complexes. Materials. 2023; 16(14):5160. https://doi.org/10.3390/ma16145160
Chicago/Turabian StyleAl-Hawarin, Jibril I., Abdel-Aziz Abu-Yamin, Abd Al-Aziz A. Abu-Saleh, Ibrahim A. M. Saraireh, Mansour H. Almatarneh, Mahmood Hasan, Omar M. Atrooz, and Y. Al-Douri. 2023. "Synthesis, Characterization, and DFT Calculations of a New Sulfamethoxazole Schiff Base and Its Metal Complexes" Materials 16, no. 14: 5160. https://doi.org/10.3390/ma16145160
APA StyleAl-Hawarin, J. I., Abu-Yamin, A.-A., Abu-Saleh, A. A.-A. A., Saraireh, I. A. M., Almatarneh, M. H., Hasan, M., Atrooz, O. M., & Al-Douri, Y. (2023). Synthesis, Characterization, and DFT Calculations of a New Sulfamethoxazole Schiff Base and Its Metal Complexes. Materials, 16(14), 5160. https://doi.org/10.3390/ma16145160

